Load Rejection Transient Process Simulation of a Kaplan Turbine Model by Co-Adjusting Guide Vanes and Runner Blades
Abstract
1. Introduction
2. Numerical Methods and Computational Model
2.1. Governing Equations
2.2. Turbulence Model
2.3. Equations Discretization and Boundary Condition
2.4. Solution Setup of Load Rejection Process
2.5. Computational Model and Monitoring Points
2.6. Dynamic Mesh Description
2.7. Verification of Grid and Time Dependency
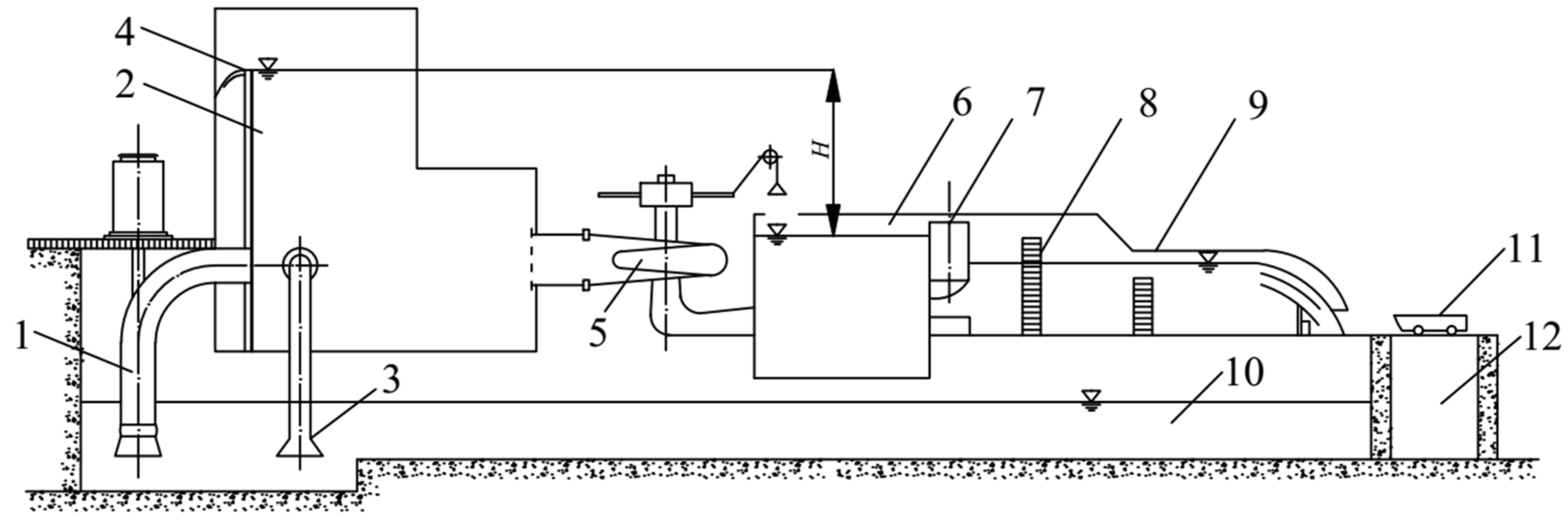
2.8. Experiment Apparatus
3. Results and Discussion
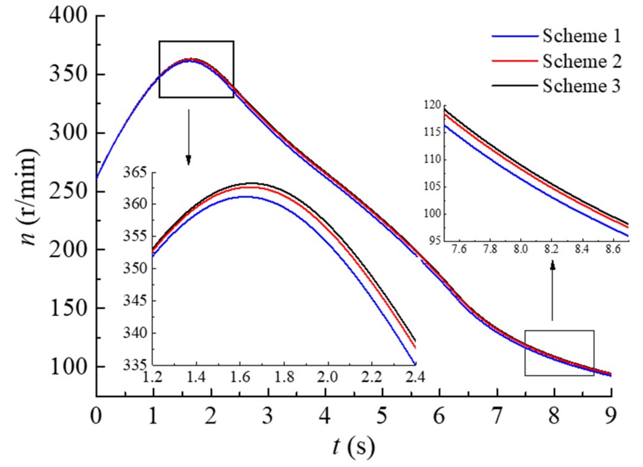
3.1. Comparison between Numerical and Experimental Results
3.2. The Varying Law of Dynamic Characteristic Parameters
3.3. Analysis of Flow Characteristics
4. Conclusions
Author Contributions
Funding
Acknowledgments
Conflicts of Interest
Nomenclature
| C | Boundary moving velocity | m/s |
| D | Runner diameter | m |
| Infinitesimal area | m2 | |
| F | Axial force | N |
| F0 | Initial axial force | N |
| g | Gravitational body force | m/s2 |
| J | Total unit moment of inertia | kg·m2 |
| M | Moment of the rotational system | N·m |
| M0 | Initial torque | N·m |
| m | Outward normal unit vector | - |
| n | Runner rotating speed | r/min |
| n0 | Initial runner rotating speed | r/min |
| P | Static pressure | MPa |
| Q | Unit flow rate | m3/s |
| Q0 | Initial unit flow rate | m3/s |
| t | Time | s |
| u | Fluid velocity | m/s |
| V | Volume of control body | m3 |
| w | Grid velocity | m/s |
| Initial guide vanes opening | ° | |
| Guide vanes opening | ° | |
| Initial runner blade opening | ° | |
| Runner blade opening | ° | |
| Rotational angle of the blade around the axis | ° | |
| Angular velocity vector | rad/s | |
| Closing speed of runner blade | rad/s | |
| Angular velocity components of runner blade in the -axis direction | rad/s | |
| Angular velocity components of runner blade in the -axis direction | rad/s | |
| Angular velocity components of runner blade in the -axis direction | rad/s | |
| Closing speed of guide vanes | rad/s | |
| μ | Molecular viscosity | Pa·s |
| ρ | Density of fluid | kg/m3 |
| Time step size | s | |
| Hamilton operator | - | |
| Laplacian operator | - | |
| Boundary of control volume | - |
Abbreviations
| 3-D | Three-dimensional |
| ALE | Arbitrary Lagrangian Eulerian |
| CFD | Computational fluid dynamics |
| FVM | Finite volume method |
| GVO | Guide vanes’ opening |
| NMEC | Numerical method of external character |
| NMIC | Numerical method of internal character |
| RANS | Reynolds-averaged Navier–Stokes |
| SIMPLEC | Semi-implicit method for pressure-linked equations—consistent |
| SP | Single phase |
| SST | Shear-stress transport turbulence model |
