Next Article in Journal
Feasibility Analysis and Performance Evaluation of a Novel Power-Split Flywheel Hybrid Vehicle
Next Article in Special Issue
Risk Analysis of Lightning and Surge Protection Devices for Power Energy Structures
Previous Article in Journal
Analysis of Ferroresonance Phenomenon in 22 kV Distribution System with a Photovoltaic Source by PSCAD/EMTDC
Previous Article in Special Issue
Design and Implementation of the Permanent- Magnet Synchronous Generator Drive in Wind Generation Systems
 
 
Font Type:
Arial Georgia Verdana
Font Size:
Aa Aa Aa
Line Spacing:
Column Width:
Background:
Article

A Dual-Voltage-Vector Model-Free Predictive Current Controller for Synchronous Reluctance Motor Drive Systems

1
Department of Electrical Engineering, National Taiwan Ocean University, Keelung 202, Taiwan
2
Department of Electrical Engineering, Chung Yuan Christian University, Taoyuan 320, Taiwan
3
Department of Systems Engineering and Naval Architecture, National Taiwan Ocean University, Keelung 202, Taiwan
4
Department of Electrical Engineering, National Taipei University of Technology, Taipei 106, Taiwan
*
Author to whom correspondence should be addressed.
Energies 2018, 11(7), 1743; https://doi.org/10.3390/en11071743
Submission received: 28 May 2018 / Revised: 27 June 2018 / Accepted: 29 June 2018 / Published: 3 July 2018
(This article belongs to the Special Issue Selected Papers from the IEEE ICASI 2018)

Abstract

:
For current control in power conversion and motor drive systems, there exist three classic methods in the literature and they are the hysteresis current control (HCC), the sine pulse-width modulation (SPWM), and the space vector pulse width modulation (SVPWM). HCC is easy to implement, but has relatively large current harmonic distortion as the disadvantage. On the other hand, the SPWM and SVPWM use modulation technique, commonly together with at least one proportional-integral (PI) regulator to reduce load current ripples, and hence demanding more computation time. This paper aims to improve the performance of a recently proposed new current control method—the single-voltage-vector model predictive current control (SVV-MPCC), for synchronous reluctance motor (SynRMs) drives. To that end, a dual-voltage-vector model-free predictive current control (DVV-MFPCC) for SynRMs is proposed. Unlike the SVV-MPCC that applies only a single voltage vector per sampling period, the proposed DVV-MFPCC is capable of providing two successive segmentary current predictions in the next sampling period through all possible combinations from any two candidate switching states increasing the number of applicable switching modes from seven to nineteen and reducing the prediction error effectively. Moreover, the new control does not utilize any parameters of the SynRM nor its mathematical model. The performance is effectively enhanced compared to that of SVV-MPCC. The working principle of the DVV-MFPCC will be detailed in this paper. Finally, the SVV-MPCC, the single-voltage-vector model-free predictive current control (SVV-MFPCC), the dual-voltage-vector model predictive current control (DVV-MPCC), and the DVV-MFPCC are realized to control the stator currents of SynRM through a 32-bit microcontroller TMS320F28377S. Experimental results are provided to validate the new method and verify that the DVV-MFPCC performs better than do the SVV-MPCC, the SVV-MFPCC, and the DVV-MPCC.

1. Introduction

With an appropriate device [1], fuel energy can be converted into mechanical/kinetic energy. In comparison to that process, electric motors are used to convert electrical energy into mechanical/kinetic energy. Among various motor types, the synchronous reluctance motors (SynRMs) have been widely used in washing machines, air conditioners, and electric vehicles thanks to their robustness, simple structure, and without use of magnetic materials. In order to achieve high performance so as to save energy/power under different operation conditions, many current control methods have been developed in the past, such as hysteresis current control [2], pulse width modulation (PWM) [3], space vector PWM (SVPWM) [4], and model predictive current control (MPCC) [5,6]. The first two methods, as limited by their nature, cannot predict future current in next sampling period. To date, a lot of research results in predictive current controllers have been reported and applied to motor drive systems and other applications. In addition to the MPCC, other model predictive control techniques and related applications are thriving as well. For example, a predictive control was applied to renewable energy systems [7]. Nauyen and Kim [8] proposed a modulated finite control set-model predictive control scheme for a grid-connected inverter under distorted grid conditions. Yang et al. [9] proposed a predictive power control strategy for doubly fed induction generators (DFIGs) based on a wind energy converter system. Jin et al. [10] presented a model predictive direct power control for nonredundant fault tolerant grid-connected bidirectional voltage source converter (BVSC). The proposed method was investigated for continuous operation in that paper, even if the BVSC has leg open-circuits faults. Guzmán et al. proposed a finite control set model predictive control for a three-phase shunt active power filter with a Kalman filter-based estimation [11]. Using their method, the grid currents can be successfully controlled. In [12], a model-based predictive current control (MBPCC) method with constant switching frequency was used to control the load current of a single-phase voltage source inverter. This method can generate switching patterns with a constant switching frequency while maintaining the fast dynamics of traditional predictive current control. An improved continuous-time model predictive control for permanent magnetic synchronous motors was proposed in [13] to achieve a wide-speed range operation. A near state vector selection-based model predictive control (NSV-MPC) scheme was presented by Dadu et al. [14] to mitigate the common mode voltage of a three-phase four-leg inverter and reduce the computational burden. In [15], the model predictive control was applied to induction machines. In [16], an improved finite-control-set model predictive control with reduced computational complexity and fast dynamic response was presented for cascaded H-bridge inverters. In [17], a finite set-model predictive control successfully controlled the load current of a three voltage source inverter via a development field-programmable gate array (FPGA) kit. Espi and Castllo [18] studied a new integral predictive current control in LCL-filtered grid-connected converters to mitigate grid current distortion.
Among these existing methods, the model predictive current control (MPCC) [6] is a very important one whose control principle is based on discrete mathematical model of the system under control. This approach, however, suffers from two major shortcomings: the back EMF estimation errors and the system parameter uncertainties and variations, which lead to its unsatisfactory current prediction performance. In addition, the MPCC is suitable for decoupled systems, but not so for coupled ones resulting in a technical bottleneck for the back EMF estimation.
The single-voltage-vector model-free predictive current control (SVV-MFPCC) [19,20,21,22,23] has recently received some attention, as it does not rely on system’s mathematical models and parameters, nor on the back EMFs. As such, the SVV-MFPCC exhibits better current-tracking performance thanks to its lesser sensitivity to parameter variations. Existing SVV-MFPCC only applies one out of seven candidate voltage vectors in each sampling period, including six active-voltage vectors and one zero-voltage vector. To enhance the performance of current prediction, this paper proposes a dual-voltage-vector MFPCC (DVV-MFPCC) that applies two switching states rather than one in each sampling period. Through linear combination, the number of candidate voltage vectors is increased from the original seven to nineteen, meaning that a lot of extra states can be utilized. The stator current will be detected twice in each sampling period, with each detection interval halves the sampling period. Although the method in [23] worked well under a three-phase resistive-inductive (RL) load, its success on the SynRM drive system cannot be guaranteed without further confirmation from experimental results. Comparatively (in the hardware sense), an older digital signal processor (DSP) TMS320F28335 was used in [23], yet a newer microcontroller is used in current study for performing experiments to support and validate the proposed DVV-MFPCC. The differences between these two methods for current prediction are summarized in Table 4. As for the experimental results, there were only 4 waveforms in [23] lacking quantitative data. In contrast to that, this paper provides 60 waveforms as well as quantitative data.
It can be observed from [24,25] that one of the future research trends is to split one sampling period into multiple equal intervals to generate more selectable switching modes enabling discrete space vector modulation (DSVM) to predict three switching states in the next sampling period, which is a great advantage. It is worth noting that [24,25] are model-based approaches. Yet to this day there is, to the authors’ best knowledge, no literature reports result that combines MFPCC [22] with DSVM [24,25] for SynRM drive systems. Toward that end, more new technology and hardware breakthroughs obviously will have to be further advanced and realized. Motivated by its future potential and to push forward innovative control methods and technologies, a preparatory study is therefore very much needed leading to this work.
Finally, the proposed DVV-MFPCC is implemented via the microcontroller TMS320F28377S and applied to a synchronous reluctance motor (SynRM) drive system for validation and feasibility verification.
The rest of this paper is organized as follows: single-voltage-vector model and model-free predictive current controls are introduced in Section 2 and Section 3, respectively. The dual-voltage-vector model and model-free methods are detailed in Section 4 and Section 5, respectively. Section 6 gives experimental data and results to verify the feasibility of the proposed method and validate the salience in terms of its performance. Finally, Section 7 provides the conclusion.

