Abstract
The increasing world energy demand driven by economic growth and technical development contributes to the severe depletion of conventional energy resources and various environmental issues. The need for the employment of low-emission, highly efficient technologies of thermochemical conversion, flexible in terms of both raw resources and product applications is declared, when the utilization of solid, alternative fuels is considered. Gasification is the proven technology of lower unit emission of contaminants and higher efficiency than combustion systems, as well as versatile applicability of the synthesis gas, as its main product. While the conversion of fossil fuels in gasification systems is technically mature, the co-utilization of biomass and waste still requires research and optimization in various technical and economic aspects. In this paper, the results of experimental work on co-gasification of energy crops biomass and sewage sludge with steam to produce hydrogen-rich gas are presented. The process is performed at 700, 800 and 900 °C under atmospheric pressure. The experimental results are analyzed with the application of the Hierarchical Clustering Analysis. The optimal results in terms of hydrogen production in co-gasification of selected biomass and sewage sludge are observed for Helianthus tuberosus L. blends of 10% w/w of sewage sludge content at 900 °C.
1. Introduction
The main path of economic utilization of excess sewage sludge has been by now the land application as a fertilizer. Phosphorus and nitrogen content in sewage sludge is important for cultivation of crops of a long growing season, and the organic matter improves the soil structure. The environmental concerns, e.g., content of toxic metals, however give some limitations to its use as a source of organic and inorganic components valuable in terms of plant cultivation [1,2]. The shortage of conventional energy resources as well as costs and environmental issues related to the landfilling of the considerable amounts of excess sewage sludge raised the interest in the development of methods of its utilization for energy purposes [3,4,5]. Among these methods, special attention is given to thermochemical co-processing of sewage sludge in combustion, pyrolysis and gasification systems. Previous works reported results on co-combustion of sewage sludge with fossil fuels and biomass [6,7,8,9,10] and pyrolysis of sewage sludge and its blends [11,12,13]. Gasification is considered to be the technology giving the product, synthesis gas, of the widest application range among the thermochemical conversion methods. The recent works concern the production of syngas [14,15,16,17] or hydrogen-rich gas [18,19,20] in gasification and co-gasification of sewage sludge, as well as hybrid systems combining thermochemical and biotechnological processes [21,22]. The process of steam co-gasification of sewage sludge with coal is of particular interest for several reasons [23,24,25]. First, it gives the economic and operating benefits of stable supplies of high-energy density fuel, coal. Second, it makes use of waste material hardly applicable at large scale in any other economic process. Third, it enables the production of the prospective, clean energy carrier. However, to make the process less carbon-intensive, biomass should be considered as a component of a fuel blend instead of fossil fuels. Previous studies on thermal utilization of energy crops or biowaste in the gasification process using various gasification agents proved their applicability in syngas or hydrogen-rich-gas production [26,27]. In this paper, the experimental study on thermochemical processing of energy crops biomass Helianthus tuberosus L. and Miscanthus x giganteus and dried sewage sludge in steam co-gasification is presented. The main objective of the study is the assessment of the process performed in terms of the hydrogen-rich gas production efficiency. The experimental dataset is analyzed with the application of Hierarchical Clustering Analysis (HCA), which is one of the classical methods of data visualization and interpretation. The exploratory analysis of a studied dataset often starts with hierarchical clustering, which reveals the internal structure, i.e., its clustering tendency. HCA usually leads to sub-optimal clustering of objects (due to its hierarchical nature) and largely depends on the method used for clusters’ linkage. Often, different linkage methods are applied to the same dataset and their performance is determined mainly by interpretability of the results. However, interpretability of clustering is not an easy task, especially when clustering is performed in high-dimensional space of parameters. HCA, employed in the study presented, proves to be an efficient and useful tool for the extraction of the essential information from the experimental dataset.
