A New Method for State of Charge Estimation of Lithium-Ion Batteries Using Square Root Cubature Kalman Filter
Abstract
:1. Introduction
1.1. Review of Methods
1.2. Contribution of This Study
1.3. Organization of This Paper
2. Model of the Battery
Lumped-Parameter Model of the Battery
3. Cubature Integral Approximation Method and SRCKF Algorithm
3.1. Cubature Using Numerical Integral Approximation Method
3.2. SRCKF Algorithm
- Step 1. Initialization of state estimation. We set the initial value of state to and obtainwhere is the Cholesky decomposition of matrix , , is the upper triangular matrix, and is the expectation.
- Step 2. State prediction ().
- Step 2.1 n cubature points for battery states at time () are calculated.
- Step 2.2: The battery state Formula (7) is used to propagate cubature points and generate new points.
- Step 2.3: After the newly generated points are weighted, the sum of the weighted points is determined and then the prediction value of the battery state at time can be estimated (SRCKF uses equal weights).
- Step 2.4: The square root of the covariance matrix of the prediction value is estimated.where .
- Step 3.1: A set of equal-weight cubature points by the square root matrix of the state prediction value and its covariance matrix is generated using the spherical radial rule ().
- Step 3.2: The battery observation Formula (8) is used to propagate the cubature points.
- Step 3.3: The prediction value of observation at time is generated.
- Step 3.4: The square root of the covariance matrix of the estimated prediction value of observation is estimated.where , and
- Step 3.5: The observation and prediction values of the square root of the covariance matrix of each other are estimated.where
- Step 3.6: The SRCKF filter gain matrix is solved.
- Step 3.7: The best state value estimate of the battery at time is calculated.
- Step 3.8: The square root of the error covariance matrix of the optimal state estimation of the battery at time is calculated.
