Macro and Meso Characteristics of In-Situ Oil Shale Pyrolysis Using Superheated Steam
Abstract
1. Introduction
2. Experimental
2.1. Thermogravimetric Experiments
2.2. Simulated Experiments for In-Situ Oil Shale Pyrolysis Using Superheated Steam
2.3. Micro-CT Scan and the Analysis of Pyrolysis Effect
3. Results and Discussion
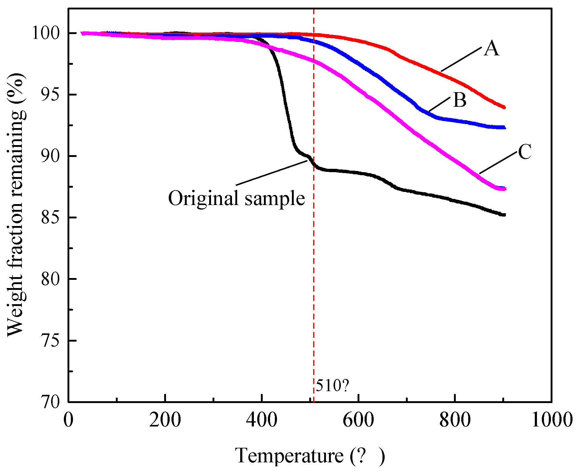
3.1. Thermogravimetric Analysis of Xinjiang Oil Shale
3.2. Stress Characteristics of the Specimen during Pyrolysis
3.3. Microscopic Characteristics of the Specimen after Pyrolysis
4. Conclusions
Author Contributions
Acknowledgments
Conflicts of Interest
References
- Dyni, J.R. Geology and resources of some world oil-shale deposits. Oil Shale 2003, 20, 193–252. [Google Scholar]
- Yu, X.; Luo, Z.; Li, H.; Gan, D. Effect of vibration on the separation efficiency of oil shale in a compound dry separator. Fuel 2018, 214, 242–253. [Google Scholar] [CrossRef]
- Hao, Y.; Gao, X.Q.; Xiong, F.S.; Zhang, J.L.; Li, Y.J. Temperature distribution simulation and optimization design of electric heater for in-situ oil shale heating. Oil Shale 2014, 31, 105–120. [Google Scholar] [CrossRef]
- Wu, Y.; Lin, C.; Ren, L.; Yan, W.; An, S.; Chen, B. Reconstruction of 3D porous media using multiple-point statistics based on a 3D training image. J. Nat. Gas Sci. Eng. 2018, 51, 129–140. [Google Scholar] [CrossRef]
- Rabbani, A.; Baychev, T.G.; Ayatollahi, S.; Jivkov, A.P. Evolution of Pore-Scale Morphology of Oil Shale during Pyrolysis: A Quantitative Analysis. Transp. Porous Media 2017, 4, 1–20. [Google Scholar] [CrossRef]
- Eseme, E.; Urai, J.L.; Krooss, B.M.; Littke, R. Review of mechanical properties of oil shales: implications for exploitation and basin modelling. Oil Shale 2007, 24, 159–174. [Google Scholar]
- Crawford, P.M.; Killen, J.C. New Challenges and Directions in Oil Shale Development Technologies. Oil Shale A Solut. Liq. Fuel Dilemma 2010, 1032, 21–60. [Google Scholar]
- Lin, L.; Lai, D.; Guo, E.; Zhang, C.; Xu, G. Oil shale pyrolysis in indirectly heated fixed bed with metallic plates of heating enhancement. Fuel 2016, 163, 48–55. [Google Scholar] [CrossRef]
- Kang, Z.; Yang, D.; Zhao, Y.; Hu, Y. Thermal cracking and corresponding permeability of Fushun oil shale. Oil Shale 2011, 28, 273–283. [Google Scholar] [CrossRef]
- Rangel-German, E.R.; Schembre, J.; Sandberg, C.; Kovscek, A.R. Electrical-heating-assisted recovery for heavy oil. J. Petroleum Sci. Eng. 2004, 45, 213–231. [Google Scholar] [CrossRef]
- Han, H.; Zhong, N.N.; Huang, C.X.; Liu, Y.; Luo, Q.Y.; Dai, N.; Huang, X.Y. Numerical simulation of in-situ conversion of continental oil shale in Northeast China. Oil Shale 2016, 33, 45–57. [Google Scholar]
- Lee, K.J.; Moridis, G.J.; Ehlig-Economides, C.A. Compositional simulation of hydrocarbon recovery from oil shale reservoirs with diverse initial saturations of fluid phases by various thermal processes. Energy Explor. Exploit. 2017, 35, 172–193. [Google Scholar] [CrossRef]
- Anonymous. Raytheon Technology Shows Promise in Extracting Oil from Shale. Microw. J. 2006, 49, 40. [Google Scholar]