| UDF | User defined function |
| VOF | Volume of fluid |
References
- Zhou, D.; Deng, Z. Ultra-low-head hydroelectric technology: A review. Renew. Sustain. Energy Rev. 2017, 78, 23–30. [Google Scholar] [CrossRef]
- Elbatran, A.; Yaakob, O.; Yasser, M.; Shabara, H. Operation, performance and economic analysis of low head micro-hydropower turbines for rural and remote areas: A review. Renew. Sustain. Energy Rev. 2015, 43, 40–50. [Google Scholar] [CrossRef]
- Bozhinova, S.; Hecht, V.; Kisliakov, D.; Müller, G.; Schneider, S. Hydropower converters with head differences below 2.5 m. Proc. Inst. Civ. Eng. Energy 2013, 166, 107–119. [Google Scholar]
- Jawahar, C.; Michael, P. A review on turbines for micro hydro power plant. Renew. Sustain. Energy Rev. 2017, 72, 882–887. [Google Scholar] [CrossRef]
- Senior, J.; Saenger, N.; Müller, G. New hydropower converters for very low-head differences. J. Hydraul. Res. 2010, 48, 703–714. [Google Scholar] [CrossRef]
- Zhou, D.; Wu, Y.; Mao, Y. Three dimensions unsteady CFD simulation of model propeller turbine load rejection transient. In Proceedings of the ASME 2010 International Mechanical Engineering Congress & Exposition, Vancouver, BC, Canada, 12–18 November 2010. [Google Scholar]
- Li, J.; Yu, J.; Wu, Y. 3D unsteady turbulent simulation of transients of the Francis turbine. In IOP Conference Series: Earth and Environmental Science; IOP Publishing: Bristol, UK, 2010; Volume 12, p. 012001. [Google Scholar]
- Kolšek, T.; Duhovnik, J.; Bergant, A. Simulation of unsteady flow and runner rotation during shut-down of an axial water turbine. J. Hydraul. Res. 2006, 44, 129–137. [Google Scholar] [CrossRef]
- Rohani, M.; Afshar, M. Simulation of transient flow caused by pump failure: Point-implicit method of characteristics. Ann. Nucl. Energy 2010, 37, 1742–1750. [Google Scholar] [CrossRef]
- Wu, R.; Chen, J. Hydraulic Transient Process of Hydropower Station; China Water & Power Press: Beijing, China, 1995. [Google Scholar]
- Gajic, A. Steady and Transient Regimes in Hydropower Plants. In IOP Conference Series: Materials Science and Engineering; IOP Publishing: Bristol, UK, 2013; Volume 52, p. P012006. [Google Scholar]
- Zhao, J.; Wang, L.; Liu, D.; Wang, J.; Zhao, Y.; Liu, T.; Wang, H. Dynamic model of Kaplan turbine regulating system suitable for power system analysis. Math. Probl. Eng. 2015, 2015, 294523. [Google Scholar] [CrossRef]
- Chirag, T.; Cervantes, M.J.; Bhupendrakumar, G.; Dahlhaug, O.G. Pressure measurements on a high-head Francis turbine during load acceptance and rejection. J. Hydraul. Res. 2014, 52, 283–297. [Google Scholar] [CrossRef]
