A Practical Formulation for Ex-Ante Scheduling of Energy and Reserve in Renewable-Dominated Power Systems: Case Study of the Iberian Peninsula
Abstract
1. Introduction
- To propose a probabilistic approach to define positive and negative net load deviations per node accounting for the risk aversion level of the system operator.
- To formulate a novel mathematical programming problem to model a market clearing procedure that co-optimizes energy and reserve capacity considering probabilistic net load deviations.
- To solve a realistic case study based on the Iberian Peninsula power system.
2. Model Description
2.1. Notation
Indices
| d | Index of demands |
| g | Index of generating units |
| ℓ | Index of transmission lines |
| n | Index of buses |
| t | Index of time periods |
| Index of scenarios |
Sets
| D | Set of demands |
| Destination or receiving bus of line ℓ | |
| G | Set of generating units |
| Set of generating units located in bus n | |
| Set of dispatchable generating units | |
| Set of dispatchable generating units located in bus n | |
| Set of demands located in bus n | |
| Set of intermittent generating units | |
| Set of intermittent generating units located in bus n | |
| Set of transmission lines whose destination bus is n | |
| Set of transmission lines whose origin bus is n | |
| N | Set of buses |
| Origin or sending bus of line ℓ | |
| T | Set of time periods |
Variables
| Scheduled down reserve capacity in the day-ahead market by demand d in period t | |
| Scheduled up reserve capacity in the day-ahead market by demand d in period t | |
| Scheduled down reserve capacity in the day-ahead market by unit g in period t | |
| Scheduled up reserve capacity in the day-ahead market by unit g in period t | |
| Shutdown cost of unit g in period t | |
| Startup cost of unit g in period t | |
| Power scheduled in the day-ahead market by unit g in period t | |
| Power generated by unit g in period t and scenario | |
| Power flow resulting from the day-ahead schedule in line ℓ and period t | |
| Power flow resulting from the balancing market in line ℓ in period t and scenario | |
| Load shedding in bus n, period t and scenario | |
| Maximum load shedding in bus n and period t | |
| Deployed down reserve in the balancing market by the demand d in period t and scenario | |
| Deployed up reserve in the balancing market by the demand d in period t and scenario | |
| Deployed down reserve in the balancing market by unit g in period t and scenario | |
| Deployed up reserve in the balancing market by unit g in period t and scenario | |
| Power spillage of intermittent unit g in period t and scenario | |
| Maximum power spillage of intermittent unit g in period t | |
| Power spillage of intermittent unit g in period t in the day-ahead market | |
| Binary variable that is equal to 1 if unit g is committed in period t, being 0 otherwise | |
| Bus voltage angle resulting from the day-ahead schedule in bus n and period t | |
| Bus voltage angle resulting from the balancing market in bus n, period t and scenario |
Parameters
| Maximum down reserve capacity to be offered by demand d in period t | |
| Maximum up reserve capacity to be offered by demand d in period t | |
| Energy offer price of unit g in the day-ahead market | |
| Down reserve capacity offer price of demand d | |
| Up reserve capacity offer price of demand d | |
| Down reserve capacity offer price of unit g | |
| Up reserve capacity offer price of unit g | |
| Shutdown cost of unit g | |
| Startup cost of unit g | |
| Penalization cost of forced spillage of intermittent unit g | |
| Penalization cost of unserved energy | |
| Minimum down time of unit g | |
| Number of hours that unit g has to be initially offline due to its minimum down time constraint | |
| Power comsumed by demand d in the balancing market in period t and scenario | |
| Power consumed by demand d in the day-ahead market in period t | |
| Net load in the day-ahead market in bus n and period t | |
| Net load in the balancing market in bus n, period t and scenario | |
| Number of time periods | |
| Capacity of unit g | |
| Minimum power output of unit g | |
| Ramp-up limit of unit g | |
| Ramp-down limit of unit g | |
| Startup ramp limit of unit g | |
| Shutdown ramp limit of unit g | |
| Capacity of line ℓ | |
| Availability of intermittent unit g in the balancing market in period t and scenario | |
| Availability of intermittent unit g in the day-ahead market in period t | |
| Minimum up time of unit g | |
| Number of hours that unit g has to be initially online due to its minimum up time constraint | |
| Reactance of line ℓ | |
| Threshold probability | |
| Net load deviation of the balancing market from the day-ahead market in bus n, period t and scenario | |
| Positive load deviation of the balancing market from the day-ahead market in bus n, period t and scenario | |
| Negative load deviation of the balancing market from the day-ahead market in bus n, period t and scenario | |
| Maximum positive deviation of the net load that can occur with probability in bus n and period t | |
| Minimum negative deviation of the net load that can occur with probability in bus n and period t | |
| Maximum positive deviation of the net load that can occur with probability in period t | |
| Minimum negative deviation of the net load that can occur with probability in period t |
2.2. Probabilistic Net Load Deviations
2.3. Mathematical Formulation of the Scheduling Model
Discussion about the Proposed Formulation
3. Case Studies
3.1. Single-Area IEEE Reliability Test System
3.1.1. Input Data
- Proposed formulation (PF), corresponding toproblem (P1).
