Prediction of Combustion and Heat Release Rates in Non-Premixed Syngas Jet Flames Using Finite-Rate Scale Similarity Based Combustion Models
Abstract
1. Introduction
2. Direct Numerical Simulation Database
3. Scale Similarity Closures for Reactive Flows
4. A Priori Assessment and Evaluation Criteria
4.1. A Priori Assessment of Models Based on DNS Data
4.2. Explicit Filtering
4.3. Assessment Criteria
5. Results and Discussion
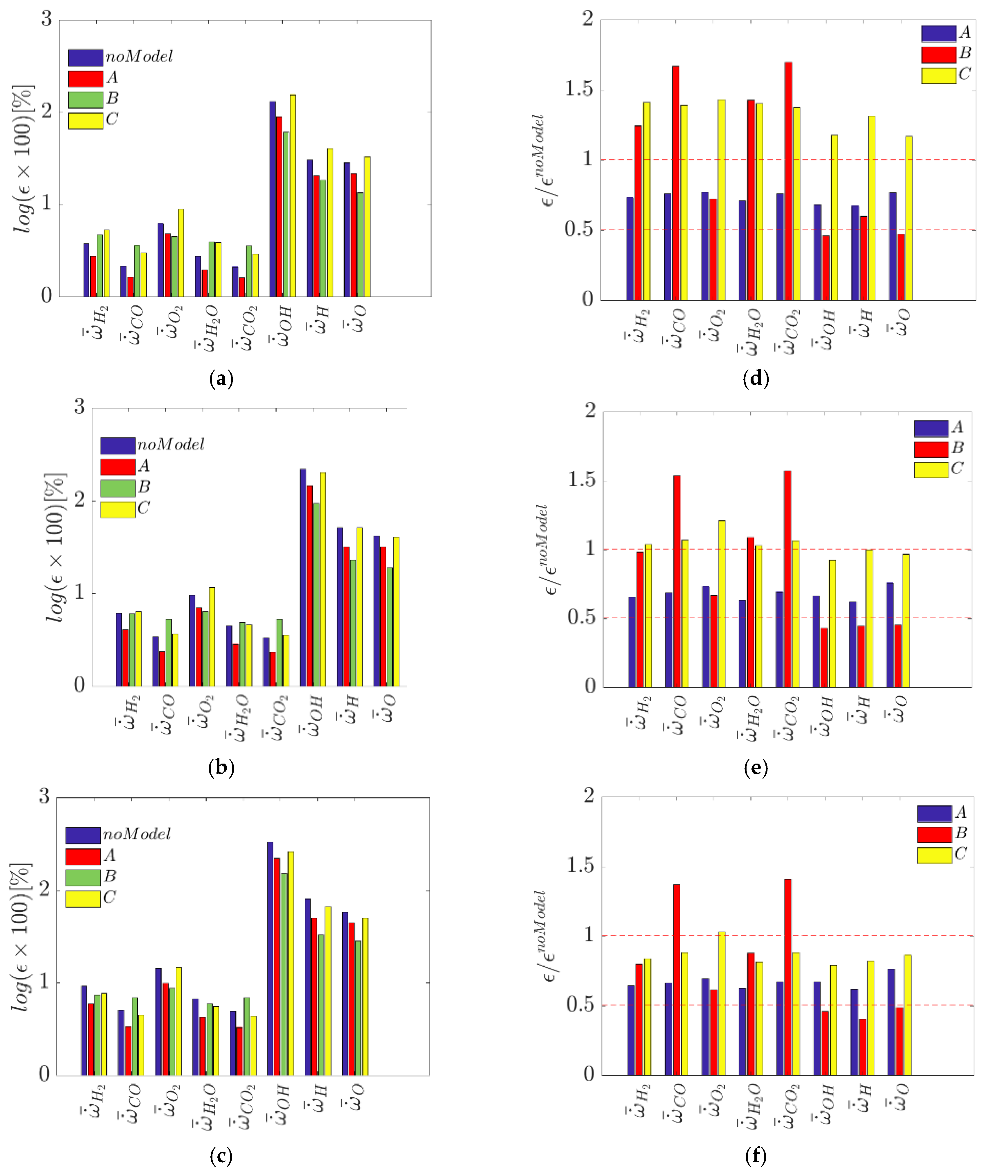
5.1. Combustion Rates Predictions in Extinction Time
5.2. Heat Release Rates Predictions in Extinction Time
5.3. Combustion Rates Predictions in Re-Ignition Time
5.4. Heat Release Rates Predictions in Re-Ignition Time
6. Conclusions
Author Contributions
Funding
Acknowledgments
Conflicts of Interest
Nomenclature
| enthalpy of formation of species k | |
| sensible enthalpy | |
| molecular diffusion coefficient of species k | |
| forward kinetic constants of reactions j | |
| backward kinetic constants of reactions j | |
| total number of reactions | |
| total number of species | |
| rate of reactions j | |
| turbulent Reynolds number | |
| molecular weight of species k | |
| mass fraction of species k | |
| velocity in ith directions | |
| ith directions coordinate | |
| backward stoichiometric coefficients of species k | |
| forward stoichiometric coefficients of species k | |
| ∆U | difference of fuel and oxidizer streams velocities |
| H | the height of the initial fuel stream |
| enthalpy | |
| p | pressure |
| T | temperature |
| similarity coefficient | |
| energy in wave number space | |
| mixture fraction | |
| time | |
| transient jet time | |
| Greek symbols | |
| net formation/consumption rate of species | |
| LES grid size | |
| residual net production/consumption rate | |
| heat release rate | |
| thermal diffusivity of species k | |
| filter width | |
| DNS grid size | |
| heat capacity | |
| density | |
| cumulative local error | |
| thermal conductivity | |
| composition vector | |
| turbulent kinetic energy dissipation rate | |
| Kolmogorov length scale | |
| Wave number | |
| Superscripts | |
| A | scale similarity Model A or SSRRRM |
| B | scale similarity Model B or SSFRRM |
| C | scale similarity Model C |
| using Favre operator | |
| Subscripts | |
| coordinate directions identifier | |
| reactions identifier | |
| species identifier | |
| n | cell number identifier |
| Operators | |
| simple (top-hat) filter | |
| double grid filter | |
| test grid filter | |
| simple Favre filter | |
| Reynolds spatial average in homogenous directions | |
| Favre spatial average in homogenous directions | |
| L-2 norm | |
| Acronyms | |
| CFD | computational fluid dynamics |
| DNS | direct numerical simulation |
| EDC | eddy dissipation concept |
| FSD | flame surface density |
| LES | large eddy simulation |
| PaSR | partially stirred reactor |
| RANS | Reynolds averaged Navier–Stokes |
| SGS | sub-grid scale |
