Wind Energy Potential Assessment by Weibull Parameter Estimation Using Multiverse Optimization Method: A Case Study of Tirumala Region in India
Abstract
1. Introduction
2. Measurement of Wind Data
2.1. Location of Site and Collection of Wind Data
2.2. Multiverse Optimization Method for Parameter Estimation
- ✓
- When inflation rate is high, then probability of white hole is high;
- ✓
- When inflation rate is high, then black hole probability is low;
- ✓
- When the universe is having higher inflation rate, then it sends the object through white holes;
- ✓
- The objects will randomly move to the best universe through wormholes irrespective of inflation rate;
- ✓
- When inflation rate is low, then it receives the object from black holes.
3. Distribution Characteristics for Wind Data
3.1. Weibull Distribution
3.2. Rayleigh Distribution
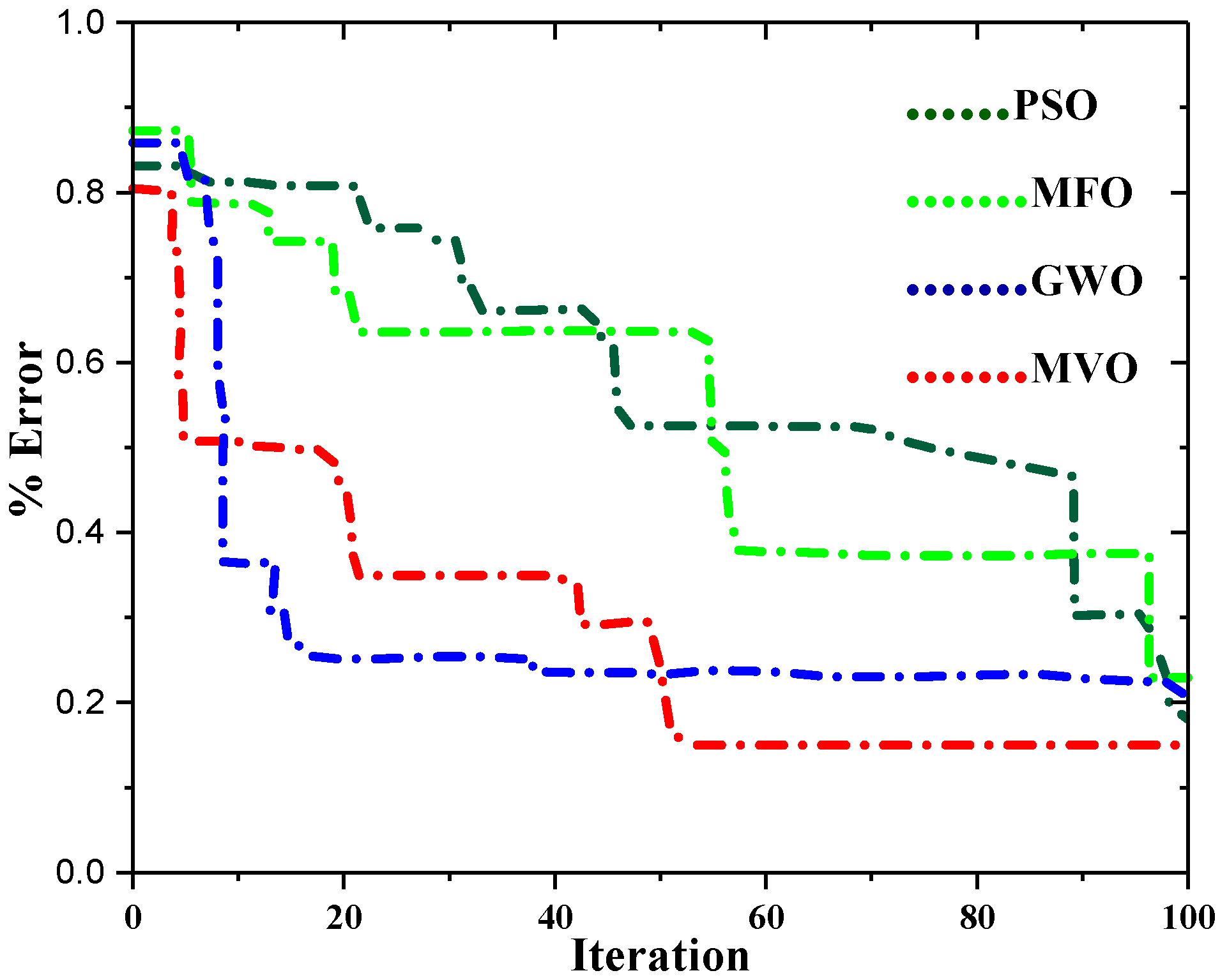
4. Results and Discussion
Comparison of Wind Farm Locations in India
5. Conclusions
Author Contributions
Funding
Conflicts of Interest
Appendix A
| S. No | Name of the Tool or Software | Purpose | Manufacturer Details |
|---|---|---|---|
| 1 | MATLAB R2017b | For estimating shape and scale parameters | R2017b, Math Works, Massachusetts, USA |
| 2 | ArcGIS | Contour plot | 10.6, Esri, Redlands, California, USA |
| 3 | R | Statistical analysis | 3.5, R Foundation of statistics, Vienna, Australia |
| 4 | Surf plot | Surface plot | 15.0, Golden software’s, Colorado, USA |
| 5 | Origin2017Pro | Graphing | SR1, Origin Lab, Massachusetts, USA |
| 6 | Excel | Frequency distribution analysis, Bin-sector | V16.0, Microsoft Corporation, Redmond, USA |
References
- Kumar, M.B.H.; Saravanan, B. Impact of global warming and other climatic condition for generation of wind energy and assessing the wind potential for future trends. In Proceedings of the Innovations in Power and Advanced Computing Technologies (i-PACT), Vellore, India, 21–22 April 2017; pp. 1–5. [Google Scholar]
- Huang, J.; Mc Elroy, M.B. A 32-year perspective on the origin of wind energy in warming climate. Renew. Energy 2015, 77, 482–492. [Google Scholar] [CrossRef]
- Shin, J.-Y.; Jeong, C.; Heo, J.-H. A novel statistical method to temporally downscale wind speed weibull distribution using scaling property. Energies 2018, 11, 633. [Google Scholar] [CrossRef]
- Gökçek, M.; Bayülken, A.; Bekdemir, S. Investigation of wind characteristics and wind energy potential in Kirklareli, Turkey. Renew. Energy 2007, 32, 1739–1752. [Google Scholar] [CrossRef]
