Wind Speed Forecasting Based on EMD and GRNN Optimized by FOA
Abstract
:1. Introduction
2. Methodology
2.1. EMD
- (1)
- Apply cubic spline interpolation to connect all the local maxima and minima after identification in the time series so that the upper envelope and lower envelope are accordingly formed. Calculate the mean value of the two envelopes and the difference between and the original signal :
- (2)
- Identify whether satisfies the two conditions of IMFs. If it conforms, can be considered as the first IMF; then, calculate the difference between the original signal and :If not, repeat the above procedure until it meets the two conditions.
- (3)
- The sifting process above will be repeated times until is a monotone function. The original signal can be reconstructed as follows:where represents the IMFs, and is the final residue.
2.2. GRNN
- (1)
- input layer. The number of neurons is equal to the dimension of the input vector in the learning sample. Each neuron is a simple distribution unit that passes the input variable directly to the pattern layer.
- (2)
- pattern layer. The number of neurons is equal to the number of learning samples. Each neuron corresponds to a different sample, and the neuron transfer function is:where represents the network input variable, is the corresponding learning sample of neuron , and belongs to the width coefficient of the Gaussian function, which is called the smoothing factor.
- (3)
- summation layer. Two types of neurons are used for summation.One kind of calculation formula is , which sums up the output of all neurons in pattern layer, and the connection weight between the pattern layer and each neuron equals 1. The transfer function isAnother calculation formula is , which performs weighted summation on all the neurons in the pattern layer. The connection weight between the th neuron in the pattern layer and the th molecule in the summation layer is the th element of th output sample . The transfer function is
- (4)
- output layer. The number of neurons is equal to the dimension of the output vector in the sample. Each neuron will divide the output of the summation layer, and the output of neuron corresponds to the th element of the estimated result , namelyWhen the smooth factor is very large, is approximately the mean of all the sample-dependent variables. On the contrary, when the smooth factor tends to 0, is very close to the training sample. When the point to be predicted is included in the training sample set, the forecasting value of the dependent variable will be very close to the corresponding dependent variable in the sample. Once encountered, the sample cannot be included in the point, and it is possible to predict a very poor performance, which indicates that the network has a poor generalization ability. When the value of is moderate, the dependent variable of all of the training samples is considered in the estimation , and the dependent variable corresponding to the forecasting point distance is added to the larger weight. Therefore, the value of has a great influence on the forecasting results of the GRNN, and the FOA is used to find the optimal processing of .
