A Novel Robust Model Predictive Controller for Aerospace Three-Phase PWM Rectifiers
Abstract
1. Introduction
- A MPDPC with the Bayesian estimation for PWM rectifiers in the aircraft ACVF power system is presented, which has not been fully investigated in existing literature for PWM rectifier’s parameter estimation. The probability distribution function of estimated parameters is presented through the analysis of variation for inductance’s value caused by different factors such as temperature. The Bayesian estimation algorithm integrated with MPDPC is derived in detail.
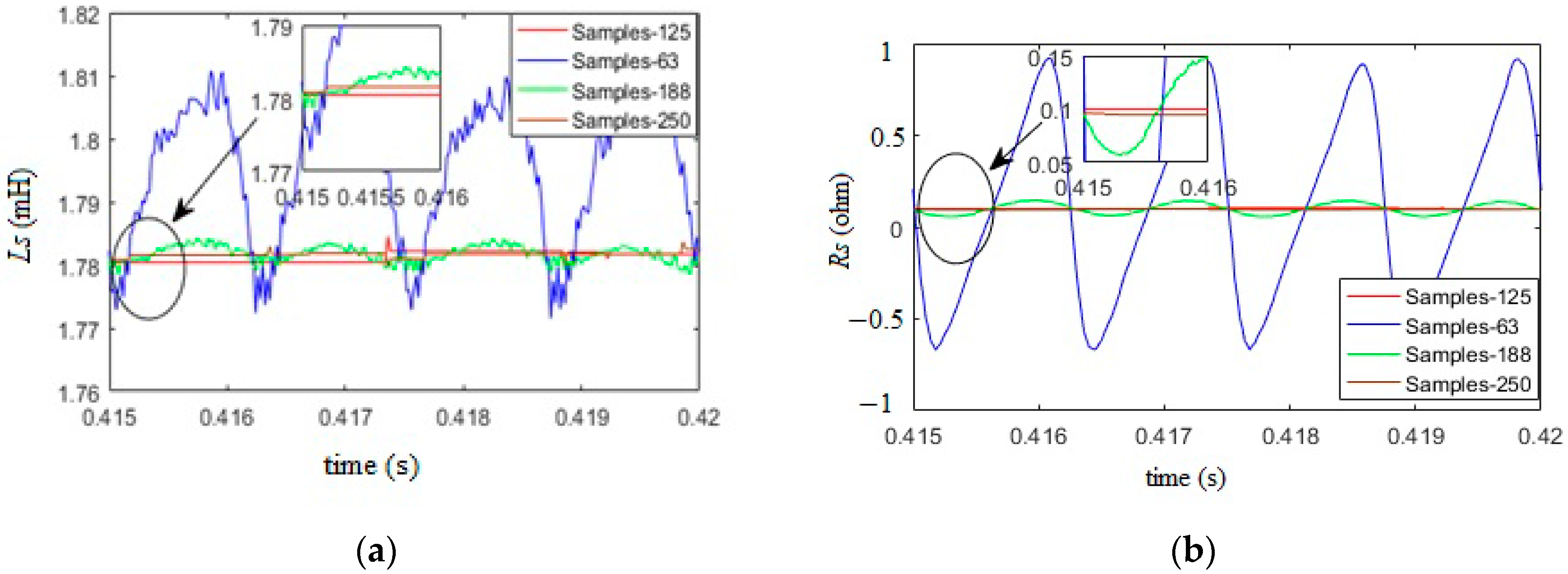
- The performance of the Bayesian estimation is compared with LSE according to the converging rate, stability of estimated parameters by digital simulation. For the Bayesian methods with MPDPC, the result of the estimation is also compared by using the input current signal with white noise. The digital simulation results validate the robust of Bayesian estimation to disturbance from the input signals. From the numbers of samples for the input measuring signal, The Bayesian estimation methods do not need more samples which would greatly reduce the computational complexity.
