Robustness Area Technique Developing Guidelines for Power System Restoration
Abstract
:1. Introduction
“The South–Southeast interconnection tripped again at 02:20:00 (Figure 20) and a new attempt to reconnect the two subsystems was made at 02:23:28 (second 328 in Figure 21), but 1.5 s later, the interconnection tripped again. It caused oscillations in the BIPS (Brazilian Interconnected Power System), as shown in Figure 22, where the angle difference between UFPA (Federal University of Pará) (North) and UNIFEI (Federal University of Itajubá) (Southeast), soon after the reconnection attempt, is shown”.
“Resynchronizing of the interconnection loop was not accomplished in accordance with the interconnection procedures. The first tie which was closed between the northern and southern islands was a 115 kV line, which promptly opened on overload”.
“There were several unsuccessful closures before the island was finally reconnected to the remainder of the interconnection. Efforts need to be made to better coordinate restoration procedures among the many dispatch offices. Switching to return the system to normal was completed in one hour and two minutes following the cascading disturbance”.
2. The Robustness Assessment
2.1. The Voltage Stability Problem
2.2. The Power Flow Multiple Solutions and the Voltage Collapse Mechanism
2.3. Voltage Stability Assessment by Means of an Energy Function
2.4. Robustness Evaluation
3. Robustness Areas Methodology Defining a Guideline for Power System Restoration
3.1. Algorithm
- Calculate the operable power flow solution () at the base case;
- At this operating point, determine the critical bus by calculating the TV.
- Calculate the LVS () associated with the critical bus.
- For each bus in the system, calculate its related robustness level using Equation (4).
- Group the buses into areas, according to their robustness level. It is possible to generate an diagram where buses are shaded according to their vulnerability level and the RAs are formed.
- Propose a new guideline for reconnection by linking two buses according to their robustness levels. The vulnerability level defines the first connection. Then, the vulnerability profile is calculated for the new operating point. The process is then repeated, so a new connection is proposed based on the updated vulnerability levels.
- Compare statically and dynamically the proposed guidelines with the standard one adopted by the ISO. In addition, voltage stability analysis is considered as a robustness criterion for the guidelines.
3.2. Real Case Study System
3.3. Establishing a New Guideline for Restoration Procedure
4. Stability Assessments
4.1. Voltage Stability Assessment
4.1.1. PV Curve Analysis
