Combined Blade-Element Momentum—Lifting Line Model for Variable Loads on Downwind Turbine Towers
Abstract
:1. Introduction
2. Methodology
- (1)
- Rotor BEM
- (2)
- Blade circulation
- (3)
- Pressure around the tower induced by blade circulation
- (4)
- Tower section drag variations from blade induction
2.1. Rotor BEM
2.2. Blade Circulation
2.3. Blade-Induced Wind Speed and Pressure around Tower
2.4. Tower Section Drag Variation by Blade Induction
3. Analysis Conditions
3.1. Wind Turbine
3.2. Wind Conditions
- -
- Wind speed (U0): 13 m/s (rated wind speed) and 25 m/s (cut-out wind speed).
- -
- Turbulence: 0% (steady).
- -
- Wind Shear: 0 (uniform).
3.3. Operation Conditions
- (1)
- Rated: U0 = 13 m/s, nR = 17.5 min−1, and θ = 6 degrees.
- (2)
- Cut-out: U0 = 25 m/s, nR =17.5 min−1, and θ = 26 degrees.
4. Analysis Results
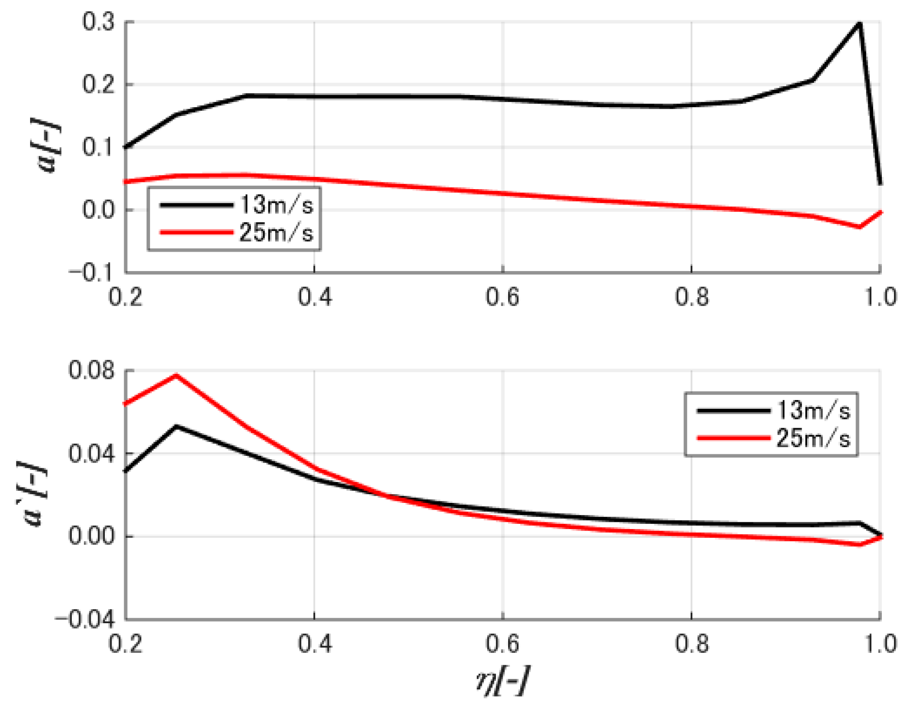
4.1. Rotor BEM
4.2. Blade Circulation
4.3. Blade Induced Wind Speed and Pressure around the Tower
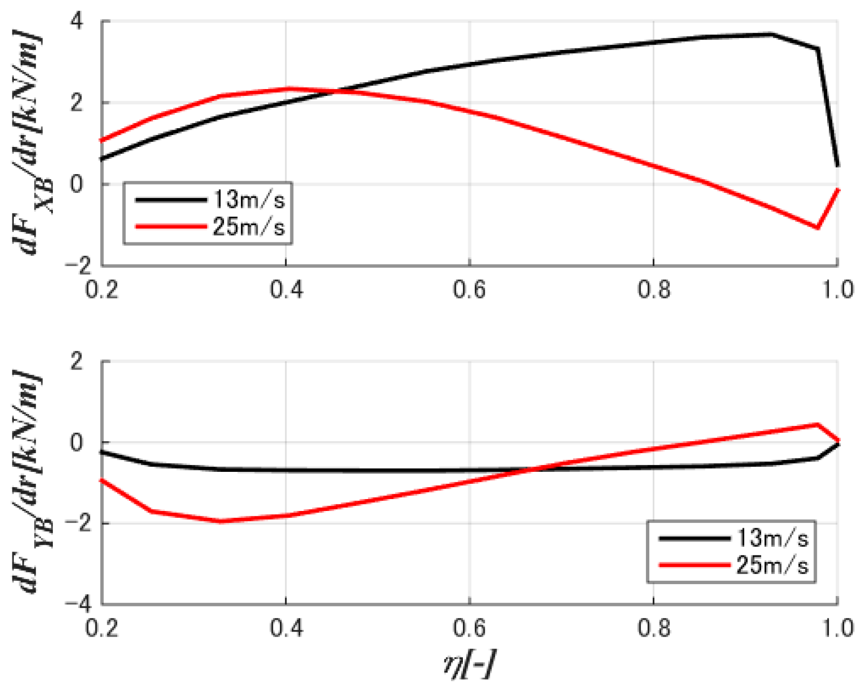
4.4. Tower Section Drag Variation by Rotor Induction
5. Verification by CFD
5.1. CFD Outlines
5.2. Verification Tower Variable Loads
6. Conclusions
Funding
Acknowledgments
Conflicts of Interest
Nomenclature
| Axial induction factor at the rotor | |
| Tangential induction factor at the rotor | |
| Axial induction factor at the tower | |
| Tangential induction factor at the tower | |
| Number of blades | |
| Blade chord length | |
| Lift coefficient | |
| Drag coefficient | |
| Tower diameter | |
| Unit vector from the blade element to the tower section | |
| Unit vector along the blade axis | |
| Tip/root loss function | |
| Tower drag | |
| Lift | |
| Rotor speed | |
| Total pressure | |
| Tower pressure without the circulation effects | |
| Tower pressure with the circulation effects | |
| Rotor torque | |
| Rotor radius | |
| Station radius of the blade element | |
| Reynolds number | |
| Rotor thrust | |
| Velocity (vector) induced by the blade circulation | |
| Free stream wind speed | |
| xT-wise component of u | |
| yT-wise component of u | |
| Inflow wind speed at the blade element | |
| zT-wise component of u | |
| Longitudinal (or windward) position | |