- Kose, R.; Ozgur, M.A.; Erbas, O.; Tugcu, A. The analysis of wind data and wind energy potential in Kutahya, Turkey. Renew. Sustain. Energy Rev. 2004, 8, 277–288. [Google Scholar] [CrossRef]
- Keyhani, A.; Ghasemi-Varnamkhasti, M.; Khanali, M.; Abbaszadeh, R. An assessment of wind energy potential as a power generation source in the capital of Iran. Tehran. Energy 2010, 35, 188–201. [Google Scholar] [CrossRef]
- Dahmouni, A.W.; Ben Salah, M.; Askri, F.; Kerkeni, C.; Ben Nasrallah, S. Assessment of wind energy potential and optimal electricity generation in Borj-Cedria, Tunisia. Renew. Sustain. Energy Rev. 2011, 15, 815–820. [Google Scholar] [CrossRef]
- Kamau, J.N.; Kinyua, R.; Gathua, J.K. 6 years of wind data for Marsabit, Kenya average over 14 m/s at 100 m hub height; an analysis of the wind energy potential. Renew. Energy 2010, 35, 1298–1302. [Google Scholar] [CrossRef]
- Carrillo, C.; Cidrás, J.; Díaz-Dorado, E.; Obando-Montaño, A.F. An Approach to determine the weibull parameters for wind energy analysis: The case of Galicia (Spain). Energies 2014, 7, 2676–2700. [Google Scholar] [CrossRef]
- Kumaraswamy, B.G.; Keshavan, B.K.; Jangamshetti, S.H.; Member, S. A Statistical analysis of wind speed data in West Central Part of Karnataka based on weibull distribution function. In Proceedings of the IEEE Electrical Power & Energy Conference, 22–23 October 2009; pp. 1–5. [Google Scholar] [CrossRef]
- Murthy, K.S.R.; Rahi, O.P. Estimation of weibull parameters using graphical method for wind energy applications. In Proceedings of the Eighteenth National Power Systems Conference (NPSC), Guwahati, India, 18–20 December 2014. [Google Scholar]
- Zhang, L.; Li, Q.; Guo, Y.; Yang, Z.; Zhang, L. An investigation of wind direction and speed in a featured wind farm using joint probability distribution methods. Sustainability 2018, 10, 4338. [Google Scholar] [CrossRef]
- Shu, Z.R.; Li, Q.S.; Chan, P.W. Statistical analysis of wind characteristics and wind energy potential in Hong Kong. Energy Convers. Manag. 2015, 10, 644–657. [Google Scholar] [CrossRef]
- Kang, D.; Ko, K.; Huh, J. Comparative study of different methods for estimating weibull parameters: A case study on Jeju Island, South Korea. Energies 2018, 11, 6. [Google Scholar] [CrossRef]
- Wais, P. Two and three-parameter Weibull distribution in available wind power analysis. Renew. Energy 2017, 103, 15–29. [Google Scholar] [CrossRef]
- Akgül, F.G.; Şenoǧlu, B.; Arslan, T. An alternative distribution to Weibull for modeling the wind speed data: Inverse Weibull distribution. Energy Convers. Manag. 2016, 114, 234–240. [Google Scholar] [CrossRef]