4.1.2. QV Curve Analysis
4.1.3. Standing Phase Angle Analysis
4.2. Dynamic Stability Assessment
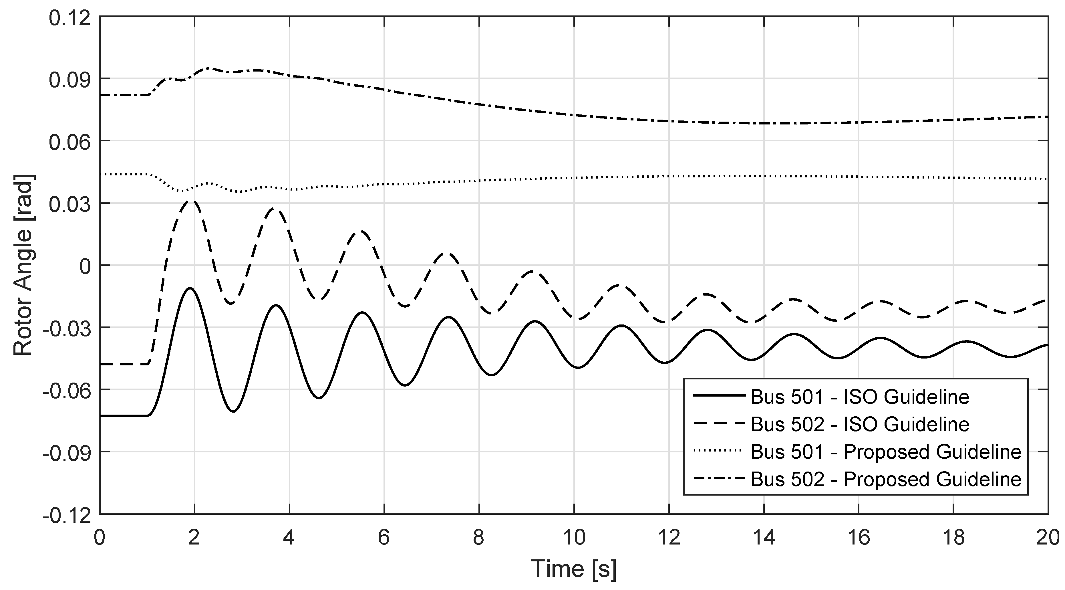
4.2.1. Loop Closure Simulation
4.2.2. Load Shedding Simulation
5. Conclusions
Acknowledgments
Author Contributions
Conflicts of Interest
Abbreviations
| CP | Coordinated Phase |
| FP | Fluent Phase |
| GU | Generator Unit |
| ISO | Independent System Operator |
| LVS | Low Voltage Solution |
| PSR | Power System Restoration |
| RA | Robustness Areas |
| SEP | Stable Equilibrium Point |
| SPA | Standing Phase Angle |
| UEP | Unstable Equilibrium Point |
Appendix A
| Bus | V | θ | |||||
|---|---|---|---|---|---|---|---|
| 78 | 0.920 | −22.3 | - | - | - | - | 91.0 |
| 410 | 1.000 | −24.0 | - | - | - | - | 4.8 |
| 423 | 0.986 | −25.5 | - | - | - | - | −7.3 |
| 425 | 0.983 | −26.1 | - | - | - | - | 0.9 |
| 427 | 0.978 | −27.3 | - | - | 250.0 | 85.4 | 11.0 |
| 449 | 0.923 | −21.5 | - | - | - | - | 142.3 |
| 464 | 0.916 | −23.3 | - | - | - | - | 280.4 |
| 466 | 0.915 | −23.4 | - | - | 160.0 | 35.3 | 244.0 |
| 474 | 1.041 | −18.0 | - | - | 30.0 | 10.4 | 11.3 |
| 500 | 0.960 | −0.6 | 306.3 | −99.5 | - | - | 33.9 |
| 501 | 0.930 | 0.0 | 495.1 | −342.1 | - | - | 40.4 |
| 502 | 1.000 | −2.0 | 364.8 | 5.9 | - | - | 29.3 |
| 507 | 0.995 | 12.2 | 175.0 | −49.7 | - | - | 18.3 |
| 510 | 1.000 | 16.0 | 394.7 | −111.9 | - | - | 37.8 |
| 513 | 0.990 | 13.9 | 150.0 | −70.4 | - | - | 14.2 |
| 536 | 0.975 | −3.1 | - | - | 120.0 | 48.6 | 46,905.3 |
| 538 | 0.972 | −3.4 | - | - | - | - | 45,395.4 |
| 539 | 1.001 | −5.4 | - | - | 150.0 | 60.0 | 96.6 |
| 542 | 0.989 | −4.5 | - | - | - | - | 115.3 |
| 544 | 1.017 | 12.9 | - | - | 9.0 | 3.7 | 91.7 |
| 547 | 1.017 | 10.8 | - | - | 65.0 | 28.6 | 129.4 |
| 549 | 1.010 | 9.4 | - | - | 100.0 | 38.4 | 89.6 |
| 552 | 1.002 | 6.5 | - | - | 65.0 | 23.5 | 50,075.2 |
| 559 | 0.912 | −15.5 | - | - | 150.0 | 50.4 | 14.8 |
| 561 | 1.042 | −16.8 | - | - | 120.0 | 45.0 | 16.2 |
| 563 | 0.952 | −8.8 | - | - | 130.0 | 54.1 | 22.3 |
| 567 | 0.947 | −9.5 | - | - | 180.0 | 79.2 | 140.0 |
| 570 | 0.947 | −9.1 | - | - | 160.0 | 39.1 | 44,504.9 |
| 574 | 0.941 | −9.9 | - | - | 160.0 | 73.6 | 53.5 |
| 581 | 1.038 | −17.6 | - | - | - | - | 42.0 |
| 582 | 1.040 | −17.7 | - | - | - | - | 48.6 |
| 584 | 1.015 | −21.9 | - | - | - | - | 49.2 |
| 590 | 1.012 | −22.5 | - | - | - | - | 51.1 |
| 593 | 0.924 | −20.7 | - | - | - | - | 119.3 |
| 594 | 0.924 | −21.1 | - | - | - | - | 200.2 |
References
- Adibi, M.; Martins, N.; Watanabe, E. The impacts of FACTS and other new technologies on power system restoration dynamics. In Proceedings of the 2010 IEEE Power and Energy Society General Meeting, Providence, RI, USA, 25–29 July 2010; pp. 1–6.