2. Single-Voltage-Vector Model Predictive Current Control (SVV-MPCC)

Figure 1 shows a six-switch three-phase inverter connected to a SynRM, where Vdc is the DC link voltage; Laa, Lbb, and Lcc are three-phase self-inductances; ea, eb, and ec are three-phase back EMFs; and Sa1, Sa0, Sb1, Sb0, Sc1, Sc0 are the six power switches of the inverter. This SynRM drive system has seven switching states, denoted as S0, S1, …, S6, and their corresponding seven voltage vectors V0, V1, …, V6. Figure 2 illustrates the seven voltage vectors.
The equivalent stator voltage equations of the SynRM on the α-β axes can be written as:
v α = r s i α + L q d i α d t + E α
v β = r s i β + L q d i β d t + E β
where iα and iβ are stator currents; vα and vβ are stator voltages; Eα and Eβ represent extended back EMFs [22]; Lq is the q-axis inductance; rs denotes the stator resistance, and d/dt is the differential operator.
Expressed in discrete-time forms, Equations (1) and (2) can be rewritten as:
v α , β ( k ) = r s i α , β ( k ) + L q i α , β ( k ) i α , β ( k 1 ) T s + E α , β ( k )
where Ts is the sampling period, and k stands for the (k)th sampling. Following Equation (3) with some manipulations, one can get the kth and (k + 1)th stator currents as follows:
i α , β ( k ) = L s i α , β ( k 1 ) + T s v α , β ( k ) T s E α , β ( k ) r s T s + L q
i α , β ( k + 1 ) = L s i α , β ( k ) + T s v α , β ( k + 1 ) T s E α , β ( k + 1 ) r s T s + L q
The kth back EMF can be estimated by
E ^ α , β ( k ) = v α , β ( k ) + L q T s i α , β ( k 1 ) r s T s + L q T s i α , β ( k )
where the hat “^” refers to the estimated counterpart. Assume the sampling period is short enough, the (k + 2)th back EMF can be approximated by the kth estimated value, i.e.,
E α , β ( k + 2 ) E ^ α , β ( k )
According to Equations (4)–(7), the prediction of the (k + 2)th sampled current under the switching state Si can be calculated by
i α , β p ( k + 2 ) | S i = L s i α , β ( k + 1 ) + T s v α , β ( k + 2 ) | S i T s E ^ α , β ( k ) r s T s + L q
where the superscript “p” denotes prediction, and Si belongs to {S0, …, S6}. Next, a cost function is defined as
g | S i = | i α * ( k ) i α p ( k + 2 ) | S i | + | i β * ( k ) i β p ( k + 2 ) | S i |
where the superscript “*” represents the reference value. The switching criterion is set as selection of the state Sg that yields the minimum cost value, that is
g | S g { S 0 , , S 6 } = min { g | S 0 , , g | S 6 }
The switching status Sg will be outputted to the inverter in the next sampling period completing the MPCC design. More details can be found in [22].

3. Single-Voltage-Vector Model-Free Predictive Current Control (SVV-MFPCC)

During the application of the (k − 1)th, (k)th, and (k + 1)th switching states, designated as Sk−1, Sk, and Sk+1, the corresponding current differences can be calculated by the following equations:
Δ i α , β | S k 1 = i α , β ( k ) | S k 1 i α , β ( k 1 ) | S k 2
Δ i α , β | S k = i α , β ( k + 1 ) | S k i α , β ( k ) | S k 1
Δ i α , β | S k + 1 = i α , β ( k + 2 ) | S k + 1 i α , β ( k + 1 ) | S k
Based on Equations (12) and (13), the (k + 2)th sampled current under the switching state Sj can be expressed as
i α , β ( k + 2 ) | S j = i α , β ( k ) | S k 1 + Δ i α , β | S k + Δ i α , β | S j = S k + 1
Assume that the sampling frequency is high enough, the stator current difference can be replaced by its previous value under the same switching state, i.e.,
Δ i α , β | S k Δ i α , β , p r e | S i = S k , i { 0 , , 6 }
Δ i α , β | S k + 1 Δ i α , β , p r e | S j = S k + 1 , j { 0 , , 6 }
where the subscript “pre” denotes previous value. Using Equations (15) and (16), one can calculate the predicted current of Equation (14) via
i α , β p ( k + 2 ) | S j = i α , β ( k ) | S k + Δ i α , β , p r e | S k + Δ i α , β , p r e | S j = S k + 1
Based on Equation (17), one can get seven cost values under the seven switching states. The switching state yielding minimum cost value will then be applied to the inverter in the next sampling period. More details can be found in [22].

4. Dual-Voltage-Vector Model Predictive Current Control (DVV-MPCC)

After synthesis of the dual voltage vectors, 19 switching modes, denoted as Q0, …, Q18, will become applicable to the inverter whose corresponding synthesized voltage vectors are listed in Table 1 and shown in Figure 3. Since the number of switching mode is increased to 19, the Equations (8)–(10) should be modified as follows:
i α , β p ( k + 2 ) | Q i { Q 0 , , Q 18 } = L s i α , β ( k + 1 ) + T s v α , β ( k + 2 ) | Q i T s E ^ α , β ( k ) r s T s + L q
g | Q i = | i α * ( k ) i α p ( k + 2 ) | Q i | + | i β * ( k ) i β p ( k + 2 ) | Q i |
g | Q g { Q 0 , , Q 18 } = min { g | Q 0 , , g | Q 18 }
Following the prediction principle of the MPCC stated above, the switching mode Qg will be applied to control the inverter in the next sampling period completing the DVV-MPCC design.

