Next Article in Journal
Performance Analysis of a RED-MED Salinity Gradient Heat Engine
Previous Article in Journal
Winding Design and Analysis for a Disc-Type Permanent-Magnet Synchronous Motor with a PCB Stator
 
 
Font Type:
Arial Georgia Verdana
Font Size:
Aa Aa Aa
Line Spacing:
Column Width:
Background:
Article

On the Dynamics of Flexible Plates under Rotational Motions

1
College of Water Conservancy and Hydropower Engineering, Hohai University, Nanjing 210024, China
2
Department of Mechanical Science and Engineering, University of Illinois, Urbana, IL 61801, USA
3
State Key Laboratory of Hydroscience and Engineering & Department of Energy and Power Engineering, Tsinghua University, Beijing 100084, China
4
Department of Aerospace Engineering, University of Illinois, Urbana, IL 61801, USA
5
Department of Civil and Environmental Engineering, University of Illinois, Urbana, IL 61801, USA
*
Author to whom correspondence should be addressed.
Energies 2018, 11(12), 3384; https://doi.org/10.3390/en11123384
Submission received: 5 November 2018 / Revised: 22 November 2018 / Accepted: 28 November 2018 / Published: 3 December 2018

Abstract

The reconfiguration of low-aspect-ratio flexible plates, required power and induced flow under pure rotation were experimentally inspected for various plate stiffness and angular velocities ω . Particle tracking velocimetry (PTV) and particle image velocimetry (PIV) were used to characterize the plate deformation along their span as well as the flow and turbulence statistics in the vicinity of the structures. Results show the characteristic role of stiffness and ω in modulating the structure reconfiguration, power required and induced flow. The inspected configurations allowed inspecting various plate deformations ranging from minor to extreme bending over 90 between the tangents of the two tips. Regardless of the case, the plates did not undergo noticeable deformation in the last ∼30% of the span. Location of the maximum deformation along the plate followed a trend s m l o g ( C a ) , where C a is the Cauchy number, which indicated that s m is roughly fixed at sufficiently large C a . The angle ( α ) between the plate in the vicinity of the tip and the tangential vector of the motions exhibited two distinctive, nearly-linear trends as a function of C a , within C a ( 0 , 15 ) and C a ( 20 , 70 ) , with a matching within these C a at C a > 70 , α 45 . Induced flow revealed a local maximum of the turbulence levels at around 60% of the span of the plate; however, the largest turbulence enhancement occurred near the tip. Flexibility of the plate strongly modulated the spatial distribution of small-scale vortical structures; they were located along the plate wake in the stiffer plate and relatively concentrated near the tip in the low-stiffness plate. Due to relatively large deformation, rotational and wake effects, a simple formulation for predicting the mean reconfiguration showed offset; however, a bulk, constant factor on ω accounted for the offset between predictions and measurements at deformation reaching ∼ 60 between the tips.

