Abstract
In this paper, a novel isolated bidirectional DC-DC converter is proposed, which is able to accomplish high step-up/down voltage conversion. Therefore, it is suitable for hybrid electric vehicle, fuel cell vehicle, energy backup system, and grid-system applications. The proposed converter incorporates a coupled inductor to behave forward-and-flyback energy conversion for high voltage ratio and provide galvanic isolation. The energy stored in the leakage inductor of the coupled inductor can be recycled without the use of additional snubber mechanism or clamped circuit. No matter in step-up or step-down mode, all power switches can operate with soft switching. Moreover, there is a inherit feature that metal–oxide–semiconductor field-effect transistors (MOSFETs) with smaller on-state resistance can be adopted because of lower voltage endurance at primary side. Operation principle, voltage ratio derivation, and inductor design are thoroughly described in this paper. In addition, a 1-kW prototype is implemented to validate the feasibility and correctness of the converter. Experimental results indicate that the peak efficiencies in step-up and step-down modes can be up to 95.4% and 93.6%, respectively.
1. Introduction
In order to reduce carbon emission and mitigate global warming, green energies, such as photovoltaic (PV) panel, fuel cells, and wind turbine, attract a great deal of interest and have a high rate of growth in installed capacity. A complete configuration of distributed generation system (DGS), as shown in Figure 1, not only includes green-energy sources but also combines an energy storage system for power conditioning to use electricity optimally. For grid connection, a DC-bus voltage up to around 400 V is required, which is much higher than a battery voltage. Therefore, a bidirectional DC-DC converter (BDC) with high voltage ratio to charge/discharge battery is mandatory in the DGS.
Figure 1.
Configuration of distributed generation system.
Conventional high step-up converters used in PV panel and fuel cells can boost a low voltage to a higher level to serve as an interface between the distributed generator and the DC bus [1,2,3]. Nevertheless, they only control power flow in unique direction. Bidirectional power flow control is necessary for battery system. A solution is to adopt two high-voltage-ratio converters. One is high-step-up converter for battery discharging and the other is high-step-down converter for charging, but this approach increases cost significantly. Therefore, BDC is the current design trend, which is capable of governing energy in either power flow direction by a single converter. BDCs can be simply classified as non-isolated type [4,5,6] and isolated type [7,8].
Increasing switching frequency of a power converter can reduce the size of magnetic and capacitive elements and thus has the benefit of achieving high power density. However, the higher switch frequency is, the lower conversion efficiency will be. In order to eliminate switching loss, employing resonant unit with auxiliary switches for soft-switching achievement is a common approach [9,10,11]. In literature [12], the authors develop a dual-bridge converter to fulfill bidirectional power flow controlling along with zero voltage switching (ZVS) at main switch, in which even resonant tank is utilized but the use of additional auxiliary switch can be avoided. Nevertheless, a great many switches are needed and its voltage ratio is incapable of high step-up/down applications.
The open H-bridge converter can function as a non-isolated BDC [13]. Even though this converter can achieve ZVS feature and possesses simple structure, its voltage gain is less than 2 at the duty ratio of 0.5. For higher voltage ratio, heavy switch duty cycle is the only solution to this problem, but this approach will degrade converter efficiency. To avoid excessive duty cycle operation, switched capacitor technology will be an alternative for high voltage-gain conversion [14]. However, current spike that occurs at the switching transients confines its applications and accompanies electromagnetic interference (EMI) problem, especially in high power rating. Incorporating switched capacitor along with coupled inductor into a power converter is a key to suppressing inrush current and obtaining enough voltage conversion ratio [15,16,17,18]. Since the coupled inductor can also feature electrical isolation, a BDC including coupled inductor is the major development. However, the energy dissipation caused from leakage inductor will degrade converter efficiency [19,20]. That is, clamped circuit or snubber mechanism for leakage energy harvesting is imperative. Isolated BDCs based on H-bridge topology have been proposed in the literature [21,22], which can achieve ZVS feature inherently, avoiding additional device usage. Nevertheless, low voltage ratio and more power switches required become their disadvantages. In [23], another isolated BDC which accomplishes leakage-energy recycling and can obtain high voltage-ratio conversion is presented. Nevertheless, some limitations still exist, such as ZVS only occurs at high-voltage side and duty ratio has to be greater than 0.5.
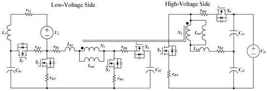
In this paper, a novel BDC is proposed, which has the advantages of galvanic isolation, high voltage conversion ratio, soft-switching feature at all power switches, high efficiency, being suitable for high power applications, and low component count. Figure 2 shows its configuration of the power stage. The symbols in the circuit are summarized in the followings. VL and VH denote the terminal voltages at low-voltage side and high-voltage side, respectively; L1 is a choke inductor; S1, S2, S3, S4, S5, and S6 are active switches, while DS1–DS6 and CS1–CS6 express their related anti-parallel body diodes and parasitic capacitors; the magnetically-coupled device has winding N1, magnetizing inductor Lm1, and leakage inductor Lk1 at low-voltage side, meanwhile N2, Lm2, and Lk2, respectively, at high-voltage side; Cb1 and Cb2 are low-voltage capacitors; and Co1 and Co2 are high-voltage capacitors. The conversion efficiency of proposed BDC can be improved because of the following reasons:
- (1)
- No matter in buck or boost mode, the energy stored in leakage inductors, Lk1 and Lk2, can be recycled without any snubber mechanism or clamped circuit.
- (2)
- All active semiconductor components can be switched with ZVS or zero current switching (ZCS) to eliminate switching losses.
- (3)
- Switches S1–S4 endure a low voltage stress so that semiconductor device with a smaller Rds(on) can be chosen to reduce conduction losses.
Figure 2.
Schematic of the proposed bidirectional converter.
Following the introduction described in Section 1, this paper is organized as follows. The operation principle of the proposed converter is explained in Section 2. Section 3 presents the steady-state analysis. Experimental results measured from a 1-kW prototype are illustrated and discussed in Section 4, while conclusion is summarized in Section 5.