| SS | scale Similarity |
| SSFRRM | scale similarity filtered reaction rate model |
| SSRRRM | scale similarity resolved reaction rate model |
| TFM | thickened flame model |
| TKE | turbulent kinetic energy |
| TPDF | transported probability density function |
| VLES | very-large-eddy simulation |
References
- Poinsot, T.; Veynante, D. Theoretical and Numerical Combustion, 2nd ed.; Edwards: Queensland, Australia, 2005; ISBN 1-930217-10-2. [Google Scholar]
- Janicka, J.; Sadiki, A. Large eddy simulation of turbulent combustion systems. Proc. Combust. Inst. 2005, 30, 537–547. [Google Scholar] [CrossRef]
- Pitsch, H. Large-Eddy Simulation of Turbulent Combustion. Annu. Rev. Fluid Mech. 2006, 38, 453–482. [Google Scholar] [CrossRef]
- Colin, O.; Ducros, F.; Veynante, D.; Poinsot, T. A thickened flame model for large eddy simulations of turbulent premixed combustion. Phys. Fluids 2000, 12, 1843–1863. [Google Scholar] [CrossRef]
- Charlette, F.; Meneveau, C.; Veynante, D. A power-law flame wrinkling model for LES of premixed turbulent combustion Part II: Dynamic formulation. Combust. Flame 2002, 131, 181–197. [Google Scholar] [CrossRef]
- Pope, S.B. PDF methods for turbulent reactive flows. Prog. Energy Combust. Sci. 1985, 11, 119–192. [Google Scholar] [CrossRef]
- Haworth, D.C. Progress in probability density function methods for turbulent reacting flows. Prog. Energy Combust. Sci. 2010, 36, 168–259. [Google Scholar] [CrossRef]
- Ertesvåg, I.S.; Magnussen, B.F. The Eddy Dissipation Turbulence Energy Cascade Model. Combust. Sci. Technol. 2000, 159, 213–235. [Google Scholar] [CrossRef]
- Sabelnikov, V.; Fureby, C. LES combustion modeling for high Re flames using a multi-phase analogy. Combust. Flame 2013, 160, 83–96. [Google Scholar] [CrossRef]
- Golovitchev, V.I.; Chomiak, J. Numerical Modeling of High-Temperature Air Flameless Combustion. In Proceedings of the 4th International Symposium on High Temperature Air Combustion and Gasification, Rome, Italy, 27–30 November 2001. [Google Scholar]
- DesJardin, P.E.; Frankel, S.H. Large eddy simulation of a nonpremixed reacting jet: Application and assessment of subgrid-scale combustion models. Phys. Fluids 1998, 10, 2298–2314. [Google Scholar] [CrossRef]
- Jaberi, F.A.; James, S. A dynamic similarity model for large eddy simulation of turbulent combustion. Phys. Fluids 1998, 10, 1775–1777. [Google Scholar] [CrossRef]
- Bösenhofer, M.; Wartha, E.-M.; Jordan, C.; Harasek, M. The Eddy Dissipation Concept—Analysis of Different Fine Structure Treatments for Classical Combustion. Energies 2018, 11, 1902. [Google Scholar] [CrossRef]
- Li, Z.; Ferrarotti, M.; Cuoci, A.; Parente, A. Finite-rate chemistry modelling of non-conventional combustion regimes using a Partially-Stirred Reactor closure: Combustion model formulation and implementation details. Appl. Energy 2018, 225, 637–655. [Google Scholar] [CrossRef]