1. Introduction

Quantitative understanding of the flow-induced dynamics on thin, flexible structures is instrumental to many engineering applications and biological systems, among others [1]. Structure deformation modifies the drag scaling F U 2 of rigid bodies to U 2 + V , where U is flow velocity and V is the so-called Vogel exponent. For a range of conditions, V = 2 / 3 [2,3]; however, the drag may exhibit linear relation with U [4,5,6] for sufficient plate deformation. In addition to stiffness, mass ratio plays a role in the dynamics of flexible structures. Luhar and Nepf [7] considered the effect of buoyancy on the reconfiguration of flexible plates, and found that the drag was consistent with the theoretical predictions. Specifically, they noted that V < 1 when the dominant restoring mechanism is blade buoyancy. Schouveiler and Boudaoud [8] explored three-dimensional reconfiguration of a circular, plastic plate. Using a simplified momentum conservation model, they investigated the scaling of the drag under large structure deformation and also found a Vogel exponent V = 2 / 3 . In general, experimental evidence shows significant variation of V 1 / 5 to 6 /5 [9]. Very recently, Bhati et al. [1] studied the deformation of a flexible plate under uniform flow at low Reynolds Numbers and found that the total drag decreases with respect to that from rigid structures; however, a drag increase may occur at sufficiently large deformation. Relatively few studies have explored the impact of mean shear on the dynamics of flexible plates and the associated drag. Henriquez and Barrero-Gil [10] investigated the role of mean shear on plate reconfiguration and Vogel exponent; they found a significant effect of the mean shear on V and proposed a model to account for such effect. Leclercq and De Langre [11] proposed a theoretical framework to derive V on flexible beams under non-uniform incoming flows. Luhar and Nepf [12] studied the plate deformation under wavy motions and found that the force on the flexible blades exceeded those generated by rigid blades; they argued that this behavior is associated with unsteady vortex shedding.
Of particular relevance in energy is the case of plates under rotation. Deformation of flexible structures under pure rotation may result in significant, non-homogeneous stresses. This problem is common in engineering systems including turbine blades, propellers and mixers [13], among others [14,15,16]. Characterization of the associated effects on the flow is also of high relevance to quantify phenomena related to transport, mixing and redistribution of forces. Satjaritanun et al. [16] experimentally and numerically explored mixing using counter-rotating propellers, and found improved efficiency with lower torque requirement. Young [15] numerically inspected flexible propellers in (sub-)cavitating flows, and showed that changes in the local flow field due to blade deformation alter pressure distribution, cavitation patterns, and propeller efficiency. Using the Euler–Bernoulli formulation, Banerjee and Kennedy [17] proposed an analytical solution for the case of a uniform bean under rotation. Wang et al. [14] studied the vortex-induced vibration of a rotating blade, which was modeled as a uniform cantilever beam using Van der Pol oscillator and used bifurcation analysis; they found that the coupled model is able to account for some of the rich dynamic response. Jin et al. [18] reported that autorotation of two-dimensional flat plates can be triggered with the rotation axis off from the symmetry axis. Following work by Jin et al. [19] showed that such autorotation is also possible under high incoming turbulence. Rostami and Fernandes [20] derived an analytical expression for the total moment applied on a rotating body into a flow current. They decomposed the total torque, rotational and mutual effects; the mutual component is refereed to the simultaneous contribution of the current velocity and the plate rotation. Their expression allows inspection of the stability of rotational motions. Ozen and Rockwell [21] characterized the flow on a low-aspect-ratio, rotating plate and explored the dynamics of the leading-edge vortices, and found that vorticity distribution and circulation of these flow structures are determined as a function of angle of attack and related to the velocity field oriented toward, and extending along, the leeward surface of the plate. Kim and Gharib [22] investigated the dynamics of plates induced vortices of translating and rotating plates at various Reynolds numbers; they found common and distinctive features of the flow and the direct modulation of vorticity distributions on the changes in lift.
Despite these efforts, the characteristics of the induced flow and reconfiguration of flexible plates under pure rotation is still not well understood. This research tackled these problems for a variety of plate stiffness and rotational speed. For this purpose, particle tracking velocimetry (PTV) and particle image velocimetry (PIV) were used to capture the deformation of the structures and the flow statistics in the vicinity of the structures. The experimental setup is described in Section 2; the experimental results and discussion are provided in Section 3; and final remarks are given in Section 4.

2. Experimental Setup

The experiments were conducted in a 2 m long, rectangular water tank of 0.4 m × 0.4 m cross-section filled with 0.38 m high, quiescent water. Three, two-plate assemblies composed of rectangular structures separated 180 and attached to a vertically-mounted shaft were rotated a various angular velocities ω . The plates shared the frontal area of length L = 80 mm and width b = 8 mm as well as the density ρ p = 1200 kg m 3 . The plates in each assembly had thicknesses of ϵ 1 = 0.25 mm, ϵ 2 = 0.5 mm, and ϵ 3 = 0.75 mm (henceforth thin, medium and thick, respectively), corresponding to Young’s modulus of E = 2.65 GPa, 2.63 GPa and 2.44 GPa, respectively. Each assembly was placed horizontally at the center of the tank and exposed to five constant rotational speeds of ω = 60 rpm, 75 rpm, 90 rpm, 105 rpm, and 120 rpm. A microcontroller was used to precisely set the rotational speed of the motor driving the plate rotations over Reynolds numbers R e = ω r t i p b / ν [ 3.9 , 9.5 ] × 10 3 , where r t i p is the distance of the deformed plate tip to the rotation center and ν is the kinematic viscosity of water. The parameter space and setup allowed exploring a wide range of plate reconfiguration and induced flow that may be of use in multiple problems. A NEIKO 20713A Digital Tachometer was used to ensure constant rotation speed within a ± 0.05 % accuracy, and the TP3005N TEKPOWER Digital Measuring Instrument was used to obtain the power required. A general schematic of the setup is shown in Figure 1.
A particle tracking velocimetry (PTV) system was used to characterize the reconfiguration of the plates along their span. It considered a 4 MP Mikrotron EoSens 4CXP MC4082 high-speed camera with a Nikon AF Micro-Nikkor lens with a focal length of 60 mm and a focal ratio of f/2.8; details of the PTV system can be found in Kim et al. [23]. Multiple fiducial points every 10 mm were added along one side of the plates to perform the tracking, where illumination was provided with two Stanley Lithium Ion Halogen Spotlights. The motion of the structures was tracked at 300 Hz for periods of 30 s (i.e., 9000 images). At each instant, the shape of the plates was obtained by linking the fiducial points using a high-order, piecewise polynomial interpolation.
Here, a high-speed particle image velocimetry (PIV) system from TSI was used to characterize the flow field within an horizontal plane crossing the center of the two-plate assemblies. A field of view (FOV) of 140 mm × 100 mm was illuminated using a 1 mm thick laser sheet supplied by 50 mJ diode pumped laser from TerraTM. The flow was seeded with 11 μ m, silver-coated hollow glass spheres with a density of 1.1 g cm 3 . The induced flow was characterized with a 4 MP (2560 × 1600 pixels), 16-bit, frame straddle, charge-coupled device (CCD) camera. Eighteen hundred image pairs were collected for each of the fifteen cases (five rotation speeds for each of the three plate assemblies) at a frequency of 300 Hz. The image pairs were interrogated with a recursive cross correlation method using the Insight 4G software from TSI. See also Vila et al. [24] and Vinuesa and Nagib [25] for complementary discussion. The size of the final interrogation window was 32 × 32 pixels with 50% overlap, resulting in a final vector grid spacing Δ x = Δ y = 0.83 mm.

