Lithium-Ion Battery Prognostics with Hybrid Gaussian Process Function Regression
Abstract
1. Introduction
- (1)
- The domain transformation method is fused with the time series prognostic model to predict the RUL of lithium-ion battery.
- (2)
- The wavelet denoising method is selected by the experimental and theoretical analysis.
2. Methodologies
2.1. Wavelet De-Noising
2.2. GPR Model
2.3. HGFPR Model
3. Fusion Framework with WD Method and HGPFR Model
| Algorithm 1. The hybrid method with WD method and HGPFR algorithm |
| (1) Initialization: |
| Select the wavelet function , the value of soft threshold , and the decomposition levels ; |
| (2) Decomposition: |
| Decompose the for the levels and calculate the detail coefficient form 1 to levels with Equation (6); |
| (3) Wavelet reconstruction: |
| The signals are reconstructed with the value of soft threshold and detail coefficient form 1 to levels by the Equations (6) and (8); |
| (4) Initialize the hype-parameter and times of optimization: |
| Initializing value of hype-parameter is set to , and the times of optimization are set to ; |
| (5) Optimized the hype-parameter |
| FOR I = 1, … |
| Calculate the hype-parameter using Equation (9) with the reconstruct signal |
| Update the value of hype-parameter with |
| END FOR; |
| (6) Output the prediction result: |
| Input the reconstruct signal to the prognostic model, and then capacity degradation trajectory with the 95% confidence bounds is obtained; |
| (7) Prognostic result evaluation: |
| The evaluation is given with testing data set and prediction results through some criteria to evaluate the performance of hybrid method. |
4. Experiments and Discussion
4.1. Raw Data from Lithium-Ion Battery and Evaluation Criteria
4.1.1. DES Lithium-Ion Battery Data Set
- The thermal chamber is set to 40 °C.
- The lithium-ion battery is charged under the constant current of 0.74 A condition until the voltage attained 4.2 V.
- The battery is discharged under the constant current of 0.74 A condition until the voltage fell to 2.7 V.
- The capacity data are recorded every 100 cycles of drive cycles.
4.1.2. CALCE Lithium-Ion Battery Data Set
- The thermal chamber was set to 20 °C–25 °C.
- The lithium-ion battery was charged under the constant current of 0.55 A condition until the voltage attained 4.2 V.
- The battery was discharged under the constant current of 1.1 A condition until the voltage fell to 2.7 V.
4.1.3. Evaluation Criteria
- SNR. It evaluates the performance of de-noising. The detailed information is shown as follows:
- Err: relative error of RUL prediction. The detailed information is shown as follows:
- RMES reflects the root mean squared error. The detailed information is shown as follows:
- MAPE means absolute percentage error. The detailed information is shown as follows:
4.2. The Selection of Wavelet De-Noising Method
4.2.1. The Selection of Threshold Value
4.2.2. The Selection of Wavelet Basis and Decomposition Levels
4.3. Battery RUL Prognostics with Hybrid Method
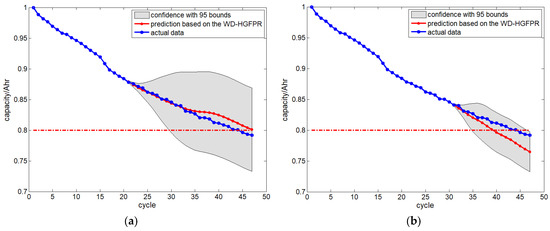
4.3.1. DES Lithium-Ion Battery RUL Prediction Result
4.3.2. CALCE Lithium-Ion Battery RUL Prediction Result
5. Conclusions
Author Contributions
Acknowledgments
Conflicts of Interest
References
- Song, Y.; Liu, D.; Hou, Y.; Peng, Y. Satellite lithium-ion battery remaining useful life estimation with an iterative updated RVM fused with the KF algorithm. Chin. J. Aeronaut. 2018, 31, 31–40. [Google Scholar] [CrossRef]