- Stochastic unit commitment (SUC), corresponding to a typical two-stage stochastic programming model that co-optimizes energy and reserve capacity [14]. The first stage formulates the day-ahead market, whereas the balancing market is considered in the second stage. The complete formulation of this problem is described in the Appendix A. Hereinafter, we denote this problem as (P2).
- Decoupled unit commitment (DUC). Here we consider that energy and spinning reserve capacity are determined separately. Firstly, a traditional energy-only deterministic unit commitment problem similar to that presented in [18] is solved to determine the day-ahead energy quantities that each generating unit must produce to satisfy the demand at minimum cost. Secondly, the reserve capacities are computed by solving problem (P2), in which the unit commitment variables and day-ahead energy quantities are fixed to the optimal values obtained from the deterministic only-energy unit commitment.
3.1.2. Results
3.2. Iberian Peninsula Power System
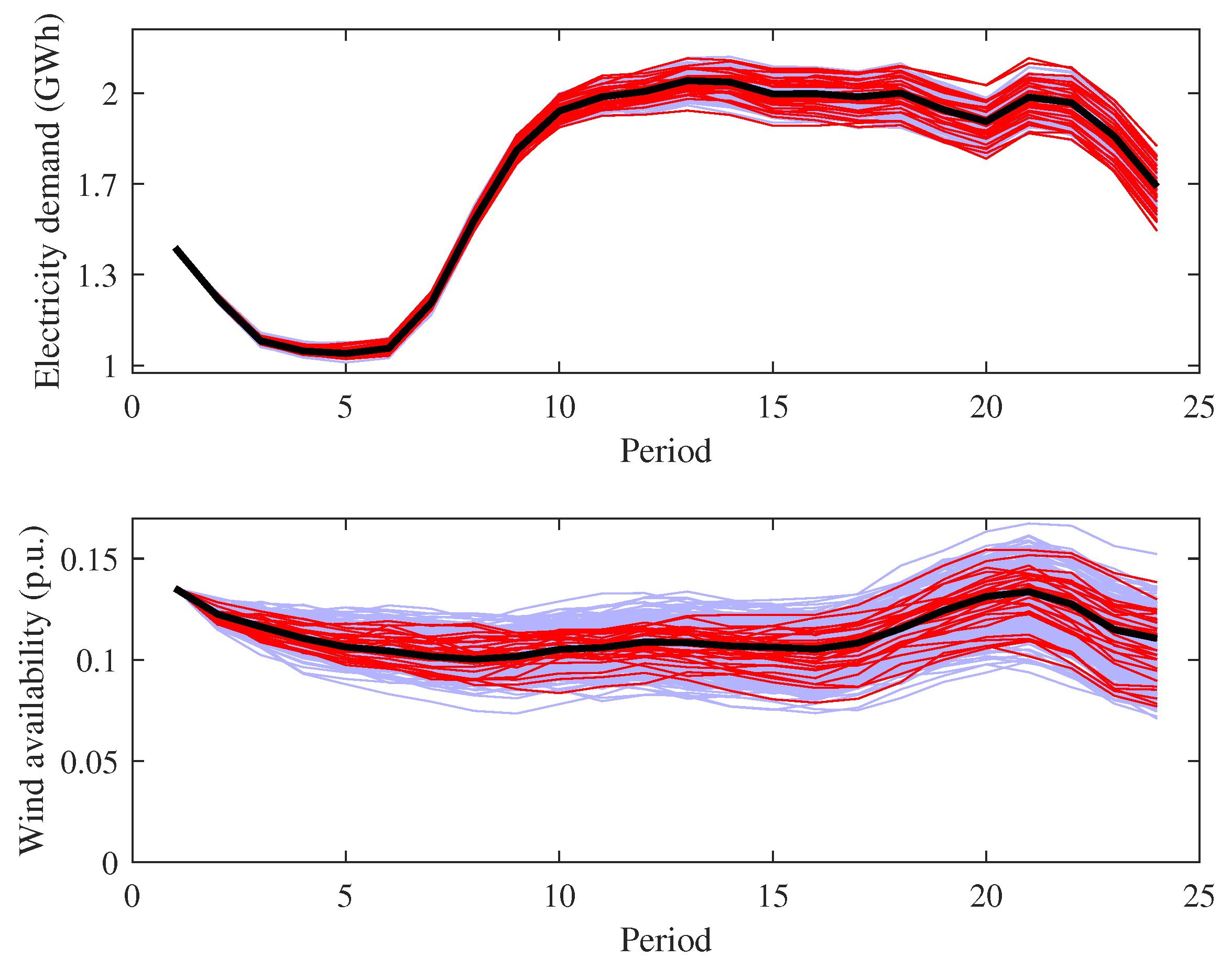
3.2.1. Input Data
3.2.2. Day-Ahead Scheduling Results
3.2.3. System Operation for One Year
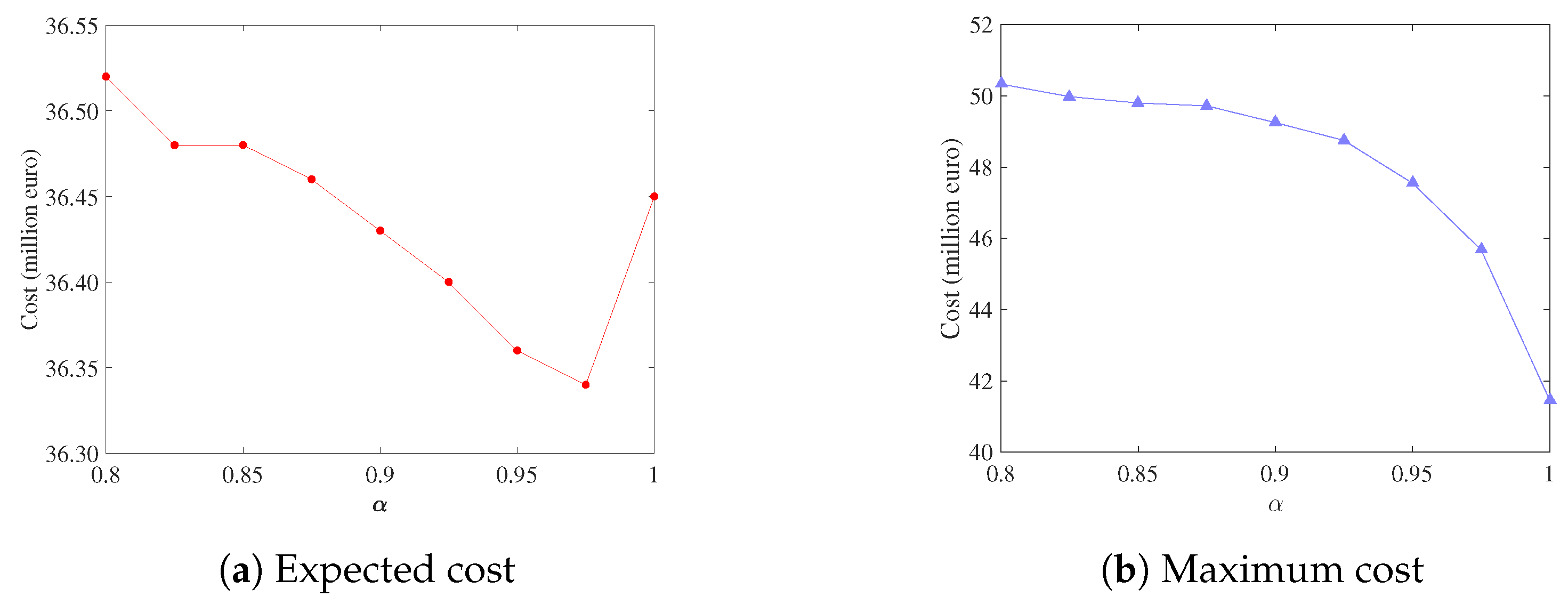
- . The proposed formulation is used for .
- . The proposed formulation is used for .
- RES. The reserve requirements are set based on the (3 + 5)% policy devised by NREL in [23], which requires the system to carry hourly up and down spinning reserve greater than 3% of hourly forecast demand plus 5% of hourly forecast wind and PV power. Therefore, constraints (34)–(41) are replaced by:
4. Summary and Conclusions
Author Contributions
Funding
Conflicts of Interest
Appendix A. Stochastic Unit Commitment Formulation
References
- International Energy Agency. 2017. Available online: http://www.iea.org (accessed on 7 May 2018).