- Mohammadi, K.; Alavi, O.; Mostafaeipour, A.; Goudarzi, N.; Jalilvand, M. Assessing different parameters estimation methods of Weibull distribution to compute wind power density. Energy Convers. Manag. 2016, 108, 22–35. [Google Scholar] [CrossRef]
- Boudia, S.M.; Benmansour, A.; Tabet Hellal, M.A. Wind resource assessment in Algeria. In Sustainable Cities and Society; Haghighat, F., Ed.; Elsevier: Amsterdam, The Netherlands, 2016; Volume 22, pp. 171–183. [Google Scholar]
- Carrasco, J.M.F.; Ortega, E.M.M.; Cordeiro, G.M. A generalized modified Weibull distribution for lifetime modeling. Comput. Stat. Data Anal. 2008, 53, 450–462. [Google Scholar] [CrossRef]
- Carneiro, T.C.; Melo, S.P.; Carvalho, P.C.; Braga, A.P.D.S. Particle swarm optimization method for estimation of Weibull parameters: A case study for the Brazilian northeast region. Renew. Energy 2016, 86, 751–759. [Google Scholar] [CrossRef]
- Costa Rocha, P.A.; de Sousa, R.C.; de Andrade, C.F.; da Silva, M.E.V. Comparison of seven numerical methods for determining Weibull parameters for wind energy generation in the northeast region of Brazil. Appl. Energy 2012, 89, 395–400. [Google Scholar] [CrossRef]
- Chang, T.P. Performance comparison of six numerical methods in estimating Weibull parameters for wind energy application. Appl. Energy 2011, 88, 272–282. [Google Scholar] [CrossRef]
- Saleh, H.; Abou El-Azm, A.A.; Abdel-Hady, S. Assessment of different methods used to estimate Weibull distribution parameters for wind speed in Zafarana wind farm, Suez Gulf, Egypt. Energy 2012, 44, 710–719. [Google Scholar] [CrossRef]
- Akdaǧ, S.A.; Dinler, A. A new method to estimate Weibull parameters for wind energy applications. Energy Convers. Manag. 2009, 50, 1761–1766. [Google Scholar] [CrossRef]
- Ouarda, T.B.M.J.; Charron, C.; Chebana, F. Review of criteria for the selection of probability distributions for wind speed data and introduction of the moment and L-moment ratio diagram methods, with a case study. Energy Convers. Manag. 2016, 124, 247–265. [Google Scholar] [CrossRef]
- Jaramillo, O.A.; Borja, M.A. Wind speed analysis in La Ventosa, Mexico: A bimodal probability distribution case. Renew. Energy 2004, 29, 1613–1630. [Google Scholar] [CrossRef]
- Wang, B.; Cot, L.D.; Adolphe, L.; Geoffroy, S. Estimation of wind energy of a building with canopy roof. Sustain. Cities Soc. 2017, 35, 402–416. [Google Scholar] [CrossRef]
- Pishgar-Komleh, S.H.; Keyhani, A.; Sefeedpari, P. Wind speed and power density analysis based on Weibull and Rayleigh distributions (a case study: Firouzkooh county of Iran). Renew. Sustain. Energy Rev. 2015, 42, 313–322. [Google Scholar] [CrossRef]