5. Dual-Voltage-Vector Model-Free Predictive Current Control (DVV-MFPCC)

Seemingly the proposed DVV-MFPCC with a sampling period of 100 microseconds is equivalent to the SVV-MFPCC with a sampling period of 50 microseconds. Technically, however, there exists significant differences between the two concepts. Unlike SVV-MFPCC, the proposed DVV-MFPCC is capable of providing two successive segmentary current predictions in the next sampling period through all possible combinations from any two candidate switching states, as depicted by Figure 4a.
The SVV-MFPCC [22] applies one voltage vector during a sampling period, whereas the proposed DVV-MFPCC produces 18 active vectors and a zero vector as listed in Table 1. The conceptual comparison of current prediction is shown in Figure 4a in which the synthesized voltage vectors V0, V1, V2, V3, V4, V5, V6, and V11 are candidate vectors. At the time instant tk+1, it can be observed that the error between the current command i α * (blue dashed line) and the stator current produced by V18 is smaller than that of V6. Similarly, at time instant tk+1, the current ripple produced by the synthesized voltage vector V11 is minimum. As an illustration, Figure 4a clearly shows that the proposed DVV-MFPCC has a smaller current error than does the existing SVV-MFPCC [22] due to the extra available synthesized voltage vectors.
Figure 4b shows current predictions of the DVV-MFPCC, where Qk−1, Qk, Qk+1, and Qk+2 { Q 0 , , Q 18 } ; Q k 1 B , Q k A , Q k B , Q k + 1 A , Q k + 1 B , and Q k + 2 A { ( 000 ) , , ( 111 ) } ; i α , β ( k , 1 ) | Q k 1 B means that the first current detection will be conducted before the end of the applied switching state Q k 1 B in the kth sampling interval; i α , β ( k , 2 ) | Q k A means that the second current detection will be performed before the end of the applied switching state Q k A . The time interval for each of which is half of the sampling period. During the applications of switching states Q k A , Q k B , Q k + 1 A , and Q k + 1 B , their corresponding current differences are defined as follows:
Δ i α , β | Q k A = i α , β ( k , 2 ) | Q k A i α , β ( k , 1 ) | Q k 1 B
Δ i α , β | Q k B = i α , β ( k + 1 , 1 ) | Q k B i α , β ( k , 2 ) | Q k A
Δ i α , β | Q k + 1 A = i α , β ( k + 1 , 2 ) | Q k + 1 A i α , β ( k + 1 , 1 ) | Q k B
Δ i α , β | Q k + 1 B = i α , β ( k + 2 , 1 ) | Q k + 1 B i α , β ( k + 1 , 2 ) | Q k + 1 A
Given Equation (17), one can obtain the following Equations from Equations (21)–(24)
i α , β ( k + 1 , 1 ) | Q k B = i α , β ( k , 1 ) | Q k 1 B + Δ i α , β | Q k A + Δ i α , β | Q k B
i α , β ( k + 2 , 1 ) | Q k + 1 B = i α , β ( k + 1 , 1 ) | Q k B + Δ i α , β | Q k + 1 A + Δ i α , β | Q k + 1 B
Substitution of Equation (25) into (26) leads to
i α , β ( k + 2 , 1 ) | Q k + 1 B = i α , β ( k , 1 ) | Q k 1 B + Δ i α , β | Q k A + Δ i α , β | Q k B + Δ i α , β | Q k + 1 A + Δ i α , β | Q k + 1 B
Similar to Equations (15) and (16), the current differences Δ i α , β | Q k A , Δ i α , β | Q k B , Δ i α , β | Q k + 1 A , and Δ i α , β | Q k + 1 B can be estimated by their previous values. As a result, the prediction of Equation (27) can be expressed as
i α , β P ( k + 2 ) | Q k + 1 { Q 0 , , Q 18 } = i α , β ( k , 1 ) | Q k 1 B + Δ i α , β , p r e | Q k A + Δ i α , β , p r e | Q k B + Δ i α , β , p r e | Q k + 1 A + Δ i α , β , p r e | Q k + 1 B
where the superscript “P” stands for prediction. A cost function associated with the switching mode Qi is defined as
G | Q i = | i α * ( k ) i α P ( k + 2 ) | Q i | + | i β * ( k ) i β P ( k + 2 ) | Q i |
where Q i { Q 0 , , Q 18 } . Based on Equation (29), nineteen cost function values can be obtained. Then, a switching mode Qg rendering the minimum cost will be selected according to
G | Q g { Q 0 , , Q 18 } = min { G | Q 0 , G | Q 1 , , G | Q 18 }
Finally, the selected switching mode Qg comprising of two switching states, listed in Table 1, will be passed to control the six power switches of the inverter (ON or OFF) in the next sampling period. As such, two switching states will be applied for Ts/2 sequentially. To further facilitate exposition of the DVV-MFPCC, its implementation procedure is outlined as follows:
  • Step 1: Sample the stator current for the first time, i.e., i α , β ( k , 1 ) | Q k 1 B .
  • Step 2: Calculate current difference and update its value, i.e., Δ i α , β , p r e | Q k 1 B = i α , β ( k , 1 ) | Q k 1 B i α , β ( k 1 , 2 ) | Q k 1 A .
  • Step 3: Apply the first switching state Q k A for Ts/2 based on the last selected switching mode Q g .
  • Step 4: Sample the stator current for the second time, i.e., i α , β ( k , 2 ) | Q k A .
  • Step 5: Calculate the current difference and update its value, i.e., Δ i α , β , p r e | Q k A = i α , β ( k , 2 ) | Q k A i α , β ( k , 1 ) | Q k 1 B .
  • Step 6: Apply the second switching state Q k B for Ts/2.
  • Step 7: Convert the first sampled stator current from the a-b-c axes to the α-β axes.
  • Step 8: Calculate the α-axis and β-axis current commands.
  • Step 9: Use Equation (28) to get the predicted current value.
  • Step 10: Use Equation (29) to obtain the 19 cost function values under the 19 switching modes from Q 0 to Q 18 .
  • Step 11: Use Equation (30) to find the minimum value and the associated switching mode Q g .
  • Step 12: Use Table 1 and the selected switching mode Q g to find the two switching functions.
  • Step 13: Reset the cost function.
Following the above 13 steps, the proposed DVV-MFPCC can be applied to the SynRM drive system whose system block diagram is shown in Figure 5.

