Visualization Study on Thermo-Hydrodynamic Behaviors of a Flat Two-Phase Thermosyphon
Abstract
1. Introduction
2. Description of Experiment
2.1. Experimental Apparatus
2.2. Data Reduction
2.3. Experiment Procedures
- (1)
- Connect each unit of the experiment system, and then perform circuit and connection checks on every unit to ensure that the experimental system is correct.
- (2)
- Open constant-temperature water bath, and adjust the temperature and flow rate to the preset values. Turn on the high-speed CCD camera to debug the shooting effect.
- (3)
- Turn on the data acquisition instrument, and observe the temperature change until the temperature at each measuring point reaches a steady state.
- (4)
- Maintain the operation of every other piece of equipment, reset the data acquisition instrument, and record the temperature data of the temperature measurement point.
- (5)
- Observe and record the gas–liquid two-phase behavior in the confined space during the start-up and quasi-steady operation in real time. Collect the temperature data. When the change of temperature is less than 0.5 °C over 20 min, the heat balance can be considered to be reached, and the experiment for the current working condition can be finished.
- (6)
- After each working condition is completed, adjust the input voltage to zero, and keep the constant-temperature water bath cooling water circulating until the temperature falls back to the initial temperature, then perform the experiment on the next working condition.
3. Results and Discussion
3.1. Coupled Boiling and Condensation Phase Change
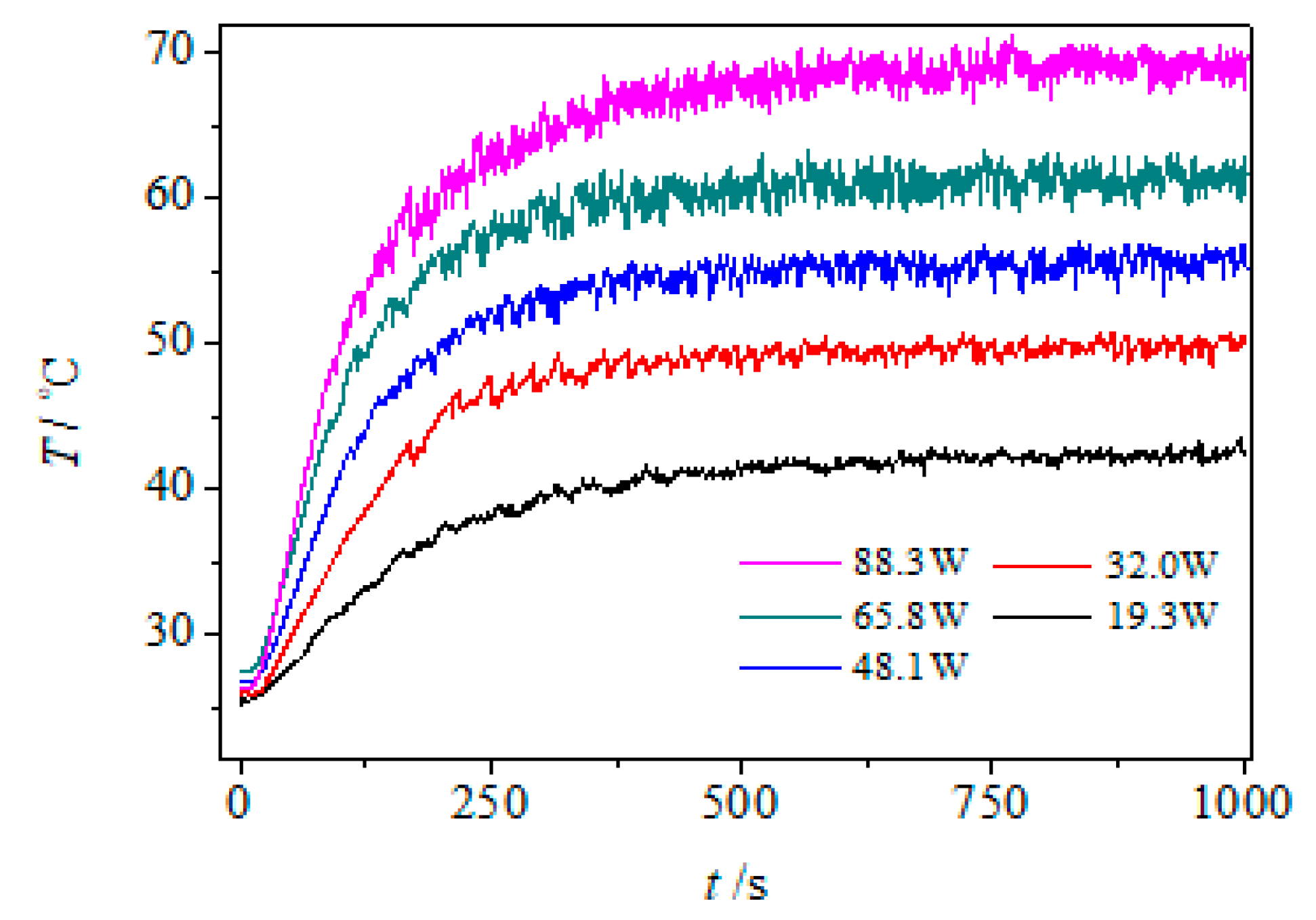
3.2. Effect of Heat Flux
3.3. Effect of Wick Presence
4. Conclusions
- (1)
- Contributed by the evaporation of the liquid microlayer and the heat transferring from the superheated liquid around, bubbles grow to a certain size on the evaporator surface and then depart from the surface by the combined effect of surface tension, buoyancy, and inertial force. As a result, a strong liquid disturbance caused by the bubble motions such as growth, rise, coalescence, and rupture can be observed during the experiment, which is beneficial for enhancing the phase change heat transfer processes including boiling and condensation.
- (2)
- More bubbles are generated as more nucleation sites are activated on the heated surface when the heat flux increases; therefore, the liquid disturbance is intensified and the thickness of the condensate film is thinned, leading to higher convective heat transfer and condensation heat transfer. In addition, the thermal resistance of the two-phase thermosyphon charged with water is smaller than that charged with ethanol because of lower viscosity and higher latent heat of vaporization.
- (3)
- When a wick is embedded into the cavity, more bubbles are generated and the detachment frequency is significantly increased, causing stronger liquid disturbance. Therefore, the heat is more easily transferred from the evaporator heat spot to the liquid in the cavity, leading to a decrease in the degree of superheat of the liquid. As a result, the temperature oscillation is obviously reduced.
