Next Article in Journal
A Vertical Asymmetry in Saccades
Previous Article in Journal
Eye Tracking in the Wild: The Good, the Bad and the Ugly
 
 
Journal of Eye Movement Research is published by MDPI from Volume 18 Issue 1 (2025). Previous articles were published by another publisher in Open Access under a CC-BY (or CC-BY-NC-ND) licence, and they are hosted by MDPI on mdpi.com as a courtesy and upon agreement with Bern Open Publishing (BOP).
Font Type:
Arial Georgia Verdana
Font Size:
Aa Aa Aa
Line Spacing:
Column Width:
Background:
Article

Robust Head Mounted Wearable Eye Tracking System for Dynamical Calibration

by
Antonio Lanata
,
Alberto Greco
,
Gaetano Valenza
and
Enzo Pasquale Scilingo
Research Center “E.Piaggio”, University of Pisa, 56126 Pisa, Italy
J. Eye Mov. Res. 2015, 8(5), 1-15; https://doi.org/10.16910/jemr.8.5.2
Published: 3 November 2015

Abstract

:
In this work, a new head mounted eye tracking system is presented. Based on computer vision techniques, the system integrates eye images and head movement, in real time, performing a robust gaze point tracking. Nystagmus movements due to vestibulo-ocular reflex are monitored and integrated. The system proposed here is a strongly improved version of a previous platform called HATCAM, which was robust against changes of illumination conditions. The new version, called HAT-Move, is equipped with accurate inertial motion unit to detect the head movement enabling eye gaze even in dynamical conditions. HAT-Move performance is investigated in a group of healthy subjects in both static and dynamic conditions, i.e., when head is kept still or free to move. Evaluation was performed in terms of amplitude of the angular error between the real coordinates of the fixed points and those computed by the system in two experimental setups, specifically, in laboratory settings and in a 3D virtual reality (VR) scenario. The achieved results showed that HAT-Move is able to achieve eye gaze angular error of about 1 degree along both horizontal and vertical directions.

Introduction

Eye Gaze Tracking (EGT) system includes a device able to continuously acquire and follow eye position over time and compute gaze point coordinates in the environment around the subject through an analytical relationship. In the current literature, EGTs have been exploited in different fields, ranging from the medical field (detecting the relationship between oculomotor characteristics and cognition and/or mental states) to user interaction (helping people with disabilities or level attention detection), from multimedia to product design (C. Morimoto & Mimica, 2005). Currently, most EGTs are based on the Video-OculoGraphy (VOG) technique, which is a method for tracking eye movements through computer vision techniques used to process eye images (Van der Geest & Frens, 2002). Through VOG, pupil position and iris landmarks are detected by means of image processing algorithms and used to calculate both eye rotation angles and the eye center. VOG-based EGTs can be classified into two main categories identified by the position of the camera, that is dedicated to acquiring eye images with respect to the user. In particular, if the camera is placed on a fixed support in front of the subject the systems are named remote EGTs, when placed on the head of the subject they are named Head—Mounted EGTs (HMEGTs), i.e., portable EGTs. Of course, the choice between the two types of systems poses different technical and methodological challenges. Generally, in laboratory environment remote EGTs are employed. They allow a quite precise measure, but impose limitations in the kind of information that can be retrieved. Specifically, remote EGTs could make use of either the chin support to block the user’s head resulting unsuitable for long term acquisitions but with a good accuracy, or intelligent algorithms such as Active Shape Model (ASM) (T. F. Cootes, Taylor, Cooper, & Graham, 1995) to detect the user’s eye allowing for limited head movements. They often require really expensive high definition camera that make remote EGTs suitable for investigating oculomotor strategy in neurological investigation, (Meyer, Böhme, Martinetz, & Barth, 2006). On the contrary, HMEGTs have opened new scenarios for research and for markets where the user is free to move his head on which the equipment is directly mounted (Zhu & Ji, 2007). HMEGTs make it possible to investigate the eye-movement during natural tasks in uncontrolled environments (M. Land & Lee, 1994) and in real life scenarios. Although in the real life scenario some uncontrollable external factors such as illumination changes could make the experimental setting time-consuming and not easily repeatable, at the same time HMEGTs allow for dynamical monitoring even in case of time-variant experimental paradigms (Hayhoe & Ballard, 2005). One of the most significant approach to prevent luminosity change issues is based on infrared (IR) illumination. In particular, spectral (reflective) properties of the pupil, under near-IR illumination, are exploited to maximize the image-contrast (C. Morimoto, Amir, & Flickner, 2002; C. Morimoto & Mimica, 2005). Nevertheless, in order to combine the advantage of supervised laboratory settings with real-life-like environments one of the most interesting approach is based on virtual reality immersive space (Fahrenberg, Myrtek, Pawlik, & Perrez, 2007). Virtual Reality (VR) offers an excellent compromise between laboratory and natural world accounting for a systematic control of the stimuli and the variables involved. Given the advantages of immersive VR spaces, HMEGTs have opened up new exploiting directions of the human interaction over time (Henderson, 2003; Jacob & Karn, 2003) focussing on understanding and coding naturalistic behaviour (Hayhoe & Ballard, 2005). However, even though many researches exploited HMEGTs for studying user attention, their perception of surrounding objects, and user interest as well as eye pattern in affective stimulation obtaining good results, (Lanatà, Valenza, & Scilingo, 2013; de Lemos, Sadeghnia, Ólafsdóttir, & Jensen, 2008; Partala & Surakka, 2003; Lanata, Armato, Valenza, & Scilingo, 2011), the performances of these systems drastically decade when the user head is free to move for example in the investigation of VR space navigation (C. Morimoto & Mimica, 2005). In this context, this work aims at developing a new HMEGT (named HAT-Move) to be used either in real life or in completely immersive 3D-virtual reality worlds.