- Li, Z.; Cuoci, A.; Sadiki, A.; Parente, A. Comprehensive numerical study of the Adelaide Jet in Hot-Coflow burner by means of RANS and detailed chemistry. Energy 2017, 139, 555–570. [Google Scholar] [CrossRef]
- Fedina, E.; Fureby, C.; Bulat, G.; Meier, W. Assessment of Finite Rate Chemistry Large Eddy Simulation Combustion Models. Flow Turbul. Combust. 2017, 99, 385–409. [Google Scholar] [CrossRef] [PubMed]
- Fureby, C. LES of a multi-burner annular gas turbine combustor. Flow Turbul. Combust. 2010, 84, 543–564. [Google Scholar] [CrossRef]
- Lysenko, D.A.; Ertesvåg, I.S. Reynolds-Averaged, Scale-Adaptive and Large-Eddy Simulations of Premixed Bluff-Body Combustion Using the Eddy Dissipation Concept. Flow Turbul. Combust. 2018, 100, 721–768. [Google Scholar] [CrossRef]
- Minotti, A.; Sciubba, E. LES of a Meso combustion chamber with a detailed chemistry model: Comparison between the flamelet and EDC models. Energies 2010, 3, 1943–1959. [Google Scholar] [CrossRef]
- Garnier, E.; Adams, N.; Sagaut, P. Large Eddy Simulation for Compressible Flows; Springer: Dordrecht, The Netherland, 2009; ISBN 9789048128181. [Google Scholar]
- Wang, Q.; Ihme, M. Regularized deconvolution method for turbulent combustion modeling. Combust. Flame 2017, 176, 125–142. [Google Scholar] [CrossRef]
- Domingo, P.; Vervisch, L. DNS and approximate deconvolution as a tool to analyse one-dimensional filtered flame sub-grid scale modelling. Combust. Flame 2017, 177, 109–122. [Google Scholar] [CrossRef]
- Bardina, J.; Ferziger, J.H.; Reynolds, W.C. Improved subgrid-scale models for large-eddy simulation. In Proceedings of the 13th Fluid and PlasmaDynamics Conference, Snowmass, CO, USA, 14–16 July 1980; p. 1357. [Google Scholar] [CrossRef]
- Germano, M. A proposal for a redefinition of the turbulent stresses in the filtered Navier–Stokes equations. Phys. Fluids 1986, 29, 2323–2324. [Google Scholar] [CrossRef]
- Liu, S.; Meneveau, C.; Katz, J. On the properties of similarity sub-grid scale models as deduced from measurements in a turbulent jet. J. Fluid Mech. 1994, 275, 83–119. [Google Scholar] [CrossRef]
- Sagaut, P. Large Eddy Simulation for Incompressible Flows, 3rd ed.; Springer: Berlin, Germany, 2005; ISBN 3-540-26344-6. [Google Scholar]
- Potturi, A.; Edwards, J.R. Investigation of Subgrid Closure Models for Finite-Rate Scramjet Combustion. In Proceedings of the 43rd Fluid Dynamics Conference, San Diego, CA, USA, 24–27 June 2013; p. 2461. [Google Scholar]
- Knikker, R.; Veynante, D.; Meneveau, C. A priori testing of a similarity model for large eddy simulations of turbulent premixed combustion. Proc. Combust. Inst. 2002, 29, 2105–2111. [Google Scholar] [CrossRef]
- Knikker, R.; Veynante, D.; Meneveau, C. A dynamic flame surface density model for large eddy simulation of turbulent premixed combustion. Phys. Fluids 2004, 16, L91–L94. [Google Scholar] [CrossRef]