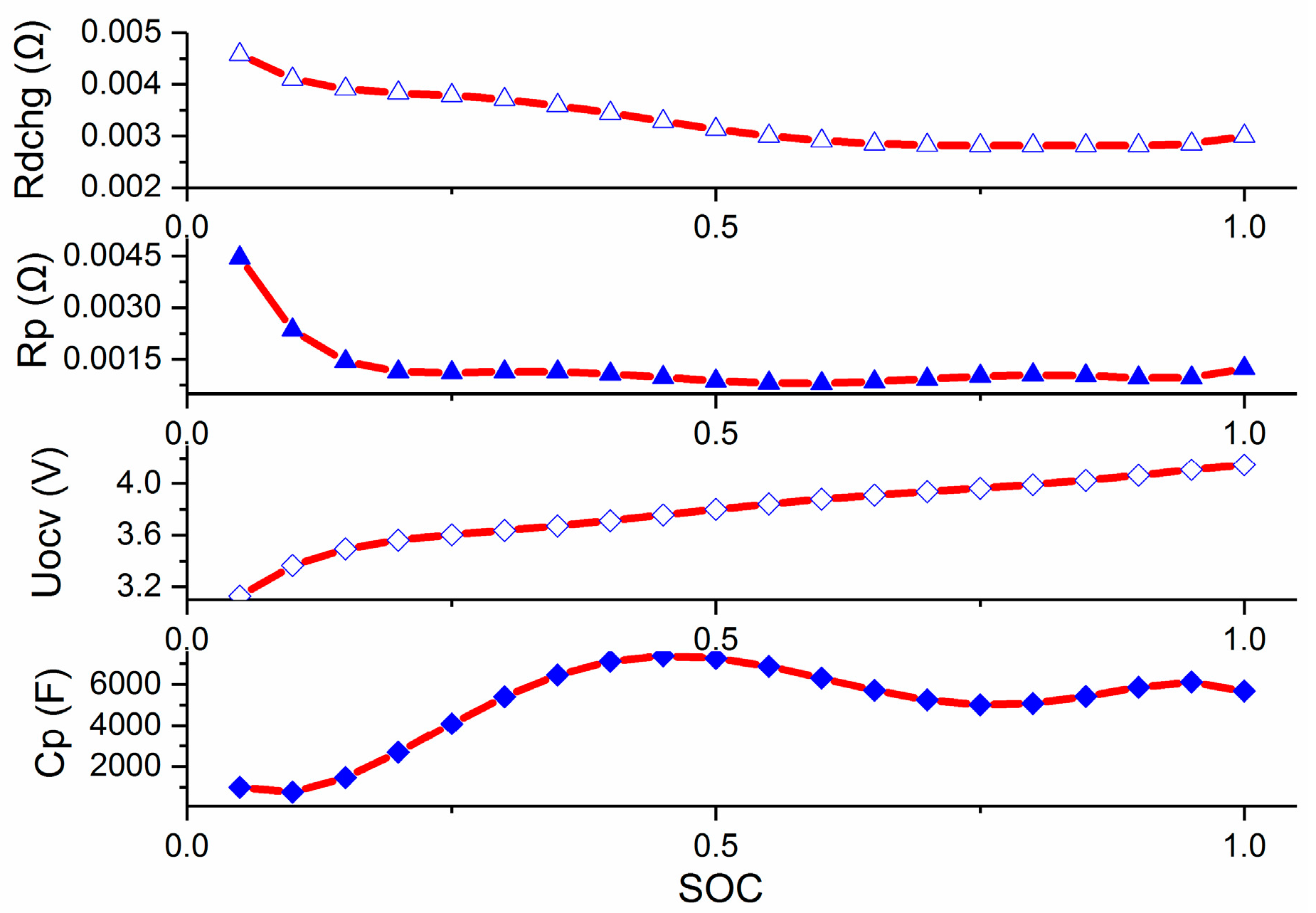
4. Experimental Configurations, HPPC Test and Off-Line Identification of Relevant Parameters
5. Results and Discussion
5.1. Experiment A: Test with Constant Discharge Current
5.2. Experiment B: DST
5.3. Experiment C: DST with Noise Measurement
6. Conclusions
- (1)
- The shortcomings of several common algorithms for battery SOC are investigated, and the SRCKF algorithm is recommended for its accuracy and speed. To balance between model accuracy and computation cost, the Thevenin model was applied to simulate the dynamic characteristics of the LIB, based on which Equations (9) and (10) were derived. With this model, experimental and parameter identification methods for off-line identification of battery parameters were proposed, and four Simulink algorithm models were established according to the EKF, UKF, CKF, and SRCKF algorithms, respectively.
- (2)
- Constant current discharge tests and DST cycles were conducted to verify the performance of the proposed method against other three methods (i.e., EKF, UKF, and CKF). The results of experiments showed that the estimation SOC error with the proposed method quickly converged to 2% within approximately 25 s, whereas the initial SOC error reached 50%. The RMSEs (0.00892), maximum error (0.02469), and mean error (−0.00704) of the proposed method were the best among all the methods in DST. Moreover, the maximum error was less than 5.5% even when the measurement noise of the voltage and the current was up to 2.5% in DST with noise.
- (3)
- Given the insufficient sensor accuracy and inaccurate hardware circuit, the signal of voltage and current are often interfered. Hence, a real EV running in a complex working condition (such as DST) with noises is very important. The method should be able to handle the nonlinear changes and random disturbance. In comparison with other methods (EKF, UKF, and CKF), only the proposed method avoided the filtering divergence in DST with noise (up to 5%).