- Allen, E.; Stuart, R.; Wiedman, T. No light in August: Power system restoration following the 2003 North American Blackout. IEEE Power Energy Mag. 2014, 12, 24–33. [Google Scholar] [CrossRef]
- Bernardon, D.; Sperandio, M.; Garcia, V.; Canha, L.; da Rosa Abaide, A.; Daza, E. AHP Decision-Making algorithm to allocate remotely controlled switches in distribution networks. IEEE Trans. Power Deliv. 2011, 26, 1884–1892. [Google Scholar] [CrossRef]
- Brazilian Independent System Operator. Networks Proceedings 21.6 — System Restoration Studies, 2009; Brazilian Independent System Operator: Rio de Janeiro, Brazil, 2016. (In Portuguese) [Google Scholar]
- Brazilian Independent System Operator. Networks Proceedings 10.11 — Network Restoration after Disturbances, 2010; Brazilian Independent System Operator: Rio de Janeiro, Brazil, 2016. (In Portuguese) [Google Scholar]
- Gomes, P.; de Lima, A.; de Padua Guarini, A. Guidelines for power system restoration in the Brazilian system. IEEE Trans. Power Syst. 2004, 19, 1159–1164. [Google Scholar] [CrossRef]
- Camillo, M.; Romero, M.; Fanucchi, R.; de Lima, T.; Marques, L.; Delbem, A.; London, J. Validation of a methodology for service restoration on a real Brazilian distribution system. In Proceedings of the 2014 IEEE PES Transmission Distribution Conference and Exposition—Latin America (PES T D-LA), Medellin, Colombia, 9–13 September 2014; pp. 1–6.
- Decker, I.; Agostini, M.; e Silva, A.; Dotta, D. Monitoring of a large scale event in the Brazilian power system by WAMS. In Proceedings of the 2010 iREP Symposium on Bulk Power System Dynamics and Control (iREP)—VIII (iREP), Rio de Janeiro, Brazil, 1–6 August 2010; pp. 1–8.
- Electric Energy National Agengy ANEEL. Fiscalization report on the 10th of November 2009 Blackout in Brazil, 2010; Electric Energy National Agengy ANEEL: Brasilia, Brazil, 2010. (In Portuguese) [Google Scholar]
- Mota, A.; Mota, L.; Morelato, A. Visualization of Power System Restoration Plans Using CPM/PERT Graphs. IEEE Trans. Power Syst. 2007, 22, 1322–1329. [Google Scholar] [CrossRef]
- Adibi, M. Power system restoration the second task force report. In Power System Restoration: Methodologies and Implementation Strategies; Wiley-IEEE Press: Hoboken, NJ, USA, 2000; pp. 10–16. [Google Scholar]
- Yari, V.; Nourizadeh, S.; Ranjbar, A. Wide-Area frequency control during power system restoration. In Proceedings of the 2010 IEEE Electric Power and Energy Conference (EPEC), Halifax, NS, Canada, 25–27 August 2010; pp. 1–4.