3. Results and Discussion

In this section, we describe and characterize the reconfiguration of the plate assemblies for various thicknesses and rotational speeds. Power required in each case as well as the induced flow and turbulence statistics are also included to complement the analysis.
The various combinations of plate stiffness and rotational speeds defined in the previous section led to a variety of reconfigurations; namely, small deformations (Figure 2a), large deformations (Figure 2b) and extreme reconfiguration sets with deformations over 90 between the tangents of the plate tips. The dashed lines shown in the various plate reconfigurations indicate the section of the plates that underwent negligible deformation. Those sections were located around the top tip and resulted Δ s 3 L / 8 of the thick and medium plates, and Δ s L / 4 of the thin plate, where s denotes the intrinsic coordinate along the structure. Interestingly, Δ s was primarily dependent on the plate stiffness and weakly on ω . Conversely, the location of the maximum deformation, s m , where curvature reaches a maximum, followed a trend s m l o g ( C a ) , where C a = ρ f b u T 2 L 3 / ( E I ) is the Cauchy number, and I = b ϵ 3 / 12 is the second moment of the area (see Figure 3). This indicates that s m changes slightly at sufficiently large C a .
Common and distinctive features of the plate deformations for the various cases are uncovered with the angle α between the tangential of the plate in the vicinity of the tip u ^ p and the instantaneous direction of the tip motion u ^ θ (see Figure 4a) as a function of C a . Note that the instantaneous velocity of the tip is u θ = ω R , where R is the distance from the tip to the center of rotation. The resultant distribution α = f ( C a ) for all the cases is illustrated in Figure 4b. It reveals two distinctive, nearly-linear trends; one of them with a relatively large slope within a comparatively low C a ( 0 , 15 ) , and the other with a mild slope within C a ( 20 , 70 ) . These two tends merge within a relatively narrow matching interval C a ( 15 , 20 ) . Note the limiting case of α 90 as C a 0 , which is an expected asymptotic behavior, and α 45 for sufficiently large C a . Note also that the matching region between the two trends occur when the angle between the two tips (base and top) is in the vicinity of θ 90 .
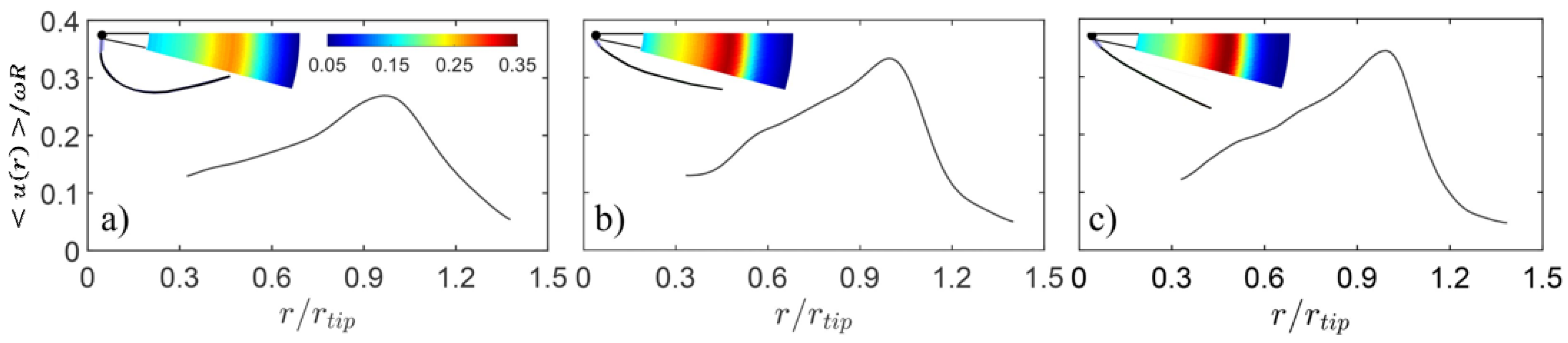
The induced wake exhibited interesting features that provide insight on the reconfiguration of the rotating plates. Figure 5 illustrates phase-locked velocity magnitude | | u | | in the vicinity of the thick plate along its span for selected ω . Note that the velocity distributions near the plates are not proportional to the distance from the axis of rotation. Lateral shedding and some background turbulence from the previous cycle and plate reconfiguration may modulate the flow, where maximum level occurs near the tip; this effect is stressed with increasing ω . Note also the induced flow right upstream of the plates, which extended on the order of the plate width; i.e., consistent with flow impinging bluff bodies. In addition, Figure 5 shows the sharp shear layer at the tip of the thick plate, which lead to flow instability, namely Kelvin–Helmholtz type, and the formation of energetic tip-vortex structures illustrated later. The features of the flow near the plates is, in general, consistent in the other cases; for instance, Figure 6 shows the case of the medium plate at ω = 120 rpm. Although minor, Figure 5 and Figure 6 reveal a trace of the induced flow from the preceding plate near the upstream tip of the structures. Complementary insight is obtained with the time and spatial average of the velocity magnitude u ( r ) = 0 T 0 0 2 π u ( r , ϕ ) d ϕ d t as a function of the distance from the axis of rotation (r), which is illustrated in Figure 7 for ω = 60 rpm. As expected, u ( r ) increased monotonically with r and reached the maximum near the tip, i.e., r / r t i p 1 ; however, there is a distinctive difference with the thin plate. Indeed, the distributions of the medium and thick plates roughly resemble that of a canonic vortex profile; i.e., linear increase of the velocity for r / r t i p 1 marking a solid-body-rotation-like state, which is followed by a fast decay of the velocity for r / r t i p > 1 , resembling an inviscid-like motion. This feature is not clear with the thin plate; the velocity decay in the external region r / r t i p > 1 was not sharp, possibly due to the induced flow by the large deformation.