- Gooi, H.B.; Mendes, D.P.; Bell, K.R.W.; Kirschen, D.S. Optimal scheduling of spinning reserve. IEEE Trans. Power Syst. 1999, 14, 1485–1492. [Google Scholar] [CrossRef]
- Bouffard, F.; Galiana, F.D. Stochastic security for operations planning with significant wind power generation. IEEE Trans. Power Syst. 2008, 23, 306–316. [Google Scholar] [CrossRef]
- Ortega-Vazquez, M.A.; Kirschen, D.S. Estimating the spinning reserve requirements in systems with significant wind power generation penetration. IEEE Trans. Power Syst. 2009, 24, 114–124. [Google Scholar] [CrossRef]
- Pritchard, G.; Zakeri, G.; Philpott, A. A single-settlement, energy-only electric power market for unpredictable and intermittent participants. Oper. Res. 2010, 58, 1210–1219. [Google Scholar] [CrossRef]
- Papavasiliou, A.; Oren, S.S.; O’Neill, R.P. Reserve requirements for wind power integration: A scenario-based stochastic programming framework. IEEE Trans. Power Syst. 2011, 26, 2197–2206. [Google Scholar] [CrossRef]
- Bertsimas, D.; Litvinov, E.; Sun, X.A.; Zhao, J.; Zheng, T. Adaptive Robust Optimization for the Security Constrained Unit Commitment Problem. IEEE Trans. Power Syst. 2013, 28, 52–63. [Google Scholar] [CrossRef]
- Morales, J.M.; Zugno, M.; Pineda, S.; Pinson, P. Redefining the merit order of stochastic generation in forward markets. IEEE Trans. Power Syst. 2014, 29, 992–993. [Google Scholar] [CrossRef]
- Domínguez, R.; Conejo, A.J.; Carrión, M. Operation of a fully renewable electric energy system with CSP plants. Appl. Energy 2014, 119, 417–430. [Google Scholar] [CrossRef]
- Hytowitz, R.B.; Hedman, K.W. Managing solar uncertainty in microgrid systems with stochastic unit commitment. Electr. Power Syst. Res. 2015, 119, 111–118. [Google Scholar] [CrossRef]
- Marneris, I.G.; Biskas, P.N.; Bakirtzis, A.G. Stochastic and deterministic unit commitment considering uncertainty and variability reserves for high renewable integration. Energies 2017, 10, 140. [Google Scholar] [CrossRef]
- Jo, K.-H.; Kim, M.-K. Stochastic unit commitment based on multi-scenario tree method considering uncertainty. Energies 2018, 11, 740. [Google Scholar] [CrossRef]
- Zugno, M.; Conejo, A.J. A robust optimization approach to energy and reserve dispatch in electricity markets. Eur. J. Oper. Res. 2015, 247, 659–671. [Google Scholar] [CrossRef]
- Zheng, Q.P.; Wang, J.; Liu, A.L. Stochastic Optimization for Unit Commitment—A Review. IEEE Trans. Power Syst. 2015, 30, 1913–1924. [Google Scholar] [CrossRef]
- Alqurashi, A.; Etemadi, A.H.; Khodaei, A. Treatment of uncertainty for next generation power systems: State-of-the-art in stochastic optimization. Electr. Power Syst. Res. 2016, 141, 233–245. [Google Scholar] [CrossRef]
- LaBove, G.L.; Al-Abdullah, Y.M.; Hedman, K.W. Scaling Issues in Day-Ahead Formulations of Stocashtic Unit Commitment. In Proceedings of the 2015 North American Power Symposium (NAPS), Charlotte, NC, USA, 4–6 October 2015; pp. 1–6. [Google Scholar]
- Gröwe-Kuska, N.; Heitsch, H.; Römisch, W. Scenario reduction and scenario tree construction for power management problems. In Proceedings of the 2003 IEEE Bologna Power Tech Conference, Bologna, Italy, 23–26 June 2003. [Google Scholar]
- Carrión, M.; Arroyo, J.M. A Computationally Efficient Mixed-Integer Linear Formulation for the Thermal Unit Commitment Problem. IEEE Trans. Power Syst. 2006, 21, 1371–1378. [Google Scholar] [CrossRef]
- Anjos, M. Recent progress in modeling unit commitment problems. In Springer Proceedings in Mathematics and Statistics; Springer: New York, NY, USA, 2013; Volume 62, pp. 3–29. [Google Scholar]
- Cancelo, J.R.; Espasa, A.; Grafe, R. Forecasting the electricity load from one day to one week ahead for Spanish system operator. Int. J. Forecast. 2008, 24, 588–602. [Google Scholar] [CrossRef]
- Wind Generation Forecasting at REE. Available online: http://www.ieawindforecasting.dk/publications (accessed on 7 May 2018).
- Lobato, E.; Egido, I.; Rouco, L.; López, G. An overview of ancillary services in Spain. Electr. Power Syst. Res. 2008, 78, 515–523. [Google Scholar] [CrossRef]
- Western Wind and Solar Integration Study; Technical Report; National Renewable Energy Laboratory: Golden, CO, USA, May 2010. Available online: https://goo.gl/NvUBK8 (accessed on 7 May 2018).
- Grigg, C.; Wong, P.; Albrecht, P.; Allan, R.; Bhavaraju, M.; Billinton, R.; Chen, Q.; Fong, C.; Haddad, S.; Kuruganty, S.; et al. The IEEE reliability test system-1996. IEEE Trans. Power Syst. 1999, 143, 1010–1020. [Google Scholar] [CrossRef]
- Carrión, M.; Zárate-Miñano, R. Operation of intermittent-dominated power systems with a significant penetration of plug-in electric vehicles. Energy 2015, 90, 827–835. [Google Scholar] [CrossRef]
- Spanish Network Operator (Red Eléctrica de España). Available online: http://www.ree.es (accessed on 7 May 2018).
- The IBM CPLEX. Available online: http://www-01.ibm.com/software/commerce/optimization/cplex-optimizer/ (accessed on 7 May 2018).
