An Experimental Study on Flame Puffing of a Swirl Partially Premixed Combustion under Varying Mass Flow Rate of Primary Air
Abstract
1. Introduction
2. Experimental Setup and Methods
2.1. Experimental Apparatus
- (1)
- First of all, there is a supply section which comprises of several parts including an air compressor, mass flow rate controller (MFC), and a high-pressure gas holder. The air compressor provides the air for combustion with a maximum capacity of 2.5 kg/min. The flow rate of air is measured by a flow meter while air flow is regulated by an electronic control valve. An MFC, having a maximum capacity of 36 g/min, was installed after the gas holder measures and controls fuel (methane) flow rate.
- (2)
- The second section of this facility is the combustion section which contains an axisymmetric cylindrical chamber (combustor) and a swirl burner, as shown in Figure 2 and Figure 3. The length of the combustor is 1.35 m and the diameter is 0.3 m. Figure 3 illustrates the swirl burner that contains a radial swirler which improves the fuel/air mixing quality. Ten straight vanes having setting angle α of 50° constitute the swirler. To enhance flame stability, a convergent divergent nozzle was designed, having an angle of 42° between its divergent side face and vertical line. Primary air, which is a fraction of main air, flows tangentially through the swirler where fuel is delivered by the central fuel. Primary air carrying fuel then enters into the combustion chamber where the combustion process takes place. Flame length is controlled by primary air which mixes with fuel before combustion and is only 5% (on mass basis) of the total air supplied by the compressor. The mixing quality of primary air and methane is still insufficient because this mixing process occurs in a shorter distance. The remaining fraction of air/secondary air flows through a wind distributing plate and then from an annular slot it enters the combustor flowing adjacent to the inner walls. Secondary air not only supports combustion but also cools down the wall and metallic parts to avert damages caused by overheating. On the combustor wall an optically accessible window is attached for monitoring and recording the flame structure.
- (3)
- Lastly, there is an exhaust section which draws exhaust gas out into the atmosphere with the help of an induced draught system. It also includes a device to control the operating pressure of the combustor and is termed as the pressure regulating valve.
2.2. Measurement Methods
2.3. Flame Properties
- (1)
- Flame heat-release rate H is usually determined by integrating the intensity of the chemiluminescence over the entire image, i.e., summing the gray values of all pixels in that image [30,31,32]. The gray value is a parameter which reflects the luminosity of a grayscale image, and it has a range of 0–255. The luminance enhances gradually from 0 to 255 where 0 corresponds to black color while 255 corresponds to a white color (note that Figure 4 is a little saturated, which may have influence on the determination of H). While it is not the Figure we employed to obtain the signal in the paper, we used it to clearly present flame geometric properties because it is bright. The Figures corresponding to the cases we explored in the present work are not saturated, and the relevant heat-release rate signal was found to have a significant and regular variation with time, so it can be a qualitative indicator of flame oscillation.
- (2)
- Flame area A is obtained by calculating the amount of all luminous pixels, whose gray value is larger than a threshold. After comparing various results based on different thresholds, we choose 100 as the threshold in the present calculation, which is enough to determine the flame area accurately.
- (3)
- Flame length L is defined as the distance between the injector exit and the flame tip. It is obtained by calculating the number of pixels from the nozzle exit to the flame tip (the visual tip of the flame).
- (4)
- Flame equivalent width W is defined as the flame average diameter and it is calculated as the ratio between flame area A and flame length L [33], namely W = A/L.
- (5)
- Flame center C is employed to intensively describe flame position by considering the flame as a point [31,34,35] (displayed as a red point in Figure 5), it is determined by employing the gravity center concept which is calculated by treating each pixel as a local position and considering each individual pixel’s intensity as its mass. In this way, the flame center can be obtained. Distance from the nozzle exit to the flame center is known as flame center length Lc, and it is used to indicate flame position.
- (6)
- The image correlation coefficient, R, is employed to determine the degree of correlation between two images and its value ranges from 0 to 1. The increment of R indicates that both images are increasingly correlated, R = 0 indicates both images have no correlation, while R = 1 indicates both images are identical. This technique is widely used in fields such as image compression, image matching, and image retrieval. By choosing one of the continuous frames obtained from the video as a base image and then calculating the R between the base image and each image in the sequence, a sequence of R is obtained and is regarded as the puffing signal. A grayscale digital image can be described by a matrix M (m, n), where m stands for the number of vertical pixels and n stands for the number of horizontal pixels. A total of m × n pixel units constitute the M, and the value of each pixel unit is the gray value. The calculation of R between image A (m, n) and image B (m, n) is done by using Equation (2)where A and B are the average values of A and B respectively.
