Modeling and Analysis of a PCM-Controlled Boost Converter Designed to Operate in DCM
Abstract
:1. Introduction
2. Modeling of PCM Control in DCM
2.1. Small-Signal State Space of DDR-Controlled Boost Converter in DCM
2.2. Averaged Comparator Equation for PCM-Controlled DCM Boost Converter
2.3. Small-Signal Duty-Ratio Constraints for PCM-Controlled DCM Boost Converter
2.4. Full-Order PCM State-Space for PCM-Controlled DCM Boost Converter
2.5. Full-Order PCM Transfer Functions for PCM-Controlled DCM Boost Converter
2.6. Reduced-Order PCM Transfer Functions for PCM-Controlled DCM Boost Converter
2.7. Load-Resistor-Affected Dynamics
2.8. Generalized Transfer Functions
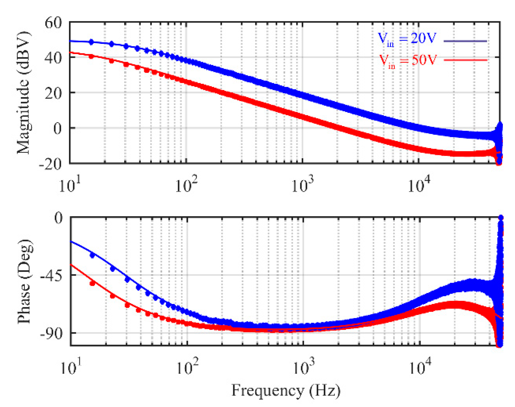
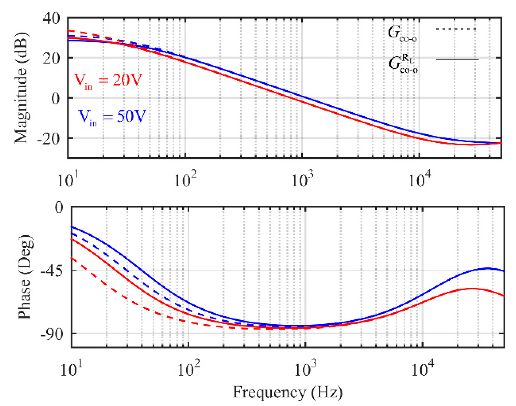
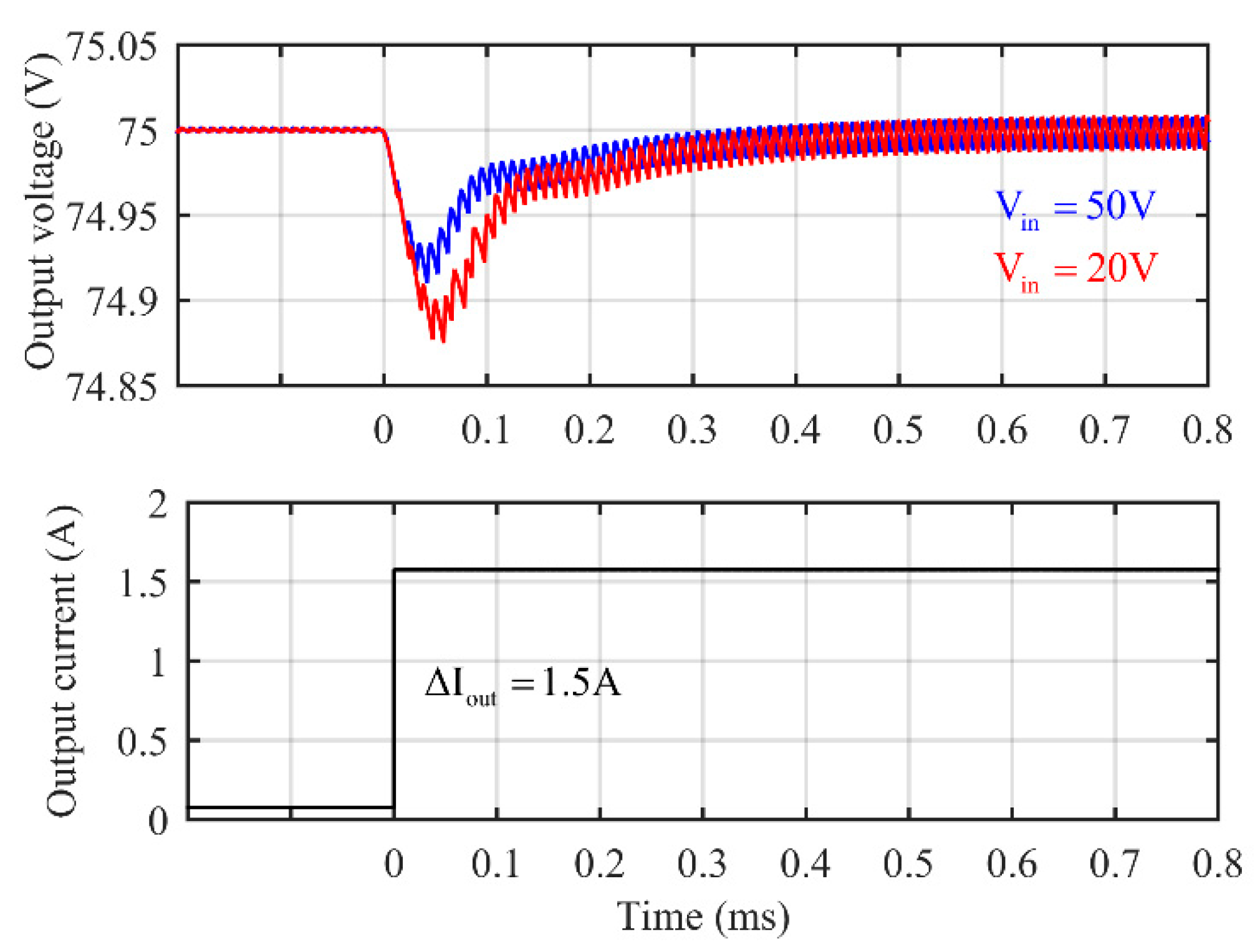
3. Simulink-Based Model Validation
4. Conclusions
Funding
Conflicts of Interest
References
- Deisch, C.W. Simple switching control method changes power converter into a current source. In Proceedings of the IEEE power Electron. Specialists Conf. (IEEE PESC), Syracuse, NY, USA, 13–15 June 1978; pp. 300–306. [Google Scholar]
- Capel, A.; Ferrante, G.; O’Sullivan, D.; Weinberg, A. Application of injected current model for the dynamic analysis of switching regulators with the new concept of LC3 modulator. In Proceedings of the IEEE power Electron. Specialists Conf. (IEEE PESC), Syracuse, NY, USA, 13–15 June 1978; pp. 135–147. [Google Scholar]
- Redl, R.; Sokal, N.O. Current-mode control, five different types, used with the three basic classes of power converters: Small-signal ac and large-signal DC characterization, stability requirements, and implementation of practical circuits. In Proceedings of the IEEE Power Electron. Specialists Conf. (IEEE PESC), Toulouse, France, 24–28 June 1985; pp. 771–785. [Google Scholar]
- Suntio, T. On dynamic modeling of PCM-controlled converters—Buck converter as an example. IEEE Trans. Power Electron. 2018, 33, 5502–5518. [Google Scholar] [CrossRef]
- Erickson, R.W.; Maksimović, D. Fundamentals of Power Electronics, 2nd ed.; Kluwer Academic Publishers: Norwell, MA, USA, 2001. [Google Scholar]
- Ridley, R.B. A new continuous-time model for current-mode control with constant frequency, constant on-time and constant off-time in CCM and DCM. In Proceedings of the IEEE Power Electron. Specialists Conf. (IEEE PESC), San Antonio, TX, USA, 11–14 June 1990; pp. 382–389. [Google Scholar]
- Fang, C.-C. Unified discrete-time modeling of buck converter in discontinuous mode. IEEE Trans. Power Electron. 2011, 26, 2335–2342. [Google Scholar] [CrossRef]
- Suntio, T. Analysis and modeling of peak-current-mode controlled buck converter in DICM. IEEE Trans. Ind. Electron. 2001, 48, 127–135. [Google Scholar] [CrossRef]
