Data Report: Molecular and Isotopic Compositions of the Extracted Gas from China’s First Offshore Natural Gas Hydrate Production Test in South China Sea
Abstract
:1. Introduction
2. Samples and Analytical Methods
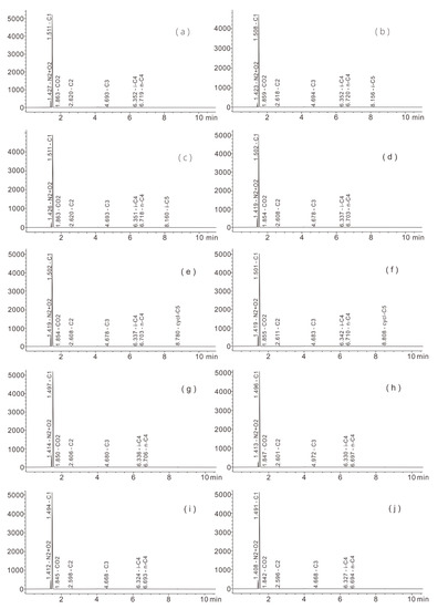
3. Results
4. Summary and Conclusions
Author Contributions
Funding
Acknowledgments
Conflicts of Interest
References
- Li, J.; Ye, J.; Qin, X.; Qiu, H.; Wu, N.; Lu, H.; Xie, W.; Lu, J.; Peng, F.; Xu, Z.; et al. The first offshore natural gas hydrate production test in South China Sea. China Geol. 2018, 1, 1–12. [Google Scholar] [CrossRef]
- Johnson, H. Global resource potential of gas hydrate—A new calculation. Fire Ice Methane Hydrate Newslett. 2011, 11, 1–4. [Google Scholar]
- Liu, C.; Meng, Q.; Li, C.; Sun, J.; He, X.; Yang, S.; Liang, J. Characterization of natural gas hydrate and its deposits recovered from the northern slope of the South China Sea. Earth Sci. Front. 2017, 24, 41–50, (In Chinese with English abstract). [Google Scholar]
- Bernard, B.B.; Brooks, J.M.; Sackett, W.M. Light-hydrocarbons in recent Texas continental-shelf and slope sediments. J. Geophys. Res.-Oceans 1978, 83, 4053–4061. [Google Scholar] [CrossRef]
- Claypool, G.E.; Kvenvolden, K.A. Methane and other hydrocarbon gases in marine sediments. Earth Planet. Sci. 1983, 11, 299–327. [Google Scholar] [CrossRef]
- Whiticar, M.J. Carbon and hydrogen isotope systematics of bacterial formation and oxidation of methane. Chem. Geol. 1999, 161, 291–314. [Google Scholar] [CrossRef]
- Milkov, A.V.; Claypool, G.E.; Lee, Y.-J.; Sassen, R. Gas hydrate systems at Hydrate Ridge offshore Oregon inferred from molecular and isotopic properties of hydrate-bound and void gases. Geochim. Cosmochim. Acta 2005, 69, 1007–1026. [Google Scholar] [CrossRef]
- Pape, T.; Bahr, A.; Rethemeyer, J.; Kessler, J.D.; Sahling, H.; Hinrichs, K.-U.; Klapp, S.A.; Reeburgh, W.S.; Bohrmann, G. Molecular and isotopic partitioning of low molecular-weight hydrocarbons during migration and gas hydrate precipitation in deposits of a high-flux seepage site. Chem. Geol. 2010, 269, 350–363. [Google Scholar] [CrossRef]
- Kim, J.-H.; Park, M.H.; Chun, J.H.; Lee, J.Y. Molecular and isotopic signatures in sediments and gas hydrate of the central/southwestern Ulleung Basin: High alkalinity escape fuelled by biogenically sourced methane. Geo-Mar. Lett. 2011, 31, 37–49. [Google Scholar] [CrossRef]
- Kim, J.-H.; Torres, M.E.; Choi, J.Y.; Bahk, J.J.; Park, M.H.; Hong, W.L. Inferences on gas transport based onmolecular and isotopic signatures of gases at acoustic chimneys and background sites in the Ulleung Basin. Org. Geochem. 2012, 43, 26–38. [Google Scholar] [CrossRef]
- Matsumoto, R.; Takashi, U.; Waseda, A.; Uchida, T.; Takeya, S.; Hirano, T.; Yamada, K.; Maeda, Y.; Okui, T. Occurrence, structure, and composition of natural gas hydrate recovered from the Blake Ridge, Northwest Atlantic. Proc. Ocean Drill. Program Sci. Results 2000, 164, 13–28. [Google Scholar]