2. Materials and Methods
The samples of energy crops biomass: Helianthus tuberosus L. (HTL) and Miscanthus x giganteus (MXG) were provided by the Department of Agriculture, Faculty of Agricultural Sciences in Zamość (University of Life Sciences in Lublin, Poland) and by the experimental crops plantation in Föhren (Germany), respectively. The sewage sludge (SS) samples were collected in the municipal waste water treatment plant located in the Silesia region, Poland. The ultimate and proximate analyses of samples were performed in accredited laboratories of the Central Mining Institute according to the relevant standards and testing procedures (Table 1). The content of moisture, ash and volatiles were determined with the application of automatic thermogravimetric analyzers LECO: TGA 701 or MAC 500 according to PN-G-04560:1998 and PN-G-04516:1998 standards. The heat of combustion and calorific value were analyzed with the use of calorimeters LECO: AC-600 and AC-350 according to PN-G-04513:1981. The content of carbon, hydrogen and nitrogen were determined employing TruSpecCHN analyzer according to PN-G-04571:1998. The content of sulfur was analyzed on TruSpecS analyzer according to PN-G-04584:2001. The contents of oxygen and fixed carbon were calculated as differential factors according to formulas 100%-moisture-ash-carbon-hydrogen-sulfur-nitrogen (PN-G-04510:1991), and 100%-moisture-ash-volatiles (PN-G-04516:1998), respectively.
Table 1.
Physical and chemical properties of samples tested.
The experiments of steam co-gasification of energy crops biomass with sewage sludge were performed in a fixed bed reactor, under atmospheric pressure and at temperatures of 700, 800 and 900 °C. The fixed bed reactor is of 0.8 L working volume and is heated with a resistance furnace. Further details on the experimental stand may be found in [28]. The fuel blends tested were composed of Helianthus tuberosus L. or Miscanthus x giganteus biomass with 10 or 20% w/w of sewage sludge. The samples were placed at the bottom of the reactor and heated to the process temperature (700, 800 or 900 °C) in the inert gas atmosphere. Next, steam was injected to the gasifier with a flow rate 5 × 10−2 mL/s. The amount of the product gas and its composition were measured with a mass flow meter and gas chromatograph Agilent 3000A, respectively.
3. Results and Discussion
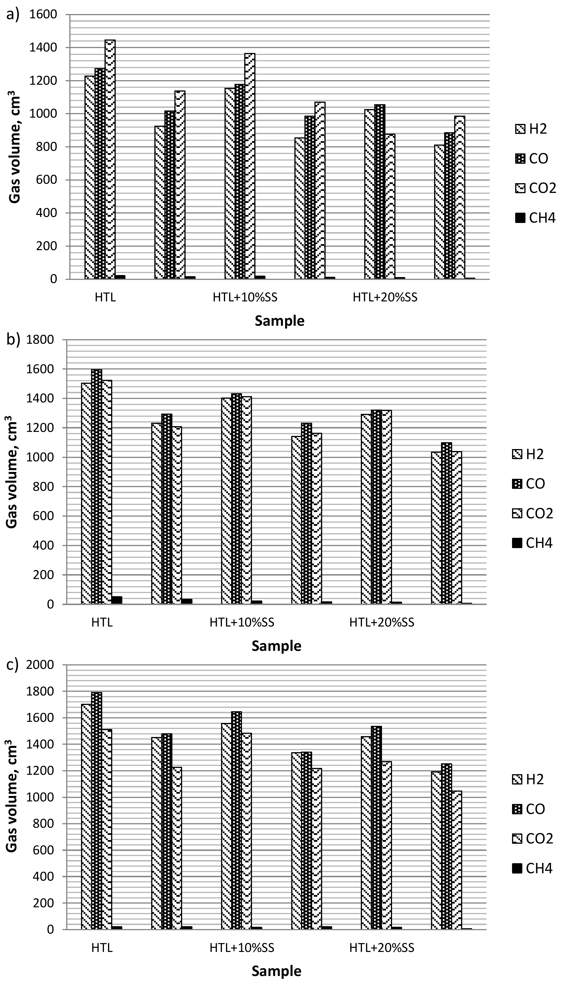
The process of sewage sludge utilization in steam co-gasification with Helianthus tuberosus L. or Miscanthus x giganteus biomass was investigated with a focus on hydrogen production. The total volumes of product gas and hydrogen were quantified (see Figure 1).