- Yang, Z.; Zhu, J.; Li, X.; Luo, D.; Qi, S.; Jia, M. Experimental Investigation of the Transformation of Oil Shale with Fracturing Fluids under Microwave Heating in the Presence of Nanoparticles. Energy Fuel 2017, 31, 10348–10357. [Google Scholar] [CrossRef]
- Gerasimov, G.; Khaskhachikh, V.; Potapov, O. Experimental study of kukersite oil shale pyrolysis by solid heat carrier. Fuel Process. Technol. 2017, 158, 123–129. [Google Scholar] [CrossRef]
- Chen, C.; Gao, S.; Sun, Y.; Guo, W.; Li, Q. Research on Underground Dynamic Fluid Pressure Balance in the Process of Oil Shale In-Situ Fracturing-Nitrogen Injection Exploitation. J. Energy Resour. Technol. 2017, 139. [Google Scholar] [CrossRef]
- Yang, Y.; Liu, S.C.; Li, Q.; Sun, Y.H. Research on experiment of in-situ pyrolysisof oil shaleand production analysis. J. Chem. Pharm. Res. 2013, 5, 763–767. [Google Scholar]
- Yang, Y.; Sun, Y.H.; Li, Q. Experiment and simulation of oil shale pyrolysis. Int. J. Earth Sci. Eng. 2013, 6, 1311–1317. [Google Scholar]
- Allawzi, M.; Al-Otoom, A.; Allaboun, H.; Ajlouni, A.; Al Nseirat, F. CO2 supercritical fluid extraction of jordanian oil shale utilizing different co-solvents. Fuel Process. Technol. 2011, 92, 2016–2023. [Google Scholar] [CrossRef]
- Lu, J.; Hawthorne, S.; Sorensen, J.; Pekot, L.; Kurz, B.; Smith, S. Advancing CO 2 enhanced oil recovery and storage in unconventional oil play-Experimental studies on Bakken shales. Appl. Energy 2017, 208, 171–183. [Google Scholar]
- Zhang, X.Q.; Li, Y.S. Changes in shale oil composition and yield after bioleaching by bacillus mucilaginosus and thiobacillus ferrooxidans. Oil Shale 2017, 34, 146. [Google Scholar] [CrossRef]
- Tong, J.; Han, X.; Wang, S.; Jiang, X. Evaluation of Structural Characteristics of Huadian Oil Shale Kerogen Using Direct Techniques (Solid-State13C NMR, XPS, FT-IR, and XRD). Energy Fuel 2011, 25, 4006–4013. [Google Scholar] [CrossRef]
- Mao, J.; Fang, X.; Lan, Y.; Schimmelmann, A.; Mastalerz, M.; Xu, L.; Schmidt-Rohr, K. Chemical and nanometer-scale structure of kerogen and its change during thermal maturation investigated by advanced solid-state 13C NMR spectroscopy. Geochim. Cosmochim. Acta 2010, 74, 2110–2127. [Google Scholar] [CrossRef]
- Sun, Y.; He, L.; Kang, S.; Guo, W.; Li, Q.; Deng, S. Pore Evolution of Oil Shale during Sub-Critical Water Extraction. Energies 2018, 11, 842. [Google Scholar] [CrossRef]
- Modica, C.J.; Lapierre, S.G. Estimation of kerogen porosity in source rocks as a function of thermal transformation: Example from the Mowry Shale in the Powder River Basin of Wyoming. AAPG Bull. 2012, 96, 87–108. [Google Scholar] [CrossRef]
- Chen, J.; Xiao, X. Evolution of nanoporosity in organic-rich shales during thermal maturation. Fuel 2014, 129, 173–181. [Google Scholar] [CrossRef]
- Geng, Y.; Liang, W.; Liu, J.; Cao, M.; Kang, Z. Evolution of pore and fracture structure of oil shale under high temperature and high pressure. Energy Fuel 2017, 31, 10404–10413. [Google Scholar] [CrossRef]