- Song, Y.; Liu, D.; Yang, C.; Peng, Y. Data-driven hybrid remaining useful life estimation approach for spacecraft lithium-ion battery. Microelectron. Reliab. 2017, 75, 142–153. [Google Scholar] [CrossRef]
- Liu, D.; Zhou, J.; Pan, D.; Peng, Y.; Peng, X. Lithium-ion battery remaining useful life estimation with an optimized Relevance Vector Machine algorithm with incremental learning. Measurement 2015, 63, 143–151. [Google Scholar] [CrossRef]
- Dalal, M.; Ma, J.; He, D. Lithium-ion battery life prognostic health management system using particle filtering framework. J. Risk Reliab. 2015, 225, 81–90. [Google Scholar] [CrossRef]
- Zhang, Y.; Xiong, R.; He, H. Evaluation of the model-based state-of-charge estimation methods for lithium-ion batteries. In Proceedings of the 2016 IEEE Transportation Electrification Conference and Expo (ITEC), Dearborn, MI, USA, 26–29 June 2016; pp. 1–8. [Google Scholar]
- Liu, D.; Zhou, J.; Liao, H.; Peng, Y.; Peng, X. A health indicator extraction and optimization framework for lithium-ion battery degradation modeling and prognostics. IEEE Trans. Syst. Man Cybern. Syst. 2015, 45, 915–928. [Google Scholar]
- Zhang, H.; Miao, Q.; Zhang, X.; Liu, Z. An improved unscented particle filter approach for lithium-ion battery remaining useful life prediction. Microelectron. Reliab. 2018, 81, 288–298. [Google Scholar] [CrossRef]
- Wei, Z.; Zou, C.; Leng, F.; Soong, B.H.; Tseng, K.J. Online model identification and state of charge estimate for lithium-ion battery with a recursive total least squares-based observer. IEEE Trans. Ind. Electron. 2018, 65, 1336–1346. [Google Scholar] [CrossRef]
- Zou, C.; Hu, X.; Wei, Z.; Tang, X. Electrothermal dynamics-conscious lithium-ion battery cell-level charging management via state-monitored predictive control. Energy 2017, 141, 250–259. [Google Scholar] [CrossRef]
- Lin, C.; Yu, Q.; Xiong, R.; Wang, L. A study on the impact of open circuit voltage tests on state of charge estimation for lithium-ion batteries. Appl. Energy 2017, 205, 892–902. [Google Scholar] [CrossRef]
- Zou, C.; Hu, X.; Wei, Z.; Wik, T.; Bo, E. Electrochemical estimation and control for lithium-ion battery health-aware fast charging. IEEE Trans. Ind. Electron. 2017, 65, 6635–6645. [Google Scholar] [CrossRef]
- Hu, X.; Li, S.; Peng, H. A comparative study of equivalent circuit models for Li-ion batteries. J. Power Sources 2012, 198, 359–367. [Google Scholar] [CrossRef]
- Lai, X.; Zheng, Y.; Sun, T. A comparative study of different equivalent circuit models for estimating state-of-charge of lithium-ion batteries. Electrochim. Acta 2017, 259, 566–577. [Google Scholar] [CrossRef]
- Skoog, S.; David, S. Parameterization of linear equivalent circuit models over wide temperature and SOC spans for automotive lithium-ion cells using electrochemical impedance spectroscopy. J. Energy Storage 2017, 14, 39–48. [Google Scholar] [CrossRef]
- Xiong, R.; Tian, J.; Mu, H.; Wang, C. A systematic model-based degradation behavior recognition and health monitoring method for lithium-ion batteries. Appl. Energy 2017, 207, 372–383. [Google Scholar] [CrossRef]
- Hu, C.; Jain, G.; Schmidt, C.; Strief, C.; Sullivan, M. Online estimation of lithium-ion battery capacity using sparse bayesian learning. J. Power Sources 2015, 289, 105–113. [Google Scholar] [CrossRef]
