Investigation on a Power Coupling Steering System for Dual-Motor Drive Tracked Vehicles Based on Speed Control
Abstract
:1. Introduction
2. Mathematical Model for Dynamic Steering
2.1. R ≤ 0.5 B Steering
2.2. R > 0.5 B Steering
3. Steering System Design
3.1. Steering Coupling Drive System
3.2. Planetary Gear Coupler Design
3.3. Planetary Geaer System Design
3.3.1. Selection and Preliminary Calculation
3.3.2. Geometric Size Calculation
3.3.3. Checking of the Strength
3.4. EM Clutch and EM Brake
4. Control Strategy
4.1. Driver Inputs Modeling
4.2. Torque Distribution Strategy Based on Speed
4.2.1. Ideal Vehicle Body Model
4.2.2. Coupling Distribution Controller
4.2.3. Slip Ratio Controller
5. Modeling and Simulation Results
5.1. Center Steering
5.2. 0.5 B Steering
5.3. 2 B Steering
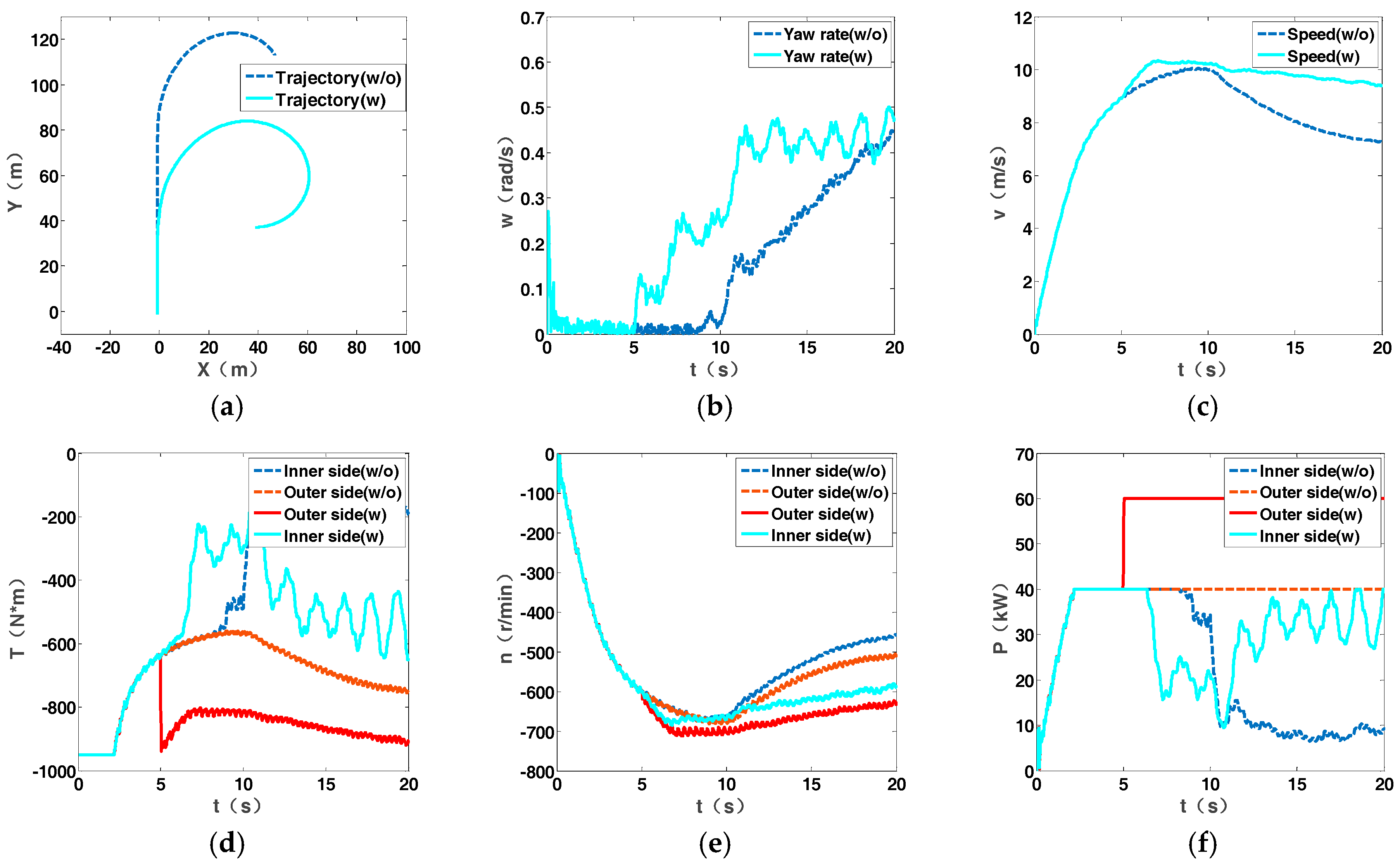
5.4. 8 B Steering
6. Conclusions
Acknowledgments
Author Contributions
Conflicts of Interest
References
- Zhai, L.; Sun, T.M.; Wang, Q.N.; Wang, J. Lateral stability control of dynamic steering for dual motor drive high speed tracked vehicle. Int. J. Autom. Technol. 2016, 17, 1079–1090. [Google Scholar] [CrossRef]
- Ketting, M.; Frohner, F.; Wottawah, V. Drive Chain for Tracked Vehicle. U.S. Patent 6142588 A, 7 November 2000. [Google Scholar]
- LI, J.; Zhang, H.; Meng, H.; Tang, R. Research of tracked vehicle compliance simulation. Armor. Veh. Engine 2003, 92, 4–7. [Google Scholar]
- Kim, M.S.; Woo, Y.H. Robust design optimization of the dynamic responses of a tracked vehicle system. Int. J. Autom. Technol. 2013, 14, 47–51. [Google Scholar] [CrossRef]
- Lu, L.; Sun, F.; Zhai, L. Steering performance simulation for electric drive tracked vehicle based on Matlab Simulink. Acta Armamentarii 2016, 27, 69–74. [Google Scholar]
- Zang, K.M.; Liao, Z.L.; LI, H. Study on general technology of the tank electric transmission. Veh. Power Technol. 2007, 1, 5–12. [Google Scholar]
- Wang, H.; Huang, Y.; Khajepour, A.; He, H.; Cao, D. A novel energy management for hybrid off-road vehicles without future driving cycles as a priori. Energy 2017, in press. [Google Scholar] [CrossRef]
- Wang, H.; Huang, Y.; Khajepour, A.; Song, Q. Model predictive control-based energy management strategy for a series hybrid electric tracked vehicle. Appl. Energy 2016, 182, 105–114. [Google Scholar] [CrossRef]
- Hong-Cai, L.I.; Yan, Q.D.; Song, W.Q.; Chen, J.X. Research on electric transmission program of steering power's mechanical recycle of tracklayer. J. Mach. Des. 2011, 28, 60–64. [Google Scholar]