- Bai, F.; Sun, Y.; Liu, Y.; Li, Q.; Guo, M. Thermal and kinetic characteristics of pyrolysis and combustion of three oil shales. Energy Convers. Manag. 2015, 97, 374–381. [Google Scholar] [CrossRef]
- Sun, Y.; Bai, F.; Liu, B.; Liu, Y.; Guo, M.; Guo, W. Characterization of the oil shale products derived via topochemical reaction method. Fuel 2014, 115, 338–346. [Google Scholar] [CrossRef]
- Bai, F.; Sun, Y.; Liu, Y.; Guo, M. Evaluation of the porous structure of huadian oil shale during pyrolysis using multiple approaches. Fuel 2017, 187, 1–8. [Google Scholar] [CrossRef]
- Kang, Z.; Zhao, J.; Yang, D.; Zhao, Y.; Hu, Y. Study of the evolution of micron-scale pore structure in oil shale at different temperatures. Oil Shale 2017, 34, 42–45. [Google Scholar] [CrossRef]
- Saif, T.; Lin, Q.; Bijeljic, B.; Blunt, M.J. Microstructural imaging and characterization of oil shale before and after pyrolysis. Fuel 2017, 197, 562–574. [Google Scholar] [CrossRef]
- Saif, T.; Lin, Q.; Singh, K.; Bijeljic, B.; Blunt, M.J. Dynamic imaging of oil shale pyrolysis using synchrotron x-ray microtomography. Geophys. Res. Lett. 2016, 43, 6799–6807. [Google Scholar] [CrossRef]
- Saif, T.; Lin, Q.; Butcher, A.R.; Bijeljic, B.; Blunt, M.J. Multi-scale multi-dimensional microstructure imaging of oil shale pyrolysis using X-ray micro-tomography, automated ultra-high resolution SEM, MAPS Mineralogy and FIB-SEM. Appl. Energy 2017, 202, 628–647. [Google Scholar] [CrossRef]
- Liu, Z.; Yang, D.; Hu, Y.; Zhang, J.; Shao, J.; Song, S. Influence of In Situ Pyrolysis on the Evolution of Pore Structure of Oil Shale. Energies 2018, 11, 755. [Google Scholar] [CrossRef]
- Pan, L.; Dai, F.; Huang, J.; Liu, S.; Li, G. Study of the effect of mineral matters on the thermal decomposition of Jimsar oil shale using TG-MS. Thermochim. Acta 2016, 627, 31–38. [Google Scholar] [CrossRef]
- Pan, L.; Dai, F.; Huang, J.; Liu, S.; Zhang, F. Investigation of the gas flowdistribution and pressure drop in Xinjiang oil shale retort. Oil Shale 2015, 32, 172–185. [Google Scholar] [CrossRef]
- Aboulkas, A.; Harfi, K.E.; Bouadili, A.E. Thermal degradation behaviors of polyethylene and polypropylene. Part I: Pyrolysis kinetics and mechanisms. Energy Convers. Manag. 2010, 51, 1363–1369. [Google Scholar] [CrossRef]
- Zhao, Y.S.; Feng, Z.C.; Yang, D. the Method for Mining Oil & Gas from Oil Shale by Convection Heating. China Invent Patent CN200,510,012,473, 20 April 2005. [Google Scholar]
- Liu, Y.; Xue, X.; He, Y. Solvent Swelling Behavior of Fushun Pyrolysis and Demineralized Oil Shale. J. Comput. Theor. Nanosci. 2011, 4, 1838–1841. [Google Scholar] [CrossRef]
- Li, Y.; Feng, Z.; Xue, X.; He, Y.; Qiao, G. Ecological utilization of oil shale by preparing silica and alumina. J. Chem. Ind. Eng. 2008, 59, 1051–1057. [Google Scholar]
- Coats, A.W.; Redfern, J.P. Kinetic parameters from thermogravimetric data. Nature 1964, 201, 68–69. [Google Scholar]
- Moine, E.C.; Groune, K.; Hamidi, A.E.; Khachani, M.; Halim, M.; Arsalane, S. Multistep process kinetics of the non-isothermal pyrolysis of Moroccan Rif oil shale. Energy 2016, 115, 931–941. [Google Scholar] [CrossRef]