- Sassen, R.; Sweet, S.T.; Milkov, A.V.; DeFreitas, D.A.; Kennicutt, M.C.; Roberts, H.H. Stability of thermogenic gas hydrate in the Gulf of Mexico: Constraints on models of climate change. In Natural Gas Hydrates: Occurrence, Distribution, and Detection; Paull, C.K., Dillon, W.P., Eds.; American Geophysical Union: Washington, DC, USA, 2001; pp. 131–143. [Google Scholar]
- Kida, M.; Jin, Y.; Watanabe, M.; Konno, Y.; Yoneda, J.; Egawa, K.; Ito, T.; Nakatsuka, Y.; Suzuki, K.; Fujii, T.; et al. Chemical and crystallographic characterizations of natural gas hydrates recovered from a production test site in the eastern Nankai Trough. Mar. Pet. Geol. 2015, 66, 396–403. [Google Scholar] [CrossRef]
- Choi, J.; Kim, J.-H.; Torres, M.E.; Hong, W.-L.; Lee, J.-W.; Yi, B.Y.; Bahk, J.J.; Lee, K.E. Gas origin and migration in the Ulleung Basin, East Sea: Results from the Second Ulleung Basin Gas Hydrate Drilling Expedition (UBGH2). Mar. Pet. Geol. 2013, 47, 113–124. [Google Scholar] [CrossRef]
- Zhu, J.; Shi, H.; He, M.; Pang, X.; Yang, S.; Li, Z. Origins and Geochemical Characteristics of Gases in LW3-1-1 Well in the Deep Sea Region of Baiyun Sag, Pearl River Mouth Basin. Nat. Gas Geosci. 2008, 19, 229–233, (In Chinese with English abstract). [Google Scholar]
- Winckler, G.; Werner, A.H.; Holocher, J.; Kipfer, R.; Levin, I.; Poss, C.; Rehder, G.; Suess, E.; Schlosser, P. Noble gas and radiocarbon in natural gas hydrates. Geophys. Res. Lett. 2002, 29, 1–4. [Google Scholar] [CrossRef]





© 2018 by the authors. Licensee MDPI, Basel, Switzerland. This article is an open access article distributed under the terms and conditions of the Creative Commons Attribution (CC BY) license (http://creativecommons.org/licenses/by/4.0/).
Share and Cite
Ye, J.; Qin, X.; Qiu, H.; Xie, W.; Lu, H.; Lu, C.; Zhou, J.; Liu, J.; Yang, T.; Cao, J.; et al. Data Report: Molecular and Isotopic Compositions of the Extracted Gas from China’s First Offshore Natural Gas Hydrate Production Test in South China Sea. Energies 2018, 11, 2793. https://doi.org/10.3390/en11102793
Ye J, Qin X, Qiu H, Xie W, Lu H, Lu C, Zhou J, Liu J, Yang T, Cao J, et al. Data Report: Molecular and Isotopic Compositions of the Extracted Gas from China’s First Offshore Natural Gas Hydrate Production Test in South China Sea. Energies. 2018; 11(10):2793. https://doi.org/10.3390/en11102793
Chicago/Turabian StyleYe, Jianliang, Xuwen Qin, Haijun Qiu, Wenwei Xie, Hongfeng Lu, Cheng Lu, Jianhou Zhou, Jiyong Liu, Tianbang Yang, Jun Cao, and et al. 2018. "Data Report: Molecular and Isotopic Compositions of the Extracted Gas from China’s First Offshore Natural Gas Hydrate Production Test in South China Sea" Energies 11, no. 10: 2793. https://doi.org/10.3390/en11102793
APA StyleYe, J., Qin, X., Qiu, H., Xie, W., Lu, H., Lu, C., Zhou, J., Liu, J., Yang, T., Cao, J., & Sa, R. (2018). Data Report: Molecular and Isotopic Compositions of the Extracted Gas from China’s First Offshore Natural Gas Hydrate Production Test in South China Sea. Energies, 11(10), 2793. https://doi.org/10.3390/en11102793

