Numerical Investigation on the Heat Extraction Capacity of Dual Horizontal Wells in Enhanced Geothermal Systems Based on the 3-D THM Model
Abstract
:1. Introduction
1.1. Background
1.2. Research Objectives
2. THM Coupled Model
2.1. The Governing Equation
2.1.1. Rock Mass Stress Field Governing Equation
2.1.2. Rock Mass Flow Field Governing Equation
2.1.3. Rock Mass Temperature Field Governing Equation
2.2. Local Thermal Non-Equilibrium Theory
2.3. Multiphysics Coupling Characteristics
2.3.1. TH Coupling Characteristics of Work Fluid
2.3.2. HM Coupling Characteristics in Fractured Surface
3. EGS Horizontal Well Geothermal Exploitation Model
3.1. Computational Model
3.2. Computational Parameters
3.3. Initial and Boundary Conditions
4. Thermal Recovery Evaluation System
4.1. Thermal Recovery Lifespan
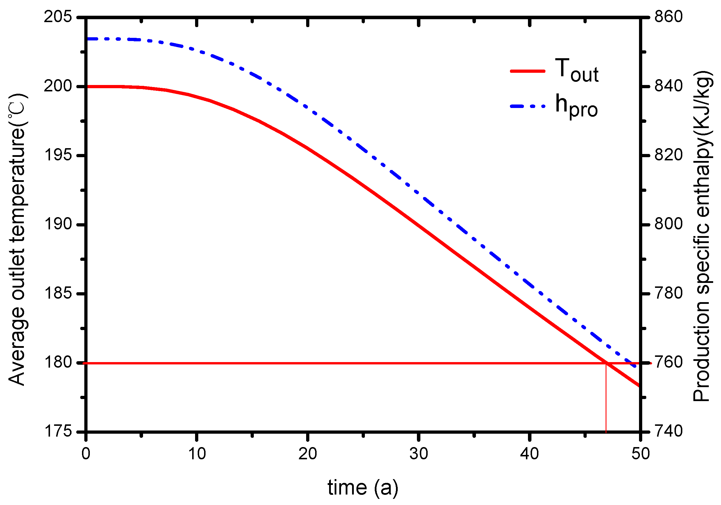
4.2. Average Outlet Temperature
4.3. Heat Production
4.4. Energy Efficiency
4.5. Heat Recovery Rate
5. Results and Discussions
5.1. Production Temperature and Thermal Recovery Lifespan
5.2. Distribution of Temperature
5.3. Heat Production and Power Generation
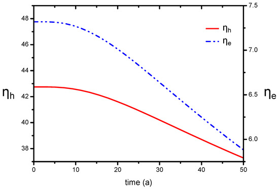
5.4. Energy Efficiency
5.5. Heat Recovery Rate
6. Conclusions
- (1)
- In order to recover the drastic decrease of temperature in fractured reservoir, the entire lifecycle of the model described here is about 45 years, which can meet the commercial target with thermal recovery lifespan of 15−20 years.
- (2)
- The EGS heat extraction depends strongly on the fluid flow in the thermal reservoir. The low-temperature zone near the fracture channel expands faster compared to the rock matrix region, because the penetrating fractures form the main water flow region with higher water velocity and more obvious convection effect.
- (3)
- The variation trend of heat production and power generation is both increased at first and then gradually decreased, and they meet the commercial requirements. However, based on flash steam power plants, energy efficiency and heat recovery rate are still at a fairly low level.
- (4)
- A large amount of thermal energy still remains in the reservoir, which needs further optimization of production conditions and thermal reservoir construction design. According to the actual geological structure, selection of the appropriate well type, well quantity and reasonable injection-production ratio is necessary. Based on the fracture orientation, adjustment the direction of the line connecting injection well and production well is necessary. Given that the advance in geothermal power generation technology, e.g., binary cycle power plants and lower temperature production will be utilized, the system energy efficiency will be obviously improved.