2.3. A GRNN Based on the FOA with Parameter Selection
3. Evaluation Criteria of Forecasting Performance
4. Case Study
4.1. Wind Speed Data
4.2. Forecasting Steps
- IMF1:
- IMF2:
- IMF3:
- IMF4:
- IMF5:
- IMF6:
- IMF7:
- IMF8:
- R0:
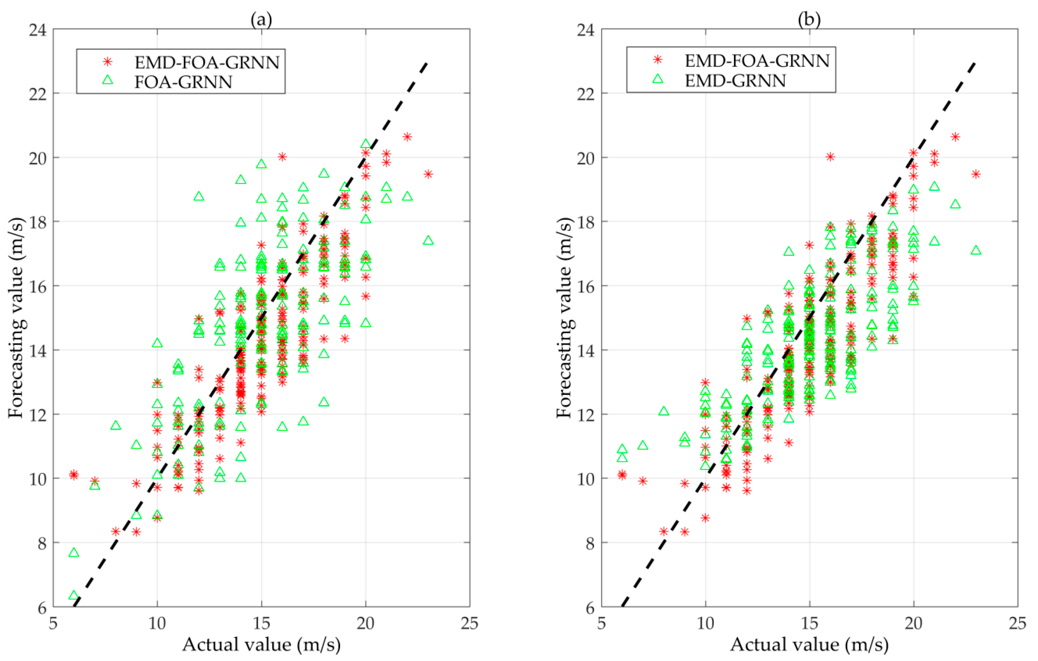
4.3. Results Analysis
5. Case Two
6. Conclusions
Supplementary Files
Supplementary File 1Acknowledgments
Author Contributions
Conflicts of Interest
References
- Hu, Q.; Zhang, R.; Zhou, Y. Transfer learning for short-term wind speed prediction with deep neural networks. Renew. Energy 2016, 85, 83–95. [Google Scholar] [CrossRef]
- Wang, J.; Hu, J. A robust combination approach for short-term wind speed forecasting and analysis—Combination of the ARIMA (Autoregressive Integrated Moving Average), ELM (Extreme Learning Machine), SVM (Support Vector Machine) and LSSVM (Least Square SVM) forecasts using a GPR (Gaussian Process Regression) model. Energy 2015, 93, 41–56. [Google Scholar]
- Sawyer, S.; Fried, L.; Shukla, S.; Qiao, L. Global Wind Report 2016—Annual Market Update; Global Wind Energy Council: Brussels, Belgium, 2017. [Google Scholar]
- National Development and Reform Commission. National Climate Change Program (2014–2020); National Development and Reform Commission: Beijing, China, 2014. Available online: http://www.ndrc.gov.cn/zcfb/zcfbtz/201411/W020141104584717807138.pdf (accessed on 30 November 2017).
- Erdem, E.; Shi, J. ARMA based approaches for forecasting the tuple of wind speed and direction. Appl. Energy 2011, 88, 1405–1414. [Google Scholar] [CrossRef]
- Liu, H.; Tian, H.Q.; Li, Y.F. Comparison of two new ARIMA-ANN and ARIMA-kalman hybrid methods for wind speed prediction. Appl. Energy 2012, 98, 415–424. [Google Scholar] [CrossRef]
- Hodge, B.M.; Zeiler, A.; Brooks, D.; Blau, G.; Pekny, J.; Reklatis, G. Improved Wind Power Forecasting with ARIMA Models. Comput. Aided Chem. Eng. 2011, 29, 1789–1793. [Google Scholar]
- Wang, J.; Hu, J.; Ma, K.; Zhang, Y. A self-adaptive hybrid approach for wind speed forecasting. Renew. Energy 2015, 78, 374–385. [Google Scholar] [CrossRef]
- Ramasamy, P.; Chandel, S.S.; Yadav, A.K. Wind speed prediction in the mountainous region of India using an artificial neural network model. Renew. Energy 2015, 80, 338–347. [Google Scholar] [CrossRef]
- Hui, L.; Tian, H.Q.; Li, Y.F.; Zhang, L. Comparison of four Adaboost algorithm based artificial neural networks in wind speed predictions. Energy Convers. Manag. 2015, 92, 67–81. [Google Scholar]
- Zjavka, L. Wind speed forecast correction models using polynomial neural networks. Renew. Energy 2015, 83, 998–1006. [Google Scholar] [CrossRef]
- Babu, C.N.; Reddy, B.E. A moving-average filter based hybrid ARIMA-ANN model for forecasting time series data. Appl. Soft Comput. 2014, 23, 27–38. [Google Scholar] [CrossRef]
- Chen, K.; Yu, J. Short-term wind speed prediction using an unscented Kalman filter based state-space support vector regression approach. Appl. Energy 2014, 113, 690–705. [Google Scholar] [CrossRef]