Acknowledgments
Author Contributions
Conflicts of Interest
Nomenclature
| i | load current |
| Uocv | open-circuit voltage |
| Ut | terminal voltage |
| Up | polarization voltage |
| Rp | polarization resistance |
| Cp | polarization capacitance |
| U0 | internal resister voltage |
| Rchg | internal resistance when discharging |
| Rdchg | internal resistance when discharging |
| Rn | integral region |
| uk | known input |
| E(·) | expectation |
| Nmax | max voltage or the max current |
Greek Symbol
| σ(·) | spherical metric unit |
| ω(x) | nonnegative weight function |
| (ωi,ζi) | weight point set |
| ωk−1 | system noise |
| νk | noise of measurement |
| θ | arithmetic mean |
| α | scaling factor |
Acronyms and Abbreviations
| OCV | open-circuit voltage |
| SOC | state of charge |
| SRCKF | square root cubature Kalman filter |
| EKF | Extended Kalman filter |
| UKF | unscented Kalman filter |
| CKF | cubature Kalman filter |
| EV | electric vehicle |
| LIB | lithium-ion battery |
| BMS | battery management system |
| PF | particle filter |
| UT | unscented transform |
| LECU | local electronic control unit |
| BMU | battery management unit |
| HPPC | hybrid pulse power characteristic |
| SOH | state of health |
| DST | dynamic stress test |
| EMI | electromagnetic interference |
| RMSE | root mean square error |
| Ah | ampere-hour |
| C | discharge rate |
| MATLAB | MATrix LABoratory |
References
- Chong, U.; Yim, S.H.L.; Barrett, S.R.H.; Boies, A.M. Air quality and climate impacts of alternative bus technologies in greater London. Environ. Sci. Technol. 2014, 48, 4613–4622. [Google Scholar] [CrossRef] [PubMed]
- Remmlinger, J.; Buchholz, M.; Meiler, M.; Bernreuter, P.; Dietmayer, K. State-of-health monitoring of lithium-ion batteries in electric vehicles by on-board internal resistance estimation. J. Power Source 2011, 196, 5357–5363. [Google Scholar] [CrossRef]
- Gerssen-Gondelach, S.J.; Faaij, A.P.C. Performance of batteries for electric vehicles on short and longer term. J. Power Source 2012, 212, 111–129. [Google Scholar] [CrossRef]
- Lu, L.; Han, X.; Li, J.; Hua, J.; Ouyang, M. A review on the key issues for lithium-ion battery management in electric vehicles. J. Power Source 2013, 226, 272–288. [Google Scholar] [CrossRef]
- Xiong, R.; Sun, F.; Gong, X.; He, H. Adaptive state of charge estimator for lithium-ion cells series battery pack in electric vehicles. J. Power Source 2013, 242, 699–713. [Google Scholar] [CrossRef]
- Adany, R.; Aurbach, D.; Kraus, S. Switching algorithms for extending battery life in Electric Vehicles. J. Power Source 2013, 231, 50–59. [Google Scholar] [CrossRef]
- Li, J.; Klee Barillas, J.; Guenther, C.; Danzer, M.A. Multicell state estimation using variation based sequential Monte Carlo filter for automotive battery packs. J. Power Source 2015, 277, 95–103. [Google Scholar] [CrossRef]
- Sun, F.; Xiong, R.; He, H. A systematic state-of-charge estimation framework for multi-cell battery pack in electric vehicles using bias correction technique. Appl. Energy 2016, 162, 1399–1409. [Google Scholar] [CrossRef]
- Zhong, L.; Zhang, C.; He, Y.; Chen, Z. A method for the estimation of the battery pack state of charge based on in-pack cells uniformity analysis. Appl. Energy 2014, 113, 558–564. [Google Scholar] [CrossRef]