Acknowledgments
Author Contributions
Conflicts of Interest
Nomenclature
| stress tensor (Pa) | |
| displacement (m) | |
| body force per unit volume in the i-coordinate(i = x, y, z in 3D) (Pa) | |
| elastic modulus (Pa) | |
| Poisson’s ratio | |
| hydraulic pressure (Pa) | |
| Biot’s constant | |
| rock temperature (K) | |
| water temperature in fracture (K) | |
| thermal expansion coefficient | |
| k | fracture stiffness (Pa/m) |
| normal displacement of fracture (m) | |
| tangential displacement of fracture (m) | |
| effective stress of fracture (Pa) | |
| t | time (s) |
| dynamic viscosity of fluid (Pa·s) | |
| water flow rate (m/s) | |
| rock permeability (m2) | |
| fracture permeability (m2) | |
| volumetric strain of rock mass | |
| volumetric strain of fracture surface | |
| storage coefficient of rock mass (1/Pa) | |
| storage coefficient of fracture (1/Pa) | |
| source-sink term of the seepage process (1/s) | |
| flow exchange between rock mass and fracture surface (m/s) | |
| fracture width (m) | |
| rock density (kg/m3) | |
| water density (kg/m3) | |
| thermal conductivity of rock mass (W/m/K) | |
| thermal conductivity of water (W/m/K) | |
| heat capacity of rock block (J/kg/K) | |
| heat capacity of water (J/kg/K) | |
| heat source (W/m3) | |
| heat absorbed from matrix block on fracture surface (W/m2) | |
| water flow velocity in fracture (m/s) | |
| convection coefficient (W/m2/K) | |
| absolute temperature (K) | |
| function of water temperature and pressure, generally not exceeding 6% of | |
| kinematic viscosity coefficient | |
| normal stress of fracture surface (Pa) | |
| initial permeability in the case of (m2) | |
| influence coefficient | |
| length integral of the output along fracture | |
| surface integral of the output along the matrix rock block | |
| injection specific enthalpy (kJ/kg) | |
| production specific enthalpy (kJ/kg) | |
| q | total production rate (kg/s) |
| heat production (MWe) | |
| power generation (MWe) | |
| energy consumption of injection pump (MWe) | |
| energy consumption of suction pump (MWe) | |
| total energy consumption (MWe) | |
| reinjection temperature of injection well (K) | |
| pump efficiency | |
| dV | volume of injected water per second (m3/s) |
| depth of injection well (m) | |
| depth of production well (m) | |
| energy consumption based on heat production | |
| energy consumption based on power generation | |
| local heat recovery rate | |
| overall heat recovery rate | |
| rock temperature at the initial time (K) | |
| rock temperature at time t (K) | |
| temperature of the injected fluid (K) |
References
- Massachusetts Institute of Technology. The Future of Geothermal Energy: Impact of Enhanced Geothermal Systems (EGS) on the United States in the 21st Century; MIT: Cambridge, MA, USA, 2006. [Google Scholar]
- Brown, D. The US hot dry rock program-20 years of experience in reservoir testing. In Proceedings of the World Geothermal Congress, Florence, Italy, 18–31 May 1995; pp. 2607–2611. [Google Scholar]
- Hu, J.; Su, Z.; Wu, N.Y.; Zhai, H.Z.; Zeng, Y.C. Analysis on temperature fields of thermal-hydraulic coupled fluid and rock in Enhanced Geothermal System. Prog. Geophys. 2014, 29, 1391–1398. [Google Scholar]
- Wang, X.X.; Wu, N.Y.; Su, Z.; Zeng, Y.-C. Progress of the enhanced geothermal systems (EGS) development technology. Prog. Geophys. 2012, 27, 355–362. [Google Scholar]
- Chamorro, C.; Mondéjar, M.E.; Ramos, R.; Segovia, J.J.; Martín, M.C.; Villamañán, M.A. World geothermal power production status: Energy, environmental and economic study of high enthalpy technologies. Energy 2012, 42, 10–18. [Google Scholar] [CrossRef]
- Brown, D.W. Hot dry rock geothermal energy: Important lessons from Fenton Hill. In Proceedings of the Thirty-Fourth Workshop on Geothermal Reservoir Engineering, Stanford, CA, USA, 9–11 February 2009. [Google Scholar]