Head Movement Issue

The possibility of freely moving the head with HMEGTs requires a robust and reliable identification and tracking of the pupil center and gaze point. Generally, all of the eye tracking systems developed both for market and research purpose make use of an uneasyto-perform calibration procedure, that should be very accurate. As a matter of fact, the better is the calibration the better is the outcome of the EGT. In particular, given a certain number of points (i.e, calibration points) in the real world and fixed their coordinates on the acquired image, the calibration is an analytical relationship that maps the coordinates of the eye gaze computed by the system into the coordinates of the calibration points (Hartley & Zisserman, 2000).. This procedure can be differentiated by both the number of calibration points and the kind of mathematical models used to generate this relationship, (Ramanauskas, Daunys, & Dervinis, 2008). In the literature many efforts have been spent to improve gaze estimation in terms of increasing tolerance to head movements, and as a consequence to improve and simplify the calibration process (Cerrolaza, Villanueva, & Cabeza, 2008; Johnson, Liu, Thomas, & Spencer, 2007; Evans, Jacobs, Tarduno, & Pelz, 2012). In fact, in spite of several attempts of EGTs to enable head movements which can be found in the literature, the head movement keeps remaining an open issue. Babcock et al. introduced a projected grid of 9-points in front of the person, (Babcock, Pelz, & Peak, 2003), as a reference for calibrating the eye position with the camera scene image. Even though this system is designed to be used in natural task it requires many calibration steps during the experiments. Moreover, since a measure of the movement of the head is missing the recalibration process is based on human-operator expertise. Rothkopf et al. tried to use head movements to disambiguate the different types of eye movements when subjects move head and body (Rothkopf & Pelz, 2004). However, the performance of the algorithm declines for large motions in roll, and sometimes the algorithm fails completely. Data analysis showed that the recordings suffered from a significant noise level compared to experimental conditions in which the subject does not move neither the body nor the head, highlighting that much more complex patterns of eye and head movements had to be considered. Johnson et al. allowed relatively unrestricted head and/or body movements (Johnson et al., 2007) tracking them by a visual motion tracker but large errors were found. Moreover two relevant drawbacks have been reported: the eye tracker became less reliable at larger eye rotations and errors arose if there was a shift in the relative position 3D reference on the eye-tracker’s visor and the participant’s head. As a result of this background it is worthwhile noting that augmenting the eye trackers capacity of differentiating among the movements of the head and the eyes could improve their ability in performing an effective and robust gaze detection. In this view, HAT-Move aims at overcoming the state of the art proposing a novel method for integrating head movement contribution in a free to move eye gaze detection.