- Rosenthal, R.E. GAMS—A Users Guide; GAMS Development Company: Washington, DC, USA, 2008. [Google Scholar]
- Zhou, Q.; Bialek, J.W. Approximate model of European interconnected system as a benchmark system to study effects of cross-border trades. IEEE Trans. Power Syst. 2005, 20, 782–788. [Google Scholar] [CrossRef]
- Portuguish Network Operator (Redes Energéticas Nacionais). Available online: http://www.ren.pt (accessed on 7 May 2018).
- US Energy Information Administration Updated Capital Cost-Estimates for Utility Scale Electricity Generating Plants. April 2013. Available online: http://www.eia.gov/ (accessed on 8 May 2012).
- Hand, M.M. (Ed.) Renewable Electricity Futures Study; 4 vols., NREL/TP-6A20-52409; National Renewable Energy Laboratory: Golden, CO, USA, 2012. Available online: https://www.nrel.gov/analysis/re-futures.html (accessed on 7 May 2018).







| Technology | Bus | ||||||
|---|---|---|---|---|---|---|---|
| (MW) | (MW) | (MW) | (h) | (€/MWh) | (k€) | ||
| Nuclear | 18, 21 | 400 | 160 | 20 | 12 | 0 | 96.0 |
| Coal | 15, 16, | 155 | 31 | 46.5 | 8 | 32 | 39.7 |
| 23 (2) | |||||||
| OCGT | 2 (2) | 20 | 0 | 10 | 1 | 50 | 1.0 |
| 7 (2) | 100 | 0 | 50 | 1 | 50 | 5.0 | |
| 13 (3) | 197 | 0 | 98.5 | 1 | 50 | 9.8 | |
| CCGT | 15 (5) | 12 | 2.4 | 4.8 | 3 | 40 | 1.2 |
| 1 (2) | 20 | 4 | 8 | 3 | 40 | 2.0 | |
| 1 (2), 2 (2) | 76 | 15.2 | 30.4 | 3 | 40 | 7.6 | |
| Hydro | 22 (5) | 50 | 5 | 50 | 1 | 45 | 0.5 |
| Wind | 22, 7 (2) | 450 | 0 | - | 0 | 0 | 0.0 |
| 13 | 600 | 0 | - | 0 | 0 | 0.0 | |
| 23 | 1050 | 0 | - | 0 | 0 | 0.0 |
| Item | DUC | SUC | PF |
|---|---|---|---|
| # binary variables (): | 0.77 | 0.77 | 0.77 |
| # continuous variables (): | 208.54 | 202.06 | 12.36 |
| # constraints (): | 314.49 | 301.82 | 18.96 |
| Computing time (s): | 58 | 573 | 14 |
| Formulation | DA-E | SU | SD | DA-R | B | Total | |
|---|---|---|---|---|---|---|---|
| (GW) | (k€) | (k€) | (k€) | (k€) | (k€) | (k€) | |
| 1 | DUC | 620.24 | 115.71 | 0.21 | 2.98 | 7.61 | 746.75 |
| SUC | 620.24 | 115.71 | 0.21 | 3.03 | 7.48 | 746.67 | |
| PF | 620.24 | 115.71 | 0.21 | 0.78 | 11.78 | 748.72 | |
| PF | 620.24 | 115.71 | 0.21 | 1.20 | 9.79 | 747.15 | |
| PF | 620.24 | 115.71 | 0.21 | 3.12 | 7.46 | 746.74 | |
| 2 | DUC | 511.99 | 97.29 | 0.29 | 2.85 | 14.85 | 627.29 |
| SUC | 514.23 | 97.29 | 0.29 | 3.22 | 6.94 | 621.97 | |
| PF | 512.64 | 97.29 | 0.29 | 0.92 | 11.97 | 623.12 | |
| PF | 512.74 | 97.29 | 0.29 | 1.37 | 10.14 | 621.84 | |
| PF | 513.07 | 98.89 | 0.36 | 3.35 | 6.60 | 622.27 | |
| 3 | DUC | 427.13 | 66.55 | 0.60 | 1.92 | 114.18 | 610.39 |
| SUC | 447.60 | 76.07 | 0.61 | 3.74 | 9.50 | 537.52 | |
| PF | 427.48 | 70.56 | 0.59 | 1.08 | 45.54 | 545.23 | |
| PF | 428.72 | 71.82 | 0.59 | 1.58 | 34.81 | 537.52 | |