- Silva, B.; Moreira, C.; Seca, L.; Phulpin, Y.; Peças Lopes, J. Provision of inertial and primary frequency control services using offshore multiterminal HVDC networks. IEEE Trans. Sustain. Energy 2012, 3, 800–808. [Google Scholar] [CrossRef]
- Yari, V.; Nourizadeh, S.; Ranjbar, A. Determining the best sequence of load pickup during power system restoration. In Proceedings of the 2010 9th International Conference on Environment and Electrical Engineering (EEEIC), Prague, Czech Republic, 16–19 May 2010; pp. 1–4.
- Nourizadeh, S.; Karimi, M.; Ranjbar, A.; Shirani, A. Power system stability assessment during restoration based on a wide area measurement system. Gener. Transm. Distrib. IET 2012, 6, 1171–1179. [Google Scholar] [CrossRef]
- Duffey, R.; Ha, T. The probability and timing of power system restoration. IEEE Trans. Power Syst. 2013, 28, 3–9. [Google Scholar] [CrossRef]
- Ren, F.; Zhang, M.; Soetanto, D.; Su, X. Conceptual design of a multi-agent system for interconnected power systems restoration. IEEE Trans. Power Syst. 2012, 27, 732–740. [Google Scholar] [CrossRef]
- Sun, W.; Liu, C.C.; Zhang, L. Optimal generator start-up strategy for bulk power system restoration. IEEE Trans. Power Syst. 2011, 26, 1357–1366. [Google Scholar] [CrossRef]
- Wang, C.; Vittal, V.; Sun, K. OBDD-Based sectionalizing strategies for parallel power system restoration. IEEE Trans. Power Syst. 2011, 26, 1426–1433. [Google Scholar] [CrossRef]
- Shi, L.; Ding, H.; Xu, Z. Determination of weight coefficient for power system restoration. IEEE Trans. Power Syst. 2012, 27, 1140–1141. [Google Scholar] [CrossRef]
- Lin, Z.; Wen, F. Discussion on “Optimal generator start-up strategy for bulk power system restoration”. IEEE Trans. Power Syst. 2011, 27, 1357–1366. [Google Scholar] [CrossRef]
- Oliveira, D.; Zambroni de Souza, A.; Almeida, A.; Lima, I. An artificial immune approach for service restoration in smart distribution systems. In Proceedings of the 2015 IEEE PES, Innovative Smart Grid Technologies Latin America (ISGT LATAM), Montevideo, Uruguay, 5–7 October 2015; pp. 1–6.
- Siqueira, D.; Alberto, L.; Bretas, N. Generalized energy functions for a class of lossy networking preserving power system models. In Proceedings of the 2015 IEEE International Symposium on Circuits and Systems (ISCAS), Lisbon, Portugal, 24–27 May 2015; pp. 926–929.
- Kumar, A.; Bhagat, S. Voltage stability analysis using lyapunov energy function. In Proceedings of the 2015 1st Conference on Power, Dielectric and Energy Management at NERIST (ICPDEN), Itanagar, India, 10–11 January 2015; pp. 1–6.
- Marujo, D.; Zambroni de Souza, A.; Prada, R. On reverse operating conditions identification. In Proceedings of the 2015 IEEE Eindhoven PowerTech, Eindhoven, The Netherlands, 29 June–2 July 2015; pp. 1–6.
