Thermally Induced Mechanical Stress in the Stator Windings of Electrical Machines
Abstract
1. Introduction
2. Thermally Induced Mechanical Stress
3. Numerical Model
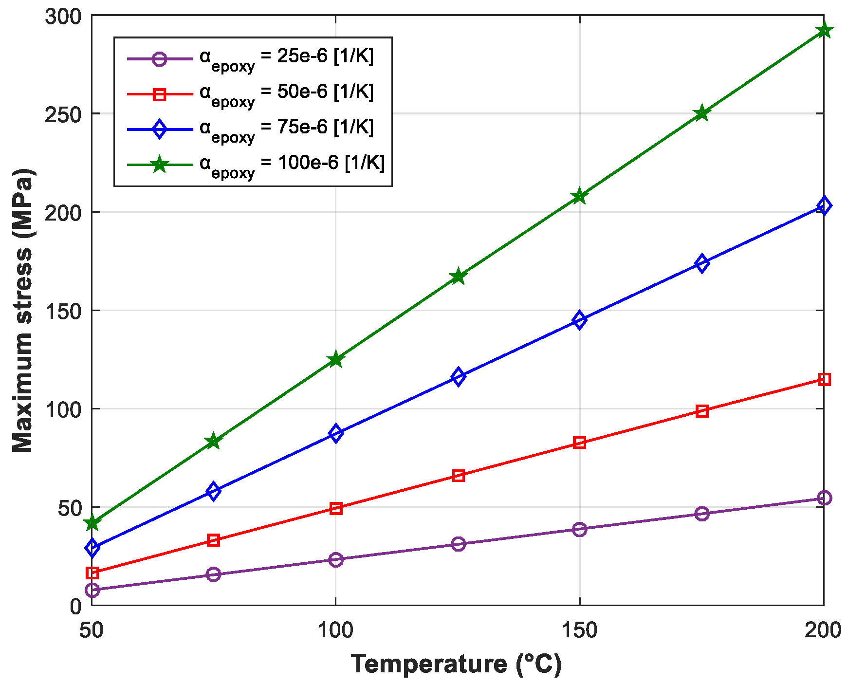
4. Uniform Temperature Distribution
5. Non-Uniform Temperature Distribution
6. Measurement of Stress on a Segmented Stator Winding Set-Up
- (1)
- Set-up construction: Several cracks were seen in the outer epoxy surface, which can also be seen in Figure 16(4), forming after the curing process. Although this outer surface is quite far from the stress sensors, it may influence the temperature and stress distribution inside the windings. In addition, the position of the wires shows small deviations from the positions in the simulation (visible in Figure 16(3)), and hence the distribution of the epoxy is also influenced.
- (2)
- Assumptions in the numerical model: The end-winding region has been neglected in the numerical model. In real motors, the end-windings of the stator are not epoxy impregnated. However, in the experimental set-up, the end winding region has also been impregnated with epoxy. Neglecting this certainly affects the stress computed in the simulation. Also, the actual fixed surface in the experimental set-up is the surface of the epoxy beneath the end-windings, but the numerical model is simplified by fixing one of the axial sides of the tooth.
- (3)
- Inaccuracies in the measurement: The tolerances of the sensors together with tolerances of the components in the conditioning circuits could introduce slight errors in the measured results.
7. Conclusions
Author Contributions
Funding
Acknowledgments
Conflicts of Interest
References
- Lemmens, J.; Driesen, J.; Vanassche, P. Thermal management in traction applications as a constraint optimal control problem. In Proceedings of the IEEE Vehicle Power and Propulsion Conference, Seoul, Korea, 9–12 October 2012; pp. 36–41. [Google Scholar]
- Bonnett, A.H.; Soukup, G.C. Cause and analysis of stator and rotor failures in three-phase squirrel-cage induction motors. IEEE Trans. Ind. Appl. 1992, 28, 921–937. [Google Scholar] [CrossRef]
- Huang, Z. Modeling and testing of insulation degradation due to dynamic thermal loading of electrical machines. Ph.D. Thesis, Lund University, Lund, Sweden, 2017. [Google Scholar]
- Zoeller, C.; Vogelsberger, M.A.; Fasching, R.; Grubelnik, W.; Wolbank, T.M. Evaluation and current-response-based identification of insulation degradation for high utilized electrical machines in railway application. IEEE Trans. Ind. Appl. 2017, 53, 2679–2689. [Google Scholar] [CrossRef]
- Zhang, Y.; McLoone, S.; Cao, W.; Qiu, F.; Gerada, C. Power loss and thermal analysis of a MW high-speed permanent magnet synchronous machine. IEEE Trans. Energy Convers. 2017, 32, 1468–1478. [Google Scholar] [CrossRef]
- Qui, Y.; Zhang, W.; Cao, M.; Feng, Y.; Infield, D. An electro-thermal analysis of a variable-speed doubly-fed induction generator in a wind turbine. Energies 2015, 8, 3386–3402. [Google Scholar]
- Kavanagh, D.; Howey, D.; McCulloch, M. An applied laboratory characterization approach for electric machine insulation. In Proceedings of the 9th IEEE International Symposium on Diagnostics for Electric Machines, Power Electronics and Drives, Valencia, Spain, 27–30 August 2013. [Google Scholar]
- Pan, T.-Y. Thermal cycling induced plastic deformation in solder joints—Part II: Accumulated deformation in through hole joints. IEEE Trans. Compon. Hybrids Manuf. Technol. 1991, 14, 824–832. [Google Scholar] [CrossRef]
- Baker, E. Some effects of temperature on material properties and device reliability. IEEE Trans. Parts Hybrids Packag. 1972, 8, 4–14. [Google Scholar] [CrossRef]