- Zou, C.; Manzie, C.; Nešić, D.; Kallapur, A.G. Multi-time-scale observer design for state-of-charge and state-of-health of a lithium-ion battery. J. Power Sources 2016, 335, 121–130. [Google Scholar] [CrossRef]
- Wei, Z.; Meng, S.; Tseng, K.J.; Lim, T.; Soong, H.; Skyllas-Kazacos, M. An adaptive model for vanadium redox flow battery and its application for online peak power estimation. J. Power Sources 2017, 344, 195–207. [Google Scholar] [CrossRef]
- Liu, D.; Luo, Y.; Peng, Y.; Peng, X.; Pecht, M. Lithium-ion battery remaining useful life estimation based on nonlinear ar model combined with degradation feature. In Proceedings of the Annual Conference of the Prognostics and Health Management Society, Minneapolis, MN, USA, 23–27 September 2012; Volume 3, pp. 1803–1836. [Google Scholar]
- Zhang, J.; Lee, J. A review on prognostics and health monitoring of Li-ion battery. J. Power Sources 2011, 196, 6007–6014. [Google Scholar] [CrossRef]
- Liu, D.; Wang, H.; Peng, Y.; Xie, W.; Liao, H. Satellite lithium-ion battery remaining cycle life prediction with novel indirect health indicator extractcion. Energies 2013, 6, 3654–3668. [Google Scholar] [CrossRef]
- Saha, B.; Goebel, K. Uncertainty management for diagnostics and prognostics of batteries using Bayesian techniques. In Proceedings of the IEEE Aerospace Conference, Big Sky, MT, USA, 1–8 March 2008; pp. 1–8. [Google Scholar]
- Hu, C.; Jain, G.; Tamirisa, P.; Gorka, T. Method for estimating capacity and predicting remaining useful life of lithium-ion battery. Appl. Energy 2014, 126, 182–189. [Google Scholar] [CrossRef]
- Sun, P.; Wang, Z. Research of the relationship between Li-ion battery charge performance and SOH based on miga-gpr method. Energy Procedia 2016, 88, 608–613. [Google Scholar]
- Li, F.; Xu, J. A new prognostics method for state of health estimation of lithium-ion batteries based on a mixture of Gaussian process models and particle filter. Microelectron. Reliab. 2015, 55, 1035–1045. [Google Scholar] [CrossRef]
- Liu, D.; Pang, J.; Zhou, J.; Peng, Y.; Pecht, M. Prognostics for state of health estimation of lithium-ion batteries based on combination Gaussian process functional regression. Microelectron. Reliab. 2013, 53, 832–839. [Google Scholar] [CrossRef]
- Wang, D.; Miao, Q. Smoothness index-guided bayesian inference for determining joint posterior probability distributions of anti-symmetric real laplace wavelet parameters for identification of different bearing faults. J. Sound Vib. 2015, 345, 250–266. [Google Scholar] [CrossRef]
- Diop, M.; Wright, E.; Toronov, V.; Lee, T. Improved light collection and wavelet de-noising enable quantification of cerebral blood flow and oxygen metabolism by a low-cost, off-the-shelf spectrometer. J. Biomed. Opt. 2014, 19, 57007. [Google Scholar] [CrossRef] [PubMed]
- Juš, K.; Tanko, V. Prognosis of gear health using Gaussian process model. In Proceedings of the IEEE Eurocon—International Conference on Computer as a Tool, Lisabon, Portugal, 27–29 April 2011; pp. 1–4. [Google Scholar]
- Rasmussen, C.E.; Williams, C.K.I. Gaussian Processes for Machine Learning; MIT Press: Cambridge, MA, USA, 2006. [Google Scholar]
- MacKay, D. Introduction to Gaussian Processes; Technical Report; Cambridge University: Cambridge, UK, 1997; Available online: http://wol.ra.phy.cam.ac.uk/mackay/README.html (accessed on 3 May 2018).