- Chirag, T.; Agnalt, E.; Dahlhaug, O.G. Experimental investigation of a Francis turbine during exigent ramping and transition into total load rejection. J. Hydraul. Eng. 2018, 144, 04018027. [Google Scholar]
- Hasmatuchi, V.; Farhat, M.; Roth, S.; Botero, F.; Avellan, F. Experimental evidence of rotating stall in a pump-turbine at off-design conditions in generating mode. J. Fluids Eng. 2011, 133, 051104. [Google Scholar] [CrossRef]
- Gagnon, M.; Jobidon, N.; Lawrence, M.; Larouche, D. Optimization of turbine startup: Some experimental results from a propeller runner. In IOP Conference Series: Earth and Environmental Science; IOP Publishing: Bristol, UK, 2014; Volume 22, p. 032022. [Google Scholar]
- Chirag, T.; Gogstad, P.J.; Dahlhaug, O.G. Investigation of the unsteady pressure pulsations in the prototype Francis turbines during load variation and startup. J. Renew. Sustain. Energy 2017, 9, 0645802. [Google Scholar]
- Yang, J.; Zeng, W.; Yang, W.; Yao, S.; Guo, W. Runaway stabilities of pump-turbines and its correlation with S characteristics curves. Trans. Chin. Soc. Agric. Mach. 2015, 46, 59–64. [Google Scholar]
- Liu, Y.; Chang, J. Numerical method based on internal character for load rejection transient calculation of a bulb turbine installation. J. China Agric. Univ. 2008, 13, 89–93. [Google Scholar]
- Chirag, T.; Agnalt, E.; Dahlhaug, O.G. Numerical techniques applied to hydraulic turbines: A perspective review. Appl. Mech. Rev. 2016, 68, 010802. [Google Scholar]
- Pejovic, S.; Karney, B. Guidelines for transients are in need of revisions. In IOP Conference Series: Earth and Environmental Science; IOP Publishing: Bristol, UK, 2014; Volume 22, p. 042006. [Google Scholar]
- Pavesi, G.; Cavazzini, G.; Ardizzon, G. Numerical analysis of the transient behaviour of a variable speed pump-turbine during a pumping power reduction scenario. Energies 2016, 9, 534. [Google Scholar] [CrossRef]
- Zhang, L.; Zhou, D. CFD research on runaway transient of pumped storage power station caused by pumping power failure. In IOP Conference Series: Materials Science and Engineering; IOP Publishing: Bristol, UK, 2013; Volume 52, p. 052027. [Google Scholar]
- Liu, S.; Zhou, D.; Liu, D.; Wu, Y.; Nishi, M. Runaway transient simulation of a model Kaplan turbine. In IOP Conference Series: Earth and Environmental Science; IOP Publishing: Bristol, UK, 2010; Volume 12, p. 012073. [Google Scholar]
- Liu, J.; Liu, D.; Sun, Y.; Jiao, L.; Wu, Y.; Wang, L. Three-dimensional flow simulation of transient power interruption process of a prototype pump-turbine at pump mode. J. Mech. Sci. Technol. 2013, 27, 1305–1312. [Google Scholar] [CrossRef]
- Liu, J.; Liu, S.; Sun, Y.; Wu, Y.; Wang, L. Three-dimensional flow simulation of load rejection of a prototype pump-turbine. Eng. Comput. 2013, 29, 417–426. [Google Scholar]