Similarly, in-plane turbulence kinetic energy T K E in the vicinity of the plates showed particular features of the induced flow. Figure 8 illustrates that along the span of the thick plate for selected ω ; there, T K E is promoted by the continuous shear layer across the plates. Interestingly, a local maximum near the plates occurs at r / r t i p 0.6 . However, this is not the strongest signature in the spatially averaged field, which is located around the tip. Figure 8 also reveals a strong shear undergoing instability. The spatially averaged, dominant effect of the tip is revealed in Figure 9 for the three plates at selected ω = 90 rpm. Maximum level of T K E are produced at r / r t i p 1 with levels increasing with the stiffness of the plates for a given ω . It also reveals the secondary effect at r / r t i p 0.6 .
Complementary inspection of the efficiency of the plate rotation on the flow mixing was performed with measurements of the power required to keep the constant rotation. This was achieved with simultaneous measurement of the voltage and current of the motor. Additional characterization of the case with a a rigid plate sharing the same geometry of all other structures was included as a reference. Interestingly, the plate thickness significantly modulated the power-law relationship between ω and P. The power of the rigid and thicker plates followed a quadratic dependence on ω ; however, it resulted in nearly-linear and sub-quadratic trends for the thiner and the thinest structures (see Figure 10). The relative larger reconfiguration of the thinner plates induced lower hydrodynamic load [7] and, consequently, power. The turbulent mixing associated to the T K E distribution along the radial direction are illustrated in Figure 11 and Figure 12. Similar to the trends of power consumption, plates with lower stiffness induced lower bulk fluctuations. A qualitative comparison between these two suggests that the plate with medium thickness provides a better mixing for a given power.
Instantaneous vortical structures shed by the plates are illustrated with the signed swirling strength Λ c i in Figure 13 and Figure 14 for selected cases. This quantity is the magnitude of the imaginary part of the complex eigenvalues of the local velocity gradient tensor [26], and the swirling orientation is represented with the sign of Λ c i [27], where positive sign represents counter-clockwise rotation. For a given ω , relatively larger bending due to lower stiffness resulted in a concentration of coherent motions around the region swept by the near tip. Such distribution of the vortices was promoted by the distinctive induced radial velocity component with larger bending. In contrast, with low bending the coherent motions were distributed along the span of the plate wake. This phenomenon is illustrated in Figure 13 for the thin and thick plates at ω = 60 rpm. Note also that the spatially distributed vortices in the stiffer plate impinged the next plate under relatively high ω (see Figure 14).
The estimation of reconfiguration patterns using basic models dealing with parallel incoming flow may be affected by the distinctive dynamics of these flows. However, application of such models may be applicable with a bulk correction. Indeed, let us consider a simple formulation based on the model by Chen [28]. Here, the local velocity at s along the plate (see Figure 4a) is given by:
u θ = r ( s ) ω
We consider the normal pressure force produced by u θ , where the effective velocity u n is the component perpendicular to the local surface (Figure 4):
u n = u θ sin ( α ) d f = 1 / 2 C d ρ f u n 2 b d s
Here, d f is the local pressure force experienced by a differential section d A = b × d s , and C d is the drag coefficient. The d f along the span of the plate determines the bending moment M and the deflection angle θ ( s ) as follows:
d θ d s = M ( s ) E I
where I = b ϵ 3 / 12 is the moment of inertia. The integral form of M at s = s * can be expressed as:
M ( s * ) = s * L ( x s x s * , y s y s * ) × d f ( s )
which defines the plate deformation. Note that the magnitude and orientation of u n are linked with the local bending of the plate; therefore, it has to be solved iteratively. For this purpose, we consider a tolerance error at iteration k of m a x ( X k 1 / X k , Y k 1 / Y k ) < 0.01 .
In general, the model is able to predict the bending of the medium plate for ω < 90 rpm; however, evident underestimation occurred at relatively high rotating speeds. Flow visualization showed that u n may be different from the estimated values. In addition, in this rotating system, the flow fluctuations from previous cycles may enhance wake mixing and change local velocity. To account for such effects and the changes in u n with bending, we inspect a potential bulk correction in ω such that ω b u l k = ξ ω . Then, it is possible to compute a ξ that minimizes the differences between measurements and the basic model. An example of this process is illustrated in Figure 15a. This factor resulted nearly constant for all cases with low and intermediate bending, i.e., with the angle between the bottom and top tips < 90 . Figure 15b illustrates ξ ( C a ) . It is worth pointing out that the model is not expected to work in extreme bending.