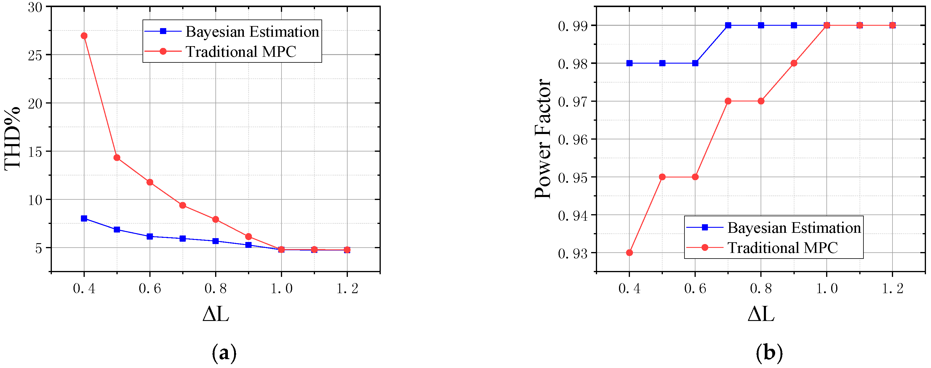
- The proposed Bayesian estimation method is compared with the LSE method and traditional MPDPC in experiments. The advantage of estimation methods is verified by digital simulation and experimental results. The several performance indexes are listed in following Tables to be discussed, the final conclusion can be obtained to test the feasibility of the proposed method.
- The Hard In Loop (HIL) and experimental testing rig was built to verify the theoretical analysis under the aircraft ACVF Power system.
2. Traditional Model Predictive Control Algorithm
3. Online Parameter Estimation Algorithm
4. Simulation and Experiment Results
4.1. Digital Simulation
4.2. Hard-in-Loop Simulation
5. Experimental Verification
6. Conclusions
Author Contributions
Conflicts of Interest
Nomenclature
| A,B | Parameters matrix dimension 3 × 3. |
| Y | Parameters matrix dimension (k − 1) × 1. |
| Parameters matrix dimension (k − 1) × 3. | |
| Estimated parameters matrix (3 × 1) and error matrix [(k − 1) × 1]. | |
| Estimated parameters. | |
| Grid voltage vector . | |
| Grid current vector . | |
| Voltage vector of PWM rectifiers. | |
| Grid filter inductance. | |
| Grid filter resistance. | |
| Grid axis voltage. | |
| Grid axis current. | |
| rectifiers dc link voltage. | |
| Grid active and reactive powers. | |
| Grid active and reactive reference powers | |
| Switching state of the upper switch at each leg. | |
| Sampling time. | |
| AC | Alternating Current |
| ACVF | Alternating Current Variable Frequency |
| ATRU | Auto-Transformer Rectifiers Unit |
| ESR | Equivalent Series Resistance |
| EKF | Extended Kalman Filter |
| FCS-MPC | Finite Control Set-Model Predictive Control |
| IGBT | Insulated Gate Bipolar Transistor |
| LSE | Least Square Estimation |
| TRU | Transformer rectifiers Unit |
| THD | Total Harmonic Distortion |
| MPC | Model Predictive Control |
| MPDPC | Model Predictive Direct Power Control |
| PWM | Pulse Width Modulation |
| UPS | Uninterruptable Power Supply |
Appendix A
References
- Rodríguez, J.; Cortes, P. Predictive Control of Power Converters and Electrical Drives, 1st ed.; Wiley-IEEE Press: New York, NY, USA, 2012. [Google Scholar]
- ParvezAkter, M.; Mekhilef, S.; Tan, M.L.N.; Akagi, H. Modified Model Predictive Control of a Bidirectional AC–DC Converter Based on Lyapunov Function for Energy Storage Systems. IEEE Trans. Ind. Electron. 2016, 63, 704–715. [Google Scholar] [CrossRef]
- Antoniewicz, P.; Kazmierkowski, M.P. Virtual-Flux-Based Predictive Direct Power Control of AC/DC Converters with Online Inductance Estimation. IEEE Trans. Ind. Electron. 2008, 55, 4381–4390. [Google Scholar] [CrossRef]
- Tokić, A.; Jukan, A.; Smajić, J. Parameter Estimation of Single-Phase Rectifier-Based Loads: Analytical Approach. IEEE Trans. Power Deliv. 2016, 31, 532–540. [Google Scholar] [CrossRef]
- Liu, Y.; Ge, B.; Abu-Rub, H. A model predictive control for low-frequency ripple power elimination of active power filter integrated single-phase quasi-Z-source inverter. In Proceedings of the 2017 IEEE International Conference on Industrial Technology (ICIT), Toronto, ON, Canada, 22–25 March 2017; pp. 1540–1545. [Google Scholar]