| Lateral position to the lefthand side of the wind | |
| Vertical position to the top | |
| Greek | |
| Angle of attack | |
| Deviation of the tower drag coefficient | |
| Deviation of the tower drag | |
| Rotor-tower clearance | |
| Relative position (vector) from the blade element to the center of the tower section | |
| Distance from the blade element to the center of the tower section | |
| Inflow angle of the blade element | |
| Azimuth angle of blade 1 | |
| Rotor azimuth angle | |
| Circulation of the blade element | |
| Blade station radius of the blade element normalized by the rotor radius | |
| Tower section at same height as η | |
| Blade pitch angle | |
| Air density | |
| Rotor angular speed | |
| Subscript | |
| Wind speed [m/s] | |
| Blade | |
| Rotor | |
| Range | |
| Tower | |
| Abbreviations | |
| BEM | Blade-element and momentum method |
| CFD | Computational fluid dynamics |
| LE | Leading edge of the blade |
| LL | Lifting line theory |
| TE | Trailing edge of the blade |
References
- Yoshida, S. Performance of downwind turbines in complex terrains. Wind Eng. 2006, 30, 487–501. [Google Scholar] [CrossRef]
- Yoshida, S. Nacelle Yaw Measurement of Downwind Turbines in Complex Terrains. Available online: https://www.windtech-international.com/editorial-features/nacelle-yaw-measurement-downwind-turbines-in-complex-terrain (accessed on 19 July 2018).
- Gipe, P. Wind Energy Comes of Age; John Wiley and Sons: Chichester, UK, 1995. [Google Scholar]
- Wind Turbines—Part 1: Design Requirements. Available online: https://webstore.iec.ch/preview/info_iec61400-1%7Bed3.0%7Den.pdf (accessed on 19 July 2018).
- Guidelines for the Certifications of Wind Turbines. Available online: https://3989ac5bcbe1edfc864a-0a7f10f87519dba22d2dbc6233a731e5.ssl.cf2.rackcdn.com/acecmn/pdf-s/Session_3_-_Handout_3_-_GL_Guideline_for_the_Certification_of_Wind_Turbines.pdf (accessed on 19 July 2018).
- Burton, T.; Jenkins, N.; Sharpe, D.; Bossanyi, E. Wind Energy Handbook, 2nd ed.; John Wiley and Sons: Chichester, UK, 2011. [Google Scholar]
- Jonkman, J.M.; Buhl, M.L., Jr. FAST User’s Guide. Available online: https://www.nrel.gov/docs/fy06osti/38230.pdf (accessed on 19 July 2018).
