Design Methodology of Tightly Regulated Dual-Output LLC Resonant Converter Using PFM-APWM Hybrid Control Method †
Abstract
:1. Introduction
2. Analysis of Dual-Output LLC Resonant Converter
2.1. Operational Principle
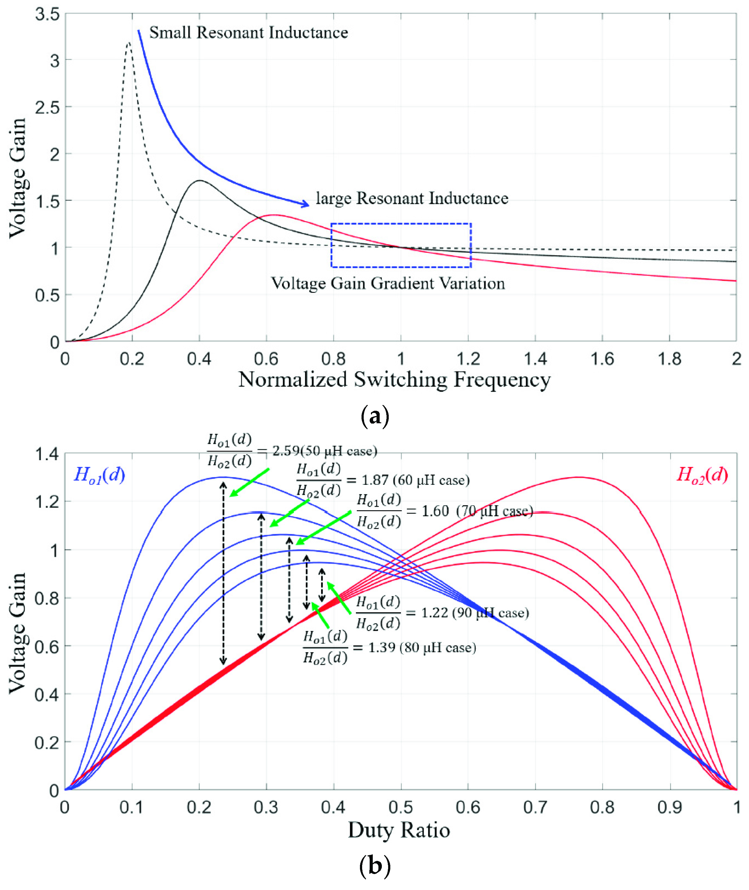
2.2. Gain Analysis According to Modulation Methods
2.3. Magnetizing Inductance Design for Soft Switching Capability
3. Analysis of PFM and APWM Hybrid Control Algorithm and Resonant Tank Design
3.1. Analysis of the Hybrid Control Algorithm
3.2. Resonant Tank Design for Minimizing Output Voltage Error
- Step 1: The design specifications are shown in Table 1.
- Step 2: The magnetizing inductance can be calculated with (12). The proper magnetizing inductance is 280 μH to achieve ZVS for the entire load range as shown in Figure 9.
- Step 3: The required maximum voltage gain ratio is 1.31 and 0.64, which can be calculated with (21), and (25). The resonant inductance and capacitance can be calculated with (26), which are 70 μH and 30 nF. Therefore, the design example shows resonant impedance and magnetizing inductance to achieve ZVS for the entire load range, which can compensate all voltage errors of all the outputs using the hybrid control algorithm.
4. Experimental Results
5. Conclusions
Author Contributions
Funding
Conflicts of Interest
References
- Xi, Y.; Jain, P.K. A forward converter topology with independently and precisely regulated multiple outputs. IEEE Trans. Power Electron. 2003, 18, 648–658. [Google Scholar]
- Chen, Q.; Lee, F.C.; Jovanovic, M.M. Analysis and design of weighted voltage mode control for a multiple-output forward converter. In Proceedings of the Eighth Annual Applied Power Electronics Conference and Exposition, San Diego, CA, USA, 7–11 March 1995; pp. 449–455. [Google Scholar]
- Ji, C.; Smith, M.; Smedley, K.M.; King, K. Cross regulation in flyback converters: Analytic model and solution. IEEE Trans. Power Electron. 2001, 16, 231–239. [Google Scholar]
- Kim, H.S.; Jung, J.H.; Baek, J.W.; Kim, H.J. Analysis and Design of a Multi output Converter Using Asymmetrical PWM Half-Bridge Flyback Converter Employing a Parallel-Series Transformer. IEEE Trans. Ind. Electron. 2013, 60, 3115–3125. [Google Scholar] [CrossRef]
- Kim, J.W.; Ha, J.I. Dual voltage regulation of single switch flyback converter using variable switching frequency. In Proceedings of the IEEE Applied Power Electronics Conference and Exposition (APEC), Long Beach, CA, USA, 20–24 March 2016; pp. 1398–1402. [Google Scholar]
- Lo, Y.K.; Yen, S.C.; Song, T.H. Analysis and Design of a Double-Output Series- Resonant DC-DC Converter. IEEE Trans. Power Electron. 2007, 22, 952–959. [Google Scholar] [CrossRef]
- Ayachit, A.; Reatti, A.; Kazimierczuk, M.K. Magnetizing inductance of multiple- output flyback dc/dc convertor for discontinuous-conduction mode. IET. Power Electron. 2017, 10, 451–461. [Google Scholar] [CrossRef]
- Jung, J.H.; Ahmed, S. Flyback converter with novel active clamp control and secondary side post regulator for low standby power consumption under high efficiency operation. IET Power Electron. 2011, 4, 1058–1067. [Google Scholar] [CrossRef]
- Wang, X.; Tian, F.; Batarseh, I. High efficiency parallel post regulator for wide range input dc-dc converter. IEEE Trans. Power Electron. 2008, 23, 852–858. [Google Scholar] [CrossRef]
- Kim, J.K.; Lee, J.B.; Moon, G.W. Zero-voltage switching multioutput flyback converter with integrated auxiliary buck converter. IEEE Trans. Power Electron. 2014, 29, 3001–3010. [Google Scholar] [CrossRef]