- Xiong, R.; Sun, F.; He, H.; Nguyen, T.D. A data-driven adaptive state of charge and power capability joint estimator of lithium-ion polymer battery used in electric vehicles. Energy 2013, 63, 295–308. [Google Scholar] [CrossRef]
- Fathabadi, H. A novel design including cooling media for Lithium-ion batteries pack used in hybrid and electric vehicles. J. Power Source 2014, 245, 495–500. [Google Scholar] [CrossRef]
- Hooper, J.M.; Marco, J. Characterising the in-vehicle vibration inputs to the high voltage battery of an electric vehicle. J. Power Source 2014, 245, 510–519. [Google Scholar] [CrossRef]
- Waag, W.; Fleischer, C.; Sauer, D.U. Critical review of the methods for monitoring of lithium-ion batteries in electric and hybrid vehicles. J. Power Source 2014, 258, 321–339. [Google Scholar] [CrossRef]
- Panchal, S.; Dincer, I.; Agelin-Chaab, M.; Fraser, R.; Fowler, M. Experimental and simulated temperature variations in a LiFePO4 -20 Ah battery during discharge process. Appl. Energy 2016, 180, 504–515. [Google Scholar] [CrossRef]
- Panchal, S.; McGrory, J.; Kong, J.; Dincer, I.; Agelin-Chaab, M.; Fraser, R.; Fowler, M. Cycling degradation testing and analysis of a LiFePO4 battery at actual conditions. Willey Int. J. Energy Res. 2017, 41, 2565–2575. [Google Scholar] [CrossRef]
- Unterrieder, C.; Zhang, C.; Lunglmayr, M.; Priewasser, R.; Marsili, S.; Huemer, M. Battery state-of-charge estimation using approximate least squares. J. Power Source 2015, 278, 274–286. [Google Scholar] [CrossRef]
- Hu, C.; Youn, B.D.; Chung, J. A multiscale framework with extended Kalman filter for lithium-ion battery SOC and capacity estimation. Appl. Energy 2012, 92, 694–704. [Google Scholar] [CrossRef]
- Hung, M.-H.; Lin, C.-H.; Lee, L.-C.; Wang, C.-M. State-of-charge and state-of-health estimation for lithium-ion batteries based on dynamic impedance technique. J. Power Source 2014, 268, 861–873. [Google Scholar] [CrossRef]
- Xiong, R.; Gong, X.; Mi, C.C.; Sun, F. A robust state-of-charge estimator for multiple types of lithium-ion batteries using adaptive extended Kalman filter. J. Power Source 2013, 243, 805–816. [Google Scholar] [CrossRef]
- Ng, K.S.; Moo, C.-S.; Chen, Y.-P.; Hsieh, Y.-C. Enhanced coulomb counting method for estimating state-of-charge and state-of-health of lithium-ion batteries. Appl. Energy 2009, 86, 1506–1511. [Google Scholar] [CrossRef]
- Xing, Y.; He, W.; Pecht, M.; Tsui, K.L. State of charge estimation of lithium-ion batteries using the open-circuit voltage at various ambient temperatures. Appl. Energy 2014, 113, 106–115. [Google Scholar] [CrossRef]
- Kim, J.; Lee, S.; Cho, B.H. Discrimination of Li-ion batteries based on Hamming network using discharging–charging voltage pattern recognition for improved state-of-charge estimation. J. Power Source 2011, 196, 2227–2240. [Google Scholar] [CrossRef]
- Wang, Y.; Zhang, C.; Chen, Z. A method for joint estimation of state-of-charge and available energy of LiFePO4 batteries. Appl. Energy 2014, 135, 81–87. [Google Scholar] [CrossRef]
- He, Y.; Liu, X.; Zhang, C.; Chen, Z. A new model for State-of-Charge (SOC) estimation for high-power Li-ion batteries. Appl. Energy 2013, 101, 808–814. [Google Scholar] [CrossRef]