Eye Movement

One of the crucial point of the proposed system is the ability in detecting and monitoring the eye movement. Specifically, eye movements can be classified as pursuit and smooth pursuit, saccades and nystagmus movement. Pursuit movements or smooth pursuit are eye movements used for tracking an object in movement, therefore a moving image has to remain constrained to the fovea to achieve a stable image seen by the user. Fovea is a small area of the retina with a very high visual acuity, and it covers about 2 degrees of visual angle. Saccades are rapid movements of eyes for scanning a visual scene. They are also present when the subject is fixating one point (Findlay, 2009). Nystagmus indicates involuntary eye movements. More specifically, when the head rotates about any axis, distant visual images are sustained by rotating eyes in the opposite direction on the respective axis. Physiologically, nystagmus is a form of involuntary eye movement that is part of the vestibulo-ocular reflex (VOR), characterized by alternating smooth pursuit in one direction and saccadic movement in the other direction (Westheimer & McKee, 1975). As a matter of fact the brain must turn the eyes so that the image of the fixed object falls on the fovea. Of note, the pursuit system keeps up the moving object in order to allow the brain to move the eyes in opposite direction to head motion, otherwise, image slip on the retina and a blurred image is produced.
In this work, we propose an innovative version of the already partially proposed wearable and wireless eye tracking system (Armato, Lanatà, & Scilingo, 2013). The new system, HAT-Move, is comprised of only one light camera able to capture simultaneously the scene and both eyes of the subject through a mirror. The system calculates the gaze point in real-time both indoor and outdoor. Moreover, a precise and fast Inertial Motion Unit (IMU) was added to render it independent from involuntary head movements, during the calibration phase, or to render it robust to head movements needed to focus on objects out of the visual space. Specifically, in this study we evaluated the contribution, in terms of angular error, of the head movement integration with respect to standard eye tracking. Moreover, HAT-Move system inherits from the previous version the robustness against illumination variation implementing a normalization of the illumination through a Discrete Cosine Transform (DCT) of the acquired images. Further details are reported in Section.

Materials and Methods

The HAT-Move eye tracking system was developed in two configurations: the “baseball” hat (see Figure 1) and the head band (see Figure 2). They are technically and functionally equivalent, although the former can be considered aesthetically more pleasant. It is comprised of a wireless camera that is light and small, with an Audio/Video (A/V) transmitter of up to 30m of distance. The camera has a resolution of 628 × 586 pixels with F2.0, D45° optic, and 25 frames per second (f.p.s.). In addition, the InfraRed (IR) filter, which is actually present in each camera, was removed and a wide-angle-lens was added allowing to enlarge the view angle and acquire natural infrared components increasing both the image resolution and the contrast between pupil and iris. This system is able to simultaneously record the visual scene in front of the subject and eye position. This is achieved through a mirror(5 x 0.6 cm) placed in front of the user’s head (see Figure 2). The system is completely customizable on the user’s forehead (see Figure 2). In addition, a wireless Inertial Motion Unit is placed atop the head close to the azimuth rotation center (see Figure 3). The IMU allows for the acquisition of head movements and rotations during natural activities, allowing for the correction of eye gaze estimation taking into account both the movements during the calibration phase and the “Vestibulo-Ocular Reflex” (VOR) contributions. The adopted IMU provides the three rotation Euler-angles of the head (see Figure 3) with a sampling frequency of 100 Hz. The system is intended to be wearable, minimally invasive, capable of eye tracking, estimating pupil size, lightweight, and equipped for wireless communication. Moreover the system is designed to be attractive and aesthetic (in a baseball-like version), and able to process the eyegaze pattern in real-time. The HAT-Move system uses a passive approach for capturing ambient light reflected by the eye (VOG). The customized image acquisition system is able to acquire both natural light along with its IR components that are already present in the natural light bandwidth. Therefore, the system presents IR lightning advantages increasing the pupil-iris contrast and avoiding any possible eye injury due to artificial IR illuminators. The block diagram in Figure 4 shows the methodology used to process the acquired image, in which both eyes and scene are presented. The whole processing chain is comprised of a series of algorithms for the detection of the eye center and for the integration of the head rotation angles and the correction of involuntary head movements. Specifically, the eye center detection is achieved through the following steps: eye region extraction algorithm, photometric normalization algorithm of illumination, extraction of the pupil contour, and ellipse fitting algorithm as well. Afterwards, the center of the eye is detected, Eulero-head-angles together with the pupil center are integrated into the mapping function to map the eye center and movements into the image plane. The processing chain is fully described in the following sections.

