Comparison of the Performance of Artificial Neural Networks and Fuzzy Logic for Recognizing Different Partial Discharge Sources
Abstract
1. Introduction
2. Experimental Set-Up
2.1. The PD Detection System
2.2. PD Test Samples
- (a)
- Single void (void 1): In this test object, nine PET sheets were sandwiched between the HV electrode and the ground. A single cylindrical void of D = 0.6 mm and t = 50 µm is located at the centre of the PET layers as shown in Figure 3a. The inception voltage for void 1 is approximately 2.82 kV. PD data was captured over 250 cycles from the start of the experiment through a 7 h continuous degradation period. However, to guarantee that the experimental set-up is discharge free prior to the samples with voids being investigated, PET layers without any voids were initially stressed to confirm the validity of discharge free PET environments [3]. Optimal external pressure is maintained on all samples to ensure an ideal specimen without any small voids on the edges and any other twist that can create a void.
- (b)
- Parallel void (void 2): This test arrangement is similar to void 1, except that two voids with the same dimension (i.e., D = 0.6 mm and t = 50 µm) are created adjacent to each other in a horizontal form as shown in Figure 3b. The inception voltage for void 2 is approximately 3.2 kV.
- (c)
- Serial void (void 3): This test arrangement is also similar to void 1, except that two voids with the same sizes (i.e., D = 0.6 mm and t = 50 µm) are created adjacent to each other in a vertical form as shown in Figure 3c. The inception voltage is approximately 2.82 kV. It can be seen that the inception voltage for void 2 is greater than that of void 1 and void 3 due to the influence of the electric field on the different void arrangements.
- (d)
- Surface discharge in oil 1 (surf 1): Surface discharge along an oil-pressboard interface is investigated by means of an experimental test arrangement as shown in Figure 2b. In this test arrangement, a needle was placed at an angle of 10° to a pressboard surface, with the needle tip at a predetermined distance (d) = 25 mm from an earth electrode also placed on the pressboard in oil. The applied voltage is 18.5 kV. In order to have good representative of PD patterns for evaluation were captured continuously from onset up to 7 h of continuous stress.
- (e)
- Surface discharge in oil 2 (surf 2): Test arrangement is similar to surf 1 except that d = 45 mm.
- (f)
- Surface discharge in oil 3 (surf 3): This test arrangements is also identical to surf 1 except that d = 25 mm and applied voltage of 30 kV.
- (g)
- Surface discharge in oil 4 (surf 4): This test object is similar to surf 3 except that d = 45 mm.
3. PD Pattern Recognition Tools
3.1. Artificial Neural Networks
3.2. Fuzzy Logic
- (a)
- Fuzzifier: In this case, crisp input set is collected and then converted to fuzzy set using certain linguistic parameters, terms and membership functions. There are basically three types of fuzzifier namely singleton fuzzifier, Gaussian fuzzifier and trapezoidal (or triangular fuzzifier) [33]. In the singleton fuzzifier, the inputs are converted into fuzzy singletons. It simplifiers the fuzzy computations but cannot eliminate noise [33]. The Gaussian and trapezoidal are commonly used for pattern recognition because they can suppress noise and simplify fuzzy calculations based certain membership functions [34,35]. In this paper, trapezoidal fuzzifier will be applied to recognize PD.
- (b)
- The inference is carried out based on certain fuzzy rules. In the inference stage, a number of fuzzy operators (OR, AND, NOT) are applied in the IF part of the rule. This is important in order to define input and output behaviours and choosing the minimum number of variables that are applied to the fuzzy logic machine.
- (c)
- Finally, the defuzzification step, where the corresponding fuzzy output is mapped to a crisp output based on the membership functions. Many types of defuzzification exist which include the maximum defuzzification technique, centre of gravity and the bisector method. The maximum defuzzification technique is the most common and it selects the output with the maximum membership function [33,36].