- Ziagos, J.; Phillips, B.R.; Boyd, L.; Jelacic, A.; Stillman, G.; Hass, E. A technology roadmap for strategic development of enhanced geothermal systems. In Proceedings of the Thirty-Eighth Workshop on Geothermal Reservoir Engineering, Stanford, CA, USA, 11–13 February 2013. [Google Scholar]
- Stephens, J.C.; Jiusto, S. Assessing innovation in emerging energy technologies: Socio-technical dynamics of carbon capture and storage (CCS) and enhanced geothermal system (EGS) in the USA. Energy Policy 2010, 38, 2020–2031. [Google Scholar] [CrossRef]
- Sanyal, S.K.; Butler, S.J. An analysis of power generation prospects from enhanced geothermal systems. In Proceedings of the World Geothermal Congress, Antalya, Turkey, 24–29 April 2005. [Google Scholar]
- Zeng, Y.C.; Su, Z.; Wu, N.Y. Numerical simulation of heat production potential from hot dry rock by water circulating through two horizontal wells at Desert Peak geothermal field. Energy 2013, 56, 92–107. [Google Scholar] [CrossRef]
- Cao, W.J.; Huang, W.B.; Jiang, F.M. The thermal-hydraulic-mechanical coupling effects on heat extraction of enhanced geothermal systems. Adv. New Renew. Energy 2015, 3, 444–451. [Google Scholar]
- Tang, Z.W.; Mi, H.; Zhang, X.F.; Liu, A.J. Numerical simulation and analysis of the coupled for heat-fluid-solid in enhanced geothermal systems. J. Beijing Univ. Technol. 2016, 42, 1560–1564. [Google Scholar]
- Noorishad, J.; Tsang, C.F.; Witherspoon, P.A. Coupled thermal-hydraulic-mechanical phenomena in saturated fractured porous rocks: Numerical approach. J. Geophys. Res. Atmos. 1973, 89, 10365–10373. [Google Scholar] [CrossRef]
- Jiang, F.; Luo, L.; Chen, J. A novel three-dimensional transient model for subsurface heat exchange in enhanced geothermal systems. Int. Commun. Heat Mass Transf. 2013, 41, 57–62. [Google Scholar] [CrossRef]
- Jiang, F.; Chen, J.; Huang, W.; Luo, L. A three-dimensional transient model for EGS subsurface thermo-hydraulic process. Energy 2014, 72, 300–310. [Google Scholar] [CrossRef]
- Lei, H.; Xu, T.; Jin, G. TOUGH2 Biot—A simulator for coupled thermal–hydrodynamic–mechanical processes in subsurface flow systems: Application to CO2 geological storage and geothermal development. Comput. Geosci. 2015, 77, 8–19. [Google Scholar] [CrossRef]
- Rutqvist, J. Status of the TOUGH-FLAC simulator and recent applications related to coupled fluid flow and crustal deformations. Comput. Geosci. 2011, 37, 739–750. [Google Scholar] [CrossRef]
- Rinaldi, A.P.; Rutqvist, J.; Sonnenthal, E.L.; Cladouhos, T.T. Coupled THM modeling of hydroshearing stimulation in tight fractured volcanic rock. Transp. Porous Media 2015, 108, 131–150. [Google Scholar] [CrossRef]
- Sun, Z.X.; Zhang, X.; Xu, Y.; Yao, J.; Wang, H.-X.; Lv, S.H.; Sun, Z.-L.; Huang, Y.; Cai, M.-Y.; Huang, X. Numerical simulation of the heat extraction in EGS with thermal-hydraulic-mechanical coupling method based on discrete fractures model. Energy 2017, 120, 20–33. [Google Scholar] [CrossRef]
- Xu, C.; Dowd, P.A.; Zhao, F.T. A simplified coupled hydro-thermal model for enhanced geothermal systems. Appl. Energy 2015, 140, 135–145. [Google Scholar] [CrossRef]
- Zhao, Y.S.; Feng, Z.; Yang, D.; Liang, W. THM(Thermo-hydro-mechanical) coupled mathematical model of fractured media and numerical simulation of a 3D enhanced geothermal system at 573 K and buried depth 6000–7000 m. Energy 2015, 82, 193–205. [Google Scholar] [CrossRef]
- Wu, C. Hydraulics, 2nd ed.; Higher Education Press: Beijing, China, 1983. [Google Scholar]
- Hofmann, H.; Babadagli, T.; Zimmermann, G. Hot water generation for oil sands processing from enhanced geothermal systems: Process simulation for different hydraulic fracturing scenarios. Appl. Energy 2014, 113, 524–547. [Google Scholar] [CrossRef]
- Dayan, G.M. Drilling Fluid Design for Geothermal Wells. Available online: http://os.is/gogn/unu-gtp-report/UNU-GTP-2014-11.pdf (accessed on 29 November 2017).