Extraction of the eye region

The region containing the eye must be extracted from the image in which both scene and eyes are simultaneously acquired (see Figure 5). It is obtained through an automatic detection of the rectangular area including the eye (named Region Of Interest (ROI)), (see Figure 5 and 6). For this purpose a modified version of the Active Shape Model was used (ASM). The ASM is an artificial intelligence algorithm generally used for the detection of objects by means their shape (T. F. Cootes et al., 1995), in particular, several modified versions of this algorithm were implemented over time for face detection applications. More specifically, after defining the “landmarks”, or distinguishable points present on every image, e.g., the eye corner locations, the shape was represented by an x-y coordinate vector of those landmarks which characterize the specific shape. It is worthwhile noting that a shape of an object does not change when it is moved, rotated or scaled, and the average Euclidean distance between the shape points is minimized through a similar transformation in order to align one shape with an other. Indeed, ASM is a recursive algorithm that starts from an initial tentative shape and adjusts the locations of shape points by means of a template matching the image texture around each point, aimed at adapting the initial shape to a global shape model. The entire search is repeated at each level in an image pyramid, from coarse to fine resolution; specific details can be found in (T. Cootes & Taylor, n.d.). In our study, after the HAT-Move is worn, the first thirty seconds were used to train the ASM and then to detect the ROI. Since the system is mounted on the head, the extracted ROI does not change through-out the experiment. In addition, only the red-imagecomponent is converted in gray scale and used as input to the other processing blocks (see Figure 6). This image component, indeed, is especially helpful in enhancing the contrast between pupil and background.

Illumination normalization

Illumination normalization relies on an algorithmic strategy to keep stable illumination conditions throughout the captured images. More specifically, environmental illumination changes are reflected in the acquired images as a variation of the eye representation in terms of intensity thereby strongly reducing the contrast between eyes and landmark. The standard approach is based on the Retinex theory, (E. H. Land & McCann, 1971) whereby the effect of a non-uniform illumination is eliminated and is completely independent of any a-priori knowledge of the surface reflectance and light source composition. According to this theory, the image intensity I(x, y) can be simplified and formulated as follows:
I(x, y)= R(x, y)L(x, y)
where R(x, y) is the reflectance and L(x, y) is the illuminance at each point (x, y). The luminance L is assumed to contain low frequency components of the image while the reflectance R mainly includes the high frequency components of the image. The technique used here is the result of a our previous work, in which seven different photonormalization techniques were tested and compared, i.e., Single Scale Retinex (SSR), Multi Scale Retinex (MSR), Single scale selfQuotient Image (SQI), Multi Scale selfQuotient image (MSQ), Discrete Cosine Transform(DCT), WAveletbased Normalization algorithm (WAN), and Normalization Histogram (NH). In that paper our key approach was to evaluate, in terms of accuracy of eye tracking, pupillometry and execution time under three different brightness conditions: Laboratory, Sunlight, and Darkness. Results showed that the DCT method was the most effective in terms of accuracy of gaze point and pupillometry. More details can be found in (Armato et al., 2013). The DCT technique compensates for illumination variations by truncating the low frequency components of the discrete cosine transform (DCT) in the logarithmic domain. In the logarithmic domain the theory is formulated as follows:
logI(x, y)= log(R(x, y)+ log(L(x, y)
Figure 7 shows the output of the DCT algorithm applied to gray scale image reported in Figure 6.