4. Final Remarks

The combined PIV and PTV characterization of the induced flow and plate reconfiguration revealed common and distinctive features of flexible plates under pure rotational motions. Results reveal a log-like behavior of the location of maximum bending with C a , and two nearly-linear trends of α (the angle between the tangent in the vicinity of the tip with the direction of the instantaneous tip motion) with C a . This new information offers insight to develop new basic models under plate rotation or extreme bending. Inspection of the bulk and phase-locked flow statistics evidenced the distinctive modulation of the plate flexibility on the induced flow, turbulence levels and generation of coherent motions. The effects on the flow may strongly impact mixing as well as the dispersion and transport of scalars in various natural or engineering systems. The results motivate future inspection of the effect of mass ratio, non-uniform stiffness and background turbulence on the unsteady dynamics and reconfiguration of flexible structures.

Author Contributions

S.F. performed the experiments, processed the data and drafted the manuscript; Y.J. helped with the concept, experiments and analysis, J.-T.K. helped with the experiments; Z.M. helped with the analysis; Y.Z. helped with the concept and co-advised S.F.; and L.P.C. defined the concept, analysis and helped to write the manuscript.

Funding

This research was funded by the Fundamental Research Funds for the Central Universities grant number [2017B687X14] and Postgraduate Research & Practice Innovation Program of Jiangsu Province grant number [KYCX17_0430] are acknowledged. S. Fu was also supported by the National Natural Science Fund grant number [51579080] and Natural Science Found of Anhui Province grant number [1608085ME119].

Acknowledgments

This work was supported by the Department of Mechanical Science and Engineering, University of Illinois at Urbana-Champaign, as part of the start-up package of L.P.C.

Conflicts of Interest

The authors declare no conflict of interest.

