Five Megawatt Wind Turbine Power Output Improvements by Passive Flow Control Devices
Abstract
:1. Introduction
2. Blade Element Momentum Method
- (1)
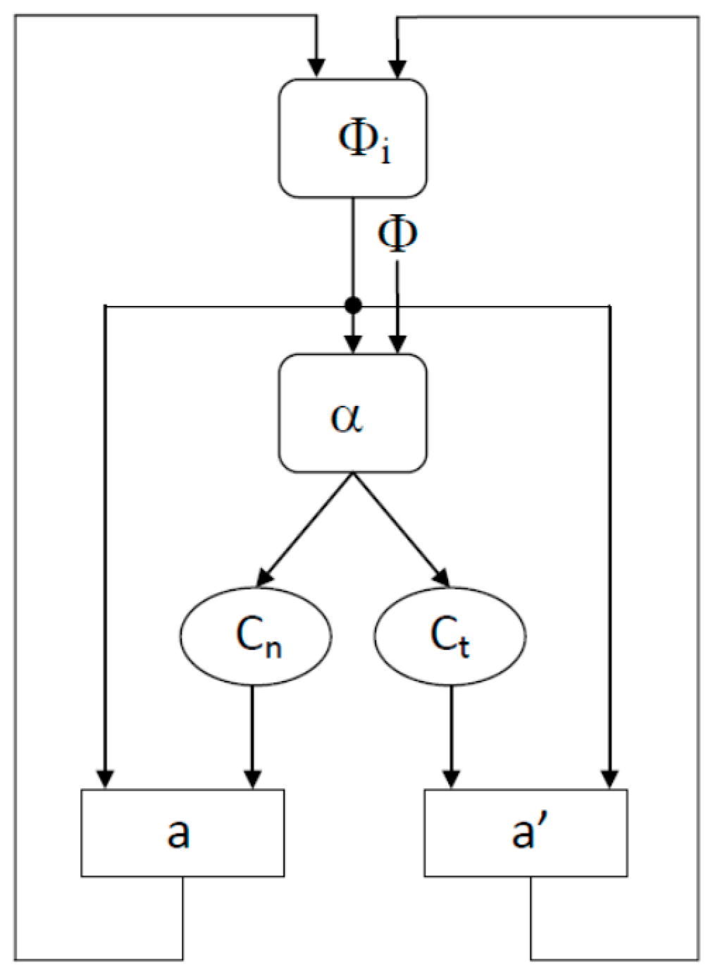
- Initialization by guessing the values of a and a′, and the axial and tangential induction factors, respectively.
- (2)
- Calculate the flow angle Φi.
- (3)
- Calculate the local angle of attack α.
- (4)
- Read off CL (α) and CD (α).
- (5)
- Compute the normal Cn and tangential Ct load coefficients.
- (6)
- Re-calculate a and a′.
- (7)
- State a tolerance for a and a′ and if it has changed more than that tolerance, go to (b), or else finish.
- (8)
- Compute the local loads.
3. NREL 5 MW Reference Wind Turbine
3.1. Flow Control Devices and Experimental Data Description
4. Wind Speed Model
- Mean wind speeds in the hub : 5 and 10 m/s;
- Spectral model: IECKAI (B); and
- Hub height: 90 m.
5. Methodology
- (1)
- First of all, BEM-based computations were carried out in order to characterize the dynamic behavior of the NREL 5 MW wind turbine, including BEM calculation improvements described in Section 2.
- (2)
- Following the specifications of the utility scale multi megawatt wind turbine NREL offshore 5 MW baseline described in [28], all of the wind turbine rotor properties were introduced as input characteristics. The polar curves of airfoils with no flow control device were taken from [32] and [29]. The data of the airfoil with the flow control devices are described in Section 3.1.
- (3)
- The surfaces of the power coefficient Cp were calculated for all cases of the present study according to the matrix distribution described in Table 4.
- (4)
- Once the Cp surfaces have been generated, BEM-based computations are run for all of the cases and the power curve vs. wind speed is calculated to compare the power curve of the clean turbine with the curve of the cases with the flow control devices implemented.
- (5)
- Afterwards, the wind speed realizations explained in Section 4 are introduced to calculate the average wind turbine power output for all cases.
- (6)
- The results of the average wind turbine power output for all cases and at two different wind speed realizations are compared with the mean power output of the clean wind turbine, the one without any flow control devices implemented.
6. Results and Discussion
- ■
- ■
- Nbins: number of bins per data.
- ■
- P(V0,j): power at the wind speed V0,j.
- ■
- N(V0,j): number of data at the wind speed V0,j.