- Maatallah, T.; El Alimi, S.; Wajdi Dahmouni, A.; Nasrallah, S.B. Wind power assessment and evaluation of electricity generation in the Gulf of Tunis, Tunisia. Sustain. Cities Soc. 2013, 6, 1–10. [Google Scholar] [CrossRef]
- Spiropoulou, I.; Karamanis, D.; Kehayias, G. Offshore wind farms development in relation to environmental protected areas. Sustain. Cities Soc. 2015, 14, 305–312. [Google Scholar] [CrossRef]
- Wan, C.; Wang, J.; Yang, G.; Gu, H.; Zhang, X. Wind farm micro-siting by Gaussian particle swarm optimization with local search strategy. Renew. Energy 2012, 48, 276–286. [Google Scholar] [CrossRef]
- Ozay, C.; Celiktas, M.S. Statistical analysis of wind speed using two-parameter Weibull distribution in Alaçatı region. Energy Convers. Manag. 2016, 121, 49–54. [Google Scholar] [CrossRef]
- Safari, B.; Gasore, J. A statistical investigation of wind characteristics and wind energy potential based on the Weibull and Rayleigh models in Rwanda. Renew. Energy 2010, 35, 2874–2880. [Google Scholar] [CrossRef]
- Ali, S.; Lee, S.-M.; Jang, C.-M. Forecasting the long-term wind data via measure-correlate-predict (MCP) methods. Energies 2018, 11, 1541. [Google Scholar] [CrossRef]
- Chadee, X.T.; Seegobin, N.R.; Clarke, R.M. Optimizing the weather research and forecasting (WRF) model for mapping the near-surface wind resources over the Southernmost Caribbean Islands of Trinidad and Tobago. Energies 2017, 10, 931. [Google Scholar] [CrossRef]












| Name of the Method | Weibull Parameter | Statistical Test | ||
|---|---|---|---|---|
| k | c | r | RMSE | |
| Moment method | 1.5900 | 5.326 | 0.954 | 0.0149 |
| Empirical method | 1.5867 | 5.312 | 0.953 | 0.0149 |
| Maximum likelihood | 1.5810 | 5.315 | 0.967 | 0.0152 |
| Equivalent energy method | 1.5511 | 5.324 | 0.978 | 0.0142 |
| Energy pattern factor method | 1.5142 | 5.305 | 0.966 | 0.0151 |
| PSO | 1.5826 | 5.317 | 0.963 | 0.0158 |
| MFO | 1.5471 | 5.264 | 0.972 | 0.0175 |
| GWO | 1.5984 | 5.320 | 0.984 | 0.0165 |
| Multiverse optimization | 1.626 | 5.355 | 0.995 | 0.0052 |
| Parameters | Vmean | Std. Dev | Variance | c | k | Vmp | VmaxE | |||||||
|---|---|---|---|---|---|---|---|---|---|---|---|---|---|---|
| Month | 10 m | 65 m | 10 m | 65 m | 10 m | 65 m | 10 m | 65 m | 10 m | 65 m | 10 m | 65 m | 10 m | 65 m |
| Jan | 4.08 | 5.33 | 3.2 | 3.89 | 10.22 | 15.12 | 4.43 | 5.78 | 1.47 | 1.41 | 2.07 | 3.14 | 7.91 | 10.75 |
| Feb | 3.52 | 4.83 | 2.46 | 3.17 | 6.056 | 10.07 | 3.92 | 5.35 | 1.68 | 1.62 | 2.29 | 4.02 | 6.259 | 8.76 |
