Energy Consumption, Economic Growth, and CO2 Emissions in G20 Countries: Application of Adaptive Neuro-Fuzzy Inference System
Abstract
1. Introduction
- To investigate the interrelationship of energy consumption, CO2, and economic growth using real data between 1962 and 2016 in G20 countries;
- To employ the fuzzy rule-base to generalize the relationships of the input indicators and output indicators to make the prediction of the CO2 emissions.
- To develop a model for analyzing the interrelationship between energy consumption, CO2 emissions, and economic growth in G20 countries.
- To predict the CO2 emissions based on energy consumption and economic growth using real data between 1962 and 2016 in G20 countries.
2. Related Works
3. Research Method
Data
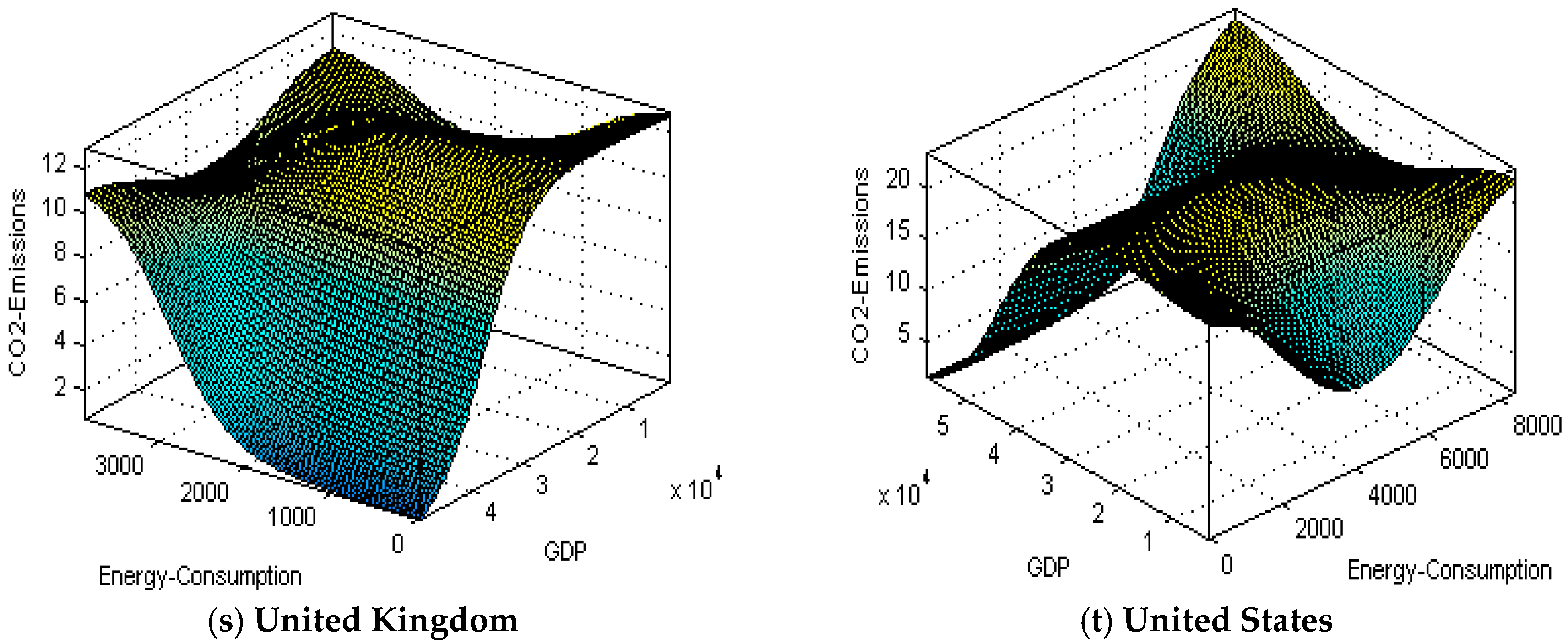
4. Results and Discussion
5. Conclusions
Author Contributions
Funding
Acknowledgments
Conflicts of Interest
References
- Tian, G.; Chu, X.; Liu, Q. Saving forests through development? fuelwood consumption and the energy-ladder hypothesis in rural southern China. Transform. Bus. Econ. 2017, 16, 199–219. [Google Scholar]
- Jang, J.-S. ANFIS: Adaptive-network-based fuzzy inference system. IEEE Trans. Syst. Man Cybern. 1993, 23, 665–685. [Google Scholar] [CrossRef]
- Kar, S.; Das, S.; Ghosh, P.K. Applications of neuro fuzzy systems: A brief review and future outline. Appl. Soft Comput. 2014, 15, 243–259. [Google Scholar] [CrossRef]
- Michell, K. A stock market risk forecasting model through integration of switching regime, ANFIS and GARCH techniques. Appl. Soft Comput. 2018, 67, 106–116. [Google Scholar]
- Morshedizadeh, M.; Kordestani, M.; Carriveau, R.; Ting, D.S.K.; Saif, M. Application of imputation techniques and Adaptive Neuro-Fuzzy Inference System to predict wind turbine power production. Energy 2017, 138, 394–404. [Google Scholar] [CrossRef]
- Asghar, A.B.; Liu, X. Estimation of wind speed probability distribution and wind energy potential using adaptive neuro-fuzzy methodology. Neurocomputing 2018, 287, 58–67. [Google Scholar] [CrossRef]
- Khoshnevisan, B.; Rafiee, S.; Mousazadeh, H. Application of multi-layer adaptive neuro-fuzzy inference system for estimation of greenhouse strawberry yield. Measurement 2014, 47, 903–910. [Google Scholar] [CrossRef]
- Khajeh, A.; Modarress, H.; Rezaee, B. Application of adaptive neuro-fuzzy inference system for solubility prediction of carbon dioxide in polymers. Expert Syst. Appl. 2009, 36, 5728–5732. [Google Scholar] [CrossRef]
- Entchev, E.; Yang, L. Application of adaptive neuro-fuzzy inference system techniques and artificial neural networks to predict solid oxide fuel cell performance in residential microgeneration installation. J. Power Sour. 2007, 170, 122–129. [Google Scholar] [CrossRef]
- Balezentis, T.; Novickyte, L. Are Lithuanian family farms profitable and financially spalatino linotypeustainable? Evidence using dupont model, sustainable growth paradigm and index decomposition analysis. Transform. Bus. Econ. 2018, 17, 237–254. [Google Scholar]
- Chang, M.-C.; Shieh, H.-S. The relations between energy efficiency and GDP in the baltic sea region and non-baltic Sea region. Transform. Bus. Econ. 2017, 16, 235–247. [Google Scholar]
- Dirzyte, A.; Rakauskiene, O.G. Green consumption: The gap between attitudes and behaviours. Transform. Bus. Econ. 2016, 15, 523–538. [Google Scholar]