- Liu, X.; Chen, Z.; Zhang, C.; Wu, J. A novel temperature-compensated model for power Li-ion batteries with dual-particle-filter state of charge estimation. Appl. Energy 2014, 123, 263–272. [Google Scholar] [CrossRef]
- Arulampalam, M.S.; Maskell, S.; Gordon, N.; Clapp, T. A tutorial on particle filters for online nonlinear/non-Gaussian Bayesian tracking. IEEE Trans. Signal Process. 2001, 50, 174–188. [Google Scholar] [CrossRef]
- Djuric, P.M.; Kotecha, J.H.; Zhang, J.; Huang, Y.; Ghirmai, T.; Bugallo, M.F.; Miguez, J. Particle filtering. IEEE Signal Process. Mag. 2003, 20, 19–38. [Google Scholar] [CrossRef]
- Kotecha, J.H.; Djuric, P.M. Gaussian particle filtering. IEEE Trans. Signal Process. 2003, 51, 2592–2601. [Google Scholar] [CrossRef]
- Kotecha, J.H.; Djuric, P.M. Gaussian sum particle filtering. IEEE Trans. Signal Process. 2003, 51, 2602–2612. [Google Scholar] [CrossRef]
- Schwunk, S.; Armbruster, N.; Straub, S.; Kehl, J.; Vetter, M. Particle filter for state of charge and state of health estimation for lithium–iron phosphate batteries. J. Power Source 2013, 239, 705–710. [Google Scholar] [CrossRef]
- Plett, G.L. Extended Kalman filtering for battery management systems of LiPB-based HEV battery packs: Part 1. J. Power Source 2004, 134, 252–261. [Google Scholar] [CrossRef]
- Plett, G.L. Extended Kalman filtering for battery management systems of LiPB-based HEV battery packs: Part 2. J. Power Source 2004, 134, 62–276. [Google Scholar] [CrossRef]
- Plett, G.L. Extended Kalman filtering for battery management systems of LiPB-based HEV battery packs: Part 3. J. Power Source 2004, 134, 277–292. [Google Scholar] [CrossRef]
- Wang, Y.; Zhang, C.; Chen, Z. A method for state-of-charge estimation of Li-ion batteries based on multi-model switching strategy. Appl. Energy 2015, 137, 427–434. [Google Scholar] [CrossRef]
- Xiong, R.; Sun, F.; Chen, Z.; He, H. A data-driven multi-scale extended Kalman filtering based parameter and state estimation approach of lithium-ion olymer battery in electric vehicles. Appl. Energy 2014, 113, 463–476. [Google Scholar] [CrossRef]
- Xiong, R.; Sun, F.C.; He, H.W. Data-driven state-of-charge estimator for electric vehicles battery using robust extended Kalman filter. Int. J. Automot. Technol. 2014, 15, 89–96. [Google Scholar] [CrossRef]
- Tian, Y.; Xia, B.; Sun, W.; Xu, Z.; Zheng, W. A modified model based state of charge estimation of power lithium-ion batteries using unscented Kalman filter. J. Power Source 2014, 270, 619–626. [Google Scholar] [CrossRef]
- Alkaya, A. Unscented Kalman filter performance for closed-loop nonlinear state estimation: A simulation case study. Electr. Eng. 2014, 96, 299–308. [Google Scholar] [CrossRef]
- Arasaratnam, I.; Haykin, S. Cubature Kalman filters. IEEE Trans Autom. Control 2009, 54, 1254–1269. [Google Scholar] [CrossRef]
- Crisan, D.; Doucet, A. A survey of convergence results on particle filtering methods for practitioners. IEEE Trans. Signal Process. 2002, 50, 736–746. [Google Scholar] [CrossRef]
- Chen, X.; Shen, W.; Dai, M.; Cao, Z.; Jin, J.; Kapoor, A. Robust adaptive sliding-mode observer using RBF neural network for Lithium-ion battery State of Charge estimation in electric vehicles. IEEE Trans. Veh. Technol. 2016, 65, 1936–1947. [Google Scholar] [CrossRef]