Best Combination Case Comparison vs. Clean Case
7. Conclusions
Acknowledgments
Author Contributions
Conflicts of Interest
References
- Johnson, S.J.; van Dam, C.P. Active Load Control Techniques for Wind Turbines; Tech. Rep. SAND2008-4809; Sandia National Laboratories: Livermore, NM, USA, 2008. [Google Scholar]
- Taylor, H.D. The Elimination of Diffuser Separation by Vortex Generators; Research Department Concluding Report No. R-15064-5; United Aircraft Corporation: East Hartford, CT, USA, 1947. [Google Scholar]
- Liu, Y.; Sun, J.; Tang, Y.; Lu, L. Effect of slot at blade root on compressor cascade performance under different aerodynamic parameters. Appl. Sci. Basel 2016, 6, 421. [Google Scholar] [CrossRef]
- Wood, R.M. Discussion of aerodynamic control effectors concepts (ACEs) for future unmanned air vehicles (UAVs). In Proceedings of the AIAA 1st Technical Conference and Workshop on Unmanned Aerospace Vehicle, Systems, Technologies, and Operations, Portsmouth, VA, USA, 20–23 May 2002. [Google Scholar]
- Shires, A.; Kourkoulis, V. Application of circulation controlled blades for vertical axis wind turbines. Energies 2013, 6, 3744–3763. [Google Scholar] [CrossRef]
- Xu, H.; Qiao, C.; Ye, Z. Dynamic stall control on the wind turbine airfoil via a co-flow jet. Energies 2016, 9, 429. [Google Scholar] [CrossRef]
- Aramendia-Iradi, I.; Fernandez-Gamiz, U.; Sancho-Saiz, J.; Zulueta-Guerrero, E. State of the art of active and passive flow control devices for wind turbines. DYNA 2016, 91, 512–516. [Google Scholar] [CrossRef]
- Becker, R.; Garwon, M.; Gutknecht, C.; Bärwolff, G.; King, R. Robust control of separated shear flows in simulation and experiment. J. Process Control 2005, 15, 691–700. [Google Scholar] [CrossRef]
- Taylor, H.D. Summary Report on Vortex Generators; Research Department Report No. R-05280-9; United Aircraft Corporation: East Hartford, CT, USA, 1950. [Google Scholar]
- Fernandez-Gamiz, U.; Marika Velte, C.; Réthoré, P.E.; Sørensen, N.N.; Egusquiza, E. Testing of self-similarity and helical symmetry in vortex generator flow simulations. Wind Energy 2016. [Google Scholar] [CrossRef]
- Urkiola, A.; Fernandez-Gamiz, U.; Errasti, I.; Zulueta, E. Computational characterization of the vortex generated by a vortex generator on a flat plate for different vane angles. Aerosp. Sci. Technol. 2017, 65, 18–25. [Google Scholar] [CrossRef]
- Gao, L.; Zhang, H.; Liu, Y.; Han, S. Effects of vortex generators on a blunt trailing-edge airfoil for wind turbines. Renew. Energy 2015, 76, 303–311. [Google Scholar] [CrossRef]
- Choudhry, A.; Arjomandi, M.; Kelso, R. Methods to control dynamic stall for wind turbine applications. Renew. Energy 2016, 86, 26–37. [Google Scholar] [CrossRef]
- Gebhardt, C.G.; Preidikman, S.; Massa, J.C. Numerical simulations of the aerodynamic behavior of large horizontal-axis wind turbines. Int. J. Hydrog. Energy 2010, 35, 6005–6011. [Google Scholar] [CrossRef]
- Øye, S. The ELKRAFT 1 MW wind turbine: Results from the test program. In Proceedings of the European Union Wind Energy Conference, Göteborg, Sweden, 20–24 May 1996; pp. 251–255. [Google Scholar]
- Sullivan, T.L. Effect of Vortex Generators on the Power Conversion Performance and Structural Dynamic Loads of the Mod-2 Wind Turbine; Report No. NASA-TM-83680, E-2131, DOE/NASA/20320-59, NAS 1.15:83680; Lewis Research Center: Cleveland, OH, USA, 1984. [Google Scholar]
- Lin, J. Review of research on low-profile vortex generators to control boundary-layer separation. Prog. Aerosp. Sci. 2002, 38, 389–420. [Google Scholar] [CrossRef]