- Kundur, P. Power System Stability and Control; McGraw-Hill: New York, NY, USA, 1994. [Google Scholar]
- Marujo, D.; Zambroni de Souza, A.; Lima Lopes, B.; Santos, M.; Lo, K. On control actions effects by using QV curves. IEEE Trans. Power Syst. 2015, 30, 1298–1305. [Google Scholar] [CrossRef]
- Van Cutsem, T.; Vournas, C. Voltage Stability of Electric Power Systems; Springer: New York, NY, USA, 2008. [Google Scholar]
- De Lorenci, E.V.; de Souza, A.C.Z. Energy function applied to voltage stability studies—Discussion on low voltage solutions with the help of tangent vector. Electr. Power Syst. Res. 2016, 141, 290–299. [Google Scholar] [CrossRef]
- de Souza, A.Z.; Leme, R.C.; Vasconcelos, L.F.B.; Lopes, B.I.L.; da Silva Ribeiro, Y.C. Energy function and unstable solutions by the means of an augmented Jacobian. Appl. Math. Comput. 2008, 206, 154–163. [Google Scholar]
- Overbye, T. Use of energy methods for on-line assessment of power system voltage security. IEEE Trans. Power Syst. 1993, 8, 452–458. [Google Scholar] [CrossRef]
- Iba, K.; Suzuki, H.; Egawa, M.; Watanabe, T. A method for finding a pair of multiple load flow solutions in bulk power systems. IEEE Trans. Power Syst. 1990, 5, 582–591. [Google Scholar] [CrossRef]
- Klump, R.; Overbye, T. A new method for finding low-voltage power flow solutions. In Proceedings of the 2000 IEEE Power Engineering Society Summer Meeting, College Station, TX, USA, 16–20 July 2000; Volume 1, pp. 593–597.
- De Souza, A.Z. Tangent vector applied to voltage collapse and loss sensitivity studies. Electr. Power Syst. Res. 1998, 47, 65–70. [Google Scholar] [CrossRef]
- Brazilian Independent System Operator. Brazilian System Technical Data; Brazilian Independent System Operator: Rio de Janeiro, Brazil. (In Portuguese)
- Mohn, F.; de Souza, A. Tracing PV and QV curves with the help of a CRIC continuation method. IEEE Trans. Power Syst. 2006, 21, 1115–1122. [Google Scholar] [CrossRef]
- Martins, N.; de Oliveira, E.; Pereira, J.; Ferreira, L. Reducing Standing Phase Angles via Interior Point Optimum Power Flow for Improved System Restoration. In Proceedings of the 2004 IEEE PES Power Systems Conference and Exposition, New York, NY, USA, 10–13 October 2004; Volume 1, pp. 404–408.
- Anderson, P.; Fouad, A. Power System Control and Stability, 2nd ed.; Wiley India Pvt. Limited: Delhi, India, 2008. [Google Scholar]











| Transmission Line | Standing Phase | ||
|---|---|---|---|
| From | To | Angle [°] | |
| Proposed Guideline | 552 | 561 | 0.8 |
| 559 | 561 | 3.1 | |
| ISO Guideline | 539 | 561 | 7.8 |
| 538 | 561 | 3.9 | |
© 2017 by the authors; licensee MDPI, Basel, Switzerland. This article is an open access article distributed under the terms and conditions of the Creative Commons Attribution (CC-BY) license (http://creativecommons.org/licenses/by/4.0/).
Share and Cite
Murinelli Pesoti, P.; De Lorenci, E.V.; Zambroni de Souza, A.C.; Lo, K.L.; Lima Lopes, B.I. Robustness Area Technique Developing Guidelines for Power System Restoration. Energies 2017, 10, 99. https://doi.org/10.3390/en10010099
Murinelli Pesoti P, De Lorenci EV, Zambroni de Souza AC, Lo KL, Lima Lopes BI. Robustness Area Technique Developing Guidelines for Power System Restoration. Energies. 2017; 10(1):99. https://doi.org/10.3390/en10010099
Chicago/Turabian StyleMurinelli Pesoti, Paulo, Eliane Valença De Lorenci, Antonio Carlos Zambroni de Souza, Kwok Lun Lo, and Benedito Isaias Lima Lopes. 2017. "Robustness Area Technique Developing Guidelines for Power System Restoration" Energies 10, no. 1: 99. https://doi.org/10.3390/en10010099
APA StyleMurinelli Pesoti, P., De Lorenci, E. V., Zambroni de Souza, A. C., Lo, K. L., & Lima Lopes, B. I. (2017). Robustness Area Technique Developing Guidelines for Power System Restoration. Energies, 10(1), 99. https://doi.org/10.3390/en10010099