- Park, J.M.; Lee, K.H.; Park, Y.J.; Lee, J.H.; Won, C.Y. Predictive control for single-phase multi-module UPS inverters with output LC filter modeling. In Proceedings of the 2017 20th International Conference on Electrical Machines and Systems (ICEMS), Sydney, NSW, Australia, 11–14 August 2017; pp. 1–6. [Google Scholar]
- Eid, A.; EI-Kishky, H.; Abdel-Salam, M.; El-Mohandes, T. Power Quality Investigations of VSCF Aircraft Electric Power Systems. In Proceedings of the IEEE 42th South Eastern Symposium on System Theory University of Texas, Tyler, TX, USA, 7–9 March 2010; pp. 171–176. [Google Scholar]
- Department of Defense. MIL-STD-704F Aircraft Electric Power Characteristics. Military Standard. Available online: https://prod.nais.nasa.gov/eps/eps_data/137899-SOL-001-015.pdf2004 (accessed on 12 March 2004).
- Young, H.A.; Perez, M.A.; Rodriguez, J. Analysis of Finite-Control-Set Model Predictive Current Control with Model Parameter Mismatch in a Three-Phase Inverter. IEEE Trans. Ind. Electron. 2016, 63, 3100–3107. [Google Scholar] [CrossRef]
- CortÉs, P.; RodrÍguez, J.; Antoniewicz, P.; Kazmierkowski, M. Direct Power Control of an AFE Using Predictive Control. IEEE Trans. Power Electron. 2008, 23, 2516–2523. [Google Scholar] [CrossRef]
- Kwak, S.; Park, J.C. Model-Predictive Direct Power Control with Vector Preselection Technique for Highly Efficient Active Rectifiers. IEEE Trans. Ind. Inform. 2015, 11, 44–52. [Google Scholar] [CrossRef]
- Kahia, B.; Bouafia, A.; Abdelrahem, M.; Zhang, Z.; Chaoui, A.; Krama, A.; Kennel, R. A predictive direct power control strategy for three-level npc rectifier. In Proceedings of the 2017 5th International Conference on Electrical Engineering-Boumerdes (ICEE-B), Boumerdes, Algeria, 29–31 October 2017; pp. 1–5. [Google Scholar]
- Cortes, P.; Rodriguez, J.; Silva, C.; Flores, A. Delay Compensation in Model Predictive Current Control of a Three-Phase Inverter. IEEE Trans. Ind. Electron. 2012, 59, 1323–1325. [Google Scholar] [CrossRef]
- Léchappé, V.; Rouquet, S.; González, A.; Plestan, F.; León, J.D.; Moulay, E.; Glumineau, A. Delay Estimation and Predictive Control of Uncertain Systems with Input Delay: Application to a DC Motor. IEEE Trans. Ind. Electron. 2016, 63, 5849–5857. [Google Scholar] [CrossRef]
- Kwak, S.; Moon, U.C.; Park, J.C. Predictive-Control-Based Direct Power Control with an Adaptive Parameter Identification Technique for Improved AFE Performance. IEEE Trans. Power Electron. 2014, 29, 6178–6187. [Google Scholar] [CrossRef]
- Ma, J.; Song, W.; Wang, S.; Feng, X. Model Predictive Direct Power Control for Single Phase Three Level Rectifier at Low Switching Frequency. IEEE Trans. Power Electron. 2018, 33, 1050–1062. [Google Scholar] [CrossRef]
- Wang, F.; Davari, S.A.; Chen, Z.; Zhang, Z.; Khaburi, D.A.; Rodríguez, J.; Kennel, R. Finite Control Set Model Predictive Torque Control of Induction Machine with a Robust Adaptive Observer. IEEE Trans. Ind. Electron. 2017, 64, 2631–2641. [Google Scholar] [CrossRef]
- Xia, C.; Wang, M.; Song, Z.; Liu, T. Robust Model Predictive Current Control of Three-Phase Voltage Source PWM Rectifier with Online Disturbance Observation. IEEE Trans. Ind. Inform. 2012, 8, 459–471. [Google Scholar] [CrossRef]