- Zhai, L.; Sun, F.C.; Gu, Z.L.; Zhang, C.N. Steering control strategy of electronic differential speed in electric drive tracked vehicle. Trans. Beijing Inst. Technol. 2009, 2, 006. [Google Scholar]
- Gao, M.; Hu, J.; Peng, Z. Study on optimization for transmission system of electric drive tracked vehicles. Energy Proced. 2017, 105, 2971–2976. [Google Scholar] [CrossRef]
- Sun, F.C.; Chen, S.Y.; Zhang, C.N. Steering dynamic performance of an electric transmission tracked vehicle based on rotating speed control. Defin. Technol. 2006, 2, 7–13. [Google Scholar]
- Sheng, H.; Li, C.M.; Xu, Y.; Du, M.G.; Ma, T. Research on composite braking technology for electric drive high speed tracked vehicle. Adv. Eng. Res. 2017, 105, 594–602. [Google Scholar]
- Thompson, R.W. Drive Configuration for Skid Steered Vehicles. U.S. Patent 8485286, 16 July 2013. [Google Scholar]
- Purdy, D.J.; Simner, D.; Diskett, D.; Duncan, A.; Wormell, P.J.H.; Stonier, C. An experimental and theoretical investigation into the roll-over of tracked vehicles. Proc. Inst. Mechan. Eng. Part D J. Autom. Eng. 2015, 230, 291–307. [Google Scholar] [CrossRef]
- Zaunberger, F.X. Electro-Mechanical Drive System for a Full-Track Vehicle. U.S. Patent 4998591, 3 December 1991. [Google Scholar]
- Gai, J.; Huang, S.; Zhou, G.; Li, S. Design method of power coupling mechanism scheme for double side motors coupling drive transmission. China Mechan. Eng. 2014, 13, 1739–1743. [Google Scholar]
- Jia, X.P.; Jun, M.A.; Fan, S.G.; Kui-Long, Y.U. Simulation of coupling mechanism for electric-drive off-road vehicle. Veh. Power Technol. 2014, 136, 6–10. [Google Scholar]
- Wang, Q.N. Study on Steering Stability Control for Dual Motor Drivetracked Vehicle. Master’s Thesis, Beijing Institute of Technology, Beijing, China, 2014. [Google Scholar]
- Aripin, M.K.; Sam, Y.M.; Danapalasingam, K.A.; Peng, K.; Hamzah, N.; Ismail, M.F. A review of active yaw control system for vehicle handling and stability enhancement. Int. J. Veh. Technol. 2014, 1–4, 1–15. [Google Scholar] [CrossRef]
- Zhai, L.; Sun, T.; Wang, J. Electronic stability control based on motor driving and braking torque distribution for a four in-wheel motor drive electric vehicle. IEEE Trans. Veh. Technol. 2016, 65, 4726–4739. [Google Scholar] [CrossRef]
- Taratorkin, I.; Derzhanskii, V.; Taratorkin, A. Experimental determination of kinematic and power parameters at the tracked vehicle turning. Proced. Eng. 2016, 150, 1368–1377. [Google Scholar] [CrossRef]















| Parameters | Value |
|---|---|
| Vehicle tread, B (m) | 1.3 |
| Ground contact length, L (m) | 1.7 |
| Rolling resistance coefficient, f | 0.04 |