- Seo, S.-H.; Hwang, J.-S.; Yang, J.-M.; Hwang, W.-J.; Song, J.-Y.; Lee, W.-J. Failure mechanism of copper through-silicon vias under biased thermal stress. Thin Solid Films 2013, 546, 14–17. [Google Scholar] [CrossRef]
- Selvanayagam, C.S.; Lau, J.H.; Zhang, X.; Seah, S.K.W.; Vaidyanathan, K.; Chai, T.C. Nonlinear thermal stress/strain analyses of copper filled TSV (Through Silicon Via) and their flip-chip microbumps. IEEE Trans. Adv. Packag. 2009, 32, 720–728. [Google Scholar] [CrossRef]
- Keller, R.R.; Monig, R.; Volkert, C.A.; Arzt, E.; Schwaiger, R.; Kraft, O. Interconnect failure due to cyclic loading. In Proceedings of the Stress-Induced Phenomena in Metallization: Sixth International Workshop, Ithaca, NY, USA, 25–27 July 2002; American Institute of Physics: College Park, MD, USA, 2002; pp. 119–132. [Google Scholar]
- Shen, Y.-L. Analysis of thermal stresses in copper interconnect/Low-k dielectric structures. J. Electron. Mater. 2005, 34, 497–505. [Google Scholar] [CrossRef]
- DeMilo, C.; Bergad, C.; Forni, R.; Brukilacchio, T. Thermally induced stresses resulting from coefficient of thermal expansion differentials between an LED sub-mount material and various mounting substrates. Proc. SPIE 2007, 6486, 64860N. [Google Scholar]
- Hao, X.; Qin, L.; Yang, D.; Liu, S. Thermal-mechanical stress and fatigue failure analysis of a PBGA. In Proceedings of the 5th International Conference on Electronic Packaging Technology, Shanghai, China, 28–30 October 2003. [Google Scholar]
- Li, W.; Zhang, X. Thermal-mechanical failure and life analysis on CBGA package used for great scale FPGA chip. In Proceedings of the International Conference on Electronic Packaging Technology High Density Packaging, Beijing, China, 10–13 August 2009. [Google Scholar]
- Hsueh, E.Y.S.C.H.; Becher, P.F. Analyses of thermal expansion behavior of intergranular two-phase composites. J. Mater. Sci. 2001, 36, 255–261. [Google Scholar] [CrossRef]
- Yuan, Q.; Endoh, R.; Ima, T.; Kajita, Y.; Luo, Y. Failure mode verification of power IGBT under different thermal stress application conditions in power cycling test environment. In Proceedings of the International Conference on Electronics Packaging and iMAPS All Asia Conference (ICEP-IAAC), Mie, Japan, 17–21 April 2018; pp. 367–370. [Google Scholar]
- Pedersen, K.B.; Pedersen, K. Dynamic modeling method of electro-thermo-mechanical degradation in IGBT modules. IEEE Trans. Power Electron. 2016, 31, 975–986. [Google Scholar] [CrossRef]
- Tseng, H.-K.; Wu, M.-L. Electro-thermal-mechanical modeling of wire bonding failures in IGBT. In Proceedings of the 8th International Microsystems, Packaging, Assembly and Circuits Technology Conference, Taipei, Taiwan, 22–25 October 2013. [Google Scholar]
- IEEE. IEEE Guide for Insulation Maintenance of Electric Machines—Redline; IEEE Std 56-2016; IEEE: New York, NY, USA, 2016; pp. 1–233. [Google Scholar]
- Wood, J.W. Mechanical stresses in rotating machines and insulation design considerations. In Proceedings of the IEE Colloquium on Mechanical Influence on Electrical Insulation Performance, London, UK, 28 February 1995. [Google Scholar]
- Weiers, T.; Keller, D.; Vogelsang, R. The Impact of low Amplitude 100 Hz Vibrations on the Winding Insulation of Rotating High Voltage Machines. In Proceedings of the 14th International Symposium on High Voltage Engineering (ISH 2005), Beijing, China, 25–28 August 2005. [Google Scholar]
- Griffith, G.; Tucker, S.; Milsom, J.; Stone, G. Problems with modern air-cooled generator stator winding insulation. IEEE Electr. Insul. Mag. 2000, 16, 6–10. [Google Scholar] [CrossRef]