| Mar | 3.86 | 5.27 | 2.54 | 3.32 | 6.463 | 11.03 | 4.28 | 5.86 | 1.65 | 1.54 | 2.45 | 3.97 | 6.909 | 10.02 |
| Apr | 2.93 | 3.79 | 1.89 | 2.3 | 3.574 | 5.27 | 3.24 | 4.22 | 1.56 | 1.52 | 1.68 | 2.78 | 5.514 | 7.302 |
| May | 2.59 | 3.37 | 1.68 | 2.19 | 2.811 | 4.77 | 3.56 | 4.12 | 1.57 | 1.50 | 1.88 | 2.62 | 5.984 | 7.234 |
| Jun | 2.72 | 3.43 | 1.94 | 2.44 | 3.774 | 5.93 | 3.01 | 3.76 | 1.53 | 1.42 | 1.51 | 2.08 | 5.203 | 6.941 |
| Jul | 2.91 | 3.75 | 1.88 | 2.31 | 3.521 | 5.35 | 3.25 | 3.71 | 1.70 | 1.37 | 1.94 | 1.83 | 5.13 | 7.13 |
| Aug | 2.43 | 3.17 | 1.48 | 1.96 | 2.187 | 3.84 | 3.01 | 3.53 | 1.60 | 1.64 | 1.64 | 2.71 | 4.992 | 5.739 |
| Sep | 2.84 | 3.83 | 2.02 | 2.59 | 4.066 | 6.7 | 3.13 | 4.21 | 1.52 | 1.43 | 1.83 | 2.35 | 6.31 | 7.746 |
| Oct | 2.91 | 3.82 | 2.01 | 2.62 | 4.057 | 6.85 | 3.25 | 4.19 | 1.67 | 1.45 | 1.9 | 1.89 | 5.2 | 7.598 |
| Nov | 3.86 | 5.10 | 2.45 | 3.14 | 6.004 | 9.84 | 4.27 | 5.66 | 1.61 | 1.49 | 2.35 | 2.72 | 7.058 | 9.968 |
| Dec | 5.12 | 6.62 | 3.74 | 4.65 | 14.02 | 21.62 | 5.54 | 7.25 | 1.29 | 1.27 | 1.76 | 2.19 | 11.43 | 15.16 |
| Aggregate | 3.31 | 4.36 | 2.3 | 2.88 | 5.56 | 8.87 | 3.75 | 4.81 | 1.58 | 1.47 | 1.94 | 2.69 | 6.49 | 8.7 |
| Vj | Weibull 10 m | Weibull Cum 10 m | Rayleigh 10 m | Rayleigh Cum 10 m | Real 10 m | Real 65 m | Weibull 65 m | Weibull Cum 65 m | Rayleigh 65 m | Rayleigh Cum 65 m |
|---|---|---|---|---|---|---|---|---|---|---|
| 0 ≤ Vj < 1 | 2.025 | 1.55 | 1.553 | 0.81 | 1.322 | 1.125 | 1.492 | 1.108 | 0.9172 | 0.4698 |
| 1 ≤ Vj < 2 | 2.046 | 3.634 | 2.41 | 2.867 | 2.601 | 1.710 | 1.647 | 2.712 | 1.5878 | 1.7509 |
| 2 ≤ Vj < 3 | 1.707 | 5.526 | 2.37 | 5.324 | 2.163 | 1.494 | 1.529 | 4.315 | 1.8724 | 3.5150 |
| 3 ≤ Vj < 4 | 1.284 | 7.022 | 1.749 | 7.411 | 1.368 | 1.347 | 1.298 | 5.734 | 1.7825 | 5.3696 |
| 4 ≤ Vj < 5 | 0.897 | 8.106 | 1.022 | 8.79 | 0.922 | 1.170 | 1.037 | 6.902 | 1.4449 | 6.9972 |
| 5 ≤ Vj < 6 | 0.592 | 8.843 | 0.484 | 9.522 | 0.616 | 0.989 | 0.791 | 7.814 | 1.0213 | 8.2313 |
| 6 ≤ Vj < 7 | 0.372 | 9.319 | 0.189 | 9.841 | 0.393 | 0.774 | 0.581 | 8.497 | 0.6374 | 9.0538 |
| 7 ≤ Vj < 8 | 0.224 | 9.612 | 0.061 | 9.955 | 0.231 | 0.516 | 0.413 | 8.991 | 0.3539 | 9.5403 |
| 8 ≤ Vj < 9 | 0.13 | 9.785 | 0.016 | 9.989 | 0.146 | 0.299 | 0.285 | 9.337 | 0.1757 | 9.7971 |
| 9 ≤ Vj < 10 | 0.073 | 9.885 | 0.015 | 9.998 | 0.098 | 0.175 | 0.192 | 9.573 | 0.0782 | 9.9186 |
| 10 ≤ Vj < 11 | 0.04 | 9.94 | 0.013 | 9.999 | 0.055 | 0.126 | 0.126 | 9.731 | 0.0313 | 9.9704 |