| Transmission efficiency, η | 0.9 |
| Drive ratio, ig | 6.35 |
| Mass of vehicle, m (kg) | 2000 |
| Mass gain coefficient, δ | 1.5 |
| Moment of inertia, J (kg/m2) | 3000 |
| Parameters | Rated Power (kW) | Rated Torque (N·m) | Rated Speed (r/min) | Maximum Power (kW) | Maximum Torque (N·m) | Maximum Speed (r/min) |
|---|---|---|---|---|---|---|
| Value | 20 | 64 | 3000 | 40 | 150 | 9000 |
| Situation | R (mm) | TL (N·m) | TR (N·m) | nL (r/min) | nR (r/min) | PL (kW) | PR (kW) | V (km/h) |
|---|---|---|---|---|---|---|---|---|
| Dynamic | 0 | 272 | 272 | 344 | 344 | 9.8 | 9.8 | 0 |
| 0.2 B | 279 | 252 | 482 | 206 | 14.1 | 5.5 | 1.22 | |
| 0.5 B | 258 | 181 | 688 | 0 | 18.6 | 0 | 3.06 | |
| Stationary | 0 | 192 | 192 | 344 | 344 | 6.9 | 6.9 | 0 |
| 0.2 B | 187 | 187 | 482 | 206 | 9.4 | 4.0 | 1.22 | |
| 0.5 B | 179 | 168 | 688 | 0 | 12.9 | 0 | 3.06 | |
| 2 B | 148 | −127 | 1720 | 1032 | 26.6 | −13.7 | 12.2 | |
| 5 B | 111 | −90 | 3096 | 3784 | 43.9 | −29.2 | 30.6 | |
| 8 B | 90 | −69 | 5847 | 5159 | 54.8 | −37.2 | 49.0 | |
| 10 B | 80 | −59 | 7223 | 6535 | 60.3 | −40.5 | 61.2 |
| Parameters | Rated Power (kW) | Rated Torque (N·m) | Rated Speed (r/min) | Maximum Power (kW) | Maximum Torque (N·m) | Maximum Speed (r/min) |
|---|---|---|---|---|---|---|
| Value | 10 | 160 | 600 | 20 | 300 | 1200 |
| Mode | Braker 1 | EM Clutch 1 | EM Clutch 2 | Steering Motor | Propulsion Motor |
|---|---|---|---|---|---|
| Straight | engaged | disconnected | disconnected | off | working |
| Torque coupling | engaged | disconnected | combined | working | working |
| Power coupling | disengaged | combined | disconnected | working | working |
| Radius | Coupling | TL (N·m) | TR (N·m) | Ts (N·m) | PL (kW) | PR (kW) | Ps (kW) | nL (r/min) | nR (r/min) | ns (r/min) |
|---|---|---|---|---|---|---|---|---|---|---|
| 0 B (dynamic) | without | 150 | 150 | 0 | 5.4 | 5.4 | 0 | 344 | 344 | 0 |
| with | 150 | 150 | 260 | 5.4 | 5.4 | 9.4 | 344 | |||
| 0.5 B (dynamic) | without | 150 | 150 | 0 | 10.8 | 0 | 0 | 688 | 0 | 0 |
| with | 150 | 150 | 108 | 10.8 | 0 | 7.8 | 688 | |||
| 0 B (stationary) | without | 150 | 150 | 0 | 5.4 | 5.4 | 0 | 344 | 344 | 0 |
| with | 150 | 150 | 84 | 5.4 | 5.4 | 3 | 344 | |||
| 0.5 B (stationary) | without | 150 | 150 | 0 | 10.8 | 0 | 0 | 688 | 0 | 0 |
| with | 150 | 150 | 29 | 10.8 | 0 | 2.1 | 688 | |||
| 2 B (stationary) | without | 148 | −127 | 0 | 26.7 | −13.7 | 0 | 1720 | 1032 | 0 |
| with | - | - | - | - | - | - | - | |||
| 8 B (stationary) | without | 90 | −69 | 0 | 40.0 | −27.1 | 0 | 4244 | 3744 | 0 |
| with | 90 | −69 | 150 | 54.8 | −37.1 | 14.8 | 4244 | 5129 | 942 |