2. Operation Principle of the Proposed Converter
As shown in Figure 2, the direction of energy flow can be handled by controlling the active switches so that the converter can operate in either step-up mode or step-down mode. In step-up mode, main switches S1, S2, S3, and S4 are in switching pattern while S5 and S6 are in charge of rectifying. At this mode, S1 and S2 operate complementarily and so do both switches S3 and S4. The voltage gain of VL to VH is determined by the duty ratio of S1. With respect to step-down mode, main switches S2, S4, S5, and S6 will be in switching pattern and the rest of main switches serve as rectifier. In addition, S2, S4, and S5 are turned on and off simultaneously and complementary to S6. The duty ratio of S6 dominates the voltage gain of VH to VL in step-down mode. To describe the operation of the converter, some assumptions are made as follows:
- (1)
- In Figure 2, capacitances of Cb1, Cb2, Co1, and Co2 are large enough so that all the voltages across them can be regarded as constant in a switching cycle.
- (2)
- Parasitic capacitor and body diode of each switch are considered, but the internal resistance is neglected.
- (3)
- The leakage inductance of the coupled inductor is much less than magnetizing inductance.
- (4)
- All the magnetic components are designed in continuous conduction mode (CCM).
- (5)
- The turns ratio of secondary to primary of the coupled inductor, N2/N1, is defined as n.
2.1. Step-Up Mode
The converter operation in step-up mode is divided into nine main stages over one switching cycle, which are discussed stage by stage below. The equivalents of the nine stages are depicted in Figure 3, while Figure 4 illustrates the corresponding conceptual waveforms.
Figure 3.
Equivalent circuit of proposed bidirectional converter in step-up mode: (a) Stage 1; (b) Stage 2; (c) Stage 3; (d) Stage 4; (e) Stage 5; (f) Stage 6; (g) Stage 7; (h) Stage 8; and (i) Stage 9.
Figure 4.
Key waveforms of the proposed converter in step-up mode.
Stage 1 [t0, t1]: In this stage, referring to Figure 3a, all the switches are in off state. The energy stored in the parasitic capacitor CS3 is drawn out but capacitor Cb1 is charged, as referred to the red dashed line in Figure 3a. Meanwhile, energy of L′m1 is forwarded to capacitor Co2 and the output VH, where L′m1 stands for the total amount of magnetizing inductance seen looking into the primary (at low-voltage side) of the coupled inductor. After the voltage across CS3 drops to zero, the body diode DS3 conducts to continue the currents flowing through L1 and Lk1 thus to create ZVS turn-on condition for S3.
Stage 2 [t1, t2]: This stage begins at the moment the switches S1 and S3 are turned on. The S3 is turned on with ZVS. During this time interval, S2, S4, S5, and S6 are still in off-state. The voltage of the parasitic capacitor CS1 drops. After the voltage vds1 is less than input voltage VL, inductor L1 will absorb energy from VL and the current iL1 increases, as referred to the blue dashed line in Figure 3b. In stage 2, the energy of Lk1 is continuously releasing to Cb1. The equivalent circuit of this stage is illustrated in Figure 3b. When the current iLk1 falls to zero, this mode ends.
Stage 3 [t2, t3]: Figure 3c depicts the equivalent circuit of this stage, in which all the switch have the same statuses as in Stage 2. Inductor L1 continuously absorbs the energy from VL. Capacitor Cb1 transmits energy to Lk1, L′m1 and the secondary (at high-voltage side) of the coupled inductor, of which current path is indicated by the red dashed line in Figure 3c. The currents iLk1 and iLm1 increase. In the high-voltage side, Co1 is charged via the loop of N2-DS6-Co1-Lk2 but Co2 discharges via the loop of Lk2-N2-DS6-VH-Co2. This mode ends when S3 is turned off.
Stage 4 [t3, t4]: This stage begins at time t = t3, and the equivalent circuit is illustrated in Figure 3d. During this time interval, all the switches are in off state except S1. Input VL and capacitor Cb1 charge inductor L1 and capacitor Cb2, respectively. In addition, Cb1 forwards energy to high-voltage side via the coupled inductor to charge Co1. The CS4 releases energy. That is, vds4 decreases. The body diode of S4 will be forward biased after vds4 drops to zero, which provides ZVS condition for S4. The associated current path is referred to the red dashed line in Figure 3d. The leakage energy in Lk2 is recycling to Co1 over the interval of Stage 4.
Stage 5 [t4, t5]: When S4 is turned on, the operation of the converter enters into Stage 5. As shown in Figure 3e, in this stage switches S1 and S4 are closed, whereas S2, S3, S5, and S6 are open. The voltage polarity of Lk1 is reversed and the current iLk1 begins decreasing. Capacitor Cb2 is charged by Lk1 and Cb1 and the current flowing through S4 is decreased, as referred to the red dashed line in Figure 3e. The energy in Lk2 is kept on recycling to Co1, which is the same as in Stage 4. At the moment that iLk2 equals zero, this stage ends and DS6 is reversely biased.
Stage 6 [t5, t6]: During the time interval of Stage 6, the switches S1 and S4 are still in on state and S2, S3, S5, and S6 in off state. Figure 3f is the corresponding equivalent, in which Cb1 charges Lk1, L′m1, and Cb2, as referred to the red dashed line. The currents flowing through Lk1 and L′m1 are identical and increase simultaneously. With respect to current iL1, since the voltage across L1 is VL, the current iL1 continues linearly increasing. This stage continues until S1 is turned off.
Stage 7 [t6, t7]: Figure 3g depicts the equivalent circuit of Stage 7, in which all switches are open except S4. There are two loops, VL-L1-Cb1-CS2 and Lk1-L′m1-S4-Cb2-CS2, to draw the energy stored in the parasitic capacitor of S2. When the voltage across CS2 falls to zero, the body diode of S2 conducts and S2 can achieve ZVS, as referred to the both dashed lines in red and blue in Figure 3g. In the high-voltage side of the converter, the both in-series capacitors Co1 and Co2 supply power to output.
Stage 8 [t7, t8]: After the time t = t7, switches S2 and S4 are in on state but S1, S3, S5, and S6 are in off state. The equivalent circuit is illustrated in Figure 3h. As referred to the both red and purple dashed line in Figure 3h, capacitor Cb1 is charged by VL and L1, while the Cb2 absorbs energy from L′m1 and Lk1. All the currents iL1, iLk1 and iLm1 decrease. In addition, the energy stored in magnetizing inductor is forwarded to the secondary of the coupled inductor to charge Co2. This stage ends as the current iLk1 falls to zero.