- Hawkes, E.R.; Sankaran, R.; Sutherland, J.C.; Chen, J.H. Scalar mixing in direct numerical simulations of temporally evolving plane jet flames with skeletal CO/H2 kinetics. Proc. Combust. Inst. 2007, 31, 1633–1640. [Google Scholar] [CrossRef]
- Pope, S.B. A model for turbulent mixing based on shadow-position conditioning. Phys. Fluids 2013, 25. [Google Scholar] [CrossRef]
- Yang, Y.; Wang, H.; Pope, S.B.; Chen, J.H. Large-eddy simulation/probability density function modeling of a non-premixed CO/H2 temporally evolving jet flame. Proc. Combust. Inst. 2013, 34, 1241–1249. [Google Scholar] [CrossRef]
- Sen, B.A.; Hawkes, E.R.; Menon, S. Large eddy simulation of extinction and reignition with artificial neural networks based chemical kinetics. Combust. Flame 2010, 157, 566–578. [Google Scholar] [CrossRef]
- Vo, S.; Stein, O.T.; Kronenburg, A.; Cleary, M.J. Assessment of mixing time scales for a sparse particle method. Combust. Flame 2017, 179, 280–299. [Google Scholar] [CrossRef]
- Scholtissek, A.; Dietzsch, F.; Gauding, M.; Hasse, C. In-situ tracking of mixture fraction gradient trajectories and unsteady flamelet analysis in turbulent non-premixed combustion. Combust. Flame 2017, 175, 243–258. [Google Scholar] [CrossRef]
- Punati, N.; Sutherland, J.C.; Kerstein, A.R.; Hawkes, E.R.; Chen, J.H. An evaluation of the one-dimensional turbulence model: Comparison with direct numerical simulations of CO/H2 jets with extinction and reignition. Proc. Combust. Inst. 2011, 33, 1515–1522. [Google Scholar] [CrossRef]
- Vo, S.; Kronenburg, A.; Stein, O.T.; Cleary, M.J. MMC-LES of a syngas mixing layer using an anisotropic mixing time scale model. Combust. Flame 2018, 189, 311–314. [Google Scholar] [CrossRef]
- Trisjono, P.; Pitsch, H. Systematic Analysis Strategies for the Development of Combustion Models from DNS: A Review. Flow Turbul. Combust. 2015, 95, 231–259. [Google Scholar] [CrossRef]
- Argyropoulos, C.D.; Markatos, N.C. Recent advances on the numerical modelling of turbulent flows. Appl. Math. Model. 2015, 39, 693–732. [Google Scholar] [CrossRef]
- Lapointe, S.; Blanquart, G. A priori filtered chemical source term modeling for LES of high Karlovitz number premixed flames. Combust. Flame 2017, 176, 500–510. [Google Scholar] [CrossRef]
- Ihme, M.; Pitsch, H. Prediction of extinction and reignition in nonpremixed turbulent flames using a flamelet/progress variable model. 1. A priori study and presumed PDF closure. Combust. Flame 2008, 155, 70–89. [Google Scholar] [CrossRef]
- Ameen, M.M.; Abraham, J. A priori evaluation of subgrid-scale combustion models for diesel engine applications. Fuel 2015, 153, 612–619. [Google Scholar] [CrossRef]
- Allauddin, U.; Klein, M.; Pfitzner, M.; Chakraborty, N. A priori and a posteriori analyses of algebraic flame surface density modeling in the context of Large Eddy Simulation of turbulent premixed combustion. Numer. Heat Transf. Part A: Appl. 2017, 71, 153–171. [Google Scholar] [CrossRef]