- Shi, J.Q.; Wang, B. Gaussian process functional regression modeling for batch data. Biometrics 2007, 63, 14–23. [Google Scholar] [CrossRef] [PubMed]
- Williard, N.; He, W.; Hendricks, C.; Pecht, M. Lessons learned from the 787 dreamliner issue on lithium-ion battery reliability. Energies 2013, 6, 4682–4695. [Google Scholar] [CrossRef]
- Williams, C.K.I.; Rasmussen, C.E. Gaussian processes for regression. In Advances in Neural Information Processing Systems 8; David, S.T., Michael, C.M., Michael, E.H., Eds.; MIT Press: Cambridge, MA, USA, 1996. [Google Scholar]
- Tao, C.; Julian, M.; Elaine, M. Gaussian process regression for multivariate spectroscopic calibration. Chem. Intell. Lab. Syst. 2007, 87, 59–71. [Google Scholar]
- Yunong, Z.; Leithead, W.E.; Leith, D.J. Time-series Gaussian process regression based on toeplitz computation of O(N2) operations and O(N)-level storage. In Proceedings of the 2005 European Control Conference on Decision and Control, Seville, Spain, 12–15 December 2005; pp. 3711–3716. [Google Scholar]
- Girard, A.; Murraysmith, R. Gaussian processes: Prediction at a noisy input and application to iterative multiple-step ahead forecasting of time-series. Lect. Notes Comput. Sci. 2003, 3355, 158–184. [Google Scholar]
- Christoph, R.B. Diagnosis and Prognosis of Degradation in Lithium-Ion Batteries. Ph.D. Thesis, Department of Engineering Science, University of Oxford, Oxford, UK, 2017. [Google Scholar]
- Birkl, C. Oxford Battery Degradation Dataset 1; University of Oxford: Oxford, UK, 2017. [Google Scholar]
- Fyfe, R.; Zuo, J.; Lin, J. Mechanical fault detection based on the wavelet de-noising technique. J. Vib. Acoust. 2004, 126, 9–16. [Google Scholar]
- Pecht, M.; Jaai, R. A prognostics and health management roadmap for information and electronics-rich systems. Microelectron. Reliab. 2010, 50, 317–323. [Google Scholar] [CrossRef]
- Liao, Y.; Fan, Y.; Cheng, F. On-line prediction of pH values in fresh pork using visible/near-infrared spectroscopy with wavelet de-noising and variable selection methods. J. Food Eng. 2012, 109, 668–675. [Google Scholar] [CrossRef]
- Bachner-Hinenzon, N.; Ertracht, O.; Lysiansky, M.; Binah, O.; Adam, D. Layer-specific assessment of left ventricular function by utilizing wavelet de-noising: A validation study. Med. Biol. Eng. Comput. 2011, 49, 3–13. [Google Scholar] [CrossRef] [PubMed]
- Chen, Y.; Miao, Q.; Zheng, B.; Wu, S.; Pecht, M. Quantitative analysis of lithium-ion battery capacity prediction via adaptive bathtub-shaped function. Energies 2013, 6, 3082–3096. [Google Scholar] [CrossRef]
- Wang, D.; Borthwick, G.; He, H. A hybrid wavelet de-noising and Rank-Set Pair analysis approach for forecasting hydro-meteorological time series. Environ. Res. 2018, 160, 269–281. [Google Scholar] [CrossRef] [PubMed]
- Wang, S.; Zhao, L.; Su, X.; Ma, P. Prognostics of lithium-ion batteries based on battery performance analysis and flexible support vector regression. Energies 2014, 7, 6492–6508. [Google Scholar] [CrossRef]











| Data Set | Start Point | WD-HGPFR | HGPFR | GPR | ||||||
|---|---|---|---|---|---|---|---|---|---|---|
| Err | RMSE | MAPE | Err | RMSE | MAPE | Err | RMSE | MAPE | ||
| C-1 | 20 | 25.0% | 0.0236 | 0.0253 | 32.2% | 0.0406 | 0.0444 | 37.7% | 0.1589 | 0.2319 |