Stage 9 [t8, t9]: During the time interval of Stage 9, the switches S2 and S4 are still in on state and S1, S3, S5, and S6 in off state. The equivalent circuit is illustrated in Figure 3i. Capacitor Cb1 is still charged by VL and L1. Additionally, capacitor Cb2 pumps energy to inductor Lk1 via switches S4, as referred to the red dashed line in Figure 3i. The energy stored in the magnetizing inductor is transferred to the secondary to charge Co2 and power the output. In this stage, inductor currents iL1 and iLm1 decrease but iLk1 and iLk2 increase. When switches S2 and S4 are turned off at t = t9, this stage ends. The operation in step-up mode over one switching cycle is completed.
2.2. Step-Down Mode
In step-down mode, S2, S4, and S5 are controlled at high switching pattern and complementary to SW6, while SW1 and SW3 serve as rectifiers. The converter operation over one switching cycle in step-down mode can be divided into 12 stages, which are described stage by stage in the following. The related equivalents and corresponding waveforms are depicted in Figure 5 and Figure 6, respectively.
Figure 5.
Equivalent circuit of proposed bidirectional converter in step-down mode. (a) Stage 1; (b) Stage 2; (c) Stage 3; (d) Stage 4; (e) Stage 5; (f) Stage 6; (g) Stage 7; (h) Stage 8; (i) Stage 9; (j) Stage 10; (k) Stage 11; and (l) Stage 12.
Figure 6.
Key waveforms of the proposed converter in step-down mode.
Stage 1 [t0, t1]: Referring to Figure 5a, all the switches are in off state. Since S5 has been turned off, the voltage of CS5 increases. Accordingly, the voltage across L′m2 (the inductance seen looking into the high-voltage side of the coupled inductor) and Lk2, which is equal to vCo2 − vds5, decreases; meanwhile the energy stored in the parasitic capacitor of S6 releases via the loop of CS6-Co1-Lk2-L′m2. In low voltage side, the body diodes of S2 and S4 are forward biased because of the continuity of iLk1. The voltage across L1 equals vCb1 − VL. Since vCb1 is larger than VL, the current iL1 increases negatively, as referred to the red dashed line in Figure 5a. During this stage, Co2 will energize Cb2 via the coupled inductor and the loop Lk1-N1-DS4-Cb2-DS2. This mode ends at the moment vds5 reaches the magnitude of VH. That is, S5 is completely turned off and its blocking voltage is clamped to VH.
Stage 2 [t1, t2]: During this time interval, all the switches still stay in off state. The equivalent circuit of this stage is illustrated in Figure 5b. The voltage polarity across L′m2 and Lk2 reverses and the value of vLm2 + vLk2 is equal to vCo1. That is, magnetizing inductor L′m2 and leakage inductor Lk2 release energy to Co1 and VH via body diode DS6, as indicated by the purple dashed line in Figure 5b. Since voltage polarity of the coupled inductor has been changed, the body diode DS2 will be reversely biased and the parasitic capacitor CS1 releases energy to VL. In stage 2, the current flowing Lk1 almost equals that in L1. Therefore, switch S2 is turned off at ZCS. When S6 is turned on with ZVS, the operation of the converter enters into next stage.
Stage 3 [t2, t3]: In this stage, switch S6 is closed. L′m2 and Lk2 proceed with energy releasing toward Co1 and VH, and leakage energy in Lk1 is dumped to Cb2 at the same time. Accordingly, all the currents in them decrease. As referred to the blue dashed line in Figure 5c, the current of L1 draws out the stored energy in CS1 and then force the parasitic diode DS1 in forward bias. The L1 delivers energy to VL and its current decreases linearly. In stage 3, the current flowing through Lk2 is greater than that in L′m2 but its magnitude drops much steeper. This stage continues until iLk1 drops to zero. Figure 5c shows the equivalent circuit of this stage.
Stage 4 [t3, t4]: This stage begins at time t = t3, and the equivalent circuit is illustrated in Figure 5d. During this time interval, all switches are still in turn-off condition except S6. Magnetizing inductor L′m2 forwards energy to Co1 and Cb1 via switch S6 and the ideal transformer, respectively. The current direction of Lk1 changes, which results in energy releasing of CS3 and the charging of CS4. Associated current path is shown as the red dashed line in Figure 5d. The leakage inductor Lk1 will confine the charge current of CS4, resulting in ZCS turn-off at S4. When the voltage vds4 rises to vCb2, Stage 5 begins.
Stage 5 [t4, t5]: The equivalent circuit of this stage is illustrated in Figure 5e, in which all the switches are turned off except S6. Capacitor Co1 still absorbs energy from L′m2 and Lk2. In addition, L′m2 forwards energy to Cb1 by the ideal transformer and via the loop of N1-Lk1-DS1-Cb1-DS3. This current path is referred to the red dashed line in Figure 5e. The current flowing through Lk2 keeps on decreasing. This stage ends at the time that iLk2 is zero. That is, energy in Lk2 is completely recycled.
Stage 6 [t5, t6]: Figure 5f depicts the equivalent circuit of this mode, in which all switches have the same statuses as in Stage 5. The current direction of iLk2 changes at t = t5, and Lk2 absorbs energy from Co1, as referred to the green dashed line in Figure 5f. The circuit operation in low voltage side is identical to that in Stage 5. Therefore, the inductor L1 keeps on energy supplying toward VL and its current decreases linearly. Stage 6 continues until switch S6 is turned off at t = t6.
Stage 7 [t6, t7]: During the interval that S6 is open, the voltage vds6 increases. Therefore, the voltage, vLm2 + vLk2, drops and the parasitic capacitor CS5 dumps its stored energy, as referred to the green dashed line in Figure 5g. The circuit operation in low-voltage side behaves identically to Stage 6. When the energy in CS5 is drawn out completely and vds6 rises to VH, this stage stops. Figure 5g expresses the operation of the converter in Stage 7.