3. Results and Discussion
3.1. Puffing Dynamics
3.2. Puffing Signal and Spectrum
3.3. Puffing Frequency
3.4. Puffing Mean Value
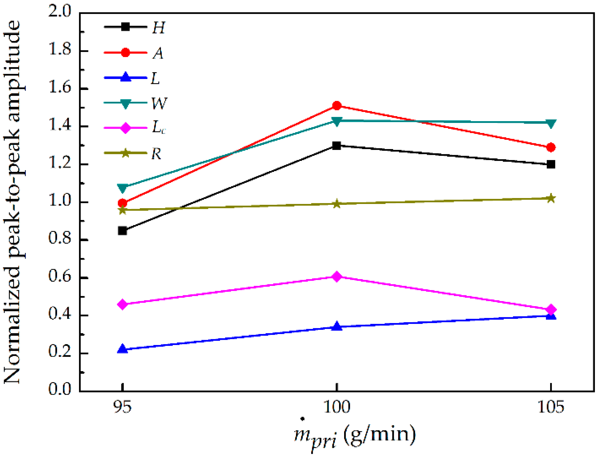
3.5. Puffing Amplitude
4. Conclusions
- (1)
- Flame puffing was caused by the movements of large vortices around the flame surface due to the buoyancy. During the puffing process, some instability phenomena were also observed which gave a deeper insight into the understanding about the puffing. The observed phenomena include the local auto-ignition around the flame base, the variation in the height of flame liftoff, local extinction around the flame tip, and the production of isolated small flame regions.
- (2)
- Almost each spectrum had two fundamental frequencies: dominant frequency and sub-dominant frequency, other frequencies in the same spectrum are found to be their harmonic frequencies. This is different with the amplitude-frequency characteristic of non-swirl flame, which always has a single-peak spectrum. The appearance of multiple frequencies may be due to the occurrence of the spiral flow field in swirl flame, which leads to the complex flame oscillation behavior.
- (3)
- The flame heat-release rate, flame area, and flame equivalent width had identical dominant frequency and sub-dominant frequency, both of which decreased with the increase in ṁpri. This was attributed to the decreased overall flame temperature caused by the improved mixing of fuel and primary air. Although other properties exhibit different frequency behaviors, all frequencies are in the range of 3–14 Hz.
- (4)
- The predicted frequencies from the theoretical models based on non-swirl flame are larger than the present measurement of swirl flame. Which indicates that the puffing frequency of swirl flame not only depends on the diameter of injector but also relies on the mass flow rate of primary air. Alternatively, it was much more sensitive to the variation in ṁpri than the frequency of non-swirl flame.
- (5)
- The time-mean values of all flame properties, except the correlation coefficient, have an overall decreasing trend with the increment of ṁpri. The decreasing flame area, flame length, and flame equivalent width were attributed to the declined air entrainment requirement for dilution of the fuel to the stoichiometric ratio as ṁpri increased. Which resulted in the reduction of the heat-release rate, since it is proportional to the flame area.
- (6)
- The normalized peak-to-peak amplitude behavior of flame properties is diverse. In all properties, the amplitude of flame length is the smallest with the most weakened oscillating intensity. While the amplitude of the flame area and flame equivalent width are the largest two, with the strongest oscillating level. Consequently, it can be inferred that the flame oscillation in width direction is more intensified than the oscillation in length direction, so the flame puffing is mainly attributed to the oscillation in width direction.