6. Experimental Results

An experiment is conducted through a DSP TMS320F28377S where the sampling period is set as Ts = 100 μs. The SynRM drive system is shown in Figure 6 and Figure 7, with its specifications listed in Table 2. The overall system consists of 9 parts: (A) DSP TMS320F28377S, (B) intelligent power module inverter, (C) two current sensors, (D) current/voltage conversion circuit, (E) 16-bit analog/digital conversion circuit, (F) overcurrent protection circuit and encoder circuit, (G) power supply, (H) SynRM, (I) torque meter. Part B in Figure 6 is an inverter SCM1246MF (Sanken Electric Co., Ltd., Niiza-shi, Saitama-ken, Japan). The specifications of the inverter is listed in Table 3, where the rating values of main supply voltage and output current are 450 V and 30 A, respectively.
The parameters of SVV-MPCC and DVV-MPCC used in the experiments are given in Table 2. The main differences between the five predictive current controllers are listed in Table 4.
Figure 8, Figure 9, Figure 10, Figure 11, Figure 12, Figure 13, Figure 14, Figure 15, Figure 16, Figure 17, Figure 18, Figure 19, Figure 20, Figure 21, Figure 22, Figure 23, Figure 24, Figure 25, Figure 26 and Figure 27 show the experimental results of the SVV-MPCC [22], SVV-MFPCC [22], DVV-MPCC, and DVV-MFPCC to test their current-tracking performances in three cases, respectively. In Figure 8, Figure 9, Figure 10, Figure 11, Figure 12, Figure 13, Figure 14, Figure 15, Figure 16, Figure 17, Figure 18, Figure 19, Figure 20, Figure 21, Figure 22, Figure 23, Figure 24, Figure 25, Figure 26 and Figure 27, the α-axis and β-axis current errors are represented as e α and e β , respectively. Five test cases are conducted under different operation conditions for the SynRM.
Case 1:
To run at constant speed 300 rpm under 2 Nm load.
Case 2:
To follow a sinusoidal current command with amplitude 3 A and frequency 30 Hz.
Case 3:
To follow a sinusoidal current command with amplitude jumping from 2 A to 5 A at 0.1 s under frequency 10 Hz.
Case 4:
To run at constant speed 1300 rpm under 1 Nm load.
Case 5:
To follow a sinusoidal current command with current reversed at 0.15 s under frequency 10 Hz.
Cases 1, 2, and 4 are designed to illustrate the steady-state responses of the four PCC schemes as shown in Figure 8, Figure 9, Figure 10, Figure 11, Figure 12, Figure 13, Figure 14, Figure 15, Figure 20, Figure 21, Figure 22 and Figure 23, while cases 3 and 5 are to show their transient responses as can be seen from Figure 16, Figure 17, Figure 18, Figure 19, Figure 24, Figure 25, Figure 26 and Figure 27. Listed in Table 5 is the computation time. From Table 5, it can be seen that the four schemes can be executed within the sampling period, which is 100 microseconds. Among them, the DVV-MFPCC scheme requires the maximal computation time—39.6 microseconds. There are two reasons. The first of which is that the DVV-MFPCC needs two stator current measurements involving data conversion from analog into digital, which is comparatively time-consuming. In addition, as depicted by the 13 implementation steps outlined earlier, more cost value calculations as well as more updates for current differences are performed which definitely make them computationally more demanding.
In order to quantify the experimental results, three performance indexes are introduced and they are: average current error, average current ripple, and total harmonic distortion. The average current error, abbreviated as ACE, is defined as follows:
A C E = 1 2 1 N ( k = 1 N | i α * [ k ] i α [ k ] | + k = 1 N | i β * [ k ] i β [ k ] | )
where the superscript “*” represents the current command, and N stands for the number of samples. Next, the average current ripple, short as ACR, is defined by