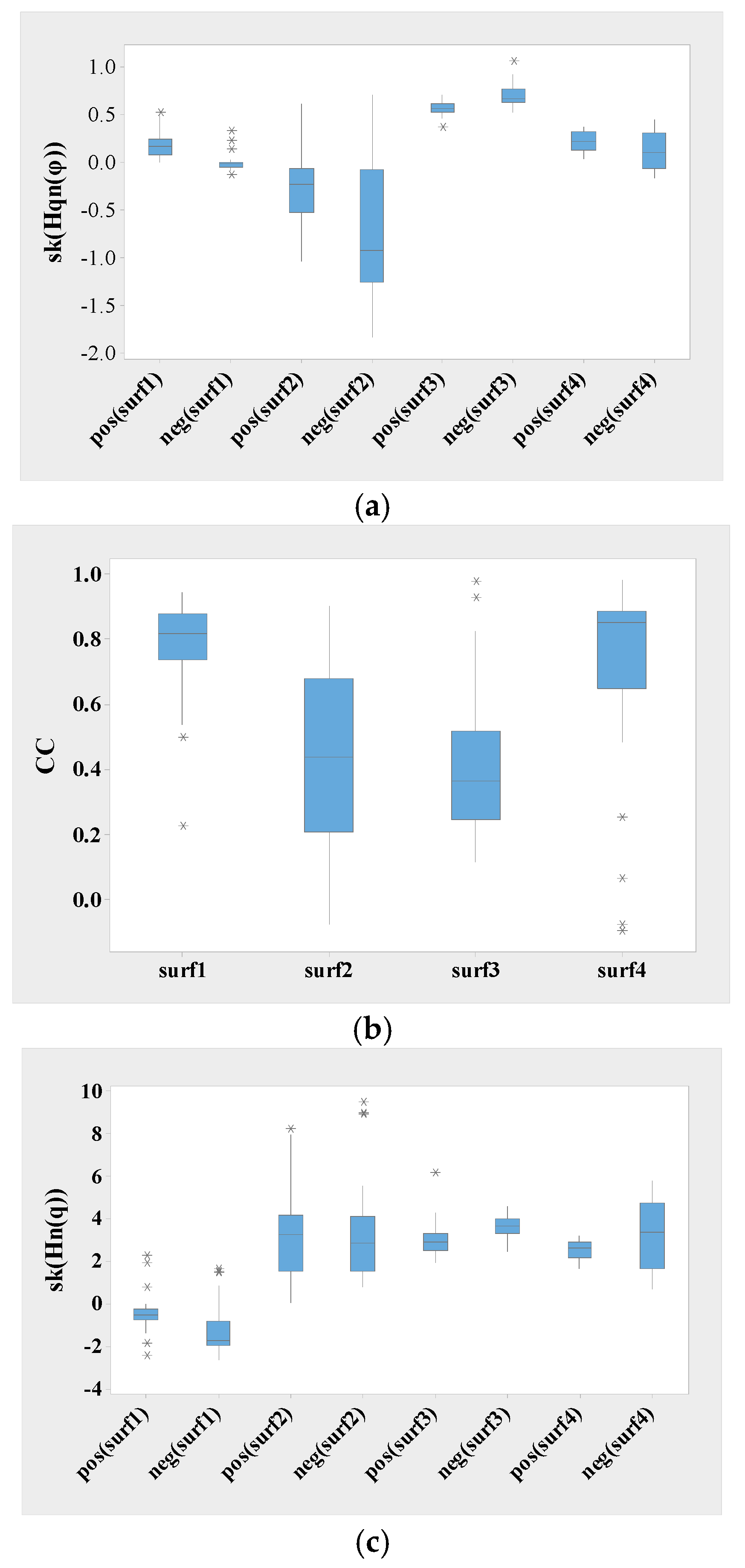
4. PRPD Patterns and Statistical Parameters for the ANN and FL
4.1. PRPD Patterns for PD Faults
4.2. Statistical Fingerprints
4.3. Results and Analysis
4.3.1. ANN results
4.3.2. FL results
- If (Q is high) ∪ (cc is high) ∩ (sk (Hqn(φ) is low)- Then (void 1)
- If (Q is low) ∪ (cc is low) ∩ (sk (Hqn(φ) is medium), Then (void 2)
- If (Q is high-medium) ∪ (cc is high) ∩ (sk (Hqn(φ) is low)- Then (void 3)
- If (sk (Hn(q) is low) ∩ (cc is medium) ∪ (sk (Hqn(φ) is medium)- Then (surf 1)
- If (sk (Hn(q) is medium) ∩ (cc is low) ∪ (sk (Hqn(φ) is low)- Then (surf 2)
- If (sk (Hn(q) is medium) ∩ (cc is low) ∩ (sk (Hqn(φ) is high)- Then (surf 3)
- If (sk (Hn(q) is medium) ∩ (cc is medium) (sk (Hqn(φ) is medium)- Then (surf 4)
4.3.3. ANN and FL results comparison
5. Conclusions
Acknowledgments
Author Contributions
Conflicts of Interest
References
- Kuffel, E.; Zaengl, W.; Kuffel, J. High Voltage Engineering Fundamentals, 2nd ed.; Newnes: Oxford, UK, 2000; pp. 613–651. [Google Scholar]
- Kreuger, F.H. Partial Discharge Detection in High Voltage Equipment; Butterworths: London, UK, 1989. [Google Scholar]
- Abubakar, M.A. The Application of Ensemble Neural Networks for Partial Discharge Pattern Recognition. Ph.D. Thesis, Glasgow Caledonian University, Glasgow, UK, 2013. [Google Scholar]
- Hirata, A.; Nakata, S.; Kawasaki, Z. Toward automatic classification of partial discharge sources with neural network. IEEE Trans. Power Deliv. 2006, 21, 526–527. [Google Scholar] [CrossRef]
- Gill, P. Electrical Power Equipment Maintenance and Testing, 2nd ed.; Power Engineering (Willis); Taylor & Francis: Boca Raton, FL, USA, 2008. [Google Scholar]
- Cavallini, A.; Montanari, G.; Contin, A.; Pulletti, F. A new approach to the diagnosis of solid insulation systems based on PD signal inference. IEEE Electr. Insul. Mag. 2003, 19, 22–30. [Google Scholar] [CrossRef]
- Ardila-Rey, J.A.; Martínez-Tarifa, J.M.; Robles, G.; Rojas-Moreno, M.V. Partial discharge and noise separation by means of spectral power clustering techniques. IEEE Trans. Electron. 2013, 20, 1436–1443. [Google Scholar] [CrossRef]
- Albarracín, R.; Robles, G.; Martinez-Tarifa, J.M.; Ardila-Rey, J. Separation of sources in radio frequency measurements of partial discharges using time–power ratio maps. ISA Trans. 2015, 58, 389–397. [Google Scholar] [CrossRef] [PubMed]
- Gulski, E.; Kreuger, F. Computer aided analysis of discharge patterns. J. Appl. Phys. 1990, 23, 1569–1575. [Google Scholar] [CrossRef]