References

  1. Bhati, A.; Sawanni, R.; Kulkarni, K.; Bhardwaj, R. Role of skin friction drag during flow-induced reconfiguration of a flexible thin plate. J. Fluids Struct. 2018, 77, 134–150. [Google Scholar] [CrossRef]
  2. Alben, S.; Shelley, M.; Zhang, J. Drag reduction through self-similar bending of a flexible body. Nature 2002, 420, 479. [Google Scholar] [CrossRef] [PubMed]
  3. Gosselin, F.; De Langre, E.; Machado-Almeida, B.A. Drag reduction of flexible plates by reconfiguration. J. Fluid Mech. 2010, 650, 319–341. [Google Scholar] [CrossRef]
  4. Vogel, S. Drag and flexibility in sessile organisms. Am. Zool. 1984, 24, 37–44. [Google Scholar] [CrossRef]
  5. Vogel, S. Drag and reconfiguration of broad leaves in high winds. J. Exp. Bot. 1989, 40, 941–948. [Google Scholar] [CrossRef]
  6. Vogel, S. Life in Moving Fluids: The Physical Biology of Flow; Princeton University Press: Princeton, NJ, USA, 1996. [Google Scholar]
  7. Luhar, M.; Nepf, H.M. Flow-induced reconfiguration of buoyant and flexible aquatic vegetation. Limnol. Oceanogr. 2011, 56, 2003–2017. [Google Scholar] [CrossRef]
  8. Schouveiler, L.; Boudaoud, A. The rolling up of sheets in a steady flow. J. Fluid Mech. 2006, 563, 71–80. [Google Scholar] [CrossRef]
  9. De Langre, E.; Gutierrez, A.; Cossé, J. On the scaling of drag reduction by reconfiguration in plants. C. R. Mecanique 2012, 340, 35–40. [Google Scholar] [CrossRef]
  10. Henriquez, S.; Barrero-Gil, A. Reconfiguration of flexible plates in sheared flow. Mech. Res. Commun. 2014, 62, 1–4. [Google Scholar] [CrossRef]
  11. Leclercq, T.; De Langre, E. Drag reduction by elastic reconfiguration of non-uniform beams in non-uniform flows. J. Fluids Struct. 2016, 60, 114–129. [Google Scholar] [CrossRef]
  12. Luhar, M.; Nepf, H.M. Wave-induced dynamics of flexible blades. J. Fluids Struct. 2016, 61, 20–41. [Google Scholar] [CrossRef]
  13. Kumar, J.; Wurm, F.H. Bi-directional fluid–structure interaction for large deformation of layered composite propeller blades. J. Fluids Struct. 2015, 57, 32–48. [Google Scholar] [CrossRef]
  14. Wang, D.; Chen, Y.; Wiercigroch, M.; Cao, Q. Bifurcation and dynamic response analysis of rotating blade excited by upstream vortices. Appl. Math. Mech. Engl. Ed. 2016, 37, 1251–1274. [Google Scholar] [CrossRef]
  15. Young, Y.L. Fluid–structure interaction analysis of flexible composite marine propellers. J. Fluids Struct. 2008, 24, 799–818. [Google Scholar] [CrossRef]
  16. Satjaritanun, P.; Bringley, E.; Regalbuto, J.R.; Regalbuto, J.A.; Register, J.; Weidner, J.W.; Khunatorn, Y.; Shimpalee, S. Experimental and computational investigation of mixing with contra-rotating, baffle-free impellers. Chem. Eng. Res. Des. 2018, 130, 63–77. [Google Scholar] [CrossRef]
  17. Banerjee, J.R.; Kennedy, D. Dynamic stiffness method for inplane free vibration of rotating beams including Coriolis effects. J. Sound Vib. 2014, 333, 7299–7312. [Google Scholar] [CrossRef]
  18. Jin, Y.; Ji, S.; Liu, B.; Chamorro, L.P. On the role of thickness ratio and location of axis of rotation in the flat plate motions. J. Fluids Struct. 2016, 64, 127–137. [Google Scholar] [CrossRef]
  19. Jin, Y.; Ji, S.; Chamorro, L.P. Spectral Energy Cascade of Body Rotations and Oscillations under Turbulence. Phys. Rev. E 2016, 94, 063105. [Google Scholar] [CrossRef]
  20. Rostami, A.B.; Fernandes, A.C. Evaluation of dynamics of fluttering and autorotation of a rigid plate in a flow using far-field method. Nonlinear Dyn. 2018, 94, 1619–1638. [Google Scholar] [CrossRef]
  21. Ozen, C.; Rockwell, D. Flow structure on a rotating plate. Exp. Fluids 2012, 52, 207–223. [Google Scholar] [CrossRef]
  22. Kim, D.; Gharib, M. Experimental study of three-dimensional vortex structures in translating and rotating plates. Exp. Fluids 2010, 49, 329–339. [Google Scholar] [CrossRef]
  23. Kim, J.T.; Kim, D.; Liberzon, A.; Chamorro, L.P. Three-dimensional particle tracking velocimetry for turbulence applications: Case of a jet flow. J. Vis. Exp. 2016, 108, e53745. [Google Scholar] [CrossRef] [PubMed]
  24. Vila, C.S.; Örlü, R.; Vinuesa, R.; Schlatter, P.; Ianiro, A.; Discetti, S. Adverse-pressure-gradient effects on turbulent boundary layers: statistics and flow-field organization. Flow Turbul. Combust. 2017, 99, 589–612. [Google Scholar] [CrossRef]
  25. Vinuesa, R.; Nagib, H.M. Enhancing the accuracy of measurement techniques in high Reynolds number turbulent boundary layers for more representative comparison to their canonical representations. Eur. J. Mech. B Fluids 2016, 55, 300–312. [Google Scholar] [CrossRef]
  26. Zhou, J.; Adrian, R.; Balachandar, S.; Kendall, T. Mechanisms for generating coherent packets of hairpin vortices in channel flow. J. Fluid Mech. 1999, 387, 353–396. [Google Scholar] [CrossRef]
  27. Wu, Y.; Christensen, K. Population trends of spanwise vortices in wall turbulence. J. Fluid Mech. 2006, 568, 55–76. [Google Scholar] [CrossRef]
  28. Chen, L. An integral approach for large deflection cantilever beams. Int. J. Nonlinear Mech. 2010, 45, 301–305. [Google Scholar] [CrossRef]
Figure 1. (a) Basic schematic of the experimental setup; and (b) side and (c) top views illustrating a two-plate assembly.