- (4)
- As a shortcut path is constructed when a wick is used in the cavity, the backflow efficiency can be improved, resulting in the improvement of thermal performance for the flat two-phase thermosyphon.
Author Contributions
Funding
Conflicts of Interest
References
- Liang, G.T.; Mudawar, I. Review of pool boiling enhancement with additives and nanofluids. Int. J. Heat Mass Transf. 2018, 124, 423–453. [Google Scholar] [CrossRef]
- Al-Zareer, M.; Dincer, I.; Rosen, M.A. Novel thermal management system using boiling cooling for high-powered lithium-ion battery packs for hybrid electric vehicles. J. Power Source 2017, 363, 291–303. [Google Scholar] [CrossRef]
- Zhang, C.; Chen, Y.; Wu, R.; Shi, M. Flow boiling in constructal tree-shaped minichannel network. Int. J. Heat Mass Transf. 2011, 54, 202–209. [Google Scholar] [CrossRef]
- Amalfi, R.L.; Salamon, T.; Lamaison, N.; Marcinichen, J.B.; Thome, J.R. Two-phase liquid cooling system for electronics—Part 3: Ultracompact liquid-cooled condenser. In Proceedings of the 16th Intersociety Conference on Thermal and Thermomechanical Phenomena in Electronic Systems (ITherm), Orlando, FL, USA, 30 May–2 June 2017; pp. 687–695. [Google Scholar]
- Ling, Z.; Cao, J.; Zhang, W.; Zhang, Z.; Fang, X.; Gao, X. Compact liquid cooling strategy with phase change materials for li-ion batteries optimized using response surface methodology. Appl. Energy 2018, 228, 777–788. [Google Scholar] [CrossRef]
- Zhang, C.; Deng, Z.; Chen, Y. Temperature jump at rough gas–solid interface in couette flow with a rough surface described by cantor fractal. Int. J. Heat Mass Transf. 2014, 70, 322–329. [Google Scholar] [CrossRef]
- Zhang, C.; Chen, Y.; Deng, Z.; Shi, M. Role of rough surface topography on gas slip flow in microchannels. Phys. Rev. E 2012, 86. [Google Scholar] [CrossRef] [PubMed]
- Chen, Y.; Zhang, C.; Shi, M.; Yang, Y. Thermal and hydrodynamic characteristics of constructal tree-shaped minichannel heat sink. AIChE J. 2009, 56, 2018–2029. [Google Scholar] [CrossRef]
- Najim, M.; Feddaoui, M.B.; Nait Alla, A.; Charef, A.; Kabeel, A.E. New cooling approach using successive evaporation and condensation of a liquid film inside a vertical mini-channel. Int. J. Heat Mass Transf. 2018, 122, 895–912. [Google Scholar] [CrossRef]
- Chen, Y.; Shen, C.; Shi, M.; Peterson, G.P. Visualization study of flow condensation in hydrophobic microchannels. AIChE J. 2014, 60, 1182–1192. [Google Scholar] [CrossRef]
- Chen, X.; Ye, H.; Fan, X.; Ren, T.; Zhang, G. A review of small heat pipes for electronics. Appl. Therm. Eng. 2016, 96, 1–17. [Google Scholar] [CrossRef]
- Qu, J.; Li, X.J.; Cui, Y.Y.; Wang, Q. Design and experimental study on a hybrid flexible oscillating heat pipe. Int. J. Heat Mass Transf. 2017, 107, 640–645. [Google Scholar] [CrossRef]