- Rubagotti, M.; Raimondo, D.M.; Ferrara, A.; Magni, L. Robust Model Predictive Control with Integral Sliding Mode in Continuous-Time Sampled-Data Nonlinear Systems. IEEE Trans. Autom. Control 2011, 56, 556–570. [Google Scholar] [CrossRef]
- Yang, H.; Zhang, Y.; Liang, J.; Gao, J.; Walker, P.D.; Zhang, D. Sliding-Mode Observer Based Voltage-Sensorless Model Predicitve Power Control of PWM Rectifier Under Unbalanced Grid Conditions. IEEE Trans. Ind. Electron. 2018, 65, 5550–5560. [Google Scholar] [CrossRef]
- Hoffmann, N.; Fuchs, F.W. Online grid impedance estimation for the control of grid connected converters in inductive-resistive distributed power-networks using extended kalman-filter. In Proceedings of the 2012 IEEE Energy Conversion Congress and Exposition (ECCE), Raleigh, NC, USA, 15–20 September 2012; pp. 922–929. [Google Scholar]
- Ghanem, A.; Rashed, M.; Sumner, M.; Elsayes, M.A.; Mansy, I.I.I. Grid impedance estimation for islanding detection and adaptive control of converters. IET Power Electron. 2017, 10, 1279–1288. [Google Scholar] [CrossRef]
- Rufa’I, N.A.; Zhang, L.; Chong, B. Performance analysis of adaptive notch filter active damping methods for grid-connected converters under a varying grid impedance. In Proceedings of the 2017 IEEE Manchester PowerTech, Manchester, UK, 18–22 June 2017; pp. 1–6. [Google Scholar]
- Arif, B.; Tarisciotti, L.; Zanchetta, P.; Clare, J. Finite Set Model Predictive Control with a novel online grid inductance estimation technique. In Proceedings of the 7th IET International Conference on Power Electronics, Machines and Drives (PEMD 2014), Manchester, UK, 8–10 April 2014; pp. 1–6. [Google Scholar]
- Yang, Y.; Hui, S.; Tan, S. Adaptive Reference Model Predictive Control for Power Electronics. In Proceedings of the 2016 IEEE Applied Power Electronics Conference and Exposition (APEC), Long Beach, CA, USA, 20–24 March 2016; pp. 1169–1175. [Google Scholar]
- Ciobotaru, M.; Teodorescu, R.; Rodriguez, P.; Timbus, A.; Blaabjerg, F. Online grid impedance estimation for single-phase grid-connected systems using PQ variations. In Proceedings of the 2007 IEEE Power Electronics Specialists Conference, Orlando, FL, USA, 17–21 June 2007; pp. 2306–2312. [Google Scholar]
- Rohten, J.A.; Espinoza, J.R.; Muñoz, J.A.; Sbarbaro, D.G.; Perez, M.A.; Melín, P.E.; Silva, J.J.; Espinosa, E.E. Enhanced Predictive Control for a Wide Time-Variant Frequency Enviroment. IEEE Trans. Ind. Electron. 2016, 63, 5827–5837. [Google Scholar] [CrossRef]
- Akagi, H.; Kanazawa, Y.; Nabae, A. Instantaneous Reactive Power Compensators Comprising Switching Devices without Energy Storage Components. IEEE Trans. Ind. Appl. 1984, IA-20, 625–630. [Google Scholar] [CrossRef]
- Capua, G.D.; Femia, N. A Novel Method to Predict the Real Operation of Ferrite Inductors with Moderate Saturation in Switching Power Supply Applications. IEEE Trans. Power Electron. 2016, 31, 2456–2464. [Google Scholar] [CrossRef]
- Rice, J. Mathematical Statistics and Data Analysis, 3rd ed.; Duxbury Press: Belmont, CA, USA, 1994. [Google Scholar]
- Typhoon 600’s Hard-in-Loop Platform User Manual, Typhoon HIL Inc., 2006. Available online: https://www.typhoon-hil.com/products/hil602 (accessed on 21 December 2016).






