| PF | 433.53 | 75.57 | 0.51 | 3.96 | 26.33 | 539.91 |
| Formulation | Energy | Uns. Demand | Wind Spillage | Total | |
|---|---|---|---|---|---|
| (GW) | (k€) | (k€) | (k€) | (k€) | |
| 1 | DUC | 7.61 | 0.00 | 0.00 | 7.61 |
| SUC | 7.48 | 0.00 | 0.00 | 7.48 | |
| PF | 11.78 | 0.00 | 0.00 | 11.78 | |
| PF | 9.79 | 0.00 | 0.00 | 9.79 | |
| PF | 7.46 | 0.00 | 0.00 | 7.46 | |
| 2 | DUC | 8.20 | 6.65 | 0.00 | 14.85 |
| SUC | 6.89 | 0.05 | 0.00 | 6.94 | |
| PF | 11.91 | 0.05 | 0.01 | 11.97 | |
| PF | 10.08 | 0.05 | 0.01 | 10.14 | |
| PF | 6.60 | 0.00 | 0.00 | 6.60 | |
| 3 | DUC | 4.76 | 83.16 | 26.25 | 114.18 |
| SUC | 8.58 | 0.00 | 0.92 | 9.50 | |
| PF | 9.93 | 12.92 | 22.69 | 45.54 | |
| PF | 7.95 | 4.16 | 22.69 | 34.81 | |
| PF | 3.67 | 0.00 | 22.67 | 26.33 |
| (GW) | Formulation | Nuclear | Coal | OCGT | CCGT | Hydro | Wind |
|---|---|---|---|---|---|---|---|
| 1 | DUC | 18.84 | 6.33 | 5.47 | 4.05 | 3.34 | 2.69 |
| SUC | 18.84 | 6.33 | 5.47 | 4.05 | 3.34 | 2.69 | |
| PF | 18.84 | 6.33 | 5.47 | 4.05 | 3.34 | 2.69 | |
| PF | 18.84 | 6.33 | 5.47 | 4.05 | 3.34 | 2.69 | |
| PF | 18.84 | 6.33 | 5.47 | 4.05 | 3.34 | 2.69 | |
| 2 | DUC | 18.84 | 6.30 | 3.80 | 3.55 | 2.85 | 5.37 |
| SUC | 18.84 | 6.24 | 3.81 | 3.49 | 2.97 | 5.37 | |
| PF | 18.84 | 6.30 | 3.73 | 3.55 | 2.92 | 5.37 | |
| PF | 18.84 | 6.30 | 3.75 | 3.54 | 2.92 | 5.37 | |
| PF | 18.83 | 6.24 | 3.76 | 3.71 | 2.80 | 5.37 | |
| 3 | DUC | 18.84 | 4.24 | 3.09 | 3.68 | 2.94 | 7.93 |
| SUC | 18.29 | 4.24 | 3.65 | 3.68 | 2.79 | 8.06 | |
| PF | 18.84 | 4.24 | 3.03 | 3.91 | 2.83 | 7.88 | |
| PF | 18.84 | 4.23 | 3.04 | 3.93 | 2.82 | 7.85 | |
| PF | 18.83 | 4.24 | 3.34 | 3.57 | 2.99 | 7.75 |
| (GW) | Formulation | Coal | OCGT | CCGT | Hydro | Total |
|---|---|---|---|---|---|---|
| 1 | DUC | 0.0/0.8 | 1.5/0.1 | 0.1/0.3 | 0.4/0.9 | 2.0/ 2.1 |
| SUC | 0.0/0.8 | 1.5/0.1 | 0.1/0.3 | 0.4/0.9 | 2.1/ 2.1 | |
| PF | 0.0/0.4 | 0.3/0.0 | 0.0/0.0 | 0.2/0.1 | 0.6/0.6 | |
| PF | 0.0/0.6 | 0.6/0.0 | 0.0/0.1 | 0.3/0.2 | 0.9/0.9 | |
| PF | 0.0/0.8 | 1.6/0.1 | 0.1/0.3 | 0.4/0.9 | 2.1/ 2.1 | |
| 2 | DUC | 0.1/ 1.0 | 1.3/0.1 | 0.1/0.3 | 0.4/0.9 | 1.9/ 2.3 |
| SUC | 0.1/ 1.0 | 0.9/0.1 | 0.1/0.3 | 1.2/ 1.0 | 2.3/ 2.4 | |
| PF | 0.0/0.5 | 0.3/0.0 | 0.1/0.1 | 0.3/0.1 | 0.7/0.7 | |
| PF | 0.0/0.6 | 0.5/0.0 | 0.1/0.1 | 0.4/0.3 | 1.0/ 1.0 | |
| PF | 0.1/ 1.0 | 1.3/0.2 | 0.2/0.3 | 0.8/ 1.0 | 2.4/ 2.4 | |
| 3 | DUC | 0.0/0.9 | 0.2/0.3 | 0.2/0.3 | 0.5/0.8 | 0.9/ 2.4 |
| SUC | 0.0/0.9 | 1.5/0.5 | 0.2/0.3 | 0.9/0.8 | 2.5/ 2.6 | |
| PF | 0.0/0.5 | 0.1/0.1 | 0.1/0.1 | 0.6/0.2 | 0.8/0.9 | |
| PF | 0.0/0.6 | 0.2/0.1 | 0.2/0.1 | 0.8/0.4 | 1.2/ 1.2 | |
| PF | 0.0/ 1.0 | 1.5/0.4 | 0.2/0.3 | 1.0/ 1.1 | 2.8/ 2.7 |