- Raymond, W.J.K.; Illias, H.A.; Mokhlis, H. Partial discharge classifications: Review of recent progress. Measurement 2015, 68, 164–181. [Google Scholar] [CrossRef]
- Gulski, E.; Krivda, A. Neural Network as a tool for recognition of partial discharges. IEEE Trans. Electr. Insul. 1993, 28, 984–1001. [Google Scholar] [CrossRef]
- Álvarez, F.; Garnacho, F.; Ortego, J.; Sánchez-Urán, M.Á. Application of HFCT and UHF Sensors in On-Line Partial Discharge Measurements for Insulation diagnosis of High Voltage Equipment. Sensors 2015, 15, 7360–7387. [Google Scholar] [CrossRef] [PubMed]
- Gulski, E. Computer Aided Recognition Of Partial Discharges Using Statistical Tools. Ph.D. Thesis, Delft University of Technology, Delft, The Netherlands, 1999. [Google Scholar]
- Mas’ud, A.A.; Stewart, B.G.; McMeekin, S.G. Application of an ensemble neural network for classifying partial discharge patterns. Electr. Power Syst. Res. 2014, 110, 154–162. [Google Scholar] [CrossRef]
- Mas’ud, A.A.; Stewart, B.G.; McMeekin, S.G. An investigative study into the sensitivity of different partial discharge φ-q-n pattern resolution sizes on statistical neural network pattern classification. Measurement 2016, 92, 497–507. [Google Scholar] [CrossRef]
- Candella, R.; Mirelli, G.; Schifani, R. Partial discharge recognition by means of statistical and fractal parameters and a neural network. IEEE Trans. Electr. Insul. 2000, 7, 87–94. [Google Scholar] [CrossRef]
- Mas’ud, A.A.; Albarracín, R.; Ardila-Rey, J.A.; Muhammad-Sukki, F.; Illias, H.A.; Bani, N.A.; Munir, A.B. Artificial Neural Network Application for Partial Discharge Recognition: Survey and Future Directions. Energies 2016, 9, 574. [Google Scholar] [CrossRef]
- Abdel-Galil, T.; Sharkawy, R.; Salama, M. Partial discharge pattern classification using the fuzzy decision tree approach. IEEE Trans. Instrum. Meas. 2005, 54, 2258–2263. [Google Scholar] [CrossRef]
- Wang, G.; Guo, Z.; Lei, Q. Online incremental learning for tool condition classification using modified Fuzzy ARTMAP network. J. Intell. Manuf. 2014, 25, 1403–1411. [Google Scholar] [CrossRef]
- Ma, X.; Zhou, C.; Kemp, I. Interpretation of wavelet analysis and its application in partial discharge detection. IEEE Trans. Dielectr. Electr. Insul. 2002, 9, 446–457. [Google Scholar] [CrossRef]
- Alisha, E.; Satish, L. Wavelet analysis for classification of multi-source PD patterns. IEEE Trans. Dielectr. Electr. Insul. 2000, 7, 40–47. [Google Scholar]
- Robles, G.; Parrado-Hernández, E.; Ardila-Rey, J.; Martínez-Tarifa, J.M. Multiple partial discharge source discrimination with multiclass support vector machines. Expert Syst. Appl. 2016, 55, 417–428. [Google Scholar] [CrossRef]