Figure 1. (a) Basic schematic of the experimental setup; and (b) side and (c) top views illustrating a two-plate assembly.
Energies 11 03384 g001
Figure 2. Mean deformation of the: (a) thick; (b) medium; and (c) thin plates for various rotational speeds. Dashed lines indicate the section of the plates with negligible deformation.
Figure 2. Mean deformation of the: (a) thick; (b) medium; and (c) thin plates for various rotational speeds. Dashed lines indicate the section of the plates with negligible deformation.
Energies 11 03384 g002
Figure 3. Relative location of the maximum deformation of the plates s m / L . Dashed line denotes a log trend (x-coordinate in log scale).
Figure 3. Relative location of the maximum deformation of the plates s m / L . Dashed line denotes a log trend (x-coordinate in log scale).
Energies 11 03384 g003
Figure 4. (a) Definition of basic parameters characterizing the plates reconfiguration; and (b) relative angle α between the tangential and flow directions in the vicinity of the tip the as a function of C a .
Figure 4. (a) Definition of basic parameters characterizing the plates reconfiguration; and (b) relative angle α between the tangential and flow directions in the vicinity of the tip the as a function of C a .
Energies 11 03384 g004
Figure 5. Phase-locked distributions of the velocity magnitude with superimposed streamlines in the vicinity of the thick plate at: (a) ω = 60 rpm; (b) ω = 90 rpm; and (c) ω = 120 rpm.
Figure 5. Phase-locked distributions of the velocity magnitude with superimposed streamlines in the vicinity of the thick plate at: (a) ω = 60 rpm; (b) ω = 90 rpm; and (c) ω = 120 rpm.
Energies 11 03384 g005
Figure 6. Phase-locked distribution of the velocity magnitude with superimposed streamlines in the vicinity of the medium plate at ω = 120 rpm.
Figure 6. Phase-locked distribution of the velocity magnitude with superimposed streamlines in the vicinity of the medium plate at ω = 120 rpm.
Energies 11 03384 g006
Figure 7. θ —averaged mean velocity distributions of the different plates at ω = 60 rpm: (a) thin; (b) medium; and (c) thick.
Figure 7. θ —averaged mean velocity distributions of the different plates at ω = 60 rpm: (a) thin; (b) medium; and (c) thick.
Energies 11 03384 g007
Figure 8. Phase-locked distributions of normalized turbulence kinetic energy T K E = T K E / ( ω R ) 2 in the vicinity of the thick plate at: (a) ω = 60 rpm; (b) ω = 90 rpm; and (c) 120 rpm.
Figure 8. Phase-locked distributions of normalized turbulence kinetic energy T K E = T K E / ( ω R ) 2 in the vicinity of the thick plate at: (a) ω = 60 rpm; (b) ω = 90 rpm; and (c) 120 rpm.
Energies 11 03384 g008
Figure 9. θ —averaged distributions of in-plane normalized turbulence kinetic energy T K E = T K E / ( ω R ) 2 of the different plates at ω = 90 rpm: (a) thin; (b) medium; and (c) thick.
Figure 9. θ —averaged distributions of in-plane normalized turbulence kinetic energy T K E = T K E / ( ω R ) 2 of the different plates at ω = 90 rpm: (a) thin; (b) medium; and (c) thick.
Energies 11 03384 g009
Figure 10. (a) Power consumption of the plate rotations across various ω and thicknesses; and (b) normalized power with respect to the rigid counterpart (reference).
Figure 10. (a) Power consumption of the plate rotations across various ω and thicknesses; and (b) normalized power with respect to the rigid counterpart (reference).
Energies 11 03384 g010
Figure 11. θ —averaged distributions of in-plane turbulence kinetic energy T K E of the different plates at ω = 90 rpm: (a) thin; (b) mediu; and (c) thick.
Figure 11. θ —averaged distributions of in-plane turbulence kinetic energy T K E of the different plates at ω = 90 rpm: (a) thin; (b) mediu; and (c) thick.
Energies 11 03384 g011
Figure 12. θ —averaged distributions of in-plane turbulence kinetic energy T K E at ϵ 3 = 0.75 mm for: (a) ω = 60 rpm; (b) ω = 90 rpm; and (c) ω = 120 rpm.
Figure 12. θ —averaged distributions of in-plane turbulence kinetic energy T K E at ϵ 3 = 0.75 mm for: (a) ω = 60 rpm; (b) ω = 90 rpm; and (c) ω = 120 rpm.
Energies 11 03384 g012
Figure 13. Instantaneous velocity fields superimposed with swirling strength (normalized by L / ω R ) at ω = 60 rpm around the: (a) thin plate; and (b) thick plate.
Figure 13. Instantaneous velocity fields superimposed with swirling strength (normalized by L / ω R ) at ω = 60 rpm around the: (a) thin plate; and (b) thick plate.
Energies 11 03384 g013
Figure 14. Snapshots of velocity fields with superimposed swirling strength (normalized by L / ω R ) around the thick plate under: (a) ω = 60 rpm; and (b) ω = 90 rpm.
Figure 14. Snapshots of velocity fields with superimposed swirling strength (normalized by L / ω R ) around the thick plate under: (a) ω = 60 rpm; and (b) ω = 90 rpm.
Energies 11 03384 g014
Figure 15. (a) Measured and modeled plate bending with and without ξ correction for the medium plate at ω = 60 rpm; and (b) correction factor ξ for low and intermediate plate reconfigurations.
Figure 15. (a) Measured and modeled plate bending with and without ξ correction for the medium plate at ω = 60 rpm; and (b) correction factor ξ for low and intermediate plate reconfigurations.
Energies 11 03384 g015