- Lin, C.; Mu, H.; Xiong, R.; Shen, W. A novel multi-model probability battery state of charge estimation approach for electric vehicles using H-infinity algorithm. Appl. Energy 2016, 166, 76–83. [Google Scholar] [CrossRef]
- Duong, V.-H.; Bastawrous, H.A.; Lim, K.; See, K.W.; Zhang, P.; Dou, S.X. Online state of charge and model parameters estimation of the LiFePO4 battery in electric vehicles using multiple adaptive forgetting factors recursive least-squares. J. Power Source 2015, 296, 215–224. [Google Scholar] [CrossRef]
- He, H.; Xiong, R.; Guo, H. Online estimation of model parameters and state-of-charge of LiFePO4 batteries in electric vehicles. Appl. Energy 2012, 89, 413–420. [Google Scholar] [CrossRef]
- Xiong, R.; He, H.; Sun, F.; Zhao, K. Evaluation on State of Charge Estimation of batteries with adaptive extended Kalman filter by experiment approach. IEEE Trans. Veh. Technol. 2013, 62, 108–117. [Google Scholar] [CrossRef]
- Chaoui, H.; Golbon, N.; Hmouz, I.; Souissi, R.; Tahar, S. Lyapunov-based adaptive state of charge and state of health estimation for lithium-ion batteries. IEEE Trans. Ind. Electron. 2015, 62, 1610–1618. [Google Scholar] [CrossRef]
- Xiong, R.; Sun, F.; Gong, X.; Gao, C. A data-driven based adaptive state of charge estimator of lithium-ion polymer battery used in electric vehicles. Appl. Energy 2014, 113, 1421–1433. [Google Scholar] [CrossRef]
- Sun, F.; Xiong, R. A novel dual-scale cell state-of-charge estimation approach for series-connected battery pack used in electric vehicles. J. Power Source 2015, 274, 582–594. [Google Scholar] [CrossRef]
- Wei, Z.; Meng, S.; Xiong, B.; Ji, D.; Tseng, K.J. Enhanced online model identification and state of charge estimation for lithium-ion battery with a FBCRLS based observer. Appl. Energy 2016, 181, 332–341. [Google Scholar] [CrossRef]
- Dai, H.; Xu, T.; Zhu, L.; Wei, X.; Sun, Z. Adaptive model parameter identification for large capacity Li-ion batteries on separated time scales. Appl. Energy 2016, 184, 119–131. [Google Scholar] [CrossRef]
- Zou, C.; Manzie, C.; Nešić, D. A framework for simplification of PDE-based lithium-ion battery models. IEEE Trans. Control Syst. Technol. 2016, 5, 1594–1609. [Google Scholar] [CrossRef]
- Doyle, M.; Newman, J.; Gozdz, A.S.; Schmutz, C.N.; Tarascon, J. Comparison of modeling predictions with experimental data from plastic lithium ion cells. J. Electrochem. Soc. 1996, 143, 1890–1903. [Google Scholar] [CrossRef]
- Kumaresan, K.; Sikha, G.; White, R.E. Thermal model for a Li-ion cell. J. Electrochem. Soc. 2008, 155, A164–A171. [Google Scholar] [CrossRef]
- He, H.; Xiong, R.; Guo, H.; Li, S. Comparison study on the battery models used for the energy management of batteries in electric vehicles. Energy Convers. Manag. 2012, 64, 113–121. [Google Scholar] [CrossRef]
- Ljung, L. Convergence Analysis of Parametric Identification Methods. IEEE Trans Autom. Control 1978, 23, 770–783. [Google Scholar] [CrossRef]
- Li, D.; Ouyang, J.; Li, H.Q.; Wan, J.F. State of charge estimation for LiMn2O4 power battery based on strong tracking sigma point Kalman filter. J. Power Source 2015, 279, 439–449. [Google Scholar] [CrossRef]

















| Item | Value |
|---|---|
| Cell Voltage | 3.7 V |
| Cell Capacity | 35 Ah |