- Suntio, T. Dynamic modeling and analysis of PCM-controlled DCM-operated buck converter—A reexamination. Energies 2018, 11, 1267. [Google Scholar] [CrossRef]
- Suntio, T. Load-resistor-affected dynamic models in control design of switched-mode converters. EPE J. 2018, 28, 159–168. [Google Scholar] [CrossRef]
- Suntio, T.; Messo, T.; Puukko, J. Power Electronic Converters—Dynamics and Control in Conventional and Renewable Energy Applications; Wiley VCH: Weinheim, Germany, 2017. [Google Scholar]
- Gurbina, M.; Ciresan, A.; Lascu, D.; Lica, S.; Pop-Calimanu, I.M. A new exact mathematical approach for studying bifurcation in DCM operated dc-dc switching converters. Energies 2018, 11, 663. [Google Scholar] [CrossRef]
- Fang, C.-C.; Redl, R. Subharmonic instability limits for the peak-current-controlled buck converter with closed voltage feedback loop. IEEE Trans. Power Electron. 2015, 30, 1085–1092. [Google Scholar] [CrossRef]
- Suntio, T. Unified average and small-signal modeling of direct-on-time control. IEEE Trans. Ind. Electron. 2006, 53, 287–295. [Google Scholar] [CrossRef]
- Roinila, T.; Helin, T.; Vilkko, M.; Suntio, T.; Koivisto, H. Circular correlation based identification of switching power converter with uncertainty analysis using fuzzy density approach. J. Simul. Model. Pract. Theory 2009, 17, 1043–1058. [Google Scholar] [CrossRef]
- Roinila, T.; Vilkko, M.; Suntio, T. Fast loop gain measurement of switched-mode converter using binary signal with specified Fourier amplitude spectrum. IEEE Trans. Power Electron. 2009, 24, 2746–2755. [Google Scholar] [CrossRef]
- Sun, J.; Mitchell, D.M.; Greuel, M.F.; Krein, P.T.; Bass, R.M. Averaged modeling of PWM converters operating in discontinuous mode. IEEE Trans. Power Electron. 2001, 16, 482–492. [Google Scholar]









© 2018 by the author. Licensee MDPI, Basel, Switzerland. This article is an open access article distributed under the terms and conditions of the Creative Commons Attribution (CC BY) license (http://creativecommons.org/licenses/by/4.0/).
Share and Cite
Suntio, T. Modeling and Analysis of a PCM-Controlled Boost Converter Designed to Operate in DCM. Energies 2019, 12, 4. https://doi.org/10.3390/en12010004
Suntio T. Modeling and Analysis of a PCM-Controlled Boost Converter Designed to Operate in DCM. Energies. 2019; 12(1):4. https://doi.org/10.3390/en12010004
Chicago/Turabian StyleSuntio, Teuvo. 2019. "Modeling and Analysis of a PCM-Controlled Boost Converter Designed to Operate in DCM" Energies 12, no. 1: 4. https://doi.org/10.3390/en12010004
APA StyleSuntio, T. (2019). Modeling and Analysis of a PCM-Controlled Boost Converter Designed to Operate in DCM. Energies, 12(1), 4. https://doi.org/10.3390/en12010004