| Item | Nuclear | Coal | OCGT | CCGT | Hydro | Wind | PV | Total |
|---|---|---|---|---|---|---|---|---|
| Capacity (GW) | 7.1 | 12.5 | 5.5 | 31.9 | 21.1 | 31.7 | 5.6 | 118.4 |
| Number of units (#) | 5 | 19 | 10 | 26 | 77 | 90 | 226 | 593 |
| Expected Cost (Millions €) | Expected Energy (GWh) | ||||||||
|---|---|---|---|---|---|---|---|---|---|
| RES | RES | RES | RES | ||||||
| Total | 10,389.1 | 10,527.0 | 11,646.4 | 11,536.0 | 298,939.4 | 298,939.4 | 298,939.4 | 298,939.4 | |
| Startup | 90.7 | 93.8 | 100.3 | 121.0 | - | - | - | - | |
| Coal | 22.9 | 22.3 | 20.1 | 25.8 | - | - | - | - | |
| OCGT | 1.6 | 3.0 | 3.2 | 4.9 | - | - | - | - | |
| CCGT | 66.2 | 68.5 | 76.9 | 90.4 | - | - | - | - | |
| Shutdown | 35.5 | 36.5 | 38.4 | 46.3 | - | - | - | - | |
| Coal | 9.1 | 9.1 | 7.7 | 10.2 | - | - | - | - | |
| OCGT | 0.0 | 0.0 | 0.0 | 0.0 | - | - | - | - | |
| CCGT | 26.4 | 27.4 | 30.7 | 36.1 | - | - | - | - | |
| DA Energy | 9496.4 | 9517.3 | 9489.7 | 9471.6 | 298,925.2 | 298,936.1 | 298,898.7 | 298,872.7 | |
| Nuclear | 612.6 | 612.0 | 613.3 | 612.6 | 61,257.4 | 61,192.7 | 61,330.6 | 61,264.4 | |
| Coal | 4516.0 | 4493.9 | 4518.0 | 4531.3 | 89,328.4 | 88,892.5 | 89,363.0 | 89,608.2 | |
| OCGT | 0.7 | 3.8 | 4.6 | 5.2 | 9.1 | 60.3 | 69.8 | 75.1 | |
| CCGT | 2954.3 | 2980.9 | 2902.2 | 2876.7 | 49,400.8 | 49,721.2 | 48,732.5 | 48,451.5 | |
| Hydro | 1412.8 | 1426.7 | 1451.6 | 1445.8 | 23,765.3 | 23,911.6 | 24,258.8 | 24,338.7 | |
| Wind | 0.0 | 0.0 | 0.0 | 0.0 | 65,338.1 | 65,331.8 | 65,318.2 | 65,308.8 | |
| PV | 0.0 | 0.0 | 0.0 | 0.0 | 9826.0 | 9826.0 | 9826.0 | 9826.0 | |
| DA Res. up | 136.5 | 225.2 | 225.0 | 144.3 | 11,363.4 | 18,231.3 | 19,710.3 | 12,728.5 | |
| Coal | 17.8 | 20.4 | 26.0 | 18.3 | 1599.2 | 1816.6 | 2509.4 | 1768.4 | |
| OCGT | 0.0 | 0.1 | 0.1 | 0.4 | 2.0 | 4.9 | 7.6 | 26.3 | |
| CCGT | 25.6 | 43.2 | 38.5 | 27.0 | 2026.3 | 3360.1 | 3206.5 | 2247.6 | |
| Hydro | 89.4 | 157.5 | 158.0 | 96.5 | 7377.3 | 12,647.1 | 13,746.4 | 8468.4 | |
| Demand | 3.6 | 4.0 | 2.4 | 2.2 | 358.6 | 402.5 | 240.4 | 217.7 | |
| DA Res. down | 59.4 | 123.3 | 76.1 | 102.7 | 7684.5 | 13,912.6 | 9933.5 | 12,728.5 | |
| Coal | 53.7 | 94.6 | 73.3 | 97.1 | 5851.7 | 10,014.6 | 8291.8 | 10,816.3 | |
| OCGT | 0.0 | 0.0 | 0.0 | 0.3 | 0.0 | 0.0 | 0.0 | 21.6 | |
| CCGT | 1.3 | 12.1 | 1.4 | 1.4 | 107.8 | 1049.5 | 114.6 | 116.4 | |
| Hydro | 2.9 | 12.8 | 0.6 | 2.5 | 1570.8 | 2471.8 | 1445.6 | 1632.1 | |
| Demand | 1.5 | 3.8 | 0.8 | 1.4 | 154.2 | 376.7 | 81.4 | 142.0 | |
| Bal Dep. up | 321.3 | 322.3 | 345.8 | 311.8 | 4216.1 | 4293.7 | 4598.4 | 4152.0 | |
| Coal | 42.8 | 43.1 | 22.2 | 22.4 | 695.5 | 690.1 | 391.7 | 398.0 | |
| OCGT | 0.0 | 0.0 | 0.2 | 0.7 | 0.1 | 0.6 | 2.0 | 8.4 | |
| CCGT | 53.7 | 63.0 | 43.8 | 39.2 | 770.1 | 899.3 | 677.5 | 601.8 | |