| Maximum charging rates | 2 C |
| Maximum discharging rates | 4 C |
| Item | Value |
|---|---|
| Max value of discharging current | 200 A |
| Max value of charging current | 200 A |
| Range of voltage measurement | 0~5 V |
| Current measurement error | 0.1%F.S. but not better than ±20 mA |
| Voltage measurement error | 0.1%F.S. but not better than ±20 mV |
| Temperature measurement error | ±1 °C |
| Coefficients | g | f | e | d | c | b | a |
|---|---|---|---|---|---|---|---|
| Rp | 0.004107 | −0.052842 | 0.316150 | −0.917690 | 1.395537 | −1.062447 | 0.318105 |
| Rdchg | 0.001812 | −0.006602 | 0.041589 | −0.144026 | 0.258410 | −0.226639 | 0.076809 |
| Uocv | 2.971124 | 7.396502 | −37.015633 | 101.27299 | −143.46866 | 100.40782 | −27.381834 |
| Cp | 3839 | 86,475 | −502,083 | 2,080,696 | −4,107,296 | 3,696,315 | −1,244,161 |
| Coefficients | g | f | e | d | c | b | a |
|---|---|---|---|---|---|---|---|
| Rp | 0.008551 | −0.108954 | 0.621934 | −1.758040 | 2.593975 | −1.910763 | 0.554538 |
| Rdchg | 0.005575 | −0.027267 | 0.171668 | −0.538437 | 0.840745 | −0.636656 | 0.187370 |
| Uocv | 2.712023 | 10.728256 | −55.006330 | 149.858773 | −213.2116 | 151.254438 | −42.189757 |
| Cp | 2677 | −51,640 | 397,937 | −773,697 | 312,761 | 400,225 | −282,581 |
| Methods | EKF | UKF | CKF | SRCKF |
|---|---|---|---|---|
| Computation cost (s) | 0.0023 | 0.01788 | 0.006775 | 0.00774 |
| Methods | Convergence Time (s) | RMSE | Max Error | Mean Error |
|---|---|---|---|---|
| EKF | 25 | 0.01211 | 0.02727 | 0.00270 |
| UKF | 110 | 0.00970 | 0.01701 | −0.00268 |
| CKF | 60 | 0.00602 | 0.01233 | 0.00008 |
| SRCKF | 25 | 0.00599 | 0.01308 | 0.00015 |
| Methods | Convergence Time (s) | RMSE | Max Error | Mean Error |
|---|---|---|---|---|
| EKF | 65 | 0.01560 | 0.05064 | −0.01443 |
| UKF | 85 | 0.00864 | 0.03058 | −0.01047 |
| CKF | 60 | 0.00912 | 0.02665 | −0.00705 |
| SRCKF | 25 | 0.00892 | 0.02469 | −0.00704 |
| SRCKF | RMSE | Max Error | Mean Error |
|---|---|---|---|
| 1% noise | 0.01081 | 0.03489 | −0.00273 |
| 2.5% noise | 0.01693 | 0.05347 | 0.00055 |
| 5% noise | 0.02004 | 0.07971 | 0.00279 |
© 2018 by the authors. Licensee MDPI, Basel, Switzerland. This article is an open access article distributed under the terms and conditions of the Creative Commons Attribution (CC BY) license (http://creativecommons.org/licenses/by/4.0/).
Share and Cite
Cui, X.; Jing, Z.; Luo, M.; Guo, Y.; Qiao, H. A New Method for State of Charge Estimation of Lithium-Ion Batteries Using Square Root Cubature Kalman Filter. Energies 2018, 11, 209. https://doi.org/10.3390/en11010209
Cui X, Jing Z, Luo M, Guo Y, Qiao H. A New Method for State of Charge Estimation of Lithium-Ion Batteries Using Square Root Cubature Kalman Filter. Energies. 2018; 11(1):209. https://doi.org/10.3390/en11010209
Chicago/Turabian StyleCui, Xiangyu, Zhu Jing, Maji Luo, Yazhou Guo, and Huimin Qiao. 2018. "A New Method for State of Charge Estimation of Lithium-Ion Batteries Using Square Root Cubature Kalman Filter" Energies 11, no. 1: 209. https://doi.org/10.3390/en11010209
APA StyleCui, X., Jing, Z., Luo, M., Guo, Y., & Qiao, H. (2018). A New Method for State of Charge Estimation of Lithium-Ion Batteries Using Square Root Cubature Kalman Filter. Energies, 11(1), 209. https://doi.org/10.3390/en11010209