Stage 8 [t7, t8]: In Stage 8, the body diode DS5 is in forward bias, which provides a ZVS condition for S5. The green dashed line in Figure 5h shows this current path. Leakage energy in inductors Lk2 and Lk1 is recycled to Co2 and Cb1. In addition, L1 proceeds with energy releasing to VL while L′m2 still forwards energy to low voltage side via the ideal transformer. When switches S2, S4, and S5 are turned on simultaneously, this stage ends. The corresponding equivalent circuit is depicted in Figure 5h.
Stage 9 [t8, t9]: At t = t8, the operation of the converter enters into Stage 9. Figure 5i is the equivalent. The voltage polarity of the ideal transformer reverses because S2 and S4 are closed. Over the time interval of Stage 9, Lk2 and Lk1 continuously dump their stored energy and thus the currents iLk1 and iLk2 reduce. Additionally, the voltage level of vCb1 is higher than VL, which results that the inductor L1 absorbs energy from Cb1 and its current increases negatively and linearly, as referred to the blue dashed line in Figure 5i. This stage lasts until iLk2 drops to zero.
Stage 10 [t9, t10]: After the time t = t9, the current direction of Lk2 changes and iLk2 increases. Switch statues in Stage 9 are identical to that in Stage 10. That is, S2, S4, and S5 are in on state, whereas S1, S3, and S6 stay in off state. The equivalent circuit is shown in Figure 5j, in which the L′m2 draws energy from Co2 and the voltage across L1 is still kept at VCb1 − VL. As the red dashed line in Figure 5j indicates, leakage inductor Lk1 continues releasing energy and iLk1 decreases. When iLk1 is zero at t = t10, this stage ends.
Stage 11 [t10, t11]: Figure 5k shows the equivalent circuit of this stage, in which the statuses of all switches are kept as in Stage 10. During this time interval, Cb1 continuously supplies energy to VL and L1 by the loop of Cb1-L1-VL-S2, of which current path is referred to the blue dashed line in Figure 5k. The current directions of N1 and N2 reverse and the current iLk1 rises positively. Meanwhile, capacitor Cb2 charges and Co2 discharges.
Stage 12 [t11, t12]: From the equivalent circuit depicted in Figure 5l, switches S2, S4, and S5 remain closed, while S1, S3, and S6 are open. In Stage 12, inductors Lk2 and L′m2 are magnetized by Co2 with the same circuit behavior in Stage 11. Since the magnitude of iLk1 is greater than iL1, the current flowing through S2 becomes reverse, and then S2 achieves ZCS at turn-off transition, as referred to the red dashed line in Figure 5l. The operation of the converter over one switching cycle is completed when the switches S2, S4, and S5 are turned off simultaneously.
According to the aforementioned operation principle, the switching characteristics of all power switches are summarized in Table 1.
Table 1.
The switching characteristics of the proposed converter.
3. Steady-State Analysis
In this section, the steady-state analysis of the BDC includes voltage conversion ratio, voltage stress derivation, and magnetic element design. To simplify the analysis, the assumptions made in Section 2 are considered except the neglect of leakage inductors. In addition, the phenomenon that occurs at switching transient is also ignored.
3.1. Step-Up Mode
Voltage gain of the converter in step-up mode is first investigated. Because the output voltage VH is the sum of VCo1 and VCo2, the relationships of VCo1 to VL and VCo2 to VL have to be found in advance. The voltage VCo1 is n times the magnitude of VCb1 and VCo2 is n times the VCb2 under the condition that leakage inductor is neglected. Accordingly, VCb1 and VCb2 in terms of VL should be determined before the finding for VCo1 and VCo2. Since S1 and S2 are switched complementarily, the input voltage VL can be boosted via inductor L1. As a result, the voltage across Cb1 is given by
where D1 is the duty ratio of S1. Refer to Figure 4 at any time there are two switches in closed state simultaneously over one switching cycle. While S1 and S3 are on, the voltage across L′m1 is VCb1 and thus the amount of current increase can be estimated by
In Equation (2), the D3 denotes the duty ratio of S3. After S3 is turned off, switch S4 will be turned on. That is, the both switches S1 and S4 are in on state. The voltage across L′m1 becomes VCb1 − VCb2. If VCb1 is greater than VCb2, the L′m1 will proceed with current increasing. The increment can be expressed as
The switch S2 will be turned on when switch S1 is turned off. That is, S2 and S4 are in on state simultaneously and the voltage across L′m1 is −VCb2. The current flowing through L′m1 decreases, which is given by
In steady state, the net current change on L′m1 is equal to zero. From Equations (2)–(4), the following relationship can be derived
Substituting Equation (1) into Equation (5) becomes
The output voltage VH = VCo1 + VCo2, which can be also obtained from
Therefore, the conversion ratio of output voltage to input voltage in step-up mode, Mstep-up, can be found by
As referring to the switching sequence in step-up mode, during the interval that S2 and S4 are open but S1 and S3 are closed, the S2 and S4 endure the voltages of VCb1 and VCb2, respectively. After the above switch status, S2 and S3 will be open but S1 and S4 are closed. The blocking voltages at S2 and S3 are VCb1 and VCb2, respectively. The switch status that S1 and S3 are off but S2 and S4 are on proceeds the converter operation. The voltages across S1 and S3 in this time interval are also VCb1 and VCb2 in turn. In brief, the voltage stresses with respect to S1, S2, S3 and S4 can be determined as follows:
At high-voltage side, the switch S5 will withstand a voltage of at least VH when the intrinsic diode of S6 is forward biased. Similarly, S6 also endures a reverse voltage up to VH during the interval that the diode DS6 is on. That is,
With respect to inductance design, the average current carried by magnetic component has to be calculated in advance. For L′m1, the application of amp-second balance criterion (ASBC) at Cb2 can give an assistance to the finding for the average of iLm1. The Cb2 charges during the time interval [t5, t6], in which S1 and S4 are in on state. On the contrary, Cb2 discharges during [t8, t9], while S2 and S4 are closed. The charging current of Cb2 is equal to iLm1 and discharging current will be iLm1 + nids5. Thus, the following relationship holds:
From Equation (12), the average current carried by L′m1 can be given as
If the voltage across Cb1 is close to VCb2, the current iLm1 can be regard as constant in Stage 6. This phenomenon can be found in Figure 4. Assume that L′m1 is in BCM. The following relationship can be found:
Solving for L′m1 results:
where L′m1,min is the minimum inductance of L′m1 for CCM operation, RH stands for load resistance at high-voltage side, and fs is switch frequency.