A C R = 1 2 ( 1 N k = 1 N ( i α * [ k ] i α [ k ] ) 2 + 1 N k = 1 N ( i β * [ k ] i β [ k ] ) 2 )
As the last performance index, the average total harmonic distortion, denoted as ATHD, can be calculated by
A T H D = 1 2 ( n = 2 30 I n , α 2 I 1 , α , r m s + n = 2 30 I n , β 2 I 1 , β , r m s )
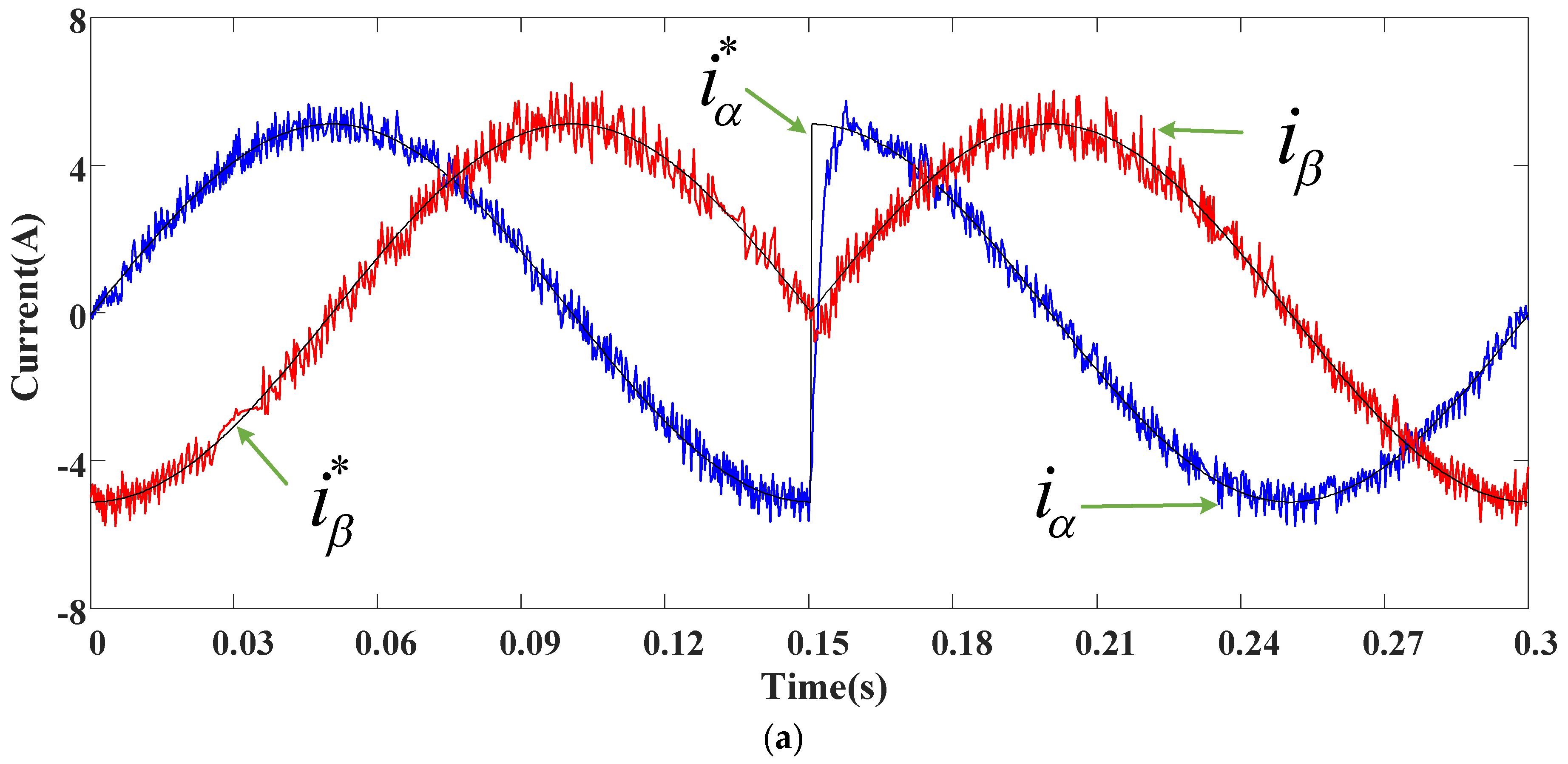
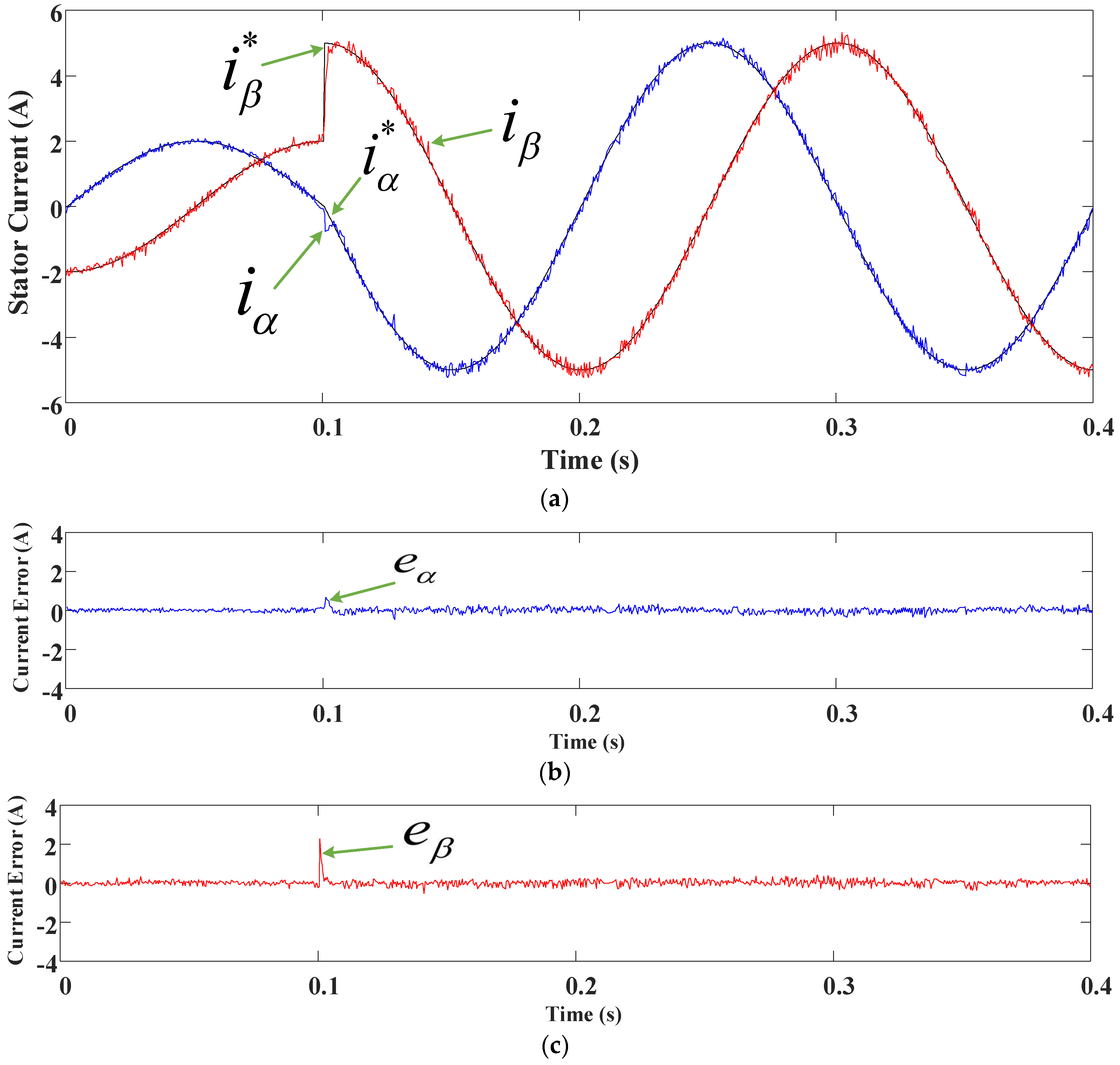
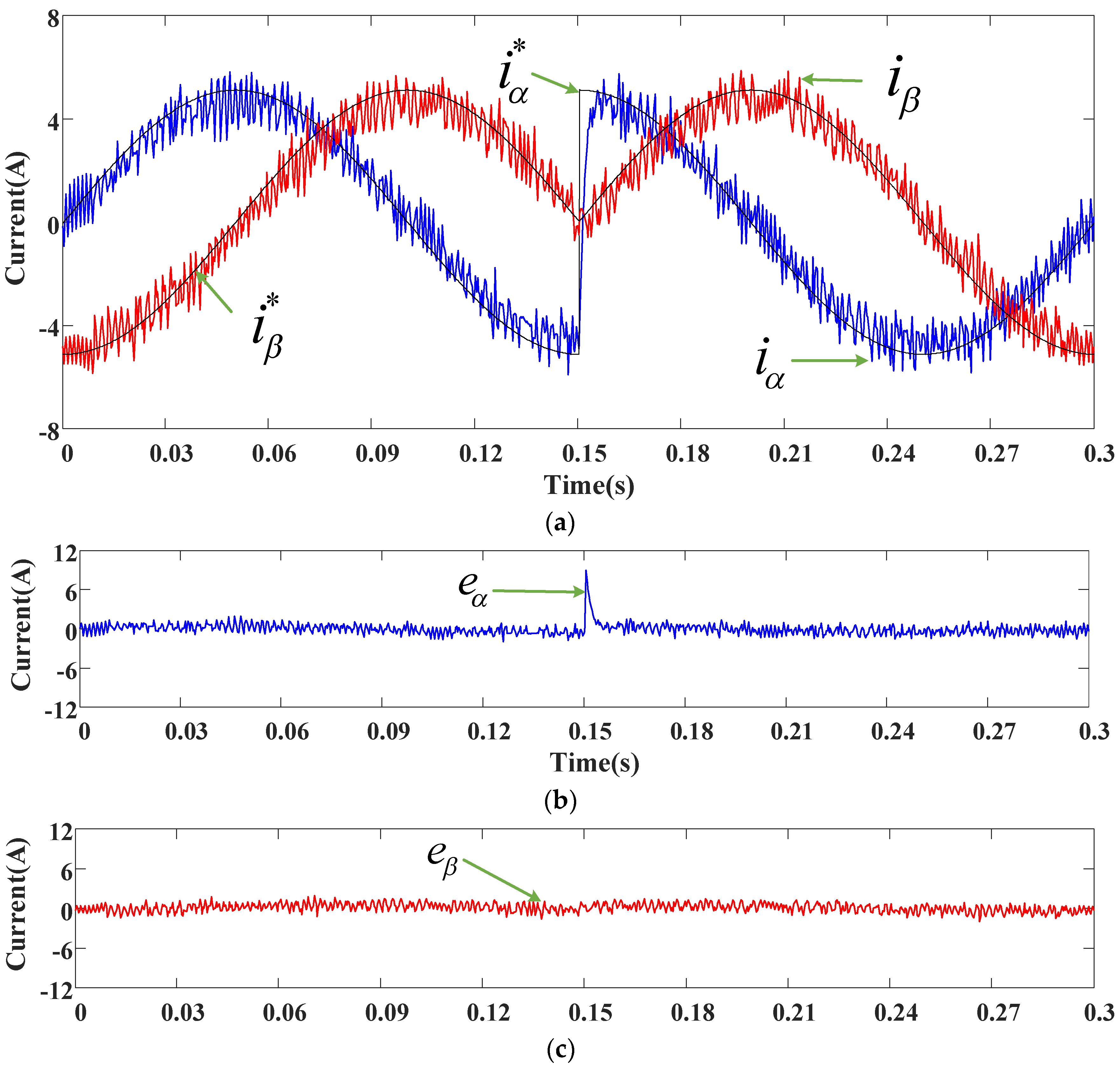
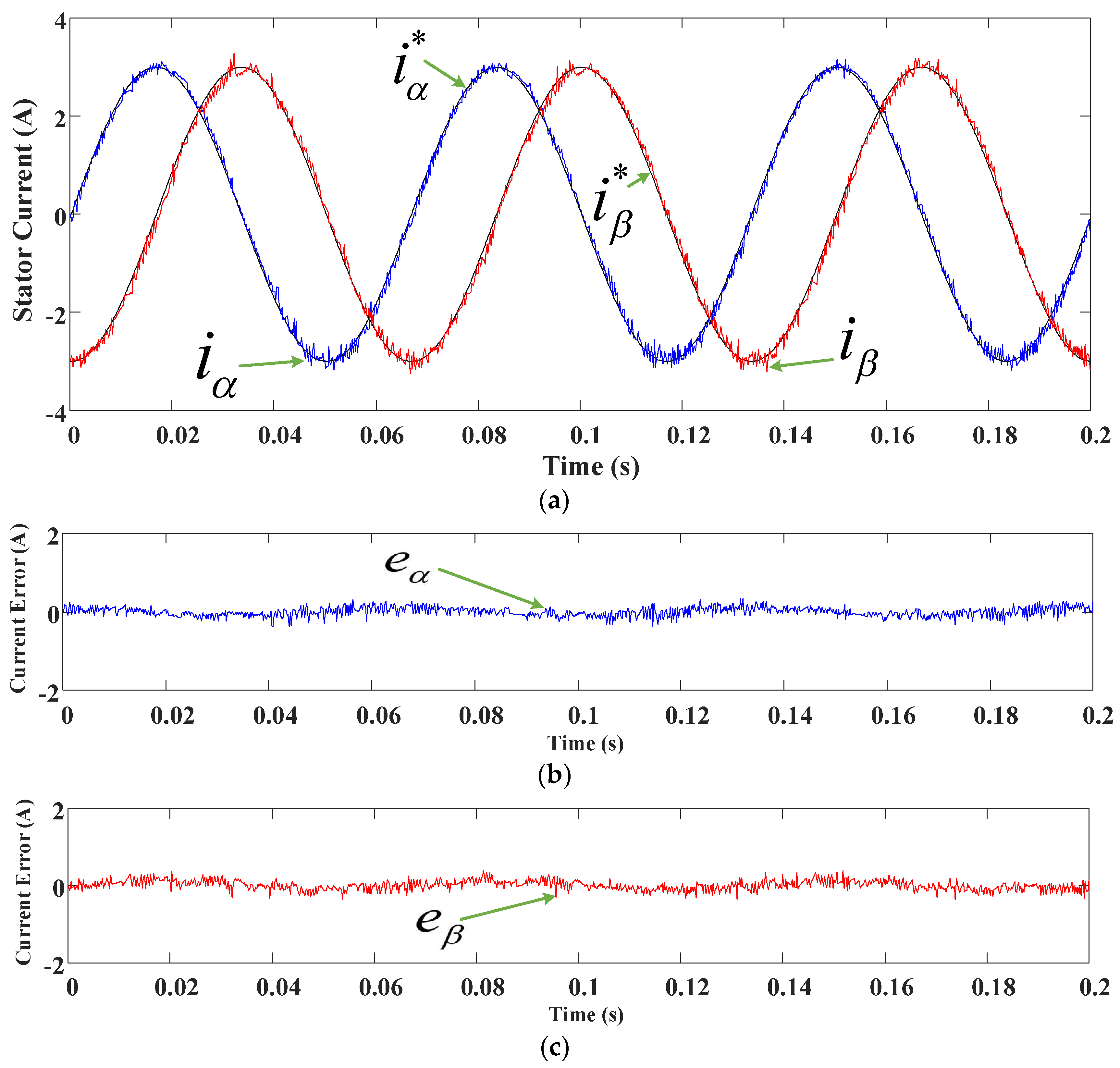
where the first subscript symbol “n” represents the nth harmonic component and the second subscript “α” or “β” means the current of α-axis or β-axis. Quantified results of Figure 8, Figure 9, Figure 10 and Figure 11, Figure 12, Figure 13, Figure 14 and Figure 15, Figure 16, Figure 17, Figure 18 and Figure 19, Figure 20, Figure 21, Figure 22 and Figure 23, and Figure 24, Figure 25, Figure 26 and Figure 27 are provided in Table 6, Table 7, Table 8, Table 9 and Table 10, respectively, following Equations (31)–(33). As one can observe from Figure 8, Figure 9, Figure 10 and Figure 11 and Table 6, the proposed DVV-MFPCC has the lowest ACE, ACR, and ATHD in case 1. For case 2, the proposed DVV-MFPCC has the lowest ACR and ATHD as can be seen from Table 7 and Figure 12, Figure 13, Figure 14 and Figure 15. The results of case 3, as shown in Figure 16, Figure 17, Figure 18 and Figure 19 and Table 8, for the transient responses depict that the DVV-MFPCC has the minimum values of ACE, ACR, and ATHD.
Figure 20, Figure 21, Figure 22 and Figure 23 show the current responses of the four PCCs under 1300 rpm and 1 Nm load as case 4 whose performance indexes are listed in Table 9. Since the drive system used in this study is not a commercial one but rather a prototype designed and developed by the authors, inherently it may have certain limitations in regard to the rated speed.
The experimental results of case 5 are shown in Figure 24, Figure 25, Figure 26 and Figure 27 and Table 10. Ideally, the stator current of the SynRM can be predicted by DVV-MPCC well if the used mathematical model perfectly matches the actual motor and the back EMF estimation will be perfect. It is worth mentioning that the mathematical model of SynRM is coupled and nonlinear [22]. The DVV-MPCC is based on a decoupled model like the SVV-MPCC from [6]. In order for DVV-MPCC to be applicable to the SynRM, the equivalent stator voltage Equations (1) and (2) make some assumptions, such as zero magnetic saturation, zero eddy current, and zero hysteresis loss inevitably leading to some model errors. In addition, the parameters of the SynRM listed in Table 2 will also vary under different operation conditions. For example, the stator resistance will change at different temperatures, and the inductance value will also vary at different currents and frequencies. Moreover, since the back EMF in Equation (18) is obtained by estimation rather than through instrumental measurement, its estimation error always exists and is unavoidable. Unlike DVV-MPCC, the DVV-MFPCC is based on Equation (28), implying that no mathematical model and motor parameters are needed as the stator current can be accurately measured through current sensor. As long as the microcontroller works properly under a sufficiently short sampling period, the previous current differences required in Equation (28) can be updated frequently to reduce errors. As such, the DVV-MFPCC, as compared to the DVV-MPCC, is expected to perform better.
In summary, the experimental results demonstrate that the DVV-MFPCC presented in this work indeed performs better in terms of the steady-state and transient responses.