Author Contributions
Funding
Conflicts of Interest
References
- Malalasekera, W.M.G.; Versteeg, H.K.; Gilchrist, K. A review of research and an experimental study on the pulsation of buoyant diffusion flames and pool fires. Fire Mater. 1996, 20, 261–271. [Google Scholar] [CrossRef]
- Pan, K.L.; Li, C.C.; Juan, W.C.; Yang, J.T. Low-frequency oscillation of a non-premixed flame on a bluff-body burner. Combust. Sci. Technol. 2009, 181, 1217–1230. [Google Scholar] [CrossRef]
- Sahu, K.B.; Kundu, A.; Ganguly, R.; Datta, A. Effects of fuel type and equivalence ratios on the flickering of triple flames. Combust. Flame 2009, 156, 484–493. [Google Scholar] [CrossRef]
- Bahadori, M.Y.; Zhou, L.; Stocker, D.P.; Hegde, U. Functional dependence of flame flicker on gravitational level. Aiaa J. 2001, 39, 1404–1406. [Google Scholar] [CrossRef]
- Durox, D.; Yuan, T.; Villermaux, E. The effect of buoyancy on flickering in diffusion flames. Combust. Sci. Technol. 1997, 124, 277–294. [Google Scholar] [CrossRef]
- Arai, M.; Sato, H.; Amagai, K. Gravity effects on stability and flickering motion of diffusion flames. Combust. Flame 1999, 118, 293–300. [Google Scholar] [CrossRef]
- Hamins, A.; Yang, J.C.; Kashiwagi, T. An experimental investigation of the pulsation frequency of flames. Symp. Combust. 1992, 24, 1695–1702. [Google Scholar] [CrossRef]
- Cetegen, B.M.; Kasper, K.D. Experiments on the oscillatory behavior of buoyant plumes of helium and helium-air mixtures. Phys. Fluids 1996, 8, 2974–2984. [Google Scholar] [CrossRef]
- Bejan, A. Predicting the pool fire vortex shedding frequency. J. Heat Transf. 1991, 113, 261. [Google Scholar] [CrossRef]
- Pagni, P.J. Pool vortex shedding frequencies. Appl. Mech. Rev. 1990, 43, 160. [Google Scholar]
- Yilmaz, N.; Lucero, R.E.; Donaldson, A.B.; Gill, W. Flow characterization of diffusion flame oscillations using particle image velocimetry. Exp. Fluids 2009, 46, 737–746. [Google Scholar] [CrossRef]
- Li, M.; Tong, Y.; Klingmann, J.; Thern, M. Impact of vitiation on a swirl-stabilized and premixed methane flame. Energies 2017, 10. [Google Scholar] [CrossRef]
- Fang, J.; Tu, R.; Guan, J.F.; Wang, J.J.; Zhang, Y.M. Influence of low air pressure on combustion characteristics and flame pulsation frequency of pool fires. Fuel 2011, 90, 2760–2766. [Google Scholar] [CrossRef]
- Yilmaz, N.; Burl Donaldson, A.; Edward Lucero, R. Experimental study of diffusion flame oscillations and empirical correlations. Energy Convers. Manag. 2008, 49, 3287–3291. [Google Scholar] [CrossRef]
- Pretrel, H.; Audouin, L. Periodic puffing instabilities of buoyant large-scale pool fires in a confined compartment. J. Fire Sci. 2013, 31, 197–210. [Google Scholar] [CrossRef]
- Cetegen, B.M.; Dong, Y. Experiments on the instability modes of buoyant diffusion flames and effects of ambient atmosphere on the instabilities. Exp. Fluids 2000, 28, 546–558. [Google Scholar] [CrossRef]
- Chen, Z.; Hu, L.; Huo, R.; Zhu, S. Flame oscillation frequency based on image correlation. J. Combust. Sci. Technol. 2008, 14, 367–371. [Google Scholar]
- Tang, F.; Hu, L.; Wang, Q.; Ding, Z. Flame pulsation frequency of conduction-controlled rectangular hydrocarbon pool fires of different aspect ratios in a sub-atmospheric pressure. Int. J. Heat Mass Transf. 2014, 76, 447–451. [Google Scholar] [CrossRef]
- Bennett, B.A.V.; McEnally, C.S.; Pfefferle, L.D.; Smooke, M.D.; Colket, M.B. Computational and experimental study of axisymmetric coflow partially premixed ethylene/air flames. Combust. Flame 2001, 127, 2004–2022. [Google Scholar] [CrossRef]
- Gore, J.P.; Zhan, N.J. NOx emission and major species concentrations in partially premixed laminar methane/air co-flow jet flames. Combust. Flame 1996, 105, 414–427. [Google Scholar] [CrossRef]
- Nguyen, Q.V.; Dibble, R.W.; Carter, C.D.; Fiechtner, G.J.; Barlow, R.S. Raman-LIF measurements of temperature, major species, OH, and NO in a methane-air Bunsen flame. Combust. Flame 1996, 105, 499–510. [Google Scholar] [CrossRef]
- Shu, Z.; Choi, C.W.; Aggakwal, S.K.; Katta, V.R.; Puri, I.K. Gravity effects on steady two-dimensional partially premixed methane- air flames. Combust. Flame 1999, 118, 91–107. [Google Scholar] [CrossRef]