- Mazroua, A.; Bartnikas, R.; Salama, M. Partial discharge pattern recognition with neural networks using the multi-layer perceptron technique. IEEE Trans. Electr. Insul. 1995, 28, 1082–1089. [Google Scholar] [CrossRef]
- Ben Salah, C.; Ouali, M. Comparison of Fuzzy Logic and Neural Network in Maximum Power Point Tracker for PV Systems. Electr. Power Syst. Res. 2011, 81, 43. [Google Scholar] [CrossRef]
- Alabedin, A.M.Z.; El-Saadany, E.F.; Salama, M.M.A. Maximum Power Point Tracking for Photovoltaic Systems Using Fuzzy Logic and Artificial Neural Networks. In Proceedings of the 2011 IEEE Power and Energy Society General Meeting, Detroit, MI, USA, 24–29 July 2011; pp. 1–9. [Google Scholar]
- Topçu, İ.B.; Sarıdemir, M. Prediction of Compressive Strength of Concrete Containing Fly Ash Using Artificial Neural Networks and Fuzzy Logic. Comput. Mater. Sci. 2008, 41, 305. [Google Scholar] [CrossRef]
- James, R.E.; Su, Q. IET Power and Energy Series. In Condition Assessment of High Voltage Insulation in Power System Equipment; The Institution of Engineering and Technology: London, UK, 2008. [Google Scholar]
- IEC-60270. High-Voltage Test Techniques—Partial Discharge Measurements, 3rd ed.; International Electrotechnical Commission (IEC): New Delhi, India, 2000. [Google Scholar]
- Haykin, S. Neural Networks: A Comprehensive Foundation; Prentice Hall: Upper Saddle River, NJ, USA, 1998. [Google Scholar]
- Priddy, K.; Keller, P. Artificial Neural Network: An Introduction; SPE: New York, NY, USA, 2005. [Google Scholar]
- Cilimkovic, M. Neural Networks and Back Propagation Algorithm. Master’s Thesis, Institute of Technology Blanchardstown, Dublin, Ireland, 2015. [Google Scholar]
- Li, C.; Yu, C. Performance Evaluation of Public Non-Profit Hospitals Using a BP Artificial Neural Network: The Case of Hubei Province in China. Int. J. Environ. Res. Public Health. 2013, 10, 3619–3633. [Google Scholar] [CrossRef] [PubMed]
- Wang, L.X. A Course in Fuzzy Systems and Control; Prentice-Hall: London, UK, 1997. [Google Scholar]
- Mendel, J. Fuzzy logic systems for engineering: A tutorial. Proc. IEEE 1995, 83, 345–377. [Google Scholar] [CrossRef]
- Knapp, R.B. Fuzzy Sets and Pattern Recognition. Available online: http://hci.sapp.org/lectures/knapp/fuzzy/fuzzy.pdf (accessed on 2 January 2016).
- International Electrotechnical Commission (IEC). Part 7: Fuzzy Control Programming; International Electrotechnical Commission: London, UK, 1997. [Google Scholar]