- Zhou, J.; Jing, S.; Gong, L. Fine tuning support vector machines for short-term wind speed forecasting. Energy Convers. Manag. 2011, 52, 1990–1998. [Google Scholar] [CrossRef]
- Weron, R. Electricity price forecasting: A review of the state-of-the-art with a look into the future. Int. J. Forecast. 2014, 30, 1030–1081. [Google Scholar] [CrossRef]
- Cincotti, S.; Gallo, G.; Ponta, L.; Marco, R. Modeling and forecasting of electricity spot-prices: Computational intelligence vs classical econometrics. AI Commun. 2014, 27, 301–314. [Google Scholar]
- Amjady, N.; Keynia, F. Day ahead price forecasting of electricity markets by a mixed data model and hybrid forecast method. Int. J. Electr. Power Energy Syst. 2008, 30, 533–546. [Google Scholar] [CrossRef]
- Guo, Z.H.; Wu, J.; Lu, H.Y.; Wang, J.Z. A case study on a hybrid wind speed forecasting method using BP neural network. Knowl.-Based Syst. 2011, 24, 1048–1056. [Google Scholar] [CrossRef]
- Liu, H.; Chen, C.; Tian, H.Q.; Li, Y.F. A hybrid model for wind speed prediction using empirical mode decomposition and artificial neural networks. Renew. Energy 2012, 48, 545–556. [Google Scholar] [CrossRef]
- Zhang, W.; Wang, J.; Wang, J.; Zhao, Z.; Tian, M. Short-term wind speed forecasting based on a hybrid model. Appl. Soft Comput. 2013, 13, 3225–3233. [Google Scholar] [CrossRef]
- Liu, D.; Wang, J.; Wang, H. Short-term wind speed forecasting based on spectral clustering and optimized echo state networks. Renew. Energy 2015, 78, 599–608. [Google Scholar] [CrossRef]
- Liu, H.; Tian, H.; Liang, X.; Li, Y. New wind speed forecasting approaches using fast ensemble empirical model decomposition, genetic algorithm, Mind Evolutionary Algorithm and Artificial Neural Networks. Renew. Energy 2015, 83, 1066–1075. [Google Scholar] [CrossRef]
- Liu, H.; Tian, H.Q.; Chen, C.; Li, Y.F. An experimental investigation of two Wavelet-MLP hybrid frameworks for wind speed prediction using GA and PSO optimization. Int. J. Electr. Power Energy Syst. 2013, 52, 161–173. [Google Scholar] [CrossRef]
- Liu, D.; Niu, D.; Wang, H.; Fan, L. Short-term wind speed forecasting using wavelet transform and support vector machines optimized by genetic algorithm. Renew. Energy 2014, 62, 592–597. [Google Scholar] [CrossRef]
- Yu, S.; Ke, W.; Wei, Y.M. A hybrid self-adaptive Particle Swarm Optimization-Genetic Algorithm-Radial Basis Function model for annual electricity demand prediction. Energy Convers. Manag. 2015, 91, 176–185. [Google Scholar] [CrossRef]
- Rahmani, R.; Yusof, R.; Seyedmahmoudian, M.; Mekhilef, S. Hybrid technique of ant colony and particle swarm optimization for short term wind energy forecasting. J. Wind Eng. Ind. Aerodyn. 2013, 123, 163–170. [Google Scholar] [CrossRef]
- Bahrami, S.; Hooshmand, R.A.; Parastegari, M. Short term electric load forecasting by wavelet transform and grey model improved by PSO (particle swarm optimization) algorithm. Energy 2014, 72, 434–442. [Google Scholar] [CrossRef]