- Huang, Z.; Reinap, A.; Alakula, M. Degradation and fatigue of epoxy impregnated traction motors due to thermal and thermal induced mechanical stress—Part I: Thermal mechanical simulation of single wire due to evenly distributed temperature. In Proceedings of the 8th IET International Conference on Power Electronics, Machines and Drives (PEMD), Glasgow, UK, 19–21 April 2016. [Google Scholar]
- Huang, Z.; Reinap, A.; Alakula, M. Degradation and fatigue of epoxy impregnated traction motors due to thermal and thermal induced mechanical stress—Part II: Thermal mechanical simulation of multiple wires due to evenly and unevenly distributed temperature. In Proceedings of the 8th IET International Conference on Power Electronics, Machines and Drives (PEMD), Glasgow, UK, 19–21 April 2016. [Google Scholar]
- Kulan, M.C.; Baker, N.J.; Widmer, J.D. Design of a high fill factor permanent magnet integrated starter generator with compressed stator windings. In Proceedings of the XXII International Conference on Electrical Machines (ICEM), Lausanne, Switzerland, 4–7 September 2016; pp. 1513–1519. [Google Scholar]
- Nonneman, J.; Clarie, N.; Jollyn, I.T.; Schlimpert, S.; Sergeant, P.; de Paepe, M. Advanced lumped parameter model for switched reluctance motors with high performance cooling. In Proceedings of the 16th International Heat Transfer Conference, Beijing, China, 10–15 August 2018. [Google Scholar]
- Romanazzi, P.; Howey, D.A. Air-gap convection in a switched reluctance machine. In Proceedings of the Tenth International Conference on Ecological Vehicles and Renewable Energies (EVER), Monte Carlo, Monaco, 31 March–2 April 2015. [Google Scholar]
- Sahroni, T.R.; Sulaiman, S.; Romli, I.; Salleh, M.R.; Ariff, H.A. Nonlinear thermal expansion model for SiC/Al. Int. J. Mech. Mech. Eng. 2011, 5, 1151–1155. [Google Scholar]
- Nawab, Y.; Jacquemin, F.; Casari, P.; Boyard, N.; Borjon-Piron, Y.; Sobotka, V. Study of variation of thermal expansion coefficients in carbon/epoxy laminated composite plates. Compos. B Eng. 2013, 50, 144–149. [Google Scholar] [CrossRef]























| Parameters | Value |
|---|---|
| Number of stator poles | 6 |
| Outer diameter of stator (mm) | 120 |
| Inner diameter of stator yoke (mm) | 98 |
| Thickness of the tooth (mm) | 17.5 |
| Stack length (mm) | 80 |
| Number of turns per coil | 39 |
| Properties | Electrical Sheet (N020) | Copper | Epoxylite TSA 220 |
| Young′s Modulus (Pa) | 200 × 109 | 1.1 × 1011 | 3.5 × 109 |
| Poisson′s Ratio | 0.29 | 0.35 | 0.34 |
| Thermal Conductivity (W/m·K) | 28 | 400 | 0.21 |
| Density (Kg/m3) | 7650 | 8960 | 1180 |
| Heat capacity at constant pressure (J/Kg·K) | 440 | 385 | 400 |
| Coefficient of Thermal Expansion (1/K) | 12 × 10−6 | 18 × 10−6 | 50 × 10−6 |
| Parameter | Value | |||
|---|---|---|---|---|
| Copper fill factor | 0.32 | 0.4 | 0.5 | 0.6 |
| α_epoxy (1/K) | 25 × 10−6 | 50 × 10−6 | 75 × 10−6 | 100 × 10−6 |
© 2018 by the authors. Licensee MDPI, Basel, Switzerland. This article is an open access article distributed under the terms and conditions of the Creative Commons Attribution (CC BY) license (http://creativecommons.org/licenses/by/4.0/).
Share and Cite
Silwal, B.; Sergeant, P. Thermally Induced Mechanical Stress in the Stator Windings of Electrical Machines. Energies 2018, 11, 2113. https://doi.org/10.3390/en11082113
Silwal B, Sergeant P. Thermally Induced Mechanical Stress in the Stator Windings of Electrical Machines. Energies. 2018; 11(8):2113. https://doi.org/10.3390/en11082113
Chicago/Turabian StyleSilwal, Bishal, and Peter Sergeant. 2018. "Thermally Induced Mechanical Stress in the Stator Windings of Electrical Machines" Energies 11, no. 8: 2113. https://doi.org/10.3390/en11082113
APA StyleSilwal, B., & Sergeant, P. (2018). Thermally Induced Mechanical Stress in the Stator Windings of Electrical Machines. Energies, 11(8), 2113. https://doi.org/10.3390/en11082113