- Liebeck, R.H. Design of subsonic airfoils for high lift. J. Aircr. 1978, 15, 547–561. [Google Scholar] [CrossRef]
- Storms, B.L.; Jang, C.S. Lift enhancement of an airfoil using a gurney flap and vortex generators. J. Aircr. 1994, 31, 542–547. [Google Scholar] [CrossRef]
- Van Dam, C.P.; Chow, R.; Zayas, J.R.; Berg, D.E. Computational investigations of small deploying tabs and flaps for aerodynamic load control. Sci. Mak. Torque Wind 2007, 75, 012027. [Google Scholar] [CrossRef]
- Chow, R.; van Dam, C.P. On the temporal response of active load control devices. Wind Energy 2010, 13, 135–149. [Google Scholar] [CrossRef]
- Meyer, R.; Hage, W.; Bechert, D.W.; Schatz, M.; Thiele, F. Drag reduction on gurney flaps by three-dimensional modifications. J. Aircr. 2006, 43, 132–140. [Google Scholar] [CrossRef]
- Troldborg, N.; Zahle, F.; Sørensen, N. Simulation of a MW rotor equipped with vortex generators using CFD and an actuator shape model. In Proceedings of the 53rd AIAA Aerospace Sciences Meeting, Kissimmee, FL, USA, 5–9 January 2015. [Google Scholar]
- Bender, E.E.; Anderson, B.H.; Yagle, P.J. Vortex generator modeling for navier-stokes codes. In Proceedings of the 1999 3rd ASME/JSME Joint Fluids Engineering Conference (FEDSM), San Francisco, CA, USA, 18–23 July 1999. [Google Scholar]
- Hansen, M.O.L.; Sørensen, J.N.; Voutsinas, S.; Sørensen, N.; Madsen, H.A. State of the art in wind turbine aerodynamics and aeroelasticity. Prog. Aerosp. Sci. 2006, 42, 285–330. [Google Scholar] [CrossRef]
- Hansen, M.O.L. Aerodynamics of Wind Turbines; Earthscan Publications Ltd.: London, UK, 2008. [Google Scholar]
- Glauert, H. Airplane Propellers. In Aerodynamic Theory: A General Review of Progress Under a Grant of the Guggenheim Fund for the Promotion of Aeronautics; Durand, W.F., Ed.; Springer: Berlin/Heidelberg, Germany, 1935. [Google Scholar] [CrossRef]
- Jonkman, J.; Butterfield, S.; Musial, W.; Scott, G. Definition of a 5 MW Reference Wind Turbine for Offshore System Development; Tech. Rep. NREL/TP-500-38060; National Renewable Energy Laboratory: Golden, CO, USA, 2009.
- Kooijman, H.J.T.; Lindenburg, C.; Winkelaar, D.; van der Hooft, E.L. DOWEC 6 MW Pre-Design: Aero-Elastic Modeling of the DOWEC 6 MW Pre-Design in PHATAS; Tech. Rep. ECN-CX-01-135, DOWEC 10046_009; Energy Research Center of the Netherlands: Petten, The Netherlands, 2003. [Google Scholar]
- Lindenburg, C. Aeroelastic Modeling of the LMH64-5 Blade; Tech. Rep. DOWEC-02-KL-083/0, DOWEC 10083_001; Energy Research Center of the Netherlands: Petten, The Netherlands, 2002. [Google Scholar]
- Nijssen, R. WMC5MW Laminate Lay-Out of Reference Blade for WP 3: UPWIND WMC5MW 374 Laminate Data, Rev. 1; Knowledge Centre Wind Turbine Materials and Constructions: Wieringerwerf, The Netherlands, 2007. [Google Scholar]
- Timmer, W.A.; Van Rooij, R.P.J.O.M. Summary of the Delft University wind turbine dedicated airfoils. ASME J. Sol. Energy Eng. Trans. 2003, 125, 488–496. [Google Scholar] [CrossRef]
- Kelley, N.; Jonkman, B. NWTC Computer-Aided Engineering Tools (TurbSim). 2012. Available online: http://wind.nrel.gov/designcodes/preprocessors/turbsim (accessed on 17 January 2016).
- IEC 61400-1. Wind Turbine Generator Systems-Part 1: Safety Requirements, 2nd ed.; Tech. Rep.; International Electrotechnical Commission: Geneva, Switzerland, 1999.
- Veers, P.S. Three-Dimensional Wind Simulation; Tech. Rep. SAND88–0152; Sandia National Laboratories: Albuquerque, NM, USA, 1988.
- IEC 61400-1: Wind Turbines—Part 1: Design Requirements, 3rd ed.; Tech. Rep.; International Electrotechnical Commission: Geneva, Switzerland, 2005.