- Yeh, W.C.; Yeh, Y.M.; Chang, P.C.; Ke, Y.C.; Chung, V. Forecasting wind power in the Mai Liao Wind Farm based on the multi-layer perceptron artificial neural network model with improved simplified swarm optimization. Int. J. Electr. Power Energy Syst. 2014, 55, 741–748. [Google Scholar] [CrossRef]
- Ren, C.; An, N.; Wang, J.; Li, L.; Hu, B.; Shang, D. Optimal parameters selection for BP neural network based on particle swarm optimization: A case study of wind speed forecasting. Knowl.-Based Syst. 2014, 56, 226–239. [Google Scholar] [CrossRef]
- Pan, W.T. A new fruit fly optimization algorithm: Taking the financial distress model as an example. Knowl.-Based Syst. 2012, 26, 69–74. [Google Scholar] [CrossRef]
- Li, H.Z.; Guo, S.; Li, C.J.; Sun, J.Q. A hybrid annual power load forecasting model based on generalized regression neural network with fruit fly optimization algorithm. Knowl.-Based Syst. 2013, 37, 378–387. [Google Scholar] [CrossRef]
- Yuan, X.; Liu, Y.; Xiang, Y.; Ye, X. Parameter identification of BIPT system using chaotic-enhanced fruit fly optimization algorithm. Appl. Math. Comput. 2015, 268, 1267–1281. [Google Scholar] [CrossRef]
- Dai, H.; Liu, A.; Lu, J.; Dai, S.; Wu, X.; Sun, Y. Optimization about the layout of IMUs in large ship based on fruit fly optimization algorithm. Opt. Int. J. Light Electron Opt. 2015, 126, 490–493. [Google Scholar] [CrossRef]
- Wang, Y.H.; Yeh, C.H.; Young, H.W.V.; Hu, K.; Lo, M.T. On the computational complexity of the empirical mode decomposition algorithm. Phys. Stat. Mech. Appl. 2014, 400, 159–167. [Google Scholar] [CrossRef]
- Samet, H.; Marzbani, F. Quantizing the deterministic nonlinearity in wind speed time series. Renew. Sustain. Energy Rev. 2014, 39, 1143–1154. [Google Scholar] [CrossRef]
- Hong, Y.Y.; Yu, T.H.; Liu, C.Y. Hour-Ahead Wind Speed and Power Forecasting Using Empirical Mode Decomposition. Energies 2013, 6, 6137–6152. [Google Scholar] [CrossRef]
- Wang, J.; Zhang, W.; Li, Y.; Wang, J.; Dang, Z. Forecasting wind speed using empirical mode decomposition and Elman neural network. Appl. Soft Comput. 2014, 23, 452–459. [Google Scholar] [CrossRef]
- Huang, N.E. The empirical mode decomposition and the Hilbert spectrum for nonlinear and non-stationary time series analysis. R. Soc. Lond. Proc. 1998, 454, 903–995. [Google Scholar] [CrossRef]
- Specht, D.F. A general regression neural network. IEEE Trans. Neural Netw. 1991, 2, 568–576. [Google Scholar] [CrossRef] [PubMed]















| IMFs | IMF1 | IMF2 | IMF3 | IMF4 | IMF5 | IMF6 | IMF7 | IMF8 | R0 |
|---|---|---|---|---|---|---|---|---|---|
| Smoothing factor | 0.0652 | 0.0330 | 0.0076 | 0.0128 | 0.0109 | 0.0273 | 0.0031 | 0.0023 | 0.0023 |
| Algorithm | Affiliated Comparison Model | Parameter Name | Value Setting |
|---|---|---|---|
| BPNN | BPNN | maximum iteration number | 50 |
| learning rate | 0.1 | ||
| minimum error | 0.001 | ||
| GRNN | GRNN PSO-GRNN EMD-GRNN EMD-PSO-GRNN | smoothing factor | 0.05 |
| PSO | PSO-GRNN EMD-PSO-GRNN | population size | 20 |
| maximum iteration number | 50 | ||
| learning factor c1, c2 | 0.8, 0.8 | ||
| maximum velocity | 1 | ||
| minimum error | 0.001 |
| Forecasting Models | <10% | 10–20% | >20% | |||