- Lignell, D.; Hewson, J.C.; Chen, J. a priori analysis of conditional moment closure modeling of a temporal ethylene jet flame with soot formation using direct numerical simulation. Proc. Combust. Inst. 2009, 32, 1491–1498. [Google Scholar] [CrossRef]
- da Silva, C.B.; Pereira, J.C.F. Analysis of the gradient-diffusion hypothesis in large-eddy simulations based on transport equations. Phys. Fluids 2007, 19. [Google Scholar] [CrossRef]
- Cuoci, A.; Frassoldati, A.; Faravelli, T.; Ranzi, E. OpenSMOKE++: An object-oriented framework for the numerical modeling of reactive systems with detailed kinetic mechanisms. Comput. Phys. Commun. 2015, 192, 237–264. [Google Scholar] [CrossRef]
- Zang, Y.; Street, R.L.; Koseff, J.R. A dynamic mixed subgrid-scale Model and its application to turbulent recirculating flows. Phys. Fluids A: Fluid Dyn. 1993, 5, 3186–3196. [Google Scholar] [CrossRef]
- Gauding, M.; Dietzsch, F.; Goebbert, J.H.; Thévenin, D.; Abdelsamie, A.; Hasse, C. Dissipation element analysis of a turbulent non-premixed jet flame. Phys. Fluids 2017, 29. [Google Scholar] [CrossRef]
- Pantano, C. Direct simulation of non-premixed flame extinction in a methane–air jet with reduced chemistry. J. Fluid Mech. 2004, 514, 231–270. [Google Scholar] [CrossRef]
- Pope, S.B. Turbulent Flows, 1st ed.; Cambridge University Press: Cambridge, UK, 2000; ISBN 978-0-521-59886-6. [Google Scholar]
- Germano, M.; Maffio, A.; Sello, S.; Mariotti, G. On the extension of the dynamic modelling procedure to turbulent reacting flows. In Direct and Large-Eddy Simulation II; Springer: Dordrecht, The Netherland, 1997; pp. 291–300. [Google Scholar]











© 2018 by the authors. Licensee MDPI, Basel, Switzerland. This article is an open access article distributed under the terms and conditions of the Creative Commons Attribution (CC BY) license (http://creativecommons.org/licenses/by/4.0/).
Share and Cite
Shamooni, A.; Cuoci, A.; Faravelli, T.; Sadiki, A. Prediction of Combustion and Heat Release Rates in Non-Premixed Syngas Jet Flames Using Finite-Rate Scale Similarity Based Combustion Models. Energies 2018, 11, 2464. https://doi.org/10.3390/en11092464
Shamooni A, Cuoci A, Faravelli T, Sadiki A. Prediction of Combustion and Heat Release Rates in Non-Premixed Syngas Jet Flames Using Finite-Rate Scale Similarity Based Combustion Models. Energies. 2018; 11(9):2464. https://doi.org/10.3390/en11092464
Chicago/Turabian StyleShamooni, Ali, Alberto Cuoci, Tiziano Faravelli, and Amsini Sadiki. 2018. "Prediction of Combustion and Heat Release Rates in Non-Premixed Syngas Jet Flames Using Finite-Rate Scale Similarity Based Combustion Models" Energies 11, no. 9: 2464. https://doi.org/10.3390/en11092464
APA StyleShamooni, A., Cuoci, A., Faravelli, T., & Sadiki, A. (2018). Prediction of Combustion and Heat Release Rates in Non-Premixed Syngas Jet Flames Using Finite-Rate Scale Similarity Based Combustion Models. Energies, 11(9), 2464. https://doi.org/10.3390/en11092464