- Gopal, S.; Karthikeyan, B.; Kavitha, D. Partial Discharge pattern classification using fuzzy expert system. In Proceedings of the IEEE 8th International Conference on Solid Dielectrics (ICSD), Toulouse, France, 5–9 July 2004; pp. 500–503. [Google Scholar]
- Chen, X.; Cavallini, A.; Montanari, G.C. Statistical analysis and fuzzy logic identification of partial discharge in paper-oil insulation system. In Proceedings of the IEEE 9th International Conference on the Properties and Applications of Dielectric Materials (ICPADM), Harbin, China, 19–23 July 2009; pp. 505–508. [Google Scholar]
- Marungsri, B.; Boonpoke, S. Applications of simplified fuzzy ARTMAP to partial discharge classification and pattern recognition. WSEAS Trans. Syst. 2011, 10, 69–80. [Google Scholar]
- Illias, H.; Chen, G.; Lewin, P. Partial discharge behaviour within two spherical cavities in dielectric material. In Proceedings of the IEEE Conference on Electrical Insulation and Dielectric Phenomena, Cancun, Mexico, 16–19 October 2011; pp. 456–459. [Google Scholar]
- Alvarez, F.; Ortego, J.; Garnacho, F.; Sánchez-Urán, M.Á. A clustering technique for partial discharge and noise sources identification in power cables by means of waveform parameters. IEEE Trans. Dielectr. Electr. Insul. 2016, 23, 469–481. [Google Scholar] [CrossRef]
- Cavallini, A.; Montanari, G.C.; Puletti, F. A fuzzy logic algorithm to detect electrical trees in polymeric insulation systems. IEEE Trans. Dielectr. Electr. Insul. 2005, 12, 1134–1144. [Google Scholar] [CrossRef]
- Majidi, M.; Fadali, M.S.; Etezadi-Amoli, M.; Oskuoee, M. Partial discharge pattern recognition via sparse representation and ANN. IEEE Trans. Dielectr. Electr. Insul. 2015, 22, 1061–1070. [Google Scholar] [CrossRef]

















| Statistical Operator | Mathematical Equation |
|---|---|
| Skewness | |
| Kurtosis | |
| Discharge Factor | Q = |
| Cross-correlation (cc) | cc = |
| Modified cross-correlation | Q cc |
| Training Data | Testing Data and the Corresponding Recognition Rate | ||||||
|---|---|---|---|---|---|---|---|
| Void 1 | Void 2 | Void 3 | Surf 1 | Surf 2 | Surf 3 | Surf 4 | |
| Void 1 | 98% | 75% | 96% | ||||
| Void 2 | 65% | 97% | 69% | ||||
| Void 3 | 94% | 70% | 96% | ||||
| Surf 1 | 95% | 74% | 82% | 74% | |||
| Surf 2 | 78% | 96% | 79% | 75% | |||
| Surf 3 | 80% | 77% | 95% | 76% | |||
| Surf 4 | 73% | 78% | 78% | 97% | |||
| Training Data | Testing Data and the Corresponding Recognition Rate | ||||||
|---|---|---|---|---|---|---|---|
| Void 1 | Void 2 | Void 3 | Surf 1 | Surf 2 | Surf 3 | Surf 4 | |