Figure 1.
Volumes of the main gaseous components produced in steam co-gasification of Helianthus tuberosus L. or Miscanthus x giganteus biomass with sewage sludge at: (a) 700 °C; (b) 800 °C; and (c) 900 °C.
The amounts of gaseous product increased with temperature. Higher total volumes of produced gas and hydrogen were observed in gasification of biomass samples than in the co-gasification of the respective fuel blends irrespective of process temperature. The highest volume of hydrogen was reported for steam gasification of Helianthus tuberosus L. biomass at 900 °C. Addition of sewage sludge as a fuel blend component resulted in a deterioration of the gasification effects in terms of the total gas yield; the relevant decrease was from 5.6% in co-gasification of Miscanthus x giganteus biomass with 10% w/w of sewage sludge at 700 °C to 8.7% for co-gasification of Helianthus tuberosus L. biomass with 10% w/w of sewage sludge at 800 °C. Higher share of sewage sludge in fuel blends (20% w/w) caused more pronounced reduction in the total gas volume when compared to gasification of energy crops biomass: from 13.2% in co-gasification of Miscanthus x giganteus to 16.9% in co-gasification of Helianthus tuberosus L. blends at 700 °C. The focus of the experimental study performed was to determine the parameters for the most effective utilization of sewage sludge in hydrogen-rich gas production in the zero-emission co-gasification approach adopted. For this purpose, the Hierarchal Clustering Analysis (HCA) was applied [29,30,31,32]. HCA is one of the most effective methods of data visualization and interpretation. It is characterized by a similarity measure used and the way the similar objects are linked (single linkage, complete linkage, average linkage, centroid linkage or Ward linkage). The results of HCA are presented in the form of dendrograms. The experimental dataset explored within the study presented was organized into matrix X (18 × 5), in which rows correspond to studied fuel samples (listed in Table 2) processed at various temperatures, while columns represent the volumes of hydrogen, carbon monoxide, carbon dioxide, methane and the total product gas (Parameter Nos. 1–5).
Table 2.
Objects of the Hierarchical Clustering Analysis—fuel samples gasified at various temperatures.
The HCA allowed investigating the similarities and dissimilarities between steam gasification and co-gasification experiments performed at various process temperatures. The resultant HCA dendrograms revealed the internal data structure in terms of objects in the parameter space and parameters in the object space, respectively, but did not allow interpreting these relationships simultaneously (Figure 2). That is why a color map of the experimental standardized data sorted according to the order of objects and parameters observed on the dendrograms was employed (see Figure 2c). The dendrogram presented in Figure 2a groups studied fuel samples (energy crops biomass and their blends with sewage sludge) gasified at 700, 800 and 900 °C into two main clusters. Cluster A collects Helianthus tuberosus L. biomass samples gasified at all studied temperatures, Miscanthus x giganteus samples processed at 800 and 900 °C (Object Nos. 1 and 3–6, respectively), Helianthus tuberosus L. biomass blends with 10% w/w of sewage sludge processed at 700, 800 and 900 °C (Object Nos. 7, 9 and 11, respectively), blends of Helianthus tuberosus L. and Miscanthus x giganteus with 10% w/w of sewage sludge processed at 900 °C (Object Nos. 11 and 12, respectively) and Helianthus tuberosus L. biomass samples of 20% w/w content of sewage sludge gasified at 800 and 900 °C (Object Nos. 15 and 17, respectively). Cluster B groups Miscanthus x giganteus biomass sample processed at 700 °C (Object No. 2), Miscanthus x giganteus blends of 10% w/w of sewage sludge content processed at 700 and 800 °C (Object Nos. 8 and 10, respectively), Helianthus tuberosus L. blends of 20% w/w of sewage sludge processed at 700 °C (Object No. 13) and Miscanthus x giganteus blends containing 20% w/w of sewage sludge processed at all studied temperatures (Object Nos. 14, 16 and 18, respectively). Furthermore, within the main clusters, sub-clusters may further be distinguished. Namely, within Cluster A, there is Sub-Cluster A1 composed