7. Conclusions

The proposed DVV-MFPCC is successfully implemented on a SynRM drive system. In each sampling period two voltage vectors rather than one are applied. The number of candidate switching modes is increased to nineteen. In addition, the stator current is measured twice in each sampling period. Finally, compared to the SVV-MPCC, the SVV-MFPCC, and the DVV-MPCC, the experimental results show that under various test conditions the DVV-MFPCC does better in its salient current tracking performances.

Author Contributions

The work presented here was carried out through the joint efforts of all authors, including concept proposal, paper work, and conducting experiments. Under C.-K.L.’s advice, H.-Q.H. and J.-T.W. are responsible for producing the experimental results and charting. C.-K.L. and J.-t.Y. are responsible for manuscript writing. H.-C.Y. and Y.-S.L. provided financial support and valuable suggestions for this work together with their participation of technical meetings. All authors have read and approved the form of current manuscript.

Funding

This research was funded by the Ministry of Science and Technology, Taiwan under grant numbers MOST 106-2221-E-019-053, 106-2221-E-019-070, 106-2218-E-033-008, and by National Taiwan Ocean University and National Taipei University of Technology under grant number USTP-NTUT-NTOU-107-01.

Acknowledgments

This manuscript is a result of joint research sponsored by the Ministry of Science and Technology of Taiwan, National Taiwan Ocean University, Chung Yuan Christian University, and National Taipei University of Technology under grant numbers MOST 106-2221-E-019-053, 106-2221-E-019-070, 106-2218-E-033-008 and USTP-NTUT-NTOU-107-01. The authors thank these institutions for their support.

Conflicts of Interest

The authors declare no conflict of interest.