| 11 ≤ Vj < 12 | 0.021 | 9.969 | 0.011 | 9.999 | 0.038 | 0.089 | 0.0812 | 9.833 | 0.0113 | 9.9902 |
| 12 ≤ Vj < 13 | 0.011 | 9.985 | 0.01 | 9.999 | 0.021 | 0.056 | 0.0511 | 9.898 | 0.0036 | 9.9970 |
| 13 ≤ Vj < 14 | 0.01 | 9.993 | 0.009 | 9.999 | 0.013 | 0.047 | 0.0316 | 9.939 | 0.0010 | 9.9991 |
| 14 ≤ Vj < 15 | 0.009 | 9.996 | 0.008 | 9.999 | 0.006 | 0.032 | 0.0191 | 9.964 | 0.0002 | 9.9998 |
| 15 ≤ Vj < 16 | 0.008 | 9.998 | 0.06 | 9.999 | 0.003 | 0.015 | 0.0114 | 9.979 | 6.88 × 10−5 | 9.9999 |
| 16 ≤ Vj < 17 | 0.006 | 9.999 | 0.005 | 10 | 0.002 | 0.014 | 0.0067 | 9.988 | 1.49 × 10−5 | 9.9999 |
| 17 ≤ Vj < 18 | 0.004 | 10 | 0.004 | 10 | 0.001 | 0.006 | 0.0038 | 9.993 | 2.93 × 10−6 | 9.9999 |
| 18 ≤ Vj < 19 | 0.003 | 10 | 0.003 | 10 | 0.001 | 0.003 | 0.0022 | 9.996 | 5.22 × 10−7 | 10 |
| 19 ≤ Vj < 20 | 0.002 | 10 | 0.001 | 10 | 0.001 | 0.001 | 0.0012 | 9.997 | 8.41 × 10−8 | 10 |
| 20 ≤ Vj < 21 | 0.001 | 10 | 0.001 | 10 | 0.001 | 0.001 | 0.0006 | 9.998 | 1.23 × 10−8 | 10 |
| 21 ≤ Vj < 22 | 0.001 | 10 | 0.001 | 10 | 0.001 | 0.000 | 0.0003 | 9.999 | 1.62 × 10−9 | 10 |
| 22 ≤ Vj < 23 | 0.001 | 10 | 0.001 | 10 | 0.001 | 0.000 | 0.0002 | 9.999 | 1.95 × 10−10 | 10 |
| 23 ≤ Vj < 24 | 0.001 | 10 | 0.001 | 10 | 0.001 | 0.004 | 0.0001 | 9.999 | 2.12 × 10−11 | 10 |
| Parameter | R2 | SS | F-test | MAPE | MAD | MSD | χ2 | Kolmogorov | t-Stat |
|---|---|---|---|---|---|---|---|---|---|
| Jan | 0.9898 | 2120.57 | 18.24 | 12.146 | 2.406 | 9.910 | 0.018 | 0.140 | 6.1205 |
| Feb | 0.9426 | 2105.34 | 15.09 | 10.205 | 1.801 | 5.698 | 0.022 | 0.134 | 5.357 |
| Mar | 0.9153 | 3008.94 | 40.206 | 8.3558 | 1.7100 | 4.6446 | 0.024 | 0.095 | 8.637 |
| Apr | 0.7457 | 3963.42 | 46.917 | 15.436 | 1.501 | 3.371 | 0.058 | 0.089 | 8.8102 |
| May | 0.9130 | 4557.47 | 26.04 | 10.745 | 1.296 | 2.671 | 0.042 | 0.096 | 6.3874 |
| Jun | 0.9592 | 4226.39 | 30.956 | 20.479 | 1.539 | 3.764 | 0.047 | 0.128 | 7.0846 |
| Jul | 0.90455 | 4191.54 | 31.001 | 7.1365 | 1.4998 | 3.4599 | 0.051 | 0.111 | 7.38159 |
| Aug | 0.9282 | 5116.09 | 21.9719 | 6.4362 | 1.1129 | 2.1627 | 0.024 | 0.086 | 6.016 |
| Sep | 0.9543 | 4054.44 | 28.395 | 17.869 | 1.450 | 3.856 | 0.095 | 0.126 | 6.8898 |
| Oct | 0.9210 | 4261.25 | 26.216 | 11.613 | 1.602 | 4.048 | 0.064 | 0.154 | 6.5784 |
| Nov | 0.979 | 2827.21 | 63.900 | 17.10 | 1.836 | 5.329 | 0.073 | 0.085 | 10.8828 |
| Dec | 0.91393 | 2269.29 | 96.235 | 25.471 | 3.093 | 13.940 | 0.023 | 0.112 | 13.3726 |
| Wind Direction | Wind Speed (m/s) | ||||||||||||
|---|---|---|---|---|---|---|---|---|---|---|---|---|---|
| 0–2 | 2–4 | 4–6 | 6–8 | 8–10 | 10–12 | 12–14 | 14–16 | 16–18 | 18–20 | 20–22 | 22–24 | Total | |