- Naphon, P.; Wongwises, S.; Wiriyasart, S. Application of two-phase vapor chamber technique for hard disk drive cooling of pcs. Int. Commun. Heat Mass Transf. 2013, 40, 32–35. [Google Scholar] [CrossRef]
- Chen, Y.; Gao, W.; Zhang, C.; Zhao, Y. Three-dimensional splitting microfluidics. Lab Chip 2016, 16, 1332–1339. [Google Scholar] [CrossRef] [PubMed]
- Chen, Y.P.; Deng, Z.L. Hydrodynamics of a droplet passing through a microfluidic t-junction. J. Fluid Mech. 2017, 819, 401–434. [Google Scholar] [CrossRef]
- Deng, Z.; Liu, X.; Zhang, C.; Huang, Y.; Chen, Y. Melting behaviors of pcm in porous metal foam characterized by fractal geometry. Int. J. Heat Mass Transf. 2017, 113, 1031–1042. [Google Scholar] [CrossRef]
- Chen, Y.; Zhang, C.; Shi, M.; Wu, J.; Peterson, G.P. Study on flow and heat transfer characteristics of heat pipe with axial “Ω”-shaped microgrooves. Int. J. Heat Mass Transf. 2009, 52, 636–643. [Google Scholar] [CrossRef]
- Deng, Z.; Zheng, Y.; Liu, X.; Zhu, B.; Chen, Y. Experimental study on thermal performance of an anti-gravity pulsating heat pipe and its application on heat recovery utilization. Appl. Therm. Eng. 2017, 125, 1368–1378. [Google Scholar] [CrossRef]
- Qu, J.; Wu, H.Y.; Cheng, P.; Wang, Q.; Sun, Q. Recent advances in mems-based micro heat pipes. Int. J. Heat Mass Transf. 2017, 110, 294–313. [Google Scholar] [CrossRef]
- Lv, L.; Li, J. Managing high heat flux up to 500w/cm2 through an ultra-thin flat heat pipe with superhydrophilic wick. Appl. Therm. Eng. 2017, 122, 593–600. [Google Scholar] [CrossRef]
- Zhang, M.; Liu, Z.; Ma, G. The experimental investigation on thermal performance of a flat two-phase thermosyphon. Int. J. Therm. Sci. 2008, 47, 1195–1203. [Google Scholar] [CrossRef]
- Chang, S.W.; Yu, K.C. Thermal performance of reciprocating two-phase thermosyphon with nozzle. Int. J. Therm. Sci. 2018, 129, 14–28. [Google Scholar] [CrossRef]
- Fertahi, S.E.D.; Bouhal, T.; Agrouaz, Y.; Kousksou, T.; El Rhafiki, T.; Zeraouli, Y. Performance optimization of a two-phase closed thermosyphon through cfd numerical simulations. Appl. Therm. Eng. 2018, 128, 551–563. [Google Scholar] [CrossRef]
- Narcy, M.; Lips, S.; Sartre, V. Experimental investigation of a confined flat two-phase thermosyphon for electronics cooling. Exp. Therm. Fluid. Sci. 2018, 96, 516–529. [Google Scholar] [CrossRef]
- Wang, X.Y.; Wang, Y.F.; Chen, H.J.; Zhu, Y.Z. A combined cfd/visualization investigation of heat transfer behaviors during geyser boiling in two-phase closed thermosyphon. Int. J. Heat Mass Transf. 2018, 121, 703–714. [Google Scholar] [CrossRef]
- Fadhl, B. Modelling of the Thermal Behaviour of a Two-Phase Closed Thermosyphon. Ph.D. Thesis, Brunel University London, London, UK, March 2016. [Google Scholar]
- Zhang, G.; Liu, Z.; Wang, C. An experimental study of boiling and condensation co-existing phase change heat transfer in small confined space. Int. J. Heat Mass Transf. 2013, 64, 1082–1090. [Google Scholar] [CrossRef]