| 30 | 8.9% | 0.0108 | 0.0103 | 23.2% | 0.0408 | 0.0438 | 17.0% | 0.0600 | 0.0720 | |
| 35 | 5.4% | 0.0072 | 0.0075 | 17.9% | 0.0181 | 0.0167 | 13.2% | 0.0525 | 0.0632 | |
| 40 | 3.6% | 0.0108 | 0.0099 | 7.3% | 0.0163 | 0.0181 | 9.4% | 0.0598 | 0.0767 | |
| C-4 | 20 | 6.7% | 0.0079 | 0.0076 | 20.0% | 0.0600 | 0.0645 | 24.4% | 0.0984 | 0.1035 |
| 30 | 11.1% | 0.0509 | 0.0639 | 15.6% | 0.0772 | 0.0901 | 20.0% | 0.0893 | 0.0907 | |
| 35 | 4.4% | 0.0044 | 0.0046 | 15.6% | 0.0053 | 0.0055 | 17.8% | 0.0482 | 0.0578 | |
| 40 | 2.2% | 0.0026 | 0.0026 | 6.7% | 0.0028 | 0.0037 | 11.1% | 0.0364 | 0.0471 | |
| C-7 | 20 | 10.9% | 0.0273 | 0.0289 | 16.0% | 0.0354 | 0.0433 | 21.0% | 0.1305 | 0.1437 |
| 30 | 6.7% | 0.0061 | 0.0126 | 12.0% | 0.0147 | 0.0141 | 17.1% | 0.1026 | 0.1147 | |
| 35 | 5.3% | 0.0056 | 0.0050 | 9.3% | 0.0444 | 0.0465 | 13.2% | 0.0833 | 0.0945 | |
| 40 | 2.7% | 0.0145 | 0.0169 | 5.3% | 0.0231 | 0.0248 | 10.5% | 0.0681 | 0.0842 | |
| Data Set | Start Point | WD-HGPFR | HGPFR | GPR | ||||||
|---|---|---|---|---|---|---|---|---|---|---|
| Err | RMSE | MAPE | Err | RMSE | MAPE | Err | RMSE | MAPE | ||
| C-8 | 150 | 11.9% | 0.0979 | 0.1036 | 14.2% | 0.3980 | 0.4746 | 17.9% | 0.4058 | 0.5318 |
| 180 | 9.1% | 0.0817 | 0.0952 | 9.9% | 0.1935 | 0.2579 | 11.5% | 0.3368 | 0.4238 | |
| 210 | 7.1% | 0.0774 | 0.0853 | 8.7% | 0.1309 | 0.1537 | 10.3% | 0.2088 | 0.2607 | |
| 230 | 4.7% | 0.0895 | 0.1299 | 6.3% | 0.1371 | 0.1625 | 7.5% | 0.1366 | 0.1452 | |
| C-21 | 70 | 9.7% | 0.1363 | 0.1428 | 12.3% | 0.1784 | 0.1908 | 14.2% | 0.2355 | 0.3087 |
| 90 | 7.8% | 0.0933 | 0.1132 | 9.9% | 0.1012 | 0.1398 | 10.4% | 0.1177 | 0.1736 | |
| 110 | 6.4% | 0.0767 | 0.0973 | 7.8% | 0.0907 | 0.1124 | 11.0% | 0.1325 | 0.2038 | |
| 130 | 5.2% | 0.0663 | 0.0909 | 5.8% | 0.0832 | 0.0922 | 7.2% | 0.0912 | 0.1331 | |
| C-33 | 40 | 8.6% | 0.0784 | 0.1637 | 15.1% | 0.0947 | 0.1340 | 20.4% | 0.1637 | 0.1921 |
| 60 | 7.5% | 0.0817 | 0.1053 | 12.9% | 0.0992 | 0.1340 | 11.8% | 0.1184 | 0.2191 | |
| 70 | 5.3% | 0.0245 | 0.0369 | 7.5% | 0.0463 | 0.0576 | 8.6% | 0.3391 | 0.4790 | |
| 80 | 3.2% | 0.0863 | 0.1989 | 4.3% | 0.0954 | 0.2129 | 10.7% | 0.2373 | 0.2717 | |
© 2018 by the authors. Licensee MDPI, Basel, Switzerland. This article is an open access article distributed under the terms and conditions of the Creative Commons Attribution (CC BY) license (http://creativecommons.org/licenses/by/4.0/).
Share and Cite
Peng, Y.; Hou, Y.; Song, Y.; Pang, J.; Liu, D. Lithium-Ion Battery Prognostics with Hybrid Gaussian Process Function Regression. Energies 2018, 11, 1420. https://doi.org/10.3390/en11061420
Peng Y, Hou Y, Song Y, Pang J, Liu D. Lithium-Ion Battery Prognostics with Hybrid Gaussian Process Function Regression. Energies. 2018; 11(6):1420. https://doi.org/10.3390/en11061420
Chicago/Turabian StylePeng, Yu, Yandong Hou, Yuchen Song, Jingyue Pang, and Datong Liu. 2018. "Lithium-Ion Battery Prognostics with Hybrid Gaussian Process Function Regression" Energies 11, no. 6: 1420. https://doi.org/10.3390/en11061420
APA StylePeng, Y., Hou, Y., Song, Y., Pang, J., & Liu, D. (2018). Lithium-Ion Battery Prognostics with Hybrid Gaussian Process Function Regression. Energies, 11(6), 1420. https://doi.org/10.3390/en11061420