| Void 1 | 100% | 0% | 0% | ||||
| Void 2 | 0% | 100% | 0% | ||||
| Void 3 | 0% | 0% | 100% | ||||
| Surf 1 | 100% | 0% | 0% | 0% | |||
| Surf 2 | 0% | 100% | 0% | 0% | |||
| Surf 3 | 0% | 0% | 100% | 0% | |||
| Surf 4 | 0% | 0% | 0% | 100% | |||
| ANN | FL |
|---|---|
| ANN is well-known as a non-linear technique and easier to be implemented | FL is more useful in interpreting uncertainties associated with data by interpreting data relationship using fuzzy rules |
| For complex problems, ANN requires large data for training to obtain correct result | FL do not require large data for correct interpretation |
| For PD recognition, ANN can provide recognition probability values of different defects in order to show the extent of similarity or variations of the PD defects | FL can provide recognition probability of the PD faults as either correct (1) or incorrect (0) |
| The ANN can recognize and discriminate PD faults of closely similar geometry depending on training or testing PD samples | With FL, it is difficult to understand the similarity of the PD defects and whether they are of the same geometrical arrangement or not |
© 2017 by the authors. Licensee MDPI, Basel, Switzerland. This article is an open access article distributed under the terms and conditions of the Creative Commons Attribution (CC BY) license (http://creativecommons.org/licenses/by/4.0/).
Share and Cite
Mas’ud, A.A.; Ardila-Rey, J.A.; Albarracín, R.; Muhammad-Sukki, F.; Bani, N.A. Comparison of the Performance of Artificial Neural Networks and Fuzzy Logic for Recognizing Different Partial Discharge Sources. Energies 2017, 10, 1060. https://doi.org/10.3390/en10071060
Mas’ud AA, Ardila-Rey JA, Albarracín R, Muhammad-Sukki F, Bani NA. Comparison of the Performance of Artificial Neural Networks and Fuzzy Logic for Recognizing Different Partial Discharge Sources. Energies. 2017; 10(7):1060. https://doi.org/10.3390/en10071060
Chicago/Turabian StyleMas’ud, Abdullahi Abubakar, Jorge Alfredo Ardila-Rey, Ricardo Albarracín, Firdaus Muhammad-Sukki, and Nurul Aini Bani. 2017. "Comparison of the Performance of Artificial Neural Networks and Fuzzy Logic for Recognizing Different Partial Discharge Sources" Energies 10, no. 7: 1060. https://doi.org/10.3390/en10071060
APA StyleMas’ud, A. A., Ardila-Rey, J. A., Albarracín, R., Muhammad-Sukki, F., & Bani, N. A. (2017). Comparison of the Performance of Artificial Neural Networks and Fuzzy Logic for Recognizing Different Partial Discharge Sources. Energies, 10(7), 1060. https://doi.org/10.3390/en10071060