- Stjepcevic, J.; Siksnelyte, I. Corporate social responsibility in energy sector. Transform. Bus. Econ. 2017, 16, 21–33. [Google Scholar]
- Ma, D.; Ye, J.-M.; Zhang, Y.-R. Can firm exploit economic gainsfrom eco-innovation? An empirical investigationof listed companiesin China. Transform. Bus. Econ. 2018, 17, 33–53. [Google Scholar]
- Holtz-Eakin, D.; Selden, T.M. Stoking the fires? CO2 emissions and economic growth. J. Public Econ. 1995, 57, 85–101. [Google Scholar] [CrossRef]
- Glasure, Y.U.; Lee, A.-R. Cointegration, error-correction, and the relationship between GDP and energy: The case of South Korea and Singapore. Resour. Energy Econ 1998, 20, 17–25. [Google Scholar] [CrossRef]
- De Bruyn, S.M.; van den Bergh, J.C.; Opschoor, J.B. Economic growth and emissions: Reconsidering the empirical basis of environmental Kuznets curves. Ecol. Econ. 1998, 25, 161–175. [Google Scholar] [CrossRef]
- Taskin, F.; Zaim, O. Searching for a Kuznets curve in environmental efficiency using kernel estimation. Econ. Lett. 2000, 68, 217–223. [Google Scholar] [CrossRef]
- Bengochea-Morancho, A.; Higón-Tamarit, F.; Martínez-Zarzoso, I. Economic Growth and CO2 Emissions in the European Union. Environ. Resour. Econ. 2001, 19, 165–172. [Google Scholar] [CrossRef]
- Friedl, B.; Getzner, M. Determinants of CO2 emissions in a small open economy. Ecol. Econ. 2003, 45, 133–148. [Google Scholar] [CrossRef]
- Yoo, S.-H. Electricity consumption and economic growth: Evidence from Korea. Energy Policy 2005, 33, 1627–1632. [Google Scholar] [CrossRef]
- Azomahou, T.; Laisney, F.; Van, P.N. Economic development and CO2 emissions: A nonparametric panel approach. J. Public Econ. 2006, 90, 1347–1363. [Google Scholar] [CrossRef]
- Baltagi, B.H.; Hidalgo, J.; Li, Q. A nonparametric test for poolability using panel data. J. Econom. 1996, 75, 345–367. [Google Scholar] [CrossRef]
- Lee, C.-C.; Chang, C.-P.; Chen, P.-F. Energy-income causality in OECD countries revisited: The key role of capital stock. Energy Econ. 2008, 30, 2359–2373. [Google Scholar] [CrossRef]
- Apergis, N.; Payne, J.E. Renewable energy consumption and economic growth: Evidence from a panel of OECD countries. Energy Policy 2010, 38, 656–660. [Google Scholar] [CrossRef]
- Menyah, K.; Wolde-Rufael, Y. Energy consumption, pollutant emissions and economic growth in South Africa. Energy Econ. 2010, 32, 1374–1382. [Google Scholar] [CrossRef]
- Kahsai, M.S.; Nondo, C.; Schaeffer, P.V.; Gebremedhin, T.G. Income level and the energy consumption–GDP nexus: Evidence from Sub-Saharan Africa. Energy Econ. 2012, 34, 739–746. [Google Scholar] [CrossRef]
- Akpan, G.E.; Akpan, U.F. Electricity consumption, carbon emissions and economic growth in Nigeria. Int. J. Energy Econ. Policy 2012, 2, 292. [Google Scholar]
- Saboori, B.; Sulaiman, J. Environmental degradation, economic growth and energy consumption: Evidence of the environmental Kuznets curve in Malaysia. Energy Policy 2013, 60, 892–905. [Google Scholar] [CrossRef]
- Shahbaz, M.; Salah Uddin, G.; Ur Rehman, I.; Imran, K. Industrialization, electricity consumption and CO2 emissions in Bangladesh. Renew. Sustain. Energy Rev. 2014, 31, 575–586. [Google Scholar] [CrossRef]