of Helianthus tuberosus L. biomass gasified at 700 °C, Miscanthus x giganteus biomass processed at 800 and 900 °C (Object Nos. 1, 4 and 6, respectively), Helianthus tuberosus L. blends of 10% w/w of sewage sludge content processed at 700 and 800 °C (Object Nos. 7 and 9, respectively), Miscanthus x giganteus blends of 10% w/w of sewage sludge content processed at 900 °C (Object No. 12) and Helianthus tuberosus L. blends containing 20% w/w of sewage sludge gasified at 800 and 900 °C (Object Nos. 15 and 17, respectively). The Sub-Cluster A2 contains Helianthus tuberosus L. biomass gasified at 800 and 900 °C (Object Nos. 3 and 5, respectively) and Helianthus tuberosus L. blends of 10% w/w of sewage sludge content processed at 900 °C (Object No. 11). Within Cluster B, Sub-Cluster B1 collecting Miscanthus x giganteus biomass and blends of 10% w/w of sewage sludge content processed at 700 °C (Object Nos. 2 and 8, respectively), Helianthus tuberosus L. blends containing 20% w/w of sewage sludge processed at 700 °C (Object No. 13) and Miscanthus x giganteus blends of 20% w/w of sewage sludge content gasified at 700 and 800 °C (Object Nos. 14 and 16, respectively) may be distinguished. Sub-Cluster B2 groups Miscanthus x giganteus blend of 10% w/w of sewage sludge content gasified at 800 °C (Object No. 10) and Miscanthus x giganteus blend of 20% w/w of sewage sludge content processed at 900 °C (Object No. 18).
Figure 2.
Dendrograms of: (a) studied biomass samples (objects listed in Table 2) in the space of measured parameters; and (b) parameters in the objects space; and (c) the color map of the studied data sorted according to the Ward linkage method.
The color map of studied data was employed in a more in-depth analysis of the clustering tendency between studied fuel samples gasified at various temperatures, sorted according to the Ward linkage method (see Figure 2c). The objects collected in Cluster A were characterized by relatively higher amounts of hydrogen and carbon monoxide produced in gasification and co-gasification tests than fuel samples collected in Cluster B. Helianthus tuberosus L. samples processed at 800 and 900 °C (Object Nos. 3 and 5) and Helianthus tuberosus L. blends of 10% w/w of sewage sludge content gasified at 900 °C (Object No. 11) (see Sub-Cluster A2) were unique because of the highest hydrogen, carbon monoxide, carbon dioxide and total gas volumes (Parameter Nos. 1, 2, 3 and 5, respectively) among all studied samples. This corresponds to the highest fixed carbon content in these fuels and high process temperature providing the energy for endothermic gasification reactions. Furthermore, the uniqueness of Helianthus tuberosus L. sample gasified at 800 °C (Object No.3) was observed due to the highest amount of methane produced among all studied samples. The biomass samples collected in Sub-Cluster B1 were characterized by relatively low amounts of gaseous products. Moreover, Miscanthus x giganteus blend of 20% w/w of sewage sludge content processed at 700 °C gave the lowest amounts of hydrogen, carbon monoxide and total amount of product gases among all studied samples. Helianthus tuberosus L. blend containing 20% w/w of sewage sludge and processed at 700 °C (Object No. 13) was unique due to the lowest amount of carbon dioxide generated. These results may be attributed to both the relatively lower fixed carbon and higher volatiles content than in the case of elements of Cluster A, and lower process temperature applied which was less favorable in terms of steam gasification efficiency. Based on the simultaneous interpretation of the dendrograms of studied fuels gasified at various temperatures in the space of studied parameters with the color map of studied data the optimal conditions for production of hydrogen may be determined. The highest amount of hydrogen was reported in Helianthus tuberosus L. gasification at the highest tested temperature. This observation suggests that the effective utilization of sewage sludge for hydrogen-rich gas production in co-gasification with selected biomass should be focused on Helianthus tuberosus L. Indeed, based on the results obtained, it was confirmed that the highest amount of hydrogen in co-gasification was reported for Helianthus tuberosus L. blends of 10% w/w of sewage sludge at 900 °C.