- Avdyushenko, A.; Cherny, S.; Chirkov, D.; Skorospelov, V.; Turuk, P. Numerical simulation of transient processes in hydro-turbines. Thermophys. Aeromech. 2013, 20, 577–593. [Google Scholar] [CrossRef]
- Fu, X.; Li, D.; Wang, H.; Zhang, G.; Li, Z.; Wei, X. Analysis of transient flow in a pump-turbine during the load rejection process. J. Mech. Sci. Technol. 2018, 32, 2069–2078. [Google Scholar] [CrossRef]
- Fu, X.; Li, D.; Wang, H.; Zhang, G.; Li, Z.; Wei, X.; Qin, D. Energy analysis in a pump-turbine during the load rejection process. J. Fluids Eng. 2018, 140, 101107. [Google Scholar] [CrossRef]
- Nicolle, J.; Morissette, J.; Giroux, A. Transient CFD simulation of a Francis turbine startup. In IOP Conference Series: Earth and Environmental Science; IOP Publishing: Bristol, UK, 2012; Volume 15, p. 062014. [Google Scholar]
- Nicolle, J.; Giroux, A.; Morissette, J. CFD configurations for hydraulic turbine startup. In IOP Conference Series: Earth and Environmental Science; IOP Publishing: Bristol, UK, 2014; Volume 22, p. 032021. [Google Scholar]
- Li, Y.; Song, G.; Yan, Y. Transient hydrodynamic analysis of the transition process of bulb hydraulic turbine. Adv. Eng. Softw. 2015, 90, 152–158. [Google Scholar] [CrossRef]
- Li, D.; Wang, H.; Li, Z.; Nielsen, T.; Goyal, R.; Wei, X.; Qin, D. Transient characteristics during the closure of guide vanes in a pump turbine in pump mode. Renew. Energy 2018, 118, 973–983. [Google Scholar] [CrossRef]
- Zhou, D.; Chen, H.; Zhang, L. Investigation of pumped storage hydropower power-off transient process using 3D numerical simulation based on SP-VOF hybrid model. Energies 2018, 11, 1020. [Google Scholar] [CrossRef]
- Yakhot, V.; Orszag, S. Renormalization group analysis of turbulence. I Basic theory. J. Sci. Comput. 1986, 1, 3–51. [Google Scholar] [CrossRef]
- Rentschler, M.; Marongiu, J.; Neuhauser, M.; Parkinson, E. Overview of SPH-ALE applications for hydraulic turbines in ANDRITZ hydro. J. Hydrodyn. 2018, 30, 114–121. [Google Scholar] [CrossRef]
- Zhou, D.; Zhang, L. CFD research on Francis pump-turbine load rejection transient under pump condition. In Proceedings of the ASME 2013 International Mechanical Engineering Congress & Exposition, San Diego, CA, USA, 15–21 November 2013. [Google Scholar]
- Menter, F.; Rumsey, C. Assessment of two-equation models for transonic flows. In Proceedings of the Fluid Dynamics Conference, Colorado Spring, CO, USA, 20–23 June 1994; pp. 1994–2343. [Google Scholar]
- Kan, K.; Zheng, Y.; Chen, Y.; Xie, Z.; Yang, G.; Yang, C. Numerical study on the internal flow characteristics of an axial-flow pump under stall conditions. J. Mech. Sci. Technol. 2018, 32, 4683–4695. [Google Scholar] [CrossRef]