Pupil tracking and ellipse fitting

This section deals with the method used to extract the pupil contours. The method is comprised of several blocks in which the acquired eye image is first binarized in order to separate the pupil from the background by using a threshold in the image histogram; then a geometrical method was used to reconstruct pupil contours and to remove outliers belonging to the background, details of this algorithm con be found in (Armato et al., 2013). Following the geometrical detection of the points belonging to the pupil, an ellipse fitting algorithm is implemented for pupil contour reconstruction and for detecting the center of the eye. In the literature, the ellipse is considered to be the best geometrical figure representing the eye, being the eye image captured by the camera a projection of the eye in the mirror. Over the last decade many ellipse fitting algorithms have been proposed (Forsyth & Ponce, 2002; Bennett, Burridge, & Saito, 2002), although most work offline. In our system we used the Least Square (LS) technique, which is based on finding a set of parameters that minimizes the distance between the data points and the ellipse, (Fitzgibbon, Pilu, & Fisher, 2002). According to the literature this technique fulfills the real time requirement (Duchowski, 2007). Specifically, we follow the algorithm proposed by Fitzgibbon et al., which is a direct computational method (i.e., B2AC, it is the exact name of Fitzgibbon’s algorithm which is based on the solution of a quadratic polynomial) based on the algebraic distance with a quadratic constraint, in which a gaussian noise is added for algorithm stabilization, (Maini, 2005). Afterwards, the center of the eye is computed as the center of the fitted ellipse. A detailed description of the methods can be found in (Armato et al., 2013). Figure 8 shows the result of pupil tracking and the ellipse fitting algorithm for reconstructing pupil contours.

Mapping of the position of the eye

The mapping procedure aims at associating the instantaneous position of the center of the eye to a point of the scene. This point is named gazepoint. This procedure is mainly based on a mathematical function, named mapping f unction, which is an equation system constituted of two second order polynomial functions (C. H. Morimoto, Koons, Amir, & Flickner, 2000) defined as:
xsi = a11 + a12xei + a13yei + a14xeiyei + a15xei2 + a16yei2
ysi = a21 + a22xei + a23yei + a24xeiyei + a25xei2 + a26yei2
where xsi, ysi are the coordinates of a point on the image plane (i.e., the coordinates of the point on the screen mapped into the image plane captured by the camera), and xei, yei are the coordinates of the center of the eye coming from the ellipse fitting block, referred to the image plane as well. The procedure is intended to solve the equation system by means of a calibration process. Once the system is positioned onto the subject’s head in a manner that eyes and scene are simultaneously presented in the image captured by the camera, the user is asked to look at some specific points on the screen (calibration process). These points are identified by coordinates si = (xsi, ysi) referred to the image plane (i.e., the image captured by the camera), (see Figure 5). Since the coordinates of the calibration points are known to solve the equation system, we have to compute the coefficients a1,1—to—6, and a2,1—to—6 that are unknowns. The results are achieved because each calibration point defines 2 equations, and, considering a 9-point calibration process, the system is over constrained with 12 unknowns and 18 equations and can be solved using Least Square Method (LSM). Head movements mainly affect the calibration process, resulting in artifact movement that degrades eye estimation and consequentially the point of gaze as well. Two different problems related to these movements arise. The first consists of the modification of the image plane position, which follows the head rotations being attached to the forehead, while the second is due to the involuntary movement. In this work an innovative integration process is implemented, as described in the next paragraph.