To determine the minimum inductance of L1, L1,min, for CCM operation, average current of iL1 has to be contacted. This average current can be found by applying ASBC to Cb1. Capacitor Cb1 charges during the time interval [t7, t9], in which both switches S2 and S4 are closed. There are two intervals to discharge the energy in Cb1. One is [t2, t4], in which S1 and S3 are closed, and the other is and [t4, t7], in which S4 and S1 are in on state. Based on ASBC, the following relationship holds:
Using Equation (13) and substituting for iLm1, the average current flowing through L1 can be represented as
The current increment on L1, ΔiL1, is estimated by
Hence, the minimum of iL1, IL1,min, is given by
At BCM, IL1,min = 0. Solving for L1 yields
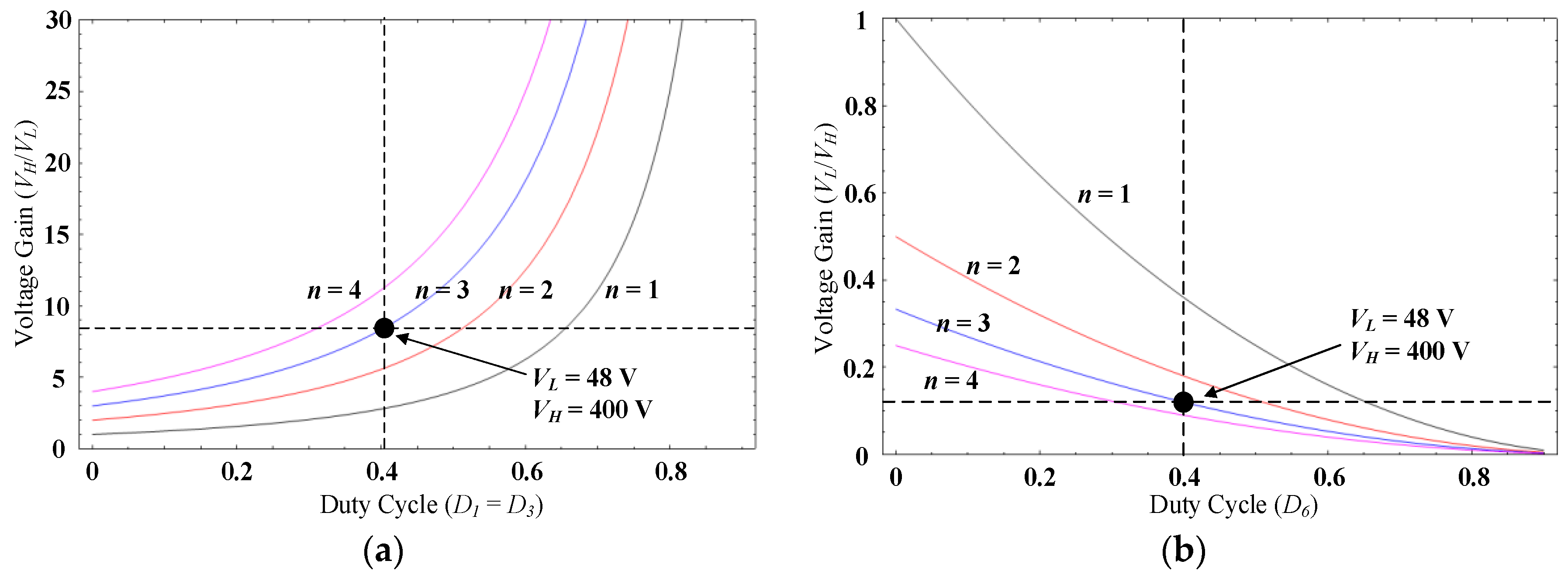
in which L1,min is the minimum inductance of L1 for CCM. If RH = 640 Ω, fs = 40 kHz, n = 3, and D1 = D3. Figure 7a depicts the relationships between inductance L′m1 and duty ratio D1 while Figure 7b is for inductance L1 versus D1.
Figure 7.
Magnetic component design for (a) L′m1 and (b) L1 under the duty ratio D1 = D3.
3.2. Step-Down Mode
All the assumptions in the above subsection are also adopted for the steady-state analysis in step-down mode. The switches S2, S4, and S5 are controlled simultaneously and complementary to S6. During the interval that S6 is in turned-on state and S2, S4, and S5 are in turned-off state, the voltage VCo1 will directly impose on the high-voltage side of the transformer. Then, the body diodes Ds1 and Ds3 forward conduct and the voltage VCb1 will be equal to VCo1/n. The inductor L1 supplies energy to VL. This state will last for D6Ts. During the interval (1 − D6)Ts, S6 becomes off but S2, S4, and S5 are on. The voltage polarity of the coupled inductor at high-voltage side reverses and its magnitude equals VCo2. In addition, the voltage across inductor L1 is VCb1 − VL while VCb2 equals VCo2/n. Applying volt-second balance criterion (VSBC) to L1 yields
Equation (21) can also be expressed as
Similarly, applying VSBC to magnetizing inductor L′m2, the following relationships can be found:
and
Substituting Equation (23) into Equation (22) has the result:
in which Mstep-down stands for the ratio of output to input voltage as in step-down mode. Figure 8a shows the curves of Mstep-up versus duty ratio D1, while Mstep-down versus duty ratio D6 is illustrated in Figure 8b.
Figure 8.
Voltage conversion ratio of the proposed bidirectional converter: (a) step-up mode; and (b) step-down mode.
The discussion relating to the voltage stresses of the semiconductor devices is followed up. Because the diode DS1 and switch S2 conduct complementarily, from the mesh of Cb1-S1-S2, it can be found that voltage stress of S1 is identical to that of S2 and equals VCb1. Similarly, DS3 and S4 are in complementary conduction, and the voltage stresses of S3 and S4 will be equal to VCb2. At high-voltage side, from the outermost loop, S5-S6-VH, the input voltage VH will impose on S5 and S6 alternately. That is, S5 and S6 have to stand a voltage of VH.