- Kim, E.H.; Lee, J.J.; Kwon, J.M.; Choi, W.Y.; Kwon, B.H. Asymmetrical pwm half-bridge converter with independently regulated multiple outputs. IEEE Proc. Electr. Power Appl. 2006, 153, 14–22. [Google Scholar] [CrossRef]
- Su, B.; Wen, H.; Zhang, J.; Lu, Z. A soft-switching post regulator for multi-outputs dual forward dc/dc converter with tight output voltage regulation. IET Power Electron. 2013, 6, 1067–1077. [Google Scholar] [CrossRef]
- Park, S.G.; Ryu, S.H.; Cho, K.S.; Lee, B.K. An improved single switched post regulator for multiple output isolated converters. In Proceedings of the IEEE Power Electronics Conference (ECCE), Seoul, Korea, 1–5 June 2015; pp. 2403–2408. [Google Scholar]
- Kim, J.K.; Choi, S.W.; Kim, C.E.; Moon, G.W. A new standby structure using multi output full-bridge converter integrating flyback converter. IEEE Trans. Ind. Electron. 2011, 58, 4763–4767. [Google Scholar] [CrossRef]
- Hwu, K.I.; Ziang, W.Z.; Kim, C.E.; Moon, G.W. Time-sharing pwm control scheme for isolated multi-output dcdc converter. Electron. Lett. 2015, 51, 1446–1447. [Google Scholar] [CrossRef]
- Nami, A.; Zare, F.; Ghosh, A.; Blaabjerg, F. Multi-output dc-dc converters based on diode-clamped converters configuration: Topology and control strategy. IET Power Electron. 2010, 3, 197–208. [Google Scholar] [CrossRef]
- Ray, O.; Josyula, A.P.; Mishra, S.; Joshi, A. Integrated dual-output converter. IEEE Trans. Ind. Electron. 2015, 62, 371–382. [Google Scholar] [CrossRef]
- Trevisan, D.; Mattavelli, P.; Tenti, P. Digital control of single inductor multiple output step-down dc-dc converters in ccm. IEEE Trans. Ind. Electron. 2008, 55, 3476–3483. [Google Scholar] [CrossRef]
- Wang, B.; Kanamarlapudi, V.R.K.; Xian, L.; Peng, K.T.T.X.; So, P.L. Model predictive voltage control for single-inductor multiple-output dcdc converter with reduced cross regulation. IEEE Trans. Ind. Electron. 2016, 63, 4187–4197. [Google Scholar] [CrossRef]
- Chen, Y.T.; Shih, F.Y. New multi-output switching converters with mosfet-rectifier post regulators. IEEE Trans. Ind. Electron. 1998, 45, 609–616. [Google Scholar] [CrossRef]
- Park, H.; Jung, J. PWM and PFM Hybrid Control Method for LLC Resonant Converters in High Switching Frequency Operation. IEEE Trans. Ind. Electron. 2017, 64, 253–263. [Google Scholar] [CrossRef]
- Park, H.; Jung, J. Power Stage and Feedback Loop Design for LLC Resonant Converter in High-Switching-Frequency Operation. IEEE Trans. Power Electron. 2017, 32, 7770–7782. [Google Scholar] [CrossRef]
- Choi, Y.-J.; Cha, H.-R.; Jung, S.-M.; Kim, R.-Y. An Integrated Current-Voltage Compensator Design Method for Stable Constant Voltage and Current Source Operation of LLC Resonant Converters. Energies 2018, 11, 1325. [Google Scholar] [CrossRef]
- Liu, Y.-C.; Chen, C.; Chen, K.-D.; Syu, Y.-L.; Tsai, M.-C. High-Frequency LLC Resonant Converter with GaN Devices and Integrated Magnetics. Energies 2019, 12, 1781. [Google Scholar] [CrossRef]
- Demirel, I.; Erkmen, B. A very low-profile dual output llc resonant converter for lcd/led tv applications. IEEE Trans. Power Electron. 2014, 29, 3514–3524. [Google Scholar] [CrossRef]
- Roes, M.G.L.; Duarte, J.L.; Hendrix, M.A.M. Disturbance observer-based control of a dual-output llc converter for solid-state lighting applications. IEEE Trans. Power Electron. 2011, 26, 2018–2027. [Google Scholar] [CrossRef]
- Cho, S.H.; Kim, C.S.; Han, S.K. High-efficiency and low cost tightly regulated dual-output llc resonant converter. IEEE Trans. Ind. Electron. 2012, 59, 2982–2991. [Google Scholar] [CrossRef]