| Parameters | Symbol | Value |
|---|---|---|
| Input voltage RMS/V | 115 | |
| Fundamental frequency/Hz | 400 | |
| Sampling period/μs | 20 | |
| Output voltage/V | 350 | |
| Input inductance/mH | 5 | |
| Input resistance/Ω | 0.01 | |
| Capacitance/μF | 940 | |
| DC load/Ω | 61.25 |
| Schemes | Traditional MPDPC | MPDPC with LSE | MPDPC with Bayesian Estimation | |
|---|---|---|---|---|
| Performance | ||||
| Operation time of the algorithm | 10.8 uS | 15.2 uS | 16 uS | |
| THD of line current | 8.6% | 6.7% | 6.8% | |
| Power factor | 0.92 | 0.98 | 0.99 | |
| Converging rate for the estimated value | no | low | fast | |
| Stability for the estimated value | no | low | high | |
| Value | Results from the Paper [15] | Results from This Paper | |
|---|---|---|---|
| Parameters | |||
| Sampling frequency | 20 KHz | 100 KHz | |
| Main AC Frequency | 60 Hz | 360–800 Hz | |
| Number of sampling points in one cycle | 333 | 125–270 | |
| DC link voltage | 260 V | 350 V | |
| Rated Power | 680 W | 1.2 KW | |
| THD of AC current | 2.34% | 4.68% | |
| Converging time to the true value | 10 ms | 6.7 ms | |
© 2018 by the authors. Licensee MDPI, Basel, Switzerland. This article is an open access article distributed under the terms and conditions of the Creative Commons Attribution (CC BY) license (http://creativecommons.org/licenses/by/4.0/).
Share and Cite
Lei, T.; Tan, W.; Chen, G.; Kong, D. A Novel Robust Model Predictive Controller for Aerospace Three-Phase PWM Rectifiers. Energies 2018, 11, 2490. https://doi.org/10.3390/en11092490
Lei T, Tan W, Chen G, Kong D. A Novel Robust Model Predictive Controller for Aerospace Three-Phase PWM Rectifiers. Energies. 2018; 11(9):2490. https://doi.org/10.3390/en11092490
Chicago/Turabian StyleLei, Tao, Weiwei Tan, Guangsi Chen, and Delin Kong. 2018. "A Novel Robust Model Predictive Controller for Aerospace Three-Phase PWM Rectifiers" Energies 11, no. 9: 2490. https://doi.org/10.3390/en11092490
APA StyleLei, T., Tan, W., Chen, G., & Kong, D. (2018). A Novel Robust Model Predictive Controller for Aerospace Three-Phase PWM Rectifiers. Energies, 11(9), 2490. https://doi.org/10.3390/en11092490