The current gain of the converter is a reciprocal of the voltage ratio shown in Equation (25). Therefore, the input current IH is given by
where RL denotes the load resistance at low-voltage side. From Figure 5f, the average current of magnetizing inductance L′m2 is equals to − ids6, which can be further estimated by
In addition, the current decrement on L′m2 over one switching cycle, ΔiLm2, can be expressed as
Using Equation (23) and Equation (25) to substitute for VCo1 yields
The minimum value of iLm2 can be calculated by ILm2 − and is computed as
At boundary, ILm2,min = 0. Then, solving for L′m2 can obtain the following relation for determining the minimum inductance for CCM:
In order to find the minimum value of L1 for continuous current operation, L1,min, the average current of L1, IL1, has to be found. The IL1 is equal to the output current IL, which is given by
The change on inductor current iL1 can be computed from
Accordingly, minimum of IL1 is
Let IL1,min = 0 and solving for L1 can obtains:
Assume that RL is 9.216 Ω, fs is 40 kHz, and n = 3. Figure 9a depicts the relationship between D6 and L′m2, while L1 versus D6 is illustrated in Figure 9b.
Figure 9.
The relationship between the inductance and duty ratio D6: (a) L′m2; and (b) L1.
Figure 10 is the equivalent circuit of proposed converter considering non-ideal parameters, in which rL1 represents the inductor resistance at the low voltage side and rds1, rds2, rds3, rds4, rds5, and rds6 are the on-state resistance of switches S1, S2, S3, S4, S5, and S6, respectively; and rlk1 and rlk2 are the primary winding resistances and the secondary one respectively. By using VSBC and ASBC, the non-ideal voltage conversion ratio M′step-up and conversion efficiency ηstep-up in step-up mode can be obtained as
Figure 10.
The non-ideal equivalent circuit of the converter.
In addition, step-down voltage ratio M′step-down and efficiency ηstep-down are estimated by
Based on Equations (36) to (39), relationships of voltage gain versus duty ratios D1 and D3 in step-up mode are depicted in Figure 11a,b, respectively; meanwhile, so do Figure 11c,d for step-down operation. Figure 12 shows the non-ideal voltage gain in step-up mode under different choke resistances.
Figure 11.
The relationships of voltage gain versus duty ratio and efficiency versus duty ratio while considering non-ideal effect: (a) M′step-up; (b) ηstep-up; (c) M′step-down; and (d) ηstep-down.
Figure 12.
The step-up voltage gain under different choke resistances.
Among all power switches, the main switch S1 will endure the maximum current stress no matter in step-up or step-down mode. Thereby, the current stress determination is focused on S1. This current stress can be estimated by the sum of the valley current of inductor L1 and the peak current of leakage inductance Lk1. That is,
As for the current stresses of the other active switches in step-down mode, the ASBC should be applied to capacitors Co1, Co2, Cb2, and Cb1, which yields
Similarly, in step-up mode, current stresses of switches can be expressed as
4. Experimental Results
To validate the proposed BDC, a 1-kW prototype is built with the specifications and components summarized in Table 2. If a converter operates in discontinuous conduction mode (DCM), it can easily avoid switching loss. However, during the interval of high power loading, serious conduction loss will result in unacceptable efficiency. The proposed converter intrinsically has the outstanding feature of soft switching at all power switches even in CCM. Therefore, we design the converter operation from DCM into CCM at 250-W power loading for overall efficiency consideration. Accordingly, a Toroids 55195-A2 MPP core and an EE-55 core are adopted to form main inductor and coupled inductor, respectively. To make sure the CCM and DCM operate, as mentioned, the main inductance L1 should be 46 μH and magnetizing inductance L′m1 is 130 μH with a turns ratio of n = 3.
Table 2.
Specifications and components used in experimentations.
According to the discussion in Section 3, voltage and current stresses of all active switches can be specified, which offers us a benefit to choose appropriate semiconductor devices for prototype constructing. Since a lower Rds(on) can achieve a higher conversion efficiency, active switches which meet the power rating and have conduction resistance as low as possible are considered. At low-voltage side, power MOSFETs IXFH160N15T2 with on-state resistance Rds(on) of 9 mΩ is chosen as S1 and S2, while IXTP160N075T with 6 mΩ Rds(on) as S3 and S4. With regard to the active switches S5 and S6 at high-voltage side, power MOSFET IXFH52N50P2 is considered, of which Rds(on) is 0.12 Ω. Microcontroller ATMEGA328P-PU is in charge of the converter controlling. Additionally, PV simulator Chroma 62050H-600S, high voltage power supply IDRC CDSP-500-010C, electronic load Chroma 63202 are adopted for terminal source or load. All waveforms are measured by oscilloscope KEYSIGHT DSOX4024A. Figure 12 shows the voltage and current waveforms measured from switches S1–S6, while D1 = 0.44 and D3 = 0.3. In Figure 13a, the first trace and second trace are the switch voltage and current of S1, respectively, whereas the third and fourth traces depict the measurements of S2. From Figure 13a, it can be found that S1 endures a voltage of around 100 V. This value is consistent with the estimation in Equation (9). The measured ids1 matches the conceptual waveform in Figure 4. In addition, the waveforms of vds2 and ids2 release that ZCS turn-off feature is achieved at S2. Figure 13b presents the practical measurements of vds3, ids3, vds4, and ids4, which illustrates that both switches S3 and S4 can be turned on with ZVS. While operated in step-up mode, S5 and S6 of the converter are in the role of rectifier. Figure 13c presents the zoomed-in waveforms of S1 and S2, and Figure 13d is for S3 and S4. The blocking voltages of vds5 and vds6 are both equal to 400 V, as shown in Figure 13e, which conforms to the calculation of Equation (11). Figure 13f confirms a stable output and CCM operation in L1; moreover, the measurements of iLk1 and iLk2 are consistent with the waveforms in Figure 4.

Figure 13.
Experimental results in step-up mode operation at Po = 1 kW: (a) measurements from S1 and S2; (b) measurements from S3 and S4; (c) zoomed-in waveforms measured from S1 and S2; (d) zoomed-in waveforms of S3 and S4; (e) measurements from S5 and S6; and (f) waveforms of VH, iL1, iLk1, and iLk2.