- Hang, L.; Wang, S.; Gu, Y.; Yao, W.; Lu, Z. High cross-regulation multioutput llc series resonant converter with magamp postregulator. IEEE Trans. Ind. Electron. 2011, 58, 3905–3913. [Google Scholar] [CrossRef]
- Wu, H.; Wan, K.; Sun, K.; Xing, Y. A high step-down multiple output converter with wide input voltage range based on quasi two stage architecture and dual output llc resonant converter. IEEE Trans. Power Electron. 2015, 30, 1793–1796. [Google Scholar] [CrossRef]
- Elferich, R.; Duerbaum, T. A new load resonant dual-output converter. In Proceedings of the IEEE Power Electronics Conference (ECCE), Cairns, Australia, 23–27 June 2002; pp. 1319–1324. [Google Scholar]
- Park, H.; Kim, M.; Jung, J. Tightly regulated dual-output half-bridge converter using PFM-APWM hybrid control method. In Proceedings of the IEEE Applied Power Electronics Conference and Exposition (APEC), Tampa, FL, USA, 26–30 March 2017; pp. 2022–2026. [Google Scholar]
- Yang, B.; Lee, F.C.; Zhang, A.J.; Huang, G. LLC resonant converter for front end DC/DC conversion. In Proceedings of the IEEE Applied Power Electronics Conference and Exposition (APEC), Dallas, TX, USA, 10–14 March 2002; pp. 1108–1112. [Google Scholar]
- Jung, J.H. Feed-forward compensator of operating frequency for apwm hb flyback converter. IEEE Trans. Power Electron. 2012, 27, 211–223. [Google Scholar] [CrossRef]
















| Parameter | Value | Parameter | Value | Parameter | Value |
|---|---|---|---|---|---|
| Vin | 400 V | Load 1 | 20 V, 6 A | Load 2 | 10 V, 7 A |
| nmod | 12 | Lm | 380 μH | Lr | 70 μH |
| Cr | 30 nF | fr | 109 kHz | Rds | 330 mΩ |
| Rtr1 | 300 mΩ | Rtr2 | 130 mΩ | Rc | 40 mΩ |
| VD1,2 | 0.4 V |
| Conventional Cross Regulation | Proposed Cross Regulation | |
|---|---|---|
| kw Duty | kw1 = 1 and kw2 = 1 D = 1 | kw1 = 1 and kw2 = 1 0.35 < D < 0.65 |
| Case 1 Error | Iout1 = 1 A and Iout2 = 7 A | |
| Vout1 = 5% and Vout2 = 9% | Vout1 = 0.25% and Vout2 = 0.3% | |
| Case 2 Error | Iout1 = 6 A and Iout2 = 1 A | |
| Vout1 = 6.1% and Vout2 = 8.8% | Vout1 = 0.3% and Vout2 = 0.3% | |
| Case 3 Error | Iout1 = 1 A and Iout2 = 1 A | |
| Vout1 = 0.25% and Vout2 = 0.34% | Vout1 = 0.12% and Vout2 = 0.18% | |
| Case 4 Error | Iout1 = 6 A and Iout2 = 7 A | |
| Vout1 = 0.41% and Vout2 = 0.63% | Vout1 = 0.1% and Vout2 = 0.12% | |
© 2019 by the authors. Licensee MDPI, Basel, Switzerland. This article is an open access article distributed under the terms and conditions of the Creative Commons Attribution (CC BY) license (http://creativecommons.org/licenses/by/4.0/).
Share and Cite
Park, H.; Kim, M.; Kim, H.; Jung, J. Design Methodology of Tightly Regulated Dual-Output LLC Resonant Converter Using PFM-APWM Hybrid Control Method. Energies 2019, 12, 2146. https://doi.org/10.3390/en12112146
Park H, Kim M, Kim H, Jung J. Design Methodology of Tightly Regulated Dual-Output LLC Resonant Converter Using PFM-APWM Hybrid Control Method. Energies. 2019; 12(11):2146. https://doi.org/10.3390/en12112146
Chicago/Turabian StylePark, HwaPyeong, Mina Kim, HakSun Kim, and JeeHoon Jung. 2019. "Design Methodology of Tightly Regulated Dual-Output LLC Resonant Converter Using PFM-APWM Hybrid Control Method" Energies 12, no. 11: 2146. https://doi.org/10.3390/en12112146
APA StylePark, H., Kim, M., Kim, H., & Jung, J. (2019). Design Methodology of Tightly Regulated Dual-Output LLC Resonant Converter Using PFM-APWM Hybrid Control Method. Energies, 12(11), 2146. https://doi.org/10.3390/en12112146