Share and Cite

MDPI and ACS Style

Fu, S.; Jin, Y.; Kim, J.-T.; Mao, Z.; Zheng, Y.; Chamorro, L.P. On the Dynamics of Flexible Plates under Rotational Motions. Energies 2018, 11, 3384. https://doi.org/10.3390/en11123384

AMA Style

Fu S, Jin Y, Kim J-T, Mao Z, Zheng Y, Chamorro LP. On the Dynamics of Flexible Plates under Rotational Motions. Energies. 2018; 11(12):3384. https://doi.org/10.3390/en11123384

Chicago/Turabian Style

Fu, Shifeng, Yaqing Jin, Jin-Tae Kim, Zhongyu Mao, Yuan Zheng, and Leonardo P. Chamorro. 2018. "On the Dynamics of Flexible Plates under Rotational Motions" Energies 11, no. 12: 3384. https://doi.org/10.3390/en11123384

APA Style

Fu, S., Jin, Y., Kim, J.-T., Mao, Z., Zheng, Y., & Chamorro, L. P. (2018). On the Dynamics of Flexible Plates under Rotational Motions. Energies, 11(12), 3384. https://doi.org/10.3390/en11123384

Note that from the first issue of 2016, this journal uses article numbers instead of page numbers. See further details here.

Article Metrics

Back to TopTop