- Zhang, Y.; Lebedev, M.; Al-Yaseri, A.; Yu, H.; Xu, X.; Iglauer, S. Characterization of nanoscale rockmechanical properties and microstructures of a Chinese sub-bituminous coal. J. Nat. Gas Sci. Eng. 2018, 52, 106–116. [Google Scholar] [CrossRef]
- Luo, L.F.; Lin, H.; Li, S.C.; Lin, H.; Flu-hler, H.; Otten, W. Quantification of 3-d soil macropore networks in different soil types and land uses using computed tomo- graphy. J. Hydrol. 2010, 393, 53–64. [Google Scholar] [CrossRef]
- Kapur, J.N.; Sahoo, P.K.; Wong, A.K.C. A new method for gray-level picture thresholding using the entropy of the histogram. Comput. Vis. Graph. Image Process 1985, 29, 273–285. [Google Scholar] [CrossRef]
- Ni, X.; Miao, J.; Lv, R.; Lin, X. Quantitative 3D spatial characterization and flow simulation of coal macropores based on μCT technology. Fuel 2017, 200, 199–207. [Google Scholar] [CrossRef]















| Analysis | Composition |
|---|---|
| Proximate analysis (wt %, ad) | |
| Moisture | 0.56 |
| Ash | 77.89 |
| Volatile matter | 17.78 |
| Fixed carbon | 3.77 |
| Fischer assay analysis (wt %, ad) | |
| Oil yield | 9.08 |
| Water yield | 1.50 |
| residue | 86.48 |
| Gas + loss | 2.94 |
| Activation Energy (kJ/mol) | ||
|---|---|---|
| Temperature Range | 400 °C–450 °C | 450 °C–510 °C |
| Original sample | 24.804 | 25.396 |
| Sample A | 10.582 | 6.294 |
| Sample B | 9.532 | 4.151 |
| Sample C | 5.935 | 7.177 |
| Parameters of Fractures | Number | Average Length (µm) | Average Aperture (µm) | ||
|---|---|---|---|---|---|
| Sample Number | |||||
| A | 500th layers | 48 | 54.4334 | 24.6902 | |
| 1000th layers | 64 | 53.2752 | 24.4329 | ||
| B | 500th layers | 30 | 59.4005 | 21.7064 | |
| 1000th layers | 28 | 65.3627 | 27.0685 | ||
| C | 500th layers | 25 | 57.5110 | 23.8858 | |
| 1000th layers | 25 | 50.4162 | 23.0557 | ||
© 2018 by the authors. Licensee MDPI, Basel, Switzerland. This article is an open access article distributed under the terms and conditions of the Creative Commons Attribution (CC BY) license (http://creativecommons.org/licenses/by/4.0/).
Share and Cite
Wang, L.; Yang, D.; Li, X.; Zhao, J.; Wang, G.; Zhao, Y. Macro and Meso Characteristics of In-Situ Oil Shale Pyrolysis Using Superheated Steam. Energies 2018, 11, 2297. https://doi.org/10.3390/en11092297
Wang L, Yang D, Li X, Zhao J, Wang G, Zhao Y. Macro and Meso Characteristics of In-Situ Oil Shale Pyrolysis Using Superheated Steam. Energies. 2018; 11(9):2297. https://doi.org/10.3390/en11092297
Chicago/Turabian StyleWang, Lei, Dong Yang, Xiang Li, Jing Zhao, Guoying Wang, and Yangsheng Zhao. 2018. "Macro and Meso Characteristics of In-Situ Oil Shale Pyrolysis Using Superheated Steam" Energies 11, no. 9: 2297. https://doi.org/10.3390/en11092297
APA StyleWang, L., Yang, D., Li, X., Zhao, J., Wang, G., & Zhao, Y. (2018). Macro and Meso Characteristics of In-Situ Oil Shale Pyrolysis Using Superheated Steam. Energies, 11(9), 2297. https://doi.org/10.3390/en11092297