- Chen, Y.; Yu, F.; Zhang, C.; Liu, X. Experimental study on thermo-hydrodynamic behaviors in miniaturized two-phase thermosyphons. Int. J. Heat Mass Transf. 2016, 100, 550–558. [Google Scholar] [CrossRef]
- Zhang, G.; Liu, Z.; Wang, C. A visualization study of the influences of liquid levels on boiling and condensation co-existing phase change heat transfer phenomenon in small confined spaces. Int. J. Heat Mass Transf. 2014, 73, 415–423. [Google Scholar] [CrossRef]
- Liu, Z.L.; Zheng, F.W.; Li, Y.X. Enhancing boiling and condensation co-existing heat transfer in a small and closed space by copper foam inserts. Int. J. Heat Mass Transf. 2017, 108, 961–971. [Google Scholar] [CrossRef]
- Peng, H.; Li, J.; Ling, X. Study on heat transfer performance of an aluminum flat plate heat pipe with fins in vapor chamber. Energy Convers. Manag. 2013, 74, 44–50. [Google Scholar] [CrossRef]
- Hassan, H.; Harmand, S. An experimental and numerical study on the effects of the flat heat pipe wick structure on its thermal performance. Heat Transf. Eng. 2015, 36, 278–289. [Google Scholar] [CrossRef]
- Lips, S.; Lefevre, F.; Bonjour, J. Combined effects of the filling ratio and the vapour space thickness on the performance of a flat plate heat pipe. Int. J. Heat Mass Transf. 2010, 53, 694–702. [Google Scholar] [CrossRef]
- Ju, Y.S.; Kaviany, M.; Nam, Y.; Sharratt, S.; Hwang, G.S.; Catton, I.; Fleming, E.; Dussinger, P. Planar vapor chamber with hybrid evaporator wicks for the thermal management of high-heat-flux and high-power optoelectronic devices. Int. J. Heat Mass Transf. 2013, 60, 163–169. [Google Scholar] [CrossRef]
- Wu, S.; Yu, C.; Yu, F.; Chen, Y. Lattice boltzmann simulation of co-existing boiling and condensation phase changes in a confined micro-space. Int. J. Heat Mass Transf. 2018, 126, 773–782. [Google Scholar] [CrossRef]











© 2018 by the authors. Licensee MDPI, Basel, Switzerland. This article is an open access article distributed under the terms and conditions of the Creative Commons Attribution (CC BY) license (http://creativecommons.org/licenses/by/4.0/).
Share and Cite
Wang, C.; Yao, F.; Shi, J.; Wu, L.; Zhang, M. Visualization Study on Thermo-Hydrodynamic Behaviors of a Flat Two-Phase Thermosyphon. Energies 2018, 11, 2295. https://doi.org/10.3390/en11092295
Wang C, Yao F, Shi J, Wu L, Zhang M. Visualization Study on Thermo-Hydrodynamic Behaviors of a Flat Two-Phase Thermosyphon. Energies. 2018; 11(9):2295. https://doi.org/10.3390/en11092295
Chicago/Turabian StyleWang, Chao, Feng Yao, Juan Shi, Liangyu Wu, and Mengchen Zhang. 2018. "Visualization Study on Thermo-Hydrodynamic Behaviors of a Flat Two-Phase Thermosyphon" Energies 11, no. 9: 2295. https://doi.org/10.3390/en11092295
APA StyleWang, C., Yao, F., Shi, J., Wu, L., & Zhang, M. (2018). Visualization Study on Thermo-Hydrodynamic Behaviors of a Flat Two-Phase Thermosyphon. Energies, 11(9), 2295. https://doi.org/10.3390/en11092295