| Hydro | 212.6 | 211.9 | 263.2 | 226.3 | 2689.8 | 2682.7 | 3444.8 | 3028.1 | |
| Demand | 0.0 | 4.2 | 16.5 | 23.1 | 60.6 | 21.1 | 82.4 | 115.5 | |
| Bal Dep. down | −59.8 | −72.6 | −57.7 | −63.8 | 1509.3 | 1609.6 | 1657.5 | 1763.9 | |
| Coal | −51.6 | −41.6 | −55.9 | −59.4 | 1283.6 | 978.7 | 1488.9 | 1552.1 | |
| OCGT | 0.0 | 0.0 | 0.0 | −0.1 | 0.0 | 0.0 | 0.0 | 1.5 | |
| CCGT | −2.3 | −13.4 | −1.2 | −0.9 | 45.4 | 270.6 | 24.8 | 16.7 | |
| Hydro | −5.9 | −17.6 | −0.5 | −3.4 | 179.8 | 359.8 | 143.3 | 193.0 | |
| Demand | 0.0 | 0.0 | 0.0 | 0.0 | 44.3 | 48.0 | 50.5 | 62.2 | |
| Bal NoSch. up | 8.8 | 0.3 | 53.7 | 84.1 | 77.5 | 2.8 | 402.8 | 662.5 | |
| Coal | 0.0 | 0.0 | 0.0 | 0.0 | 0.0 | 0.0 | 0.0 | 0.0 | |
| OCGT | 0.0 | 0.0 | 0.0 | 0.3 | 0.0 | 0.0 | 0.0 | 2.6 | |
| CCGT | 5.2 | 0.2 | 23.7 | 44.1 | 48.7 | 2.3 | 211.7 | 395.8 | |
| Hydro | 3.6 | 0.1 | 30.0 | 39.7 | 28.9 | 0.5 | 191.1 | 264.1 | |
| Bal NoSch. dw | 0.0 | 0.0 | 0.0 | 0.0 | 92.2 | 3.5 | 707.6 | 543.0 | |
| Coal | 0.0 | 0.0 | 0.0 | 0.0 | 0.0 | 0.0 | 0.0 | 0.0 | |
| OCGT | 0.0 | 0.0 | 0.0 | 0.0 | 0.0 | 0.0 | 0.1 | 0.1 | |
| CCGT | 0.0 | 0.0 | 0.0 | 0.0 | 68.0 | 2.4 | 582.2 | 441.8 | |
| Hydro | 0.0 | 0.0 | 0.0 | 0.0 | 24.2 | 1.1 | 125.3 | 101.1 | |
| Int. spillage | 292.5 | 280.4 | 1147.9 | 1000.7 | 1462.5 | 1402.1 | 5739.6 | 5003.6 | |
| Uns. demand | 7.8 | 0.5 | 227.2 | 317.3 | 7.8 | 0.5 | 227.2 | 317.3 | |
© 2018 by the authors. Licensee MDPI, Basel, Switzerland. This article is an open access article distributed under the terms and conditions of the Creative Commons Attribution (CC BY) license (http://creativecommons.org/licenses/by/4.0/).
Share and Cite
Carrión, M.; Zárate-Miñano, R.; Domínguez, R. A Practical Formulation for Ex-Ante Scheduling of Energy and Reserve in Renewable-Dominated Power Systems: Case Study of the Iberian Peninsula. Energies 2018, 11, 1939. https://doi.org/10.3390/en11081939
Carrión M, Zárate-Miñano R, Domínguez R. A Practical Formulation for Ex-Ante Scheduling of Energy and Reserve in Renewable-Dominated Power Systems: Case Study of the Iberian Peninsula. Energies. 2018; 11(8):1939. https://doi.org/10.3390/en11081939
Chicago/Turabian StyleCarrión, Miguel, Rafael Zárate-Miñano, and Ruth Domínguez. 2018. "A Practical Formulation for Ex-Ante Scheduling of Energy and Reserve in Renewable-Dominated Power Systems: Case Study of the Iberian Peninsula" Energies 11, no. 8: 1939. https://doi.org/10.3390/en11081939
APA StyleCarrión, M., Zárate-Miñano, R., & Domínguez, R. (2018). A Practical Formulation for Ex-Ante Scheduling of Energy and Reserve in Renewable-Dominated Power Systems: Case Study of the Iberian Peninsula. Energies, 11(8), 1939. https://doi.org/10.3390/en11081939