References

  1. Sen, P.C. Electric motor drives and control-past, present, and future. IEEE Trans. Ind. Appl. 1990, 37, 562–575. [Google Scholar] [CrossRef]
  2. Brod, D.M.; Novotny, D.W. Current control of VSI-PWM inverters. IEEE Trans. Ind. Appl. 1985, IA-21, 562–570. [Google Scholar]
  3. Kazmierkowski, M.; Krishnan, R.; Blaabjerg, F. Control in Power Electronics, 1st ed.; Academic Press: Cambridge, MA, USA, 2002. [Google Scholar]
  4. Li, X.; Dusmez, S.; Akin, B.; Rajashekara, K. A new SVPWM for the phase current reconstruction of three-phase three-level T-type converters. IEEE Trans. Power Electron. 2016, 31, 2627–2637. [Google Scholar] [CrossRef]
  5. Young, H.A.; Perez, M.A.; Rodríguez, J.; Abu-Rub, H. Assessing finite-control-set model predictive control: A comparison with a linear current controller in two-level voltage source inverters. IEEE Ind. Electron. Mag. 2014, 8, 44–52. [Google Scholar] [CrossRef]
  6. Rodríguez, J.; Pontt, J.; Silva, C.A.; Correa, P.; Lezana, P.; Cortes, P.; Ammann, U. Predictive current control of a voltage source inverter. IEEE Trans. Ind. Electron. 2007, 54, 495–503. [Google Scholar] [CrossRef]
  7. Hu, J.; Cheng, K.W.E. Predictive control of power electronics converters in renewable energy systems. Energies 2017, 10, 515. [Google Scholar] [CrossRef]
  8. Nguyen, T.H.; Kim, K.-H. Finite control set–model predictive control with modulation to mitigate harmonic component in output current for a grid-connected inverter under distorted grid conditions. Energies 2017, 10, 907. [Google Scholar] [CrossRef]
  9. Yang, X.; Liu, G.; Li, A.; Le, V.D. A predictive power control strategy for DFIGs based on a wind energy converter system. Energies 2017, 10, 1098. [Google Scholar] [CrossRef]
  10. Jin, N.; Guo, L.; Yao, G. Model predictive direct power control for nonredundant fault tolerant grid-connected bidirectional voltage source converter. Energies 2017, 10, 1133. [Google Scholar] [CrossRef]
  11. Guzmán, R.; de Vicuña, L.G.; Castilla, M.; Miret, J.; Camacho, A. Finite control set model predictive control for a three-phase shunt active power filter with a Kalman filter-based estimation. Energies 2017, 10, 1553. [Google Scholar] [CrossRef]
  12. Chan, R.; Kwak, S. Model-based predictive current control method with constant switching frequency for single-phase voltage source inverters. Energies 2017, 10, 1927. [Google Scholar] [CrossRef]
  13. Su, D.; Zhang, C.; Dong, Y. An improved continuous-time model predictive control of permanent magnetic synchronous motors for a wide-speed range. Energies 2017, 10, 2051. [Google Scholar] [CrossRef]
  14. Dadu, A.M.; Mekhilef, S.; Soon, T.K.; Seyedmahmoudian, M.; Horan, B. Near state vector selection-based model predictive control with common mode voltage mitigation for a three-phase four-leg inverter. Energies 2017, 10, 2129. [Google Scholar] [CrossRef]
  15. Wang, F.; Zhang, Z.; Mei, X.; Rodríguez, J.; Kennel, R. Advanced control strategies of induction machine: Field oriented control, direct torque control and model predictive control. Energies 2018, 11, 120. [Google Scholar] [CrossRef]
  16. Chan, R.; Kwak, S. Improved finite-control-set model predictive control for cascaded H-bridge inverters. Energies 2018, 11, 355. [Google Scholar] [CrossRef]
  17. Singh, V.K.; Tripathi, R.N.; Hanamoto, T. HIL co-simulation of finite set-model predictive control using FPGA for a three-phase VSI system. Energies 2018, 11, 909. [Google Scholar] [CrossRef]
  18. Espi, J.M.; Castello, J. Capacitive emulation using predictive current control in LCL-filtered grid-connected converters to mitigate grid current distortion. Energies 2018, 11, 1421. [Google Scholar] [CrossRef]
  19. Lin, C.-K.; Fu, L.-C.; Liu, T.-H.; Hsiao, C.-F. Passivity-based adaptive complementary PI sliding-mode speed controller for synchronous reluctance motor using predictive current control. In Proceedings of the 2012 American Control Conference (ACC 2012), Montreal, QC, Canada, 27–29 June 2012; pp. 1168–1173. [Google Scholar]
  20. Lin, C.-K.; Liu, T.-H.; Yu, J.; Fu, L.-C.; Hsiao, C.-F. Model-free predictive current control for interior permanent-magnet synchronous motor drives based on current difference detection technique. IEEE Trans. Ind. Electron. 2014, 61, 667–681. [Google Scholar] [CrossRef]
  21. Lin, C.-K.; Yu, J.-T.; Lai, Y.-S.; Yu, H.-C.; Lin, Y.-H.; Chen, F.-M. Simplified model-free predictive current control for interior permanent magnet synchronous motors. IET Electron. Lett. 2016, 52, 49–50. [Google Scholar] [CrossRef]
  22. Lin, C.-K.; Yu, J.-T.; Lai, Y.-S.; Yu, H.-C. Improved model-free predictive current control for synchronous reluctance motor drives. IEEE Trans. Ind. Electron. 2016, 63, 3942–3953. [Google Scholar] [CrossRef]
  23. Lin, C.-K.; Yu, J.-T.; Lai, Y.-S.; Yu, H.-C.; Hu, J.-W.; Wu, D.-Y. Two-vectors-based model-free predictive current control of a voltage source inverter. In Proceedings of the Advanced Mechanical Science and Technology for the Industrial Revolution 4.0, Fuzhou, China, 1–3 December 2016; pp. 227–233. [Google Scholar]
  24. Wang, Y.; Wang, X.; Xie, W.; Wang, F.; Dou, M.; Kennel, R.M.; Lorenz, R.D.; Gerling, D. Deadbeat model-predictive torque control with discrete space-vector modulation for PMSM drives. IEEE Trans. Ind. Electron. 2017, 64, 3537–3547. [Google Scholar] [CrossRef]
  25. Amiri, M.; Milimonfared, J.; Khaburi, A. Predictive torque control implementation for induction motors based on discrete space vector modulation. IEEE Trans. Ind. Electron. 2018, 65, 6881–6889. [Google Scholar] [CrossRef]
Figure 1. Six-switch three-phase inverter connected to a SynRM.
Figure 1. Six-switch three-phase inverter connected to a SynRM.
Energies 11 01743 g001
Figure 2. Seven voltage vectors.
Figure 2. Seven voltage vectors.
Energies 11 01743 g002
Figure 3. Nineteen synthesized voltage vectors.
Figure 3. Nineteen synthesized voltage vectors.
Energies 11 01743 g003
Figure 4. The features of dual-voltage-vector model-free predictive current control (DVV-MFPCC), including: (a) conceptual comparison of current prediction for the single-voltage-vector model-free predictive current control (SVV-MFPCC) [22] (black dashed line) and the proposed DVV-MFPCC (red solid line); (b) two current samples and two applied switching states during one sampling interval.
Figure 4. The features of dual-voltage-vector model-free predictive current control (DVV-MFPCC), including: (a) conceptual comparison of current prediction for the single-voltage-vector model-free predictive current control (SVV-MFPCC) [22] (black dashed line) and the proposed DVV-MFPCC (red solid line); (b) two current samples and two applied switching states during one sampling interval.
Energies 11 01743 g004
Figure 5. System block diagram of the proposed DVV-MFPCC.
Figure 5. System block diagram of the proposed DVV-MFPCC.
Energies 11 01743 g005
Figure 6. Hardware circuits of the SynRM drive system.
Figure 6. Hardware circuits of the SynRM drive system.
Energies 11 01743 g006
Figure 7. The SynRM connected to a torque meter.
Figure 7. The SynRM connected to a torque meter.
Energies 11 01743 g007
Figure 8. Experimental results of SVV-MPCC under speed 300 rpm and load 2 Nm (case 1): (a) current responses; (b) α-axis current error; (c) β-axis current error.
Figure 8. Experimental results of SVV-MPCC under speed 300 rpm and load 2 Nm (case 1): (a) current responses; (b) α-axis current error; (c) β-axis current error.
Energies 11 01743 g008aEnergies 11 01743 g008b
Figure 9. Experimental results of DVV-MPCC under speed 300 rpm and load 2 Nm (case 1): (a) current responses; (b) α-axis current error; (c) β-axis current error.
Figure 9. Experimental results of DVV-MPCC under speed 300 rpm and load 2 Nm (case 1): (a) current responses; (b) α-axis current error; (c) β-axis current error.
Energies 11 01743 g009
Figure 10. Experimental results of SVV-MFPCC under speed 300 rpm and load 2 Nm (case 1): (a) current responses; (b) α-axis current error; (c) β-axis current error.
Figure 10. Experimental results of SVV-MFPCC under speed 300 rpm and load 2 Nm (case 1): (a) current responses; (b) α-axis current error; (c) β-axis current error.
Energies 11 01743 g010
Figure 11. Experimental results of DVV-MFPCC under speed 300 rpm and load 2 Nm (case 1): (a) current responses; (b) α-axis current error; (c) β-axis current error.
Figure 11. Experimental results of DVV-MFPCC under speed 300 rpm and load 2 Nm (case 1): (a) current responses; (b) α-axis current error; (c) β-axis current error.
Energies 11 01743 g011aEnergies 11 01743 g011b
Figure 12. Experimental results of SVV-MPCC following a sinusoidal current command with amplitude 3 A and frequency 30 Hz (case 2): (a) current responses; (b) α-axis current error; (c) β-axis current error.
Figure 12. Experimental results of SVV-MPCC following a sinusoidal current command with amplitude 3 A and frequency 30 Hz (case 2): (a) current responses; (b) α-axis current error; (c) β-axis current error.
Energies 11 01743 g012
Figure 13. Experimental results of DVV-MPCC following a sinusoidal current command with amplitude 3 A and frequency 30 Hz (case 2): (a) current responses; (b) α-axis current error; (c) β-axis current error.
Figure 13. Experimental results of DVV-MPCC following a sinusoidal current command with amplitude 3 A and frequency 30 Hz (case 2): (a) current responses; (b) α-axis current error; (c) β-axis current error.
Energies 11 01743 g013
Figure 14. Experimental results of SVV-MFPCC following a sinusoidal current command with amplitude 3 A and frequency 30 Hz (case 2): (a) current responses; (b) α-axis current error; (c) β-axis current error.
Figure 14. Experimental results of SVV-MFPCC following a sinusoidal current command with amplitude 3 A and frequency 30 Hz (case 2): (a) current responses; (b) α-axis current error; (c) β-axis current error.
Energies 11 01743 g014aEnergies 11 01743 g014b
Figure 15. Experimental results of DVV-MFPCC following a sinusoidal current command with amplitude 3 A and frequency 30 Hz (case 2): (a) current responses; (b) α-axis current error; (c) β-axis current error.
Figure 15. Experimental results of DVV-MFPCC following a sinusoidal current command with amplitude 3 A and frequency 30 Hz (case 2): (a) current responses; (b) α-axis current error; (c) β-axis current error.
Energies 11 01743 g015
Figure 16. Experimental results of SVV-MPCC following a sinusoidal current command with amplitude jumping from 2 A to 5 A at 0.1 s under frequency 10 Hz (case 3): (a) current responses; (b) α-axis current error; (c) β-axis current error.
Figure 16. Experimental results of SVV-MPCC following a sinusoidal current command with amplitude jumping from 2 A to 5 A at 0.1 s under frequency 10 Hz (case 3): (a) current responses; (b) α-axis current error; (c) β-axis current error.
Energies 11 01743 g016
Figure 17. Experimental results of DVV-MPCC following a sinusoidal current command with amplitude jumping from 2 A to 5 A at 0.1 s under frequency 10 Hz (case 3): (a) current responses; (b) α-axis current error; (c) β-axis current error.
Figure 17. Experimental results of DVV-MPCC following a sinusoidal current command with amplitude jumping from 2 A to 5 A at 0.1 s under frequency 10 Hz (case 3): (a) current responses; (b) α-axis current error; (c) β-axis current error.
Energies 11 01743 g017aEnergies 11 01743 g017b
Figure 18. Experimental results of SVV-MFPCC following a sinusoidal current command with amplitude jumping from 2 A to 5 A at 0.1 s under frequency 10 Hz (case 3): (a) current responses; (b) α-axis current error; (c) β-axis current error.
Figure 18. Experimental results of SVV-MFPCC following a sinusoidal current command with amplitude jumping from 2 A to 5 A at 0.1 s under frequency 10 Hz (case 3): (a) current responses; (b) α-axis current error; (c) β-axis current error.
Energies 11 01743 g018
Figure 19. Experimental results of DVV-MFPCC following a sinusoidal current command with amplitude jumping from 2 A to 5 A at 0.1 s under frequency 10 Hz (case 3): (a) current responses; (b) α-axis current error; (c) β-axis current error.
Figure 19. Experimental results of DVV-MFPCC following a sinusoidal current command with amplitude jumping from 2 A to 5 A at 0.1 s under frequency 10 Hz (case 3): (a) current responses; (b) α-axis current error; (c) β-axis current error.
Energies 11 01743 g019
Figure 20. Experimental results of SVV-MPCC under speed 1300 rpm and load 1 Nm (case 4): (a) current responses; (b) α-axis current error; (c) β-axis current error.
Figure 20. Experimental results of SVV-MPCC under speed 1300 rpm and load 1 Nm (case 4): (a) current responses; (b) α-axis current error; (c) β-axis current error.
Energies 11 01743 g020aEnergies 11 01743 g020b
Figure 21. Experimental results of DVV-MPCC under speed 1300 rpm and load 1 Nm (case 4): (a) current responses; (b) α-axis current error; (c) β-axis current error.
Figure 21. Experimental results of DVV-MPCC under speed 1300 rpm and load 1 Nm (case 4): (a) current responses; (b) α-axis current error; (c) β-axis current error.
Energies 11 01743 g021
Figure 22. Experimental results of SVV-MFPCC under speed 1300 rpm and load 1 Nm (case 4): (a) current responses; (b) α-axis current error; (c) β-axis current error.
Figure 22. Experimental results of SVV-MFPCC under speed 1300 rpm and load 1 Nm (case 4): (a) current responses; (b) α-axis current error; (c) β-axis current error.
Energies 11 01743 g022
Figure 23. Experimental results of DVV-MFPCC under speed 1300 rpm and load 1 Nm (case 4): (a) current responses; (b) α-axis current error; (c) β-axis current error.
Figure 23. Experimental results of DVV-MFPCC under speed 1300 rpm and load 1 Nm (case 4): (a) current responses; (b) α-axis current error; (c) β-axis current error.
Energies 11 01743 g023aEnergies 11 01743 g023b
Figure 24. Experimental results of SVV-MPCC following a sinusoidal current command with current reversed at 0.15 s under frequency 10 Hz (case 5): (a) current responses; (b) α-axis current error; (c) β-axis current error.
Figure 24. Experimental results of SVV-MPCC following a sinusoidal current command with current reversed at 0.15 s under frequency 10 Hz (case 5): (a) current responses; (b) α-axis current error; (c) β-axis current error.
Energies 11 01743 g024
Figure 25. Experimental results of DVV-MPCC following a sinusoidal current command with current reversed at 0.15 s under frequency 10 Hz (case 5): (a) current responses; (b) α-axis current error; (c) β-axis current error.
Figure 25. Experimental results of DVV-MPCC following a sinusoidal current command with current reversed at 0.15 s under frequency 10 Hz (case 5): (a) current responses; (b) α-axis current error; (c) β-axis current error.
Energies 11 01743 g025
Figure 26. Experimental results of SVV-MFPCC following a sinusoidal current command with current reversed at 0.15 s under frequency 10 Hz (case 5): (a) current responses; (b) α-axis current error; (c) β-axis current error.
Figure 26. Experimental results of SVV-MFPCC following a sinusoidal current command with current reversed at 0.15 s under frequency 10 Hz (case 5): (a) current responses; (b) α-axis current error; (c) β-axis current error.
Energies 11 01743 g026aEnergies 11 01743 g026b
Figure 27. Experimental results of DVV-MFPCC following a sinusoidal current command with current reversed at 0.15 s under frequency 10 Hz (case 5): (a) current responses; (b) α-axis current error; (c) β-axis current error.
Figure 27. Experimental results of DVV-MFPCC following a sinusoidal current command with current reversed at 0.15 s under frequency 10 Hz (case 5): (a) current responses; (b) α-axis current error; (c) β-axis current error.
Energies 11 01743 g027aEnergies 11 01743 g027b
Table 1. Correspondence between switching modes and the synthesized vectors.
Table 1. Correspondence between switching modes and the synthesized vectors.
Switching ModeSwitching States Represented by Switching FunctionsSynthesized Voltage Vector
First Ts/2Second Ts/2
Q0(000)(000)V0 = V0/2 + V0/2
Q1(100)(100)V1 = V1/2 + V1/2
Q2(110)(110)V2 = V2/2 + V2/2
Q3(010)(010)V3 = V3/2 + V3/2
Q4(011)(011)V4 = V4/2 + V4/2
Q5(001)(001)V5 = V5/2 + V5/2
Q6(101)(101)V6 = V6/2 + V6/2
Q7(100)(110)V7 = V1/2 + V2/2
Q8(110)(010)V8 = V2/2 + V3/2
Q9(010)(011)V9 = V3/2 + V4/2
Q10(011)(001)V10 = V4/2 + V5/2
Q11(001)(101)V11 = V5/2 + V6/2
Q12(101)(100)V12 = V6/2 + V1/2
Q13(100)(000)V13 = V1/2 + V0/2
Q14(110)(000)V14 = V2/2 + V0/2
Q15(010)(000)V15 = V3/2 + V0/2
Q16(011)(000)V16 = V4/2 + V0/2
Q17(001)(000)V17 = V5/2 + V0/2
Q18(101)(000)V18 = V6/2 + V0/2
Table 2. Specifications of the SynRM.
Table 2. Specifications of the SynRM.
ParameterValueUnit
Poles8Pole
Rated voltage220V
Rated power500W
Rated speed1500rpm
Stator resistance2.5Ω
d-axis inductance40mH
q-axis inductance16mH
Table 3. Specifications of the inverter SCM1246MF.
Table 3. Specifications of the inverter SCM1246MF.
ParameterRating ValueUnit
Main supply voltage (DC)450V
Main supply voltage (surge)500V
IGBT breakdown voltage600V
Output current30A
Output current (pulse)45A
Logic supply voltage20V
Isolation voltage (for 1 min)2500V
Table 4. The differences between five predictive current controllers.
Table 4. The differences between five predictive current controllers.
ControllerNumber of Applied Voltage Vector in One Sampling PeriodNumber of Current Sampling in One Sampling PeriodNumber of Available Switching Mode
SVV-MPCC [22]117
DVV-MPCC2119
SVV-MFPCC [22]117
DVV-MFPCC2219
TVB-MFPCC [23]2114
Table 5. Computation time for different schemes using the microcontroller TMS320F28377S.
Table 5. Computation time for different schemes using the microcontroller TMS320F28377S.
PCC SchemeComputation Time (μs)
SVV-MPCC [22]20
DVV-MPCC29
SVV-MFPCC [22]19.8
DVV-MFPCC39.6
Table 6. ACE, ACR, and ATHD of the four schemes obtained from Figure 8, Figure 9, Figure 10 and Figure 11.
Table 6. ACE, ACR, and ATHD of the four schemes obtained from Figure 8, Figure 9, Figure 10 and Figure 11.
SchemeACE (A)ACR (A)ATHD (%)
SVV-MPCC0.6660.6682.949
DVV-MPCC0.6720.4661.737
SVV-MFPCC0.2800.3502.071
DVV-MFPCC0.1020.1260.863
Table 7. ACE, ACR, and ATHD of the four schemes obtained from Figure 12, Figure 13, Figure 14 and Figure 15.
Table 7. ACE, ACR, and ATHD of the four schemes obtained from Figure 12, Figure 13, Figure 14 and Figure 15.
PCC SchemeACE (A)ACR (A)ATHD (%)
SVV-MPCC0.4800.5752.956
DVV-MPCC0.1710.4212.960
SVV-MFPCC0.2850.2431.989
DVV-MFPCC0.1820.1241.202
Table 8. ACE, ACR, and ATHD of the four schemes obtained from Figure 16, Figure 17, Figure 18 and Figure 19.
Table 8. ACE, ACR, and ATHD of the four schemes obtained from Figure 16, Figure 17, Figure 18 and Figure 19.
PCC SchemeACE (A)ACR (A)ATHD (%)
SVV-MPCC0.9610.5708.896
DVV-MPCC0.2430.46610.010
SVV-MFPCC0.0690.2607.693
DVV-MFPCC0.0590.1397.626
Table 9. ACE, ACR, and ATHD of the four schemes obtained from Figure 20, Figure 21, Figure 22 and Figure 23.
Table 9. ACE, ACR, and ATHD of the four schemes obtained from Figure 20, Figure 21, Figure 22 and Figure 23.
PCC SchemeACE (A)ACR (A)ATHD (%)
SVV-MPCC0.640.81411.678
DVV-MPCC0.6130.7810.441
SVV-MFPCC0.4320.55410.208
DVV-MFPCC0.210.2839.783
Table 10. ACE, ACR, and ATHD of the four schemes obtained from Figure 24, Figure 25, Figure 26 and Figure 27.
Table 10. ACE, ACR, and ATHD of the four schemes obtained from Figure 24, Figure 25, Figure 26 and Figure 27.
PCC SchemeACE (A)ACR (A)ATHD (%)
SVV-MPCC0.550.73123.11
DVV-MPCC0.550.73823.269
SVV-MFPCC0.3330.53423.399
DVV-MFPCC0.1670.423.149