4. Conclusions
Application of sewage sludge as a fuel blend component results in a deterioration of the gasification process effects in terms of the total gas yield and hydrogen yield when compared to biomass gasification, but gives the benefits of zero-emission utilization of waste material for energy purposes.
The Hierarchical Clustering Analysis employed in the exploration of experimental dataset shows that, for the objects of Cluster A, higher amounts of hydrogen and carbon monoxide produced in gasification and co-gasification are reported than for objects of Cluster B.
Helianthus tuberosus L. samples processed at 800 and 900 °C and Helianthus tuberosus L. blends of 10% w/w of sewage sludge content processed at 900 °C give the highest hydrogen, carbon monoxide, carbon dioxide and total gas volumes.
Miscanthus x giganteus blend of 20% w/w of sewage sludge content processed at 700 °C gives the lowest amounts of hydrogen, carbon monoxide and total gas volume.
The optimal results in terms of hydrogen production in co-gasification of selected biomass and sewage sludge, determined based on HCA analysis of experimental dataset, are reported for Helianthus tuberosus L. blends of 10% w/w of sewage sludge content processed at 900 °C.
Acknowledgments
This work was supported by the Ministry of Science and Higher Education, Poland (Grant No 11157018).
Author Contributions
Adam Smoliński and Natalia Howaniec conceived, designed and performed the experiments; Adam Smoliński and Andrzej Bąk analyzed the data; Adam Smoliński, Natalia Howaniec and Andrzej Bąk wrote the paper.
Conflicts of Interest
The authors declare no conflict of interest. The founding sponsors had no role in the design of the study; in the collection, analyses, or interpretation of data; in the writing of the manuscript, and in the decision to publish the results.
References
- Singh, R.P.; Agrawal, M. Potential benefits and risks of land application of sewage sludge. Waste Manag. 2008, 28, 347–358. [Google Scholar] [CrossRef] [PubMed]
- Camargo, F.P.; Tonello, P.S.; dos Santos, A.C.A.; Silveira Duarte, I.C. Removal of Toxic Metals from Sewage Sludge Through Chemical, Physical, and Biological Treatments—A Review. Water Air Soil Pollut. 2016, 227, 433. [Google Scholar] [CrossRef]
- Garrido-Baserba, M.; Molinos-Senante, M.; Abelleira-Pereira, J.M.; Fdez-Güelfo, L.A.; Poch, M.; Hernandez-Sancho, F. Selecting sewage sludge treatment alternatives in modern wastewater treatment plants using environmental decision support systems. J. Clean. Prod. 2015, 107, 410–419. [Google Scholar] [CrossRef]
- Kokalj, F.; Arbiter, B.; Samec, N. Sewage sludge gasification as an alternative energy storage model. Energy Convers. Manag. 2017, 149, 738–747. [Google Scholar] [CrossRef]
- Ramos, A.; Monteiro, E.; Silva, V.; Rouboa, A. Co-gasification and recent developments on waste-to-energy conversion: A Review. Renew. Sustain. Energy Rev. 2018, 81, 380–398. [Google Scholar] [CrossRef]
- Skoglund, N.; Bäfver, L.; Fahlströmd, J.; Holmén, E.; Renström, C. Fuel design in co-combustion of demolition wood chips and municipal sewage sludge. Fuel Process. Technol. 2016, 141, 196–201. [Google Scholar] [CrossRef]