| Gear Pair | Reference Circle Diameter (d) | Basic Circle Diameter (db) | Tip Circle Diameter (da) | Root Circle Diameter (df) | Breadth of Tooth (b) |
|---|---|---|---|---|---|
| External gear pair | d1 = 44.074 d2 = 95.926 | db1 = 41.234 db2 = 89.922 | da1 = 49.074 da2 = 100.926 | df1 = 37.824 df2 = 89.676 | bsun = 43 bplanet = 48 |
| Internal gear pair | d2 = 95.926 d3 = 235.926 | db2 = 89.922 db3 = 221.159 | da2 = 100.926 da3 = 231.320 | df2 = 89.676 df3 = 242.176 | bplanet = 48 bring = 43 |
| Checking Pair | σH1 | σH2 | σF1 | σF2 | σHP1 (allowed) | σHP2 (allowed) | σFP1 (allowed) | σFP2 (allowed) | Checking |
|---|---|---|---|---|---|---|---|---|---|
| External gear pair (teeth contact stress) | 1162.8 | 1162.8 | - | - | 1566.1 | 1562.3 | - | - | σH1 ≤ σHP1 σH2 ≤ σHP2 |
| External gear pair (teeth bending strength) | - | - | 340.2 | 295.1 | - | - | 686.5 | 672.0 | σF1 ≤ σFP1 σF2 ≤ σFP2 |
| Internal gear pair (teeth contact stress) | 434.6 | 434.6 | - | - | 1818.9 | 793.6 | - | - | σH1 ≤ σHP1 σH2 ≤ σHP2 |
| Internal gear pair (teeth bending strength) | - | - | 233.2 | 228.9 | - | - | 588.0 | 383.3 | σH1 ≤ σHP1 σH2 ≤ σHP2 |
| Component | Number | Inertia (kg·mm²) | Stiffness Coefficient | Damping Coefficient |
|---|---|---|---|---|
| Sprocket | 2 | 279,379 | 18,000 | 10 |
| Road Wheel | 10 | 685,898 | 12,000 | 10 |
| Carrier | 6 | 5121 | 15,000 | 10 |
| Track link | 198 | 1989 | 9000 | 10 |
| Track subsystem | - | - | 1,600,000 | 10,000 |
© 2017 by the authors. Licensee MDPI, Basel, Switzerland. This article is an open access article distributed under the terms and conditions of the Creative Commons Attribution (CC BY) license (http://creativecommons.org/licenses/by/4.0/).
Share and Cite
Zhai, L.; Huang, H.; Kavuma, S. Investigation on a Power Coupling Steering System for Dual-Motor Drive Tracked Vehicles Based on Speed Control. Energies 2017, 10, 1118. https://doi.org/10.3390/en10081118
Zhai L, Huang H, Kavuma S. Investigation on a Power Coupling Steering System for Dual-Motor Drive Tracked Vehicles Based on Speed Control. Energies. 2017; 10(8):1118. https://doi.org/10.3390/en10081118
Chicago/Turabian StyleZhai, Li, Hong Huang, and Steven Kavuma. 2017. "Investigation on a Power Coupling Steering System for Dual-Motor Drive Tracked Vehicles Based on Speed Control" Energies 10, no. 8: 1118. https://doi.org/10.3390/en10081118
APA StyleZhai, L., Huang, H., & Kavuma, S. (2017). Investigation on a Power Coupling Steering System for Dual-Motor Drive Tracked Vehicles Based on Speed Control. Energies, 10(8), 1118. https://doi.org/10.3390/en10081118