Movement Integration Process

This integration process is related to the adjustment of the eye gaze as a consequence of changes in the calibration plane orientation with respect to the camera and the compensating eye rotations against head rotations. These issues are mainly due to the user’s inability to hold the head still for the whole duration of the calibration process. Consequently, these movements reduce the system accuracy. This process is based on data gathered from the IMU. First of all, according to Figure 10, OhXhYhZh, we define the cartesian system in the reference frame of the IMU; OXcamYcamZcam the cartesian system in the reference frame of the camera; OXeYe a cartesian system in the reference frame of the center of the eye; Oxiyi the cartesian system on the image plane; f the focal distance; c(xc, yc) the projection of the central point of the calibration plane onto the image plane; si(xsi, ysi) the projection of P(x, y, z), which is a generic calibration point, onto the image plane. Moreover, we also define the following rotations: θh, ψh and ϕh head rotation angles around Yh, Xh, and Zh axes, respectively; and θe and ψe the eye rotation angles around Ye and Xe, respectively. The Movement Integration (MI) is performed during the acquisition of the 9 target points si = (xsi, ysi), the 9 points related to eye positions ei = (xei, yei), and synchronously the Euler angles of the head (θh, ϕh and ψh see Figure 10). In particular, the MI process performs both the realignment of eye center position on the image plane when the VOR occurs and the remapping of the calibrated space onto the image plane when the head of the user is rotating. Hence at the end of the process, the mapping function will compute the adjusted coordinates of the eye center xei, yei, and the corrected coordinates of the calibration point, si = (xsi, ysi), both referred to the image plane. Referring to the eye rotation angles, they were estimated taking advantage of VOR contributions by means of Vestibulo-Ocular calibration curves. These curves are estimated to quantify eye rotations by a mathematical model for transforming eye rotations, expressed in degrees, into movements of the eye center along the vertical and horizontal axes, expressed in pixels (Crawford & Vilis, 1991). Here, vestibulo-ocular curves are two curves (one is for the rotation ψ around x axis and the other is for the rotation θ around y axis) computed asking the user to rotate the head around the horizontal and vertical axes fixing the gaze on point “C” in front of him while acquiring eye tracking, gaze, head movements and the scene over time. A linear fitting is applied to both rotations for extracting gain and offset, as expressed by the formula:
θ˜e = Gθe Px + Oθe
ψ˜e = Gψe Py + Oψe
Figure 10. Representation of the head, IMU, image plane and real plane, respectively. In the figure, Xe, Ye are the axes in the reference frame of the eye; Xcam, Ycam, Zcam are the axes in the reference frame of the camera; xi,yi are the axes in the reference frame of the image plane; Xh, Yh, Zh are the axes in the reference frame of the center of the head where the IMU is placed; ψh, θh, ϕh are the Euler-angles of the head rotation while ψe, θe, are the Euler-angles of the eye rotation; c(xc, yc) is the projection of the central point of the calibration plane on the image plane; si(xsi, ysi) the projection of P(x, y, z), which is a generic calibration point, on the image plane.
Figure 10. Representation of the head, IMU, image plane and real plane, respectively. In the figure, Xe, Ye are the axes in the reference frame of the eye; Xcam, Ycam, Zcam are the axes in the reference frame of the camera; xi,yi are the axes in the reference frame of the image plane; Xh, Yh, Zh are the axes in the reference frame of the center of the head where the IMU is placed; ψh, θh, ϕh are the Euler-angles of the head rotation while ψe, θe, are the Euler-angles of the eye rotation; c(xc, yc) is the projection of the central point of the calibration plane on the image plane; si(xsi, ysi) the projection of P(x, y, z), which is a generic calibration point, on the image plane.
Jemr 08 00019 g010
Specifically, the adjusted eye rotations are computed according to the following equations (the symbol ≜ indicates that it is a new formulated equation):
Jemr 08 00019 i001
Jemr 08 00019 i002
Jemr 08 00019 p001Jemr 08 00019 p002Jemr 08 00019 p003
Figure 11. Initial condition of the calibration.
Figure 11. Initial condition of the calibration.
Jemr 08 00019 g011
Figure 12. Representation of the positive θh rotation.
Figure 12. Representation of the positive θh rotation.
Jemr 08 00019 g012
Figure 13. Representation of the error after positive θh rotation.
Figure 13. Representation of the error after positive θh rotation.
Jemr 08 00019 g013
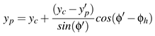
Considering all of the cases mentioned above, the correction along the x axis can be reassumed by the following equations:
Jemr 08 00019 i003
if x p < xc then
Jemr 08 00019 i004
otherwise
Jemr 08 00019 i005
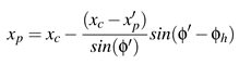
The yp corrections are the same as xp corrections using the angle ψh instead of θh; however, the relationships are inverted with respect to the sign of the angle. Therefore:
Jemr 08 00019 i006
if y p < yc then
Jemr 08 00019 i007
otherwise
Jemr 08 00019 i008
The correction by ϕh gives a contribution for both x and y coordinates. All cases for both ϕh < 0 and ϕh > 0 can be summarized by the following equations:
if ( x p < xc and y p < y c ) or ( x p > xc and y p > y c ) then
Jemr 08 00019 i009
Jemr 08 00019 i010
otherwise
Jemr 08 00019 i011
Jemr 08 00019 i012
The correct coordinates of both the eye center and the calibration points will be used in the mapping function system (eq. 3, 4) to detect the new gaze point.