- Liu, J.; Huang, L.; Buyukada, M.; Evrendilek, F. Response surface optimization, modeling and uncertainty analysis of mass loss response of co-combustion of sewage sludge and water hyacinth. Appl. Therm. Eng. 2017, 125, 328–335. [Google Scholar] [CrossRef]
- Xiao, Z.; Yuan, X.; Jiang, L.; Chen, X.; Li, H.; Zeng, G.; Leng, L.; Wang, H.; Huang, H. Energy recovery and secondary pollutant emission from the combustion of co-pelletized fuel from municipal sewage sludge and wood sawdust. Energy 2015, 91, 441–450. [Google Scholar] [CrossRef]
- Lin, Y.; Liao, Y.; Yu, Z.; Fang, S.; Ma, X. The investigation of co-combustion of sewage sludge and oil shale using thermogravimetric analysis. Thermochim. Acta 2017, 653, 71–78. [Google Scholar] [CrossRef]
- Niu, S.; Chen, M.; Li, Y.; Song, J. Co-combustion characteristics of municipal sewage sludge and bituminous coal. J. Therm. Anal. Calorim. 2018, 131, 1821–1834. [Google Scholar] [CrossRef]
- Deng, S.; Tan, H.; Wang, X.; Yang, F.; Cao, R.; Wang, Z.; Ruan, R. Investigation on the fast co-pyrolysis of sewage sludge with biomass and the combustion reactivity of residual char. Bioresour. Technol. 2017, 239, 302–310. [Google Scholar] [CrossRef] [PubMed]
- Ma, W.; Du, G.; Li, J.; Fang, Y.; Hou, L.; Chen, G.; Ma, D. Supercritical water pyrolysis of sewage sludge. Waste Manag. 2017, 59, 371–378. [Google Scholar] [CrossRef] [PubMed]
- Zhang, W.; Yuan, C.; Xu, J.; Yang, X. Beneficial synergetic effect on gas production during co-pyrolysis of sewage sludge and biomass in a vacuum reactor. Bioresour. Technol. 2015, 183, 255–258. [Google Scholar] [CrossRef] [PubMed]
- Hu, M.; Gao, L.; Chen, Z.; Ma, C.; Zhou, Y.; Chen, J.; Ma, S.; Laghari, M.; Xiao, B.; Zhang, B.; et al. Syngas production by catalytic in-situ steam co-gasification of wet sewage sludge and pine sawdust. Energy Convers. Manag. 2016, 111, 409–416. [Google Scholar] [CrossRef]
- Gai, C.; Chen, M.; Liu, T.; Peng, N.; Liu, Z. Gasification characteristics of hydrochar and pyrochar derived from sewage sludge. Energy 2016, 113, 957–965. [Google Scholar] [CrossRef]
- Zhu, J.G.; Yao, Y.; Lu, Q.G.; Gao, M.; Ouyang, Z.Q. Experimental investigation of gasification and incineration characteristics of dried sewage sludge in a circulating fluidized bed. Fuel 2015, 150, 441–447. [Google Scholar] [CrossRef]
- Pinto, F.; Andre, R.N.; Lopes, H.; Dias, M.; Gulyurtlu, I.; Cabrita, I. Effect of experimental conditions on gas quality and solids produced by sewage sludge cogasification. Sewage sludge mixed with biomass. Energy Fuel 2008, 22, 2314–2325. [Google Scholar] [CrossRef]
- Li, H.; Chen, Z.; Huo, C.; Hu, M.; Guo, D.; Xiao, B. Effect of bioleaching on hydrogen-rich gas production by steam gasification of sewage sludge. Energy Convers. Manag. 2015, 106, 1212–1218. [Google Scholar] [CrossRef]
- Chao, G.; Guo, Y.; Liu, T.; Peng, N.; Liu, Z. Hydrogen-rich gas production by steam gasification of hydrochar derived from sewage sludge. Int. J. Hydrog. Energy 2016, 41, 3363–3372. [Google Scholar]