- Wang, T.; Coton, F.N.; Galbraith, R.A.M. An examination of two tower-shadow modeling strategies for downwind turbines. Am. Inst. Aeronaut. Astronaut. 1998. [Google Scholar] [CrossRef]
- Barman, K.; Dahlberg, J.A.; Meijer, S. Measurement of the tower wake of the Swedish prototype wind energy conversion system (WECS) Maglarp (Sweden) and calculations of its effect on noise and blade loading. In Proceedings of the European Wind Energy Conference 1984, Hamburg, Germany, 22–26 October 1984. [Google Scholar]
- Matiz-Chicacausa, A.; Lopez, O.D. Full downwind turbine simulations using actuator line method. Model. Simul. Eng. 2018. [Google Scholar] [CrossRef]
- Wang, T.; Coton, F.N. A high resolution tower shadow model for downwind wind turbines. J. Wind Eng. Ind. Aerodyn. 2001, 89, 873–892. [Google Scholar] [CrossRef]
- Zahle, F.; Madsen, H.A.; Sorensen, N.N. Evaluation of Tower Shadow Effects on Various Wind Turbine Concepts. Available online: http://orbit.dtu.dk/files/3550506/ris-r-1698.pdf (accessed on 19 July 2018).
- Zhao, Q.; Sheng, C.; Afjeh, A. Computational aerodynamic analysis of offshore upwind and downwind turbines. J. Aerodyn. 2014. [Google Scholar] [CrossRef]
- Yoshida, S.; Kiyoki, S. Load equivalent tower shadow modeling for downwind turbines. J. JSME 2007, 73, 1273–1279. [Google Scholar] [CrossRef]
- Yoshida, S.; Kiyoki, S. Load equivalent tower shadow modeling. In Proceedings of the European Wind Energy Conference 2007, Milano, Italy, 7–10 May 2007. [Google Scholar]
- Nagao, T.; Kato, T.; Shiraishi, T.; Yoshida, S.; Sugino, J. Development of advanced wind turbine systems for remote islands. Wind Eng. 2006, 28, 729–740. [Google Scholar] [CrossRef]
- Saeki, M.; Sano, T.; Kato, H.; Owada, M.; Yoshida, S. Concept of the HITACHI 5MW offshore downwind turbine. In Proceedings of the European Wind Energy Conference 2014, Barcelona, Spain, 10–13 March 2014. [Google Scholar]
- Hitachi Ltd. Wind Turbine/Products/HTW2.0-80/Specification. Available online: http://www.hitachi.com/products/power/wind-turbine/products/htw2000_80/specification (accessed on 1 September 2018).























| Rotor Position | Downwind |
|---|---|
| Rotor Diameter | 80 m |
| Rated Power | 2000 kW |
| Number of Blades | 3 |
| Tilt Angle | −8 deg |
| Coning Angle | 5 deg |
| Hub Height | 62 m |
| Tower Top Diameter | 2.5 m |
| Tower Base Diameter | 4.0 m |
| Rotor Speed | 12.0–19.5 min−1 |
| Speed Control | Pitch |
| Rated Wind Speed | 13 m/s |
| Cut-out Wind Speed | 25 m/s |
© 2018 by the author. Licensee MDPI, Basel, Switzerland. This article is an open access article distributed under the terms and conditions of the Creative Commons Attribution (CC BY) license (http://creativecommons.org/licenses/by/4.0/).
Share and Cite
Yoshida, S. Combined Blade-Element Momentum—Lifting Line Model for Variable Loads on Downwind Turbine Towers. Energies 2018, 11, 2521. https://doi.org/10.3390/en11102521
Yoshida S. Combined Blade-Element Momentum—Lifting Line Model for Variable Loads on Downwind Turbine Towers. Energies. 2018; 11(10):2521. https://doi.org/10.3390/en11102521
Chicago/Turabian StyleYoshida, Shigeo. 2018. "Combined Blade-Element Momentum—Lifting Line Model for Variable Loads on Downwind Turbine Towers" Energies 11, no. 10: 2521. https://doi.org/10.3390/en11102521
APA StyleYoshida, S. (2018). Combined Blade-Element Momentum—Lifting Line Model for Variable Loads on Downwind Turbine Towers. Energies, 11(10), 2521. https://doi.org/10.3390/en11102521