- Cao, S.; Ma, B.; Bennett, B.A.V.; Giassi, D.; Stocker, D.P.; Takahashi, F.; Long, M.B.; Smooke, M.D. A computational and experimental study of coflow laminar methane/air diffusion flames: Effects of fuel dilution, inlet velocity, and gravity. Proc. Combust. Inst. 2015, 35, 897–903. [Google Scholar] [CrossRef]
- Liu, F.; Smallwood, G.J. Control of the structure and sooting characteristics of a coflow laminar methane/air diffusion flame using a central air jet: An experimental and numerical study. Proc. Combust. Inst. 2011, 33, 1063–1070. [Google Scholar] [CrossRef]
- Elbaz, A.M.; Zayed, M.F.; Samy, M.; Roberts, W.L.; Mansour, M.S. The flow field structure of highly stabilized partially premixed flames in a concentric flow conical nozzle burner with coflow. Exp. Therm. Fluid Sci. 2016, 73, 2–9. [Google Scholar] [CrossRef]
- Cao, S.; Ma, B.; Giassi, D.; Bennett, B.A.V.; Long, M.B.; Smooke, M.D. Effects of pressure and fuel dilution on coflow laminar methane–air diffusion flames: A computational and experimental study. Combust. Theory Model. 2018, 22, 316–337. [Google Scholar] [CrossRef]
- De Falco, G.; Moggia, G.; Sirignano, M.; Commodo, M.; Minutolo, P.; D’Anna, A. Exploring soot particle concentration and emissivity by transient thermocouples measurements in laminar partially premixed coflow flames. Energies 2017, 10. [Google Scholar] [CrossRef]
- Xi, Z.; Fu, Z.; Hu, X.; Sabir, S.W.; Jiang, Y. An experimental investigation on flame pulsation for a swirl non-premixed combustion. Energies 2018, 11, 1757. [Google Scholar] [CrossRef]
- Samaniego, J.-M.; Egolfopoulos, F.N.; Bowman, C.T. CO2* chemiluminescence in premixed flames. Combust. Sci. Technol. 1995, 109, 183–203. [Google Scholar] [CrossRef]
- Tachibana, S.; Kanai, K.; Yoshida, S.; Suzuki, K.; Sato, T. Combined effect of spatial and temporal variations of equivalence ratio on combustion instability in a low-swirl combustor. Proc. Combust. Inst. 2015, 35, 3299–3308. [Google Scholar] [CrossRef]
- Yoon, J.; Kim, M.K.; Hwang, J.; Lee, J.; Yoon, Y. Effect of fuel-air mixture velocity on combustion instability of a model gas turbine combustor. Appl. Therm. Eng. 2013, 54, 92–101. [Google Scholar] [CrossRef]
- Meier, W.; Weigand, P.; Duan, X.R.; Giezendanner-Thoben, R. Detailed characterization of the dynamics of thermoacoustic pulsations in a lean premixed swirl flame. Combust. Flame 2007, 150, 2–26. [Google Scholar] [CrossRef]
- Palacios, A.; Casal, J. Assessment of the shape of vertical jet fires. Fuel 2011, 90, 824–833. [Google Scholar] [CrossRef]
- Joo, S.; Yoon, J.; Kim, J.; Lee, M.; Yoon, Y. NOx emissions characteristics of the partially premixed combustion of H2/CO/CH4 syngas using artificial neural networks. Appl. Therm. Eng. 2015, 80, 436–444. [Google Scholar] [CrossRef]
- Figura, L.; Lee, J.G.; Quay, B.D.; Santavicca, D.A. The effects of fuel composition on flame structure and combustion dynamics in a lean premixed combustor. Turbo Expo 2007, 2, 181–187. [Google Scholar]
- Law, C.K. Chemical thermodynamics. In Combustion Physics; Cambridge University Press: New York, NY, USA, 2006. [Google Scholar]











© 2018 by the authors. Licensee MDPI, Basel, Switzerland. This article is an open access article distributed under the terms and conditions of the Creative Commons Attribution (CC BY) license (http://creativecommons.org/licenses/by/4.0/).
Share and Cite
Xi, Z.; Fu, Z.; Sabir, S.W.; Hu, X.; Jiang, Y. An Experimental Study on Flame Puffing of a Swirl Partially Premixed Combustion under Varying Mass Flow Rate of Primary Air. Energies 2018, 11, 1916. https://doi.org/10.3390/en11071916
Xi Z, Fu Z, Sabir SW, Hu X, Jiang Y. An Experimental Study on Flame Puffing of a Swirl Partially Premixed Combustion under Varying Mass Flow Rate of Primary Air. Energies. 2018; 11(7):1916. https://doi.org/10.3390/en11071916
Chicago/Turabian StyleXi, Zhongya, Zhongguang Fu, Syed Waqas Sabir, Xiaotian Hu, and Yibo Jiang. 2018. "An Experimental Study on Flame Puffing of a Swirl Partially Premixed Combustion under Varying Mass Flow Rate of Primary Air" Energies 11, no. 7: 1916. https://doi.org/10.3390/en11071916
APA StyleXi, Z., Fu, Z., Sabir, S. W., Hu, X., & Jiang, Y. (2018). An Experimental Study on Flame Puffing of a Swirl Partially Premixed Combustion under Varying Mass Flow Rate of Primary Air. Energies, 11(7), 1916. https://doi.org/10.3390/en11071916