- Ansys Inc. Ansys FLUENT Theory Guide; Ansys Inc.: Canonsburg, PA, USA, 2017. [Google Scholar]
- Menter, F. Two-equation eddy-viscosity turbulence models for engineering applications. AIAA J. 1994, 32, 1598–1605. [Google Scholar] [CrossRef]
- Kan, K.; Zheng, Y.; Fu, S.; Liu, H.; Yang, C.; Zhang, X. Dynamic stress of impeller blade of shaft extension tubular pump device based on bidirectional fluid-structure interaction. J. Mech. Sci. Technol. 2017, 31, 1561–1568. [Google Scholar] [CrossRef]
- Murayama, M.; Nakahashi, K.; Maltsushima, K. Unstructured dynamic mesh for large movement and deformation. In Proceedings of the 40th Aerospace Science Meeting and Exhibit, Reno, NV, USA, 14–17 January 2002; p. AIAA2002-0122. [Google Scholar]
- Hohai University, Gezhouba Hydropower Plant. Dynamic Model Test Report on Transient Process of ZZ500 Turbine in Gezhouba Hydropower Plant; Hohai University: Nanjing, China, 1992. [Google Scholar]














| Parameters | Value |
|---|---|
| Diameter of runner (m) | 0.46 |
| Number of runner blades (-) | 5 |
| Number of guide vanes (-) | 32 |
| Number of stay vanes (-) | 16 |
| Height of guide vanes (m) | 0.184 |
| Runner blade rated opening (°) | 15 |
| Guide vane rated opening (°) | 41.55 |
| Rated head of turbine (m) | 0.82 |
| Rated speed of turbine (r/min) | 261 |
| Rated discharge of turbine (m3/s) | 0.33 |
| Total unit moment of inertia (kg·m2) | 16.8 |
| Specific speed of the turbine (-) | 500 |
© 2018 by the authors. Licensee MDPI, Basel, Switzerland. This article is an open access article distributed under the terms and conditions of the Creative Commons Attribution (CC BY) license (http://creativecommons.org/licenses/by/4.0/).
Share and Cite
Chen, H.; Zhou, D.; Zheng, Y.; Jiang, S.; Yu, A.; Guo, Y. Load Rejection Transient Process Simulation of a Kaplan Turbine Model by Co-Adjusting Guide Vanes and Runner Blades. Energies 2018, 11, 3354. https://doi.org/10.3390/en11123354
Chen H, Zhou D, Zheng Y, Jiang S, Yu A, Guo Y. Load Rejection Transient Process Simulation of a Kaplan Turbine Model by Co-Adjusting Guide Vanes and Runner Blades. Energies. 2018; 11(12):3354. https://doi.org/10.3390/en11123354
Chicago/Turabian StyleChen, Huixiang, Daqing Zhou, Yuan Zheng, Shengwen Jiang, An Yu, and You Guo. 2018. "Load Rejection Transient Process Simulation of a Kaplan Turbine Model by Co-Adjusting Guide Vanes and Runner Blades" Energies 11, no. 12: 3354. https://doi.org/10.3390/en11123354
APA StyleChen, H., Zhou, D., Zheng, Y., Jiang, S., Yu, A., & Guo, Y. (2018). Load Rejection Transient Process Simulation of a Kaplan Turbine Model by Co-Adjusting Guide Vanes and Runner Blades. Energies, 11(12), 3354. https://doi.org/10.3390/en11123354