- Rice, J.R. Fault stress states, pore pressure distributions, and the weakness of the San Andreas fault. Int. Geophys. 1992, 51, 475–503. [Google Scholar]
- Miller, S.A. Modeling enhanced geothermal systems and the essential nature of large-scale changes in permeability at the onset of slip. Geofluids 2015, 15, 338–349. [Google Scholar] [CrossRef]
- Zhang, S.G.; Li, Y.J. The Heat-Transfer Mechanism and Application of Fractured Rock in Fluid-Solid Coupling; Northeastern University Press: Shenyang, China, 2012. [Google Scholar]
- Chen, J.L.; Jiang, F.M.; Luo, L. Numerical simulation of down-hole seepage flow in enhanced geothermal system. Chin. J. Comput. Phys. 2013, 30, 871–878. [Google Scholar]
- Wang, W.; Zheng, D.; Sheng, G.; Su, Y. A review of stimulated reservoir volume characterization for multiple fractured horizontal well in unconventional reservoirs. Adv. Geo Energy Res. 2017, 1, 54–63. [Google Scholar] [CrossRef]
- Evans, K. Enhanced/engineered geothermal system: An introduction with overviews of deep systems built and circulated to date. In Proceedings of the China Geothermal Development Forum, Beijing, China, 16–18 October 2010; pp. 395–418. [Google Scholar]
- Elsworth, D. A comparative evaluation of the parallel flow and spherical reservoir models of HDR geothermal systems. J. Volcanol. Geotherm. Res. 1990, 44, 283–293. [Google Scholar] [CrossRef]
- Baria, R.; Baumgärtner, J.; Rummel, F.; Pine, R.J.; Sato, Y. HDR/HWR reservoirs: Concepts, understanding and creation. Geothermics 1999, 28, 533–552. [Google Scholar] [CrossRef]
- Pruess, K. Enhanced geothermal systems (EGS) using CO2 as working fluid—A novel approach for generating renewable energy with simultaneous sequestration of carbon. Geothermics 2006, 35, 351–367. [Google Scholar] [CrossRef]
- Younas, U.; Khan, B.; Ali, S.M.; Arshad, C.M.; Farid, U.; Zeb, K.; Rehman, F.; Mehmood, Y.; Vaccaro, A. Pakistan geothermal renewable energy potential for electric power generation: A survey. Renew. Sustain. Energy Rev. 2016, 63, 398–413. [Google Scholar] [CrossRef]











| Simulation Software | Development Agency | Computational Method | Software Feature |
|---|---|---|---|
| COMSOL Multiphysics | COMSOL Co. Ltd. Stockholm, Sweden | FEM | Self-defining partial differential equation, automatic solution, automatic division of the grid, multiple physical problems can be arbitrarily coupled |
| Fluent | FLUENT Co. Ltd. Lebanon, NH, USA | FVM | Dynamic/deformed mesh technology mainly solves the boundary motion, and the simulation fluid flow and heat transfer with high accuracy |
| Ansys Multiphysics | ANSYS Co. Ltd. Pittsburgh, PA, USA | FEM | Skilled in the classical mechanics problem of solid with low coupling precision |
| CMG | Computer Modelling Group Calgary, AB, Canada | FDM | Reservoir numerical simulation software, inclined to production practice |