| Variable | Name | Units |
|---|---|---|
| Vo | Wind speed | m/s |
| ai | Axial induction factor | - |
| Tangential induction factor | - | |
| β | Pitch angle in the blade root | rad |
| βtwist,i | Twist angle for each position of ri | rad |
| ri | Airfoil spanwise position (radius) | m |
| w | Rotor rotational speed | rad/s |
| ρ | Air density | Kg/m3 |
| B | Number of blades | - |
| ci | Airfoil chord length | m |
| dTorque | Torque on the annular element | Nm |
| Cn | Normal load coefficient | - |
| Ct | Tangential load coefficient | - |
| Φ | Flow angle | rad |
| α | Angle of attack | rad |
| Station | r | Airfoil Type |
|---|---|---|
| 1 | 2.8667 | Cylinder1 |
| 2 | 5.6000 | Cylinder1 |
| 3 | 8.3333 | Cylinder2 |
| 4 | 11.7500 | DU40 |
| 5 | 15.8500 | DU35 |
| 6 | 19.9500 | DU35 |
| 7 | 24.0500 | DU97W300 |
| 8 | 28.1500 | DU91W(2)250 |
| 9 | 32.2500 | DU91W(2)250 |
| 10 | 36.3500 | DU93W210 |
| 11 | 40.4500 | DU93W210 |
| 12 | 44.5500 | NACA64XX |
| 13 | 48.6500 | NACA64XX |
| 14 | 52.7500 | NACA64XX |
| 15 | 56.1667 | NACA64XX |
| 16 | 58.9000 | NACA64XX |
| 17 | 61.6333 | NACA64XX |
| Airfoil Type | Flow Control Device | Case Name |
|---|---|---|
| DU97W300 | VG’s leading edge at 20% chord upper surface | DU97W300VG20 |
| VG’s leading edge at 30% chord upper surface | DU97W300VG30 | |
| VG’s leading edge at 20% chord upper surface and zigzag tape t = 0.35 mm at x = 5% chord upper surface | DU97W300VG20zigzag | |
| DU91W(2)250 | VG’s leading edge at 20% chord upper surface. Gurney flap with height of 2% chord at lower surface trailing edge. | DU91W(2)250VG20GF2 |
| VG’s leading edge at 30% chord upper surface. Gurney flap with height of 2% chord at the lower surface trailing edge. | DU91W(2)250VG30GF2 | |
| DU93W210 | VGs (height 5 mm) at 20% chord upper surface | DU93W210VG20 |
| VGs (height 5 mm) at 40% chord upper surface | DU93W210VG40 | |
| VGs (height 7 mm) at 60% chord upper surface | DU93W210VG60 |
| Test ID | Test Cases | St. 7 | St. 8 | St. 9 | St. 10 | St. 11 |
|---|---|---|---|---|---|---|
| 0 | Clean | |||||
| 1 | DU97W300VG20st7 | x | ||||
| 2 | DU97W300VG30st7 | x | ||||
| 3 | DU97W300VG20zigzag | x | ||||
| 4 | DU91W(2)250VG20GF2st8 | x | ||||
| 5 | DU91W(2)250VG20GF2st9 | x | ||||
| 6 | DU91W(2)250VG20GF2st8st9 | x | x | |||
| 7 | DU91W(2)250VG30GF2st8 | x | ||||
| 8 | DU91W(2)250VG30GF2st9 | x | ||||
| 9 | DU91W(2)250VG30GF2st8st9 | x | x | |||
| 10 | DU91W(2)250VG20st8 | x | ||||
| 11 | DU91W(2)250VG20st9 | x | ||||
| 12 | DU91W(2)250VG20st8st9 | x | x | |||
| 13 | DU91W(2)250VG30st8 | x | ||||
| 14 | DU91W(2)250VG30st9 | x | ||||
| 15 | DU91W(2)250VG30st8st9 | x | x | |||
| 16 | DU93W210VG20st10 | x | ||||
| 17 | DU93W210VG20st11 | x | ||||
| 18 | DU93W210VG40st10st11 | x | x | |||
| 19 | DU93W210VG40st10 | x | ||||
| 20 | DU93W210VG40st11 | x | ||||
| 21 | DU93W210VG40st10st11 | x | x | |||
| 22 | DU93W210VG60st10 | x | ||||
| 23 | DU93W210VG60st11 | x | ||||
| 24 | DU93W210VG60st10st11 | x | x |
| TEST ID | TEST CASES | NTM5 (W) | Δ (%) | NTM10 (W) | Δ (%) |
|---|---|---|---|---|---|
| 0 | Clean | 485,570 | - | 3,417,917 | - |