While operating in step-down mode with D6 = 0.37, related practical waveforms are shown in Figure 14. From Figure 14a,b, it can be seen that both switches S1 and S3 are just in charge of rectifying whereas S2 and S4 can accomplish ZCS turn-off feature. Figure 14c reveals that S5 and S6 are turned on with ZVS and their voltage stresses are about 400 V. The output voltage at low-voltage side and the currents of L1, Lk1, and Lk2 are also given in Figure 14d, in which a constant 48 V output and CCM operation in L1 are illustrated.
Figure 14.
Experimental results in step-down mode operation at Po = 1 kW: (a) measurements from S1 and S2; (b) S3 and S4; and (c) S5 and S6; and (d) the waveforms of VL, iL1, iLk1, and iLk2.
Figure 15 depicts measured efficiency of the prototype. The maximum values of the practical efficiency in step-up and step-down modes are up to 95.4% and 93.6%, respectively, while Po is equal to 1 kW. The efficiency values are measured after 1hr burn-in test and the maximum temperature of all active components is around 56 °C. Figure 16 shows the photo of the prototype, where its length, width, and height are 17.2, 14.6, and 4.2 cm in turn. Therefore, its power density is 948.13 kW/m3. In addition, the converter’s weight is 0.985 kg. That is, specific power is 1.015 kW/kg.
Figure 15.
Measured efficiency of the proposed bidirectional DC-DC converter.
Figure 16.
The photo of the experimental setup.
Table 3 summarizes the comparison of the proposed converter with other bidirectional converters in [24,25,26,27]. The proposed converter has the better features such as galvanic isolation, soft switching at all switches, no any diode required, and high voltage-ratio conversion. For example, in step-up mode and under the conditions that n = 3 and duty cycle is 0.5 (in addition, D1 = D3 in the proposed converter), the proposed one can achieve a much higher voltage gain up to 12 while those in [24,25,26,27] are 11, 3, 6, and 12, respectively. For clearer presentation, the plots to express the comparison result among the mentioned converters are shown in Figure 17. In high conversion ratio converters, current-sharing path structure along with interleaved control can suppress current ripples and then lowers current stress and conduction loss [27,28,29,30]. However, bi-directional power flow controlling or more power components needed are still their demerits.
Table 3.
Performance comparisons of proposed BDC with other bidirectional DC-DC converters proposed in [25,26,27].
Figure 17.
The comparison plots of conversion ratio: (a) step-up mode; and (b) step-down mode.
5. Conclusions
This paper has proposed a high efficiency and high voltage-ratio isolated bidirectional DC-DC converter. A coupled inductor is employed for achieving galvanic isolation, in which the energy stored in leakage inductor can be recycled without additional components. The main contribution of this paper is that voltage stress across semiconductor devices can be lowered by adjusting duty ratio, all power switches can complete soft switching feature in step-up and step-down modes, and higher voltage conversion can inherently be achieved. Because semiconductor device endures low voltage stress, MOSFETs with low Rds,on can be employed. Unlike conventional converters whose voltage gain is merely determined by a fixed duty ratio, the proposed converter has the ability of compromising the duty ratios of switches at primary side to meet a certain voltage gain and to find an available power component. Operation principle of the circuit and detailed derivation of voltage gain, voltage stress, and current stress are carried out. Finally, experimental results measured from a 1-kW prototype have verified the theoretical analysis and feasibility.
Acknowledgments
The authors would like to convey their appreciation for grant support from the Ministry of Science and Technology (MOST) of Taiwan under its grant with Reference Number MOST 105-2221-E-327-038.
Author Contributions
Chih-Lung Shen, You-Sheng Shen and Cheng-Tao Tsai conceived and designed the circuit. You-Sheng Shen and Cheng-Tao Tsai performed simulations, carried out the prototype, and analyzed data with guidance from Chih-Lung Shen. Chih-Lung Shen revised the manuscript for submission.
Conflicts of Interest
The authors declare no conflict of interest.
References
- Shen, C.-L.; Chiu, P.-C.; Lee, Y.-C. Novel Interleaved Converter with Extra-High Voltage Gain to Process Low-Voltage Renewable-Energy Generation. Energies 2016, 9, 871. [Google Scholar] [CrossRef]
- Pinto, R.; Mariano, S.; Calado, M.R.; de Souza, J.F. Impact of Rural Grid-Connected Photovoltaic Generation Systems on Power Quality. Energies 2016, 9, 739. [Google Scholar] [CrossRef]
- Elsaharty, M.A.; Ashour, H.A.; Rakhshani, E.; Pouresmaeil, E.; Catalão, J.P.S. A Novel DC-Bus Sensor-less MPPT Technique for Single-Stage PV Grid-Connected Inverters. Energies 2016, 9, 248. [Google Scholar] [CrossRef]
- Lai, C.-M. Development of a Novel Bidirectional DC/DC Converter Topology with High Voltage Conversion Ratio for Electric Vehicles and DC-Microgrids. Energies 2016, 9, 410. [Google Scholar] [CrossRef]
- Xue, L.-K.; Wang, P.; Wang, Y.-F.; Bei, T.-Z.; Yan, H.-Y. A Four-Phase High Voltage Conversion Ratio Bidirectional DC-DC Converter for Battery Applications. Energies 2015, 8, 6399–6426. [Google Scholar] [CrossRef]
- Liu, K.-B.; Liu, C.-Y.; Liu, Y.-H.; Chien, Y.-C.; Wang, B.-S.; Wong, Y.-S. Analysis and Controller Design of a Universal Bidirectional DC-DC Converter. Energies 2016, 9, 501. [Google Scholar] [CrossRef]