- Shahbaz, M.; Solarin, S.A.; Sbia, R.; Bibi, S. Does energy intensity contribute to CO2 emissions? A trivariate analysis in selected African countries. Ecol. Indic. 2015, 50, 215–224. [Google Scholar] [CrossRef]
- Esso, L.J.; Keho, Y. Energy consumption, economic growth and carbon emissions: Cointegration and causality evidence from selected African countries. Energy 2016, 114, 492–497. [Google Scholar] [CrossRef]
- Chen, J.; Cheng, S.; Song, M.; Wang, J. Interregional differences of coal carbon dioxide emissions in China. Energy Policy 2016, 96, 1–13. [Google Scholar] [CrossRef]
- Alam, M.M.; Murad, M.W.; Noman, A.H.M.; Ozturk, I. Relationships among carbon emissions, economic growth, energy consumption and population growth: Testing Environmental Kuznets Curve hypothesis for Brazil, China, India and Indonesia. Ecol. Indic. 2016, 70, 466–479. [Google Scholar] [CrossRef]
- Chiu, Y.-B. Carbon dioxide, income and energy: Evidence from a non-linear model. Energy Econ. 2017, 61, 279–288. [Google Scholar] [CrossRef]
- Chen, J.; Cheng, S.; Nikic, V.; Song, M. Quo vadis? Major players in global coal consumption and emissions reduction. Transform. Bus. Econ. 2018, 17, 112–132. [Google Scholar]
- Chong, S.S.; Aziz, A.A.; Harun, S.W.; Arof, H.; Shamshirband, S. Application of multiple linear regression, central composite design, and ANFIS models in dye concentration measurement and prediction using plastic optical fiber sensor. Measurement 2015, 74, 78–86. [Google Scholar] [CrossRef]
- Hellendoorn, H.; Thomas, C. Defuzzification in fuzzy controllers. J. Intell. Fuzzy Syst. 1993, 1, 109–123. [Google Scholar]








| Variables | Type | MFs Ranges for {Low}, {Moderate} and {High} | |||
|---|---|---|---|---|---|
| Low | Moderate | High | |||
| Inputs | energy consumption | Gaussian | [1792, 0.1056] | [1791, 4219] | [1792, 8438] |
| GDP | Gaussian | [1.156 × 104, 3007] | [1.156 × 104, 3.024 × 104] | [1.156 × 104, 5.747 × 104] | |
© 2018 by the authors. Licensee MDPI, Basel, Switzerland. This article is an open access article distributed under the terms and conditions of the Creative Commons Attribution (CC BY) license (http://creativecommons.org/licenses/by/4.0/).
Share and Cite
Mardani, A.; Streimikiene, D.; Nilashi, M.; Arias Aranda, D.; Loganathan, N.; Jusoh, A. Energy Consumption, Economic Growth, and CO2 Emissions in G20 Countries: Application of Adaptive Neuro-Fuzzy Inference System. Energies 2018, 11, 2771. https://doi.org/10.3390/en11102771
Mardani A, Streimikiene D, Nilashi M, Arias Aranda D, Loganathan N, Jusoh A. Energy Consumption, Economic Growth, and CO2 Emissions in G20 Countries: Application of Adaptive Neuro-Fuzzy Inference System. Energies. 2018; 11(10):2771. https://doi.org/10.3390/en11102771
Chicago/Turabian StyleMardani, Abbas, Dalia Streimikiene, Mehrbakhsh Nilashi, Daniel Arias Aranda, Nanthakumar Loganathan, and Ahmad Jusoh. 2018. "Energy Consumption, Economic Growth, and CO2 Emissions in G20 Countries: Application of Adaptive Neuro-Fuzzy Inference System" Energies 11, no. 10: 2771. https://doi.org/10.3390/en11102771
APA StyleMardani, A., Streimikiene, D., Nilashi, M., Arias Aranda, D., Loganathan, N., & Jusoh, A. (2018). Energy Consumption, Economic Growth, and CO2 Emissions in G20 Countries: Application of Adaptive Neuro-Fuzzy Inference System. Energies, 11(10), 2771. https://doi.org/10.3390/en11102771