| 0–10 | 0.42% | 0.36% | 0.36% | 0.31% | 0.08% | 0.01% | 0% | 0% | 0% | 0% | 0% | 0% | 1.55% |
| 10–20 | 0.54% | 0.27% | 0.19% | 0.13% | 0.05% | 0.01% | 0% | 0% | 0% | 0% | 0% | 0% | 1.18% |
| 20–30 | 0.51% | 0.2% | 0.12% | 0.05% | 0.02% | 0.01% | 0% | 0% | 0% | 0% | 0% | 0% | 0.9% |
| 30–40 | 0.53% | 0.21% | 0.1% | 0.03% | 0.02% | 0.01% | 0% | 0% | 0% | 0% | 0% | 0% | 0.89% |
| 40–50 | 0.43% | 0.22% | 0.12% | 0.06% | 0.02% | 0.01% | 0% | 0% | 0% | 0% | 0% | 0% | 0.86% |
| 50–60 | 0.48% | 0.24% | 0.16% | 0.1% | 0.02% | 0.01% | 0% | 0% | 0% | 0% | 0% | 0% | 1.02% |
| 60–70 | 0.54% | 0.29% | 0.19% | 0.11% | 0.07% | 0.02% | 0% | 0% | 0% | 0% | 0% | 0% | 1.22% |
| 70–80 | 0.71% | 0.42% | 0.24% | 0.2% | 0.1% | 0.02% | 0% | 0% | 0% | 0% | 0% | 0% | 1.7% |
| 80–90 | 0.52% | 0.51% | 0.34% | 0.33% | 0.07% | 0.02% | 0% | 0% | 0% | 0% | 0% | 0% | 1.78% |
| 90–100 | 1.6% | 1.45% | 0.62% | 0.25% | 0.06% | 0.01% | 0% | 0% | 0% | 0% | 0% | 0% | 3.99% |
| 100–110 | 1.05% | 1.63% | 1.05% | 0.32% | 0.05% | 0.02% | 0% | 0% | 0% | 0% | 0% | 0% | 4.12% |
| 110–120 | 0.96% | 1.82% | 1.78% | 0.93% | 0.22% | 0.04% | 0.01% | 0% | 0% | 0% | 0% | 0% | 5.76% |
| 120–130 | 1.08% | 1.94% | 1.69% | 1.38% | 0.24% | 0.02% | 0% | 0% | 0% | 0% | 0% | 0% | 6.34% |
| 130–140 | 1.08% | 1.24% | 0.62% | 0.37% | 0.04% | 0% | 0% | 0% | 0% | 0% | 0% | 0% | 3.35% |
| 140–150 | 0.88% | 0.7% | 0.33% | 0.07% | 0% | 0% | 0% | 0% | 0% | 0% | 0% | 0% | 1.98% |
| 150–160 | 0.77% | 0.42% | 0.17% | 0.02% | 0% | 0% | 0% | 0% | 0% | 0% | 0% | 0% | 1.39% |
| 160–170 | 0.6% | 0.31% | 0.13% | 0.03% | 0% | 0% | 0% | 0% | 0% | 0% | 0% | 0% | 1.07% |
| 170–180 | 0.35% | 0.28% | 0.12% | 0.02% | 0% | 0% | 0% | 0% | 0% | 0% | 0% | 0% | 0.78% |
| 180–190 | 1.28% | 0.43% | 0.18% | 0.06% | 0% | 0% | 0% | 0% | 0% | 0% | 0% | 0% | 1.95% |
| 190–200 | 0.52% | 0.36% | 0.25% | 0.06% | 0.01% | 0% | 0% | 0% | 0% | 0% | 0% | 0% | 1.21% |
| 200–210 | 0.44% | 0.31% | 0.22% | 0.18% | 0.05% | 0.02% | 0.01% | 0% | 0% | 0% | 0% | 0% | 1.22% |
| 210–220 | 0.49% | 0.43% | 0.27% | 0.21% | 0.12% | 0.06% | 0.04% | 0.01% | 0.02% | 0.01% | 0% | 0% | 1.63% |
| 220–230 | 0.57% | 0.42% | 0.39% | 0.23% | 0.18% | 0.11% | 0.04% | 0.05% | 0.02% | 0.01% | 0% | 0% | 2.03% |
| 230–240 | 0.5% | 0.59% | 0.58% | 0.34% | 0.23% | 0.12% | 0.07% | 0.03% | 0.02% | 0% | 0% | 0% | 2.47% |
| 240–250 | 0.62% | 0.73% | 0.89% | 0.7% | 0.35% | 0.33% | 0.23% | 0.1% | 0.05% | 0.01% | 0% | 0% | 4.01% |
| 250–260 | 0.66% | 0.98% | 1.14% | 1.12% | 0.74% | 0.4% | 0.21% | 0.12% | 0.05% | 0% | 0.01% | 0% | 5.44% |