Experimental setup

This section deals with two experimental setups. The first aims at defining a protocol to validate the accuracy of the HAT-Move and the relevance of correction process (hereinafter named Accuracy Estimation) in laboratory settings, while the second is mainly a proof of concept concerning the use of the HAT-Move system in a 3D VR scenario (hereinafter named VR Estimation). To this extent we evaluated the applicability of the HAT-Move with the correction process in a quasi naturalistic environment when the subject is free to move his head and to walk around in the VR space.
Accuracy Estimation. The first experiment was performed by group of 11 subjects who did not present any ocular pathologies. All of the subjects were asked to sit on a comfortable chair placed in front of a wall (3 × 3 m2) at a distance of 2 m, while wearing the system. The wall surface was constituted of a set of black squares (2 cm per side) immersed into a white background. This controlled environment permitted to verify the system functionality during the whole experimental session. More specifically, experiments were divided into two main blocks; the first was related to VOR curves computation, and the second was related to the estimation of the eye gaze tracking. 11 subjects of both genders were recruited having different eye colors. 8 subjects had dark eyes and 3 had bright eyes. The average age was 27.8 years. For the first session, the VOR curves were computed on the whole group of subjects asking them to rotate their head first around x axis (ψ angle) and then around y axis (θ angle) fixing point C placed in front of them Possible involuntary movements of the head around the azimuth z axis (ϕ angle) have been considered through their contributions along both ψ and θ. During the experiment, the subjects were asked to rotate the head around the horizontal and vertical axes fixing point C placed in front of them.These calibration curves are intended to be used for solving the equation system 5 and 6 for each subject. Specifically, the system can be solved by imposing some constraints. The first constraint regards the initial condition; in fact, when the user is looking at the central calibration point C, before moving the head, his head-angles are forced to be null, and Px and Py are considered equal to the starting eye coordinates extracted from the ROI. During the required movements around the axes, with a fixed gaze while the head is rotating, the IMU values exactly correspond to the eye rotation angles but in opposite directions (these angles were captured at a sampling frequency of 100 Hz). Therefore, by a linear fitting applied to both rotations, gains were extracted for each subject. Afterwards, by using the specific average gains (Gθe, Gψe ) in the equation system, 5 and 6 each specific offset for each subject was computed using the initial condition, where the eye angles were null. At the end of the process, given the Gθe, Gψe, Oθe, and Oψe as well as Px and Pψ in the image plane all corresponding eye angles (θ˜e, ψ˜e) are determined. Moreover, both data with and without VOR contribution were collected and compared. The second session was organized into two phases. During the first phase the subjects were invited to look at the central point of the calibration plane (C point in the Figure 14), initial condition, and to the other calibration points with their eyes indicated by the numbers, in an arbitrary order (Figure 14). Simultaneously, the experimenter marked the corresponding point seen on the image plane. In the second phase, the subjects were invited to follow the square indicated by letters with their eyes. This second phase was performed in two configurations. The first configuration was carried out with a chin support, where the head was completely still. Afterwards, the second configuration was conducted without any support, so the head was free-to-move. The results of the two configurations were statistically compared.
VR Estimation. Eleven subjects were enrolled for the 3D VR scenario experiment. Our VR application consists of an immersive room equipped with a number of sensors and effectors including three projection screens, a sound system, and a tracking system (Figure 15). The subjects were asked to wear the system and, after the calibration phase, to freely walk around the room looking at the three screens. A total number of 10 circles were shown one by one in a random order and unknown position (see Figure 15). The whole experiment duration was of 10 min for each subject. During the calibration phase the head movement correction was performed. The accuracy of the system was calculated in terms of median of angular errors between the circle positions and the estimated eye position across all the subjects, Moreover, a statistical comparison was performed between the accuracy results in the laboratory and in the VR conditions.