| 1 | DU97W300VG20st7 | 531,586 | 9.477 | 3,521,719 | 3.037 |
| 2 | DU97W300VG30st7 | 531,680 | 9.496 | 3,522,083 | 3.048 |
| 3 | DU97W300VG20zigzag | 531,594 | 9.478 | 3,521,749 | 3.038 |
| 4 | DU91W(2)250VG20GF2st8 | 534,666 | 10.110 | 3,533,699 | 3.387 |
| 5 | DU91W(2)250VG20GF2st9 | 531,784 | 9.517 | 3,522,488 | 3.060 |
| 6 | DU91W(2)250VG20GF2st8st9 | 534,667 | 10.111 | 3,533,699 | 3.388 |
| 7 | DU91W(2)250VG30GF2st8 | 534,571 | 10.091 | 3,533,342 | 3.377 |
| 8 | DU91W(2)250VG30GF2st9 | 531,784 | 9.517 | 3,522,488 | 3.060 |
| 9 | DU91W(2)250VG30GF2st8st9 | 531,813 | 9.523 | 3,533,342 | 3.377 |
| 10 | DU91W(2)250VG20st8 | 531,784 | 9.517 | 3,522,488 | 3.060 |
| 11 | DU91W(2)250VG20st9 | 531,784 | 9.517 | 3,522,488 | 3.060 |
| 12 | DU91W(2)250VG20st8st9 | 531,811 | 9.523 | 3,522,597 | 3.063 |
| 13 | DU91W(2)250VG30st8 | 531,813 | 9.523 | 3,522,601 | 3.063 |
| 14 | DU91W(2)250VG30st9 | 531,784 | 9.517 | 3,522,488 | 3.060 |
| 15 | DU91W(2)250VG30st8st9 | 531,813 | 9.523 | 3,522,601 | 3.063 |
| 16 | DU93W210VG20st10 | 531,786 | 9.518 | 3,522,499 | 3.060 |
| 17 | DU93W210VG20st11 | 531,784 | 9.517 | 3,522,488 | 3.060 |
| 18 | DU93W210VG40st10st11 | 531,786 | 9.518 | 3,522,499 | 3.060 |
| 19 | DU93W210VG40st10 | 531,785 | 9.518 | 3,522,492 | 3.060 |
| 20 | DU93W210VG40st11 | 531,784 | 9.517 | 3,522,488 | 3.060 |
| 21 | DU93W210VG40st10st11 | 531,785 | 9.518 | 3,522,492 | 3.060 |
| 22 | DU93W210VG60st10 | 531,932 | 9.548 | 3,523,067 | 3.076 |
| 23 | DU93W210VG60st11 | 531,784 | 9.517 | 3,522,488 | 3.060 |
| 24 | DU93W210VG60st10st11 | 531,932 | 9.548 | 3,523,067 | 3.077 |
| 25 | Best combination case | 536,074 | 10.401 | 3,538,934 | 3.541 |
| Wind Type | Thrust (N) | Bending Moment (Nm) | ||||
|---|---|---|---|---|---|---|
| Clean | ID25 | ΔT (%) | Clean | ID25 | ΔT (%) | |
| NTM5 | 155155 | 157698 | 1.639 | 6705529 | 6766144 | 0.904 |
| NTM10 | 511960 | 519500 | 1.437 | 22072422 | 22251318 | 0.810 |
© 2017 by the authors. Licensee MDPI, Basel, Switzerland. This article is an open access article distributed under the terms and conditions of the Creative Commons Attribution (CC BY) license (http://creativecommons.org/licenses/by/4.0/).
Share and Cite
Fernandez-Gamiz, U.; Zulueta, E.; Boyano, A.; Ansoategui, I.; Uriarte, I. Five Megawatt Wind Turbine Power Output Improvements by Passive Flow Control Devices. Energies 2017, 10, 742. https://doi.org/10.3390/en10060742
Fernandez-Gamiz U, Zulueta E, Boyano A, Ansoategui I, Uriarte I. Five Megawatt Wind Turbine Power Output Improvements by Passive Flow Control Devices. Energies. 2017; 10(6):742. https://doi.org/10.3390/en10060742
Chicago/Turabian StyleFernandez-Gamiz, Unai, Ekaitz Zulueta, Ana Boyano, Igor Ansoategui, and Irantzu Uriarte. 2017. "Five Megawatt Wind Turbine Power Output Improvements by Passive Flow Control Devices" Energies 10, no. 6: 742. https://doi.org/10.3390/en10060742
APA StyleFernandez-Gamiz, U., Zulueta, E., Boyano, A., Ansoategui, I., & Uriarte, I. (2017). Five Megawatt Wind Turbine Power Output Improvements by Passive Flow Control Devices. Energies, 10(6), 742. https://doi.org/10.3390/en10060742