Share and Cite

MDPI and ACS Style

Lin, C.-K.; Yu, J.-t.; Huang, H.-Q.; Wang, J.-T.; Yu, H.-C.; Lai, Y.-S. A Dual-Voltage-Vector Model-Free Predictive Current Controller for Synchronous Reluctance Motor Drive Systems. Energies 2018, 11, 1743. https://doi.org/10.3390/en11071743

AMA Style

Lin C-K, Yu J-t, Huang H-Q, Wang J-T, Yu H-C, Lai Y-S. A Dual-Voltage-Vector Model-Free Predictive Current Controller for Synchronous Reluctance Motor Drive Systems. Energies. 2018; 11(7):1743. https://doi.org/10.3390/en11071743

Chicago/Turabian Style

Lin, Cheng-Kai, Jen-te Yu, Hao-Qun Huang, Jyun-Ting Wang, Hsing-Cheng Yu, and Yen-Shin Lai. 2018. "A Dual-Voltage-Vector Model-Free Predictive Current Controller for Synchronous Reluctance Motor Drive Systems" Energies 11, no. 7: 1743. https://doi.org/10.3390/en11071743

APA Style

Lin, C.-K., Yu, J.-t., Huang, H.-Q., Wang, J.-T., Yu, H.-C., & Lai, Y.-S. (2018). A Dual-Voltage-Vector Model-Free Predictive Current Controller for Synchronous Reluctance Motor Drive Systems. Energies, 11(7), 1743. https://doi.org/10.3390/en11071743

Note that from the first issue of 2016, this journal uses article numbers instead of page numbers. See further details here.

Article Metrics

Back to TopTop