- Chiang, K.Y.; Lu, C.H.; Liao, C.K.; Hsien-Ruen, R. Characteristics of hydrogen energy yield by co-gasified of sewage sludge and paper-mill sludge in a commercial scale plant. Int. J. Hydrogen Energy 2016, 41, 21641–21648. [Google Scholar] [CrossRef]
- Methling, T.; Armbrust, N.; Haitz, T.; Speidel, M.; Poboss, N.; Braun-Unkhoff, M.; Dieter, H.; Kempter-Regel, B.; Kraaij, G.; Schliessmann, U.; et al. Power generation based on biomass by combined fermentation and gasification—A new concept derived from experiments and modelling. Bioresour. Technol. 2014, 169, 510–517. [Google Scholar] [CrossRef] [PubMed]
- Speidel, M.; Kraaij, G.; Wörner, A. A new process concept for highly efficient conversion of sewage sludge by combined fermentation and gasification and power generation in a hybrid system consisting of a SOFC and a gas turbine. Energy Convers. Manag. 2015, 98, 259–267. [Google Scholar] [CrossRef]
- Smoliński, A.; Howaniec, A. Co-gasification of coal/sewage sludge blends to hydrogen-rich gas with the application of simulated high temperature reactor excess heat. Energy 2016, 41, 8154–8158. [Google Scholar] [CrossRef]
- Cormos, C.C. Hydrogen and power co-generation based on coal and biomass/solid wastes co-gasification with carbon capture and storage. Int. J. Hydrogen Energy 2012, 37, 5637–5648. [Google Scholar] [CrossRef]
- Smoliński, A.; Howaniec, N. Thermal Utilization of Sewage Sludge in the Process of Steam Co-Gasification with Coal to Hydrogen-Rich Gas. In Proceedings of the 17th International Multidisciplinary Scientific GeoConference SGEM 2017, SGEM2017 Vienna GREEN Conference proceedings, Vienna, Austria, 27–29 November 2017; Volume 17, pp. 829–836. [Google Scholar]
- Howaniec, N.; Smoliński, A. Effect of fuel blend composition on the efficiency of hydrogen-rich gas. Fuel 2014, 128, 442–450. [Google Scholar] [CrossRef]
- Howaniec, N.; Smoliński, A. Influence of fuel blend ash components on steam co-gasification of coal and biomass—Chemometric study. Energy 2014, 78, 814–825. [Google Scholar] [CrossRef]
- Smoliński, A. Coal char reactivity as a fuel selection criterion for coal-based hydrogen-rich gas production in the process of steam gasification. Energy Convers. Manag. 2011, 52, 37–45. [Google Scholar] [CrossRef]
- Kaufman, L.; Rousseeuw, P.J. Finding Groups in Data; an Introduction to Cluster Analysis; Wiley: New York, NY, USA, 1990. [Google Scholar]
- Romesburg, H.C. Cluster Analysis for Researchers; Lifetime Learning Publications: Belmont, CA, USA, 1984. [Google Scholar]
- Howaniec, N.; Smoliński, A.; Cempa-Balewicz, M. Experimental study of nuclear high temperature reactor excess heat use in the coal and energy crops co-gasification process to hydrogen-rich gas. Energy 2015, 84, 455–461. [Google Scholar] [CrossRef]
- Massart, D.L.; Kaufman, L. The Interpretation of Analytical Data by the Use of Cluster Analysis; Wiley: New York, NY, USA, 1983. [Google Scholar]
© 2018 by the authors. Licensee MDPI, Basel, Switzerland. This article is an open access article distributed under the terms and conditions of the Creative Commons Attribution (CC BY) license (http://creativecommons.org/licenses/by/4.0/).