| 260–270 | 0.53% | 1.03% | 1.6% | 1.33% | 0.72% | 0.38% | 0.21% | 0.07% | 0.02% | 0.01% | 0.01% | 0% | 5.92% |
| 270–280 | 1.63% | 1.92% | 2.36% | 1.72% | 0.68% | 0.26% | 0.12% | 0.06% | 0.02% | 0.01% | 0% | 0% | 8.77% |
| 280–290 | 0.99% | 1.44% | 1.44% | 0.78% | 0.3% | 0.15% | 0.06% | 0.04% | 0.01% | 0% | 0% | 0% | 5.2% |
| 290–300 | 0.99% | 1.17% | 0.76% | 0.35% | 0.1% | 0.05% | 0.01% | 0.01% | 0% | 0% | 0% | 0% | 3.44% |
| 300–310 | 0.92% | 1.08% | 0.46% | 0.16% | 0.04% | 0.02% | 0% | 0.01% | 0% | 0% | 0% | 0% | 2.68% |
| 310–320 | 0.95% | 0.92% | 0.33% | 0.09% | 0.02% | 0.01% | 0% | 0% | 0% | 0% | 0% | 0% | 2.32% |
| 320–330 | 0.89% | 0.96% | 0.38% | 0.08% | 0.03% | 0.01% | 0% | 0% | 0% | 0% | 0% | 0% | 2.34% |
| 330–340 | 0.82% | 1.08% | 0.56% | 0.15% | 0.04% | 0.01% | 0% | 0% | 0% | 0% | 0% | 0% | 2.66% |
| 340–350 | 0.87% | 1.17% | 0.72% | 0.25% | 0.07% | 0.01% | 0% | 0% | 0% | 0% | 0% | 0% | 3.1% |
| 350–360 | 1.41% | 0.93% | 0.8% | 0.46% | 0.08% | 0.04% | 0.01% | 0% | 0% | 0% | 0% | 0% | 3.72% |
| Total | 28.13% | 28.47% | 21.64% | 12.98% | 4.8% | 2.17% | 1.03% | 0.49% | 0.21% | 0.05% | 0.02% | 0.01% | 100% |
© 2019 by the authors. Licensee MDPI, Basel, Switzerland. This article is an open access article distributed under the terms and conditions of the Creative Commons Attribution (CC BY) license (http://creativecommons.org/licenses/by/4.0/).
Share and Cite
Kumar, M.B.H.; Balasubramaniyan, S.; Padmanaban, S.; Holm-Nielsen, J.B. Wind Energy Potential Assessment by Weibull Parameter Estimation Using Multiverse Optimization Method: A Case Study of Tirumala Region in India. Energies 2019, 12, 2158. https://doi.org/10.3390/en12112158
Kumar MBH, Balasubramaniyan S, Padmanaban S, Holm-Nielsen JB. Wind Energy Potential Assessment by Weibull Parameter Estimation Using Multiverse Optimization Method: A Case Study of Tirumala Region in India. Energies. 2019; 12(11):2158. https://doi.org/10.3390/en12112158
Chicago/Turabian StyleKumar, Mekalathur B Hemanth, Saravanan Balasubramaniyan, Sanjeevikumar Padmanaban, and Jens Bo Holm-Nielsen. 2019. "Wind Energy Potential Assessment by Weibull Parameter Estimation Using Multiverse Optimization Method: A Case Study of Tirumala Region in India" Energies 12, no. 11: 2158. https://doi.org/10.3390/en12112158
APA StyleKumar, M. B. H., Balasubramaniyan, S., Padmanaban, S., & Holm-Nielsen, J. B. (2019). Wind Energy Potential Assessment by Weibull Parameter Estimation Using Multiverse Optimization Method: A Case Study of Tirumala Region in India. Energies, 12(11), 2158. https://doi.org/10.3390/en12112158