- Jiang, J.; Bao, Y.; Wang, L.Y. Topology of a Bidirectional Converter for Energy Interaction between Electric Vehicles and the Grid. Energies 2014, 7, 4858–4894. [Google Scholar] [CrossRef]
- Shi, X.; Jiang, J.; Guo, X. An Efficiency-Optimized Isolated Bidirectional DC-DC Converter with Extended Power Range for Energy Storage Systems in Microgrids. Energies 2013, 6, 27–44. [Google Scholar] [CrossRef]
- Ahmadi, M.; Mohammadi, M.-R.; Adib, E.; Farzanehfard, H. Family of non-isolated zero current transition bi-directional converters with one auxiliary switch. IET Trans. Power Electron. 2012, 5, 158–165. [Google Scholar] [CrossRef]
- Pavlovsky, M.; Guidi, G.; Kawamura, A. Buck/boost DC-DC converter topology with soft switching in the whole operating region. IEEE Trans. Power Electron. 2014, 29, 851–862. [Google Scholar] [CrossRef]
- Mohammadi, M.-R.; Farzanehfard, H. Analysis of Diode Reverse Recovery Effect on the Improvement of Soft-Switching Range in Zero-Voltage-Transition Bidirectional Converters. IEEE Trans. Ind. Electron. 2015, 62, 1471–1479. [Google Scholar] [CrossRef]
- Corradini, L. Zero voltage switching technique for bidirectional DC/DC converters. IEEE Trans. Power Electron. 2014, 29, 1585–1594. [Google Scholar] [CrossRef]
- Waffler, S.; Kolar, J.-W. A novel low-loss modulation strategy for high-power bidirectional buck + boost converters. IEEE Trans. Power Electron. 2009, 24, 1589–1599. [Google Scholar] [CrossRef]
- Zhang, F.; Du, L.; Peng, F.-Z.; Qian, Z. A new design method for high-power high-efficiency switched-capacitor DC-DC converters. IEEE Trans. Power Electron. 2008, 23, 832–840. [Google Scholar] [CrossRef]
- Ajami, A.; Ardi, H.; Farakhor, A. A Novel High Step-up DC/DC Converter Based on Integrating Coupled Inductor and Switched-Capacitor Techniques for Renewable Energy Applications. IEEE Trans. Power Electron. 2015, 30, 4255–4263. [Google Scholar] [CrossRef]
- Sizkoohi, H.-M.; Milimonfared, J.; Taheri, M.; Salehi, S. High step-up soft-switched dual-boost coupled-inductor-based converter integrating multipurpose coupled inductors with capacitor-diode stages. IET Trans. Power Electron. 2015, 8, 1786–1797. [Google Scholar] [CrossRef]
- Lee, J.-H.; Liang, T.-J.; Chen, J.-F. Isolated coupled-inductor-integrated DC-DC converter with nondissipative snubber for solar energy applications. IEEE Trans. Ind. Electron. 2014, 61, 3337–3348. [Google Scholar] [CrossRef]
- Liang, T.-J.; Liang, H.-H.; Chen, S.-M.; Chen, J.-F.; Yang, L.-S. Analysis, design, and implementation of a bidirectional double-boost DC-DC converter. IEEE Trans. Ind. Appl. 2014, 50, 3955–3962. [Google Scholar] [CrossRef]
- Luís, M.-R.; Oliveira; Marques, A.-J. Leakage inductances calculation for power transformers interturn fault studies. IEEE Trans. Power Deliv. 2015, 30, 1213–1220. [Google Scholar]
- Ouyang, Z.; Zhang, J.; Hurley, W.-G. Calculation of leakage inductance for high-frequency transformers. IEEE Trans. Power Electron. 2015, 30, 5769–5775. [Google Scholar] [CrossRef]
- Zhao, B.; Yu, Q.; Leng, Z.; Chen, X. Switched Z-source isolated bidirectional DC-DC converter and its phase-shifting shoot-through bivariate coordinated control strategy. IEEE Trans. Ind. Electron. 2012, 59, 4657–4670. [Google Scholar] [CrossRef]
- Nadia, M.-L.-T.; Inoue, S.; Kobayashi, A.; Akagi, H. Voltage balancing of a 320-V, 12-F electric double-layer capacitor bank combined with a 10-kW bidirectional isolated DC-DC converter. IEEE Trans. Power Electron. 2008, 23, 2755–2765. [Google Scholar]
- Liang, T.-J.; Lee, J.-H. Novel high-conversion-ratio high-efficiency isolated bidirectional DC-DC converter. IEEE Trans. Ind. Electron. 2015, 62, 4492–4503. [Google Scholar] [CrossRef]
- Hsieh, Y.-P.; Chen, J.-F.; Yang, L.-S.; Wu, C.-Y.; Liu, W.-S. High-Conversion-Ratio Bidirectional DC-DC Converter with Coupled Inductor. IEEE Trans. Ind. Electron. 2014, 61, 210–222. [Google Scholar] [CrossRef]
- Kan, J.; Xie, S.; Tang, Y.; Wu, Y. Voltage-Fed Dual Active Bridge Bidirectional DC/DC Converter with an Immittance Network. IEEE Trans. Power Electron. 2014, 29, 3582–3590. [Google Scholar] [CrossRef]
- Wai, R.-J.; Liaw, J.-J. High-efficiency-isolated single-input multiple-output bidirectional converter. IEEE Trans. Power Electron. 2015, 30, 4914–4930. [Google Scholar] [CrossRef]
- Li, W.; Xu, C.; Yu, H.; Gu, Y.; He, X. Analysis, design and implementation of isolated bidirectional converter with winding-cross-coupled inductors for high step-up and high step-down conversion system. IET Power Electron. 2014, 7, 66–77. [Google Scholar] [CrossRef]
- Martinez, W.; Imaoka, J.; Yamamoto, M.; Umetani, K. High Step-Up Interleaved Converter for Renewable Energy and Automotive Applications. In Proceedings of the 2015 International Conference on Renewable Energy Research and Applications (ICRERA), Palermo, Italy, 22–25 November 2015.
- Li, W.; Li, W.; He, X. Zero-voltage transition interleaved high step up converter with built-in transformer IEEE Trans. Power Electron. 2011, 4, 523–531. [Google Scholar]
- Martinez, W.; Imaoka, J.; Yamamoto, M.; Umetani, K. A Novel High Step-Down Interleaved Converter with Coupled Inductor. In Proceedings of the 2015 IEEE International Telecommunications Energy Conference (INTELEC), Osaka, Japan, 18–22 October 2015.
© 2017 by the authors. Licensee MDPI, Basel, Switzerland. This article is an open access article distributed under the terms and conditions of the Creative Commons Attribution (CC BY) license ( http://creativecommons.org/licenses/by/4.0/).

