| OpenGeoSys | Helmholtz Centre for Environmental Research (GmbH) Leipzig, SN, Germany | FEM | Open source code, self-developed model framework, to simulate individual or coupled THMC processes in porous or fractured media |
| TOUGH2 | LBNL Berkeley, CA, USA | FDM | MINC method is used to simulate multiphase flow, and the transfer of pressure and temperature between rock and injected fluid |
| TOUGH2-FLAC3D | LBNL Berkeley, CA, USA | FDM | Numerical simulation of CO2 storage under different storage conditions and multiphysics coupling problem in EGS |
| Parameters | Symbols | Units | Value |
|---|---|---|---|
| fluid density | kg/m3 | 1000 | |
| fluid heat capacity | J/kg/K | 4200 | |
| fluid thermal conductivity | W/m/K | 0 | |
| dynamic viscosity | Pa·s | 0.001 | |
| rock density | kg/m3 | 2700 | |
| rock heat capacity | J/kg/K | 1000 | |
| rock thermal conductivity | W/m/K | 3 | |
| elastic modulus | E | GPa | 30 |
| Poisson ratio | 1 | 0.25 | |
| thermal expansion coefficient | K−1 | 2.0 × 10−6 | |
| Porosity | 1 | 0.01 | |
| matrix rock permeability | m2 | 1.0 × 10−15 | |
| fracture permeability | m2 | 1.0 × 10−10 | |
| Fracture width | m | 0.001 | |
| normal stiffness | t | GPa/m | 400 |
| tangential stiffness | n | GPa/m | 1200 |
| gravity acceleration | m/s2 | 9.8 | |
| Biot’s constant | 1 | 1.0 | |
| convection coefficient | W/m2/K | 3000 |
© 2018 by the authors. Licensee MDPI, Basel, Switzerland. This article is an open access article distributed under the terms and conditions of the Creative Commons Attribution (CC BY) license (http://creativecommons.org/licenses/by/4.0/).
Share and Cite
Sun, Z.; Xin, Y.; Yao, J.; Zhang, K.; Zhuang, L.; Zhu, X.; Wang, T.; Jiang, C. Numerical Investigation on the Heat Extraction Capacity of Dual Horizontal Wells in Enhanced Geothermal Systems Based on the 3-D THM Model. Energies 2018, 11, 280. https://doi.org/10.3390/en11020280
Sun Z, Xin Y, Yao J, Zhang K, Zhuang L, Zhu X, Wang T, Jiang C. Numerical Investigation on the Heat Extraction Capacity of Dual Horizontal Wells in Enhanced Geothermal Systems Based on the 3-D THM Model. Energies. 2018; 11(2):280. https://doi.org/10.3390/en11020280
Chicago/Turabian StyleSun, Zhixue, Ying Xin, Jun Yao, Kai Zhang, Li Zhuang, Xuchen Zhu, Tong Wang, and Chuanyin Jiang. 2018. "Numerical Investigation on the Heat Extraction Capacity of Dual Horizontal Wells in Enhanced Geothermal Systems Based on the 3-D THM Model" Energies 11, no. 2: 280. https://doi.org/10.3390/en11020280
APA StyleSun, Z., Xin, Y., Yao, J., Zhang, K., Zhuang, L., Zhu, X., Wang, T., & Jiang, C. (2018). Numerical Investigation on the Heat Extraction Capacity of Dual Horizontal Wells in Enhanced Geothermal Systems Based on the 3-D THM Model. Energies, 11(2), 280. https://doi.org/10.3390/en11020280