|---|---|---|---|---|---|---|
| Number | Percentage | Number | Percentage | Number | Percentage | |
| EMD-FOA-GRNN | 140 | 64.81% | 65 | 30.09% | 11 | 5.09% |
| EMD-PSO-GRNN | 139 | 64.35% | 60 | 27.78% | 17 | 7.87% |
| EMD-GRNN | 126 | 58.33% | 61 | 28.24% | 29 | 13.43% |
| FOA-GRNN | 118 | 54.63% | 59 | 27.31% | 39 | 18.06% |
| PSO-GRNN | 105 | 48.61% | 80 | 37.04% | 31 | 14.35% |
| GRNN | 80 | 37.04% | 73 | 33.80% | 63 | 29.17% |
| BPNN | 73 | 33.80% | 57 | 26.39% | 86 | 39.81% |
| ARIMA | 49 | 22.69% | 55 | 25.46% | 112 | 51.85% |
| Forecasting Models | Indexes | |||
|---|---|---|---|---|
| MAE (m/s) | MAPE (%) | RMSE (m/s) | IoA | |
| EMD-FOA-GRNN | 1.286 | 8.95 | 0.124 | 0.9070 |
| EMD-PSO-GRNN | 1.320 | 9.45 | 0.135 | 0.8921 |
| EMD-GRNN | 1.593 | 10.99 | 0.151 | 0.8195 |
| FOA-GRNN | 1.657 | 11.38 | 0.146 | 0.8354 |
| PSO-GRNN | 1.739 | 11.57 | 0.145 | 0.8124 |
| GRNN | 2.265 | 14.50 | 0.171 | 0.7310 |
| BPNN | 2.461 | 18.26 | 0.231 | 0.7257 |
| ARIMA | 3.197 | 23.52 | 0.285 | 0.6618 |
| Forecasting Models | Promoted Percentage of Errors (%) | |||
|---|---|---|---|---|
| EMD-FOA-GRNN versus EMD-GRNN | 19.27 | 18.56 | 17.88 | 10.68 |
| EMD-FOA-GRNN versus FOA-GRNN | 22.39 | 21.35 | 15.07 | 8.57 |
| EMD-PSO-GRNN versus EMD-GRNN | 17.14 | 14.01 | 10.60 | 8.86 |
| EMD-PSO-GRNN versus PSO-GRNN | 24.09 | 18.32 | 6.90 | 9.81 |
| Forecasting Models | Indexes | |||
|---|---|---|---|---|
| MAE (m/s) | MAPE (%) | RMSE (m/s) | IoA | |
| EMD-FOA-GRNN | 1.677 | 9.87 | 0.137 | 0.9288 |
| EMD-PSO-GRNN | 1.880 | 10.16 | 0.142 | 0.8941 |
| EMD-GRNN | 2.037 | 10.91 | 0.147 | 0.8671 |
| FOA-GRNN | 2.300 | 12.47 | 0.164 | 0.8334 |
| PSO-GRNN | 2.459 | 13.53 | 0.183 | 0.8264 |
| GRNN | 3.164 | 16.38 | 0.194 | 0.7453 |
| BPNN | 3.505 | 18.85 | 0.226 | 0.7518 |
| ARIMA | 3.594 | 25.19 | 0.382 | 0.6258 |
| Forecasting Models | Promoted Percentage of Errors (%) | |||
|---|---|---|---|---|
| EMD-FOA-GRNN vs. EMD-GRNN | 19.27 | 18.56 | 17.88 | 10.68 |
| EMD-FOA-GRNN vs. FOA-GRNN | 22.39 | 21.35 | 15.07 | 8.57 |
| EMD-PSO-GRNN vs. EMD-GRNN | 17.14 | 14.01 | 10.60 | 8.86 |
| EMD-PSO-GRNN vs. PSO-GRNN | 24.09 | 18.32 | 6.90 | 9.81 |
© 2017 by the authors. Licensee MDPI, Basel, Switzerland. This article is an open access article distributed under the terms and conditions of the Creative Commons Attribution (CC BY) license (http://creativecommons.org/licenses/by/4.0/).
Share and Cite
Niu, D.; Liang, Y.; Hong, W.-C. Wind Speed Forecasting Based on EMD and GRNN Optimized by FOA. Energies 2017, 10, 2001. https://doi.org/10.3390/en10122001
Niu D, Liang Y, Hong W-C. Wind Speed Forecasting Based on EMD and GRNN Optimized by FOA. Energies. 2017; 10(12):2001. https://doi.org/10.3390/en10122001
Chicago/Turabian StyleNiu, Dongxiao, Yi Liang, and Wei-Chiang Hong. 2017. "Wind Speed Forecasting Based on EMD and GRNN Optimized by FOA" Energies 10, no. 12: 2001. https://doi.org/10.3390/en10122001
APA StyleNiu, D., Liang, Y., & Hong, W.-C. (2017). Wind Speed Forecasting Based on EMD and GRNN Optimized by FOA. Energies, 10(12), 2001. https://doi.org/10.3390/en10122001