Experimental results

In this section we report on the achieved results for both experimental setups.

Accuracy estimation

Here, the computation of the VOR curves as well as the computation of the accuracy of the system along x, and y axes were computed in terms of angular error. In particular, by means of the angular error, we evaluated the effect of the correction process comparing the gaze point in three different “modalities”. Specifically, the first was computed when the head was completely still, making use of a chin support (hereinafter called Stationary Mode), the second and third were performed without any support. More specifically, the second was computed applying only the integration of the calibration plane orientation changes (hereinafter called Screen Point), and the third was obtained applying both the integration of plane orientation changes and VOR contribution (hereinafter called Screen Point + VOR).
Table 1 reports average gain and standard deviation of VOR for both vertical (θ) and horizontal (ψ) axes.
These values were then used as gain corrections to estimate the specific offset for each subject. The accuracy, as mentioned above, was calculated in terms of median and median absolute dispersion of the gaze error, i.e., the error between the real observed position and the estimated value in pixels (epixel), then transformed in degrees according to the equation 19
Jemr 08 00019 i013
where dpixel represents the distance between the subject and the calibration plane. Table 2 and Table 3 show median and median absolute dispersion of errors per subject, expressed in degrees, in stationary head condition for x and y axes (similar information are shown from the Figure 16 and Figure 17). In particular, the first column refers to the values without any correction, the column Screen Point is referred to the error values, in the image plane, with the correction of the calibration plane orientation only actuated by IMU, and the column Screen Point + VOR is referred to the values, in the image plane, with the MI of both calibration plane orientation and VOR together. The corrections are reported for three head rotation angles θ, ϕ, and ψ.
Table 4 and Table 5 show median and median absolute dispersion of errors per subject, expressed in degrees, with free head movement condition for x and y axes (the same information cane seen in Figure 18 and Figure 19). In these Tables the columns report only the values for the column Screen Point, which refers to the error values applying the correction of the calibration plane orientation and the column Screen Point + VOR, which is referred to the values applying the correction of both calibration plane orientation and VOR together. In these Tables the corrections are reported for 3 head rotation angles θ, ϕ, and ψ. The head movements were related to an average rotation amplitude of 20 degrees around the three axes. Table 4 and Table 5 do not report the column “Without MI”, with respect to Table 2 and Table 3 because the calibration process in case of head movement cannot be computed. More specifically, calibration would produce wrong random values by chance. As a matter of fact, Figure 20 reports an example of calibration during head movement. In this figure, it can be noticed that calibration points are strictly concentrated on a small part of the image plane making the system completely unusable. Table 6 show results from Friedman non para-metric test applied to stationary head (stationary) and head free to move (movement) conditions, with and without MI. More specifically, the test returns the probability that the different samples were not belonging to the same population. A pairwise comparison was performed for every pair of samples after the rejection of the null hypothesis carrying out a Mann-Whitney test with a Bonferroni adjustment. Results show that in Stationary mode the error between actual and computed coordinates of the gaze point estimated with and without MI are statistically equivalent, while when the head is moving the errors belong to different populations when MI (Screen + VOR) is not used. On the contrary, after the integration of the head movement, the statistical analysis reported that no significant difference is achieved among median in stationary head (stationary) and head free to move (movement) conditions.

VR estimation

Results achieved in the VR scenario are reported in Table 7 and are expressed in terms of angular errors along the X and Y axes. The Table shows for each subject the median ± the median absolute value of the angular errors computed on the gaze points of the 10 circle targets. The last raw represents the inter-subject median angular error, which resulted to be equal to 1.45 degree for the X coordinate and 1.54 degree for the Y coordinate. Moreover, a statistical comparison between the results achieved in laboratory and virtual reality conditions was performed by means of a Mann-Whitney test. For both coordinates, no significant differences were found between the two experimental setup conditions (X p-value > 0.05 Y p-value > 0.05) confirming the usability of the HAT-Move even in free-movement conditions.

Real-time estimation

The execution time of the main tasks and the entire software integrated into the system was about of 34.47 ms. The working frequency is about 29 Hz, which is greater than camera sampling frequency (25Hz), therefore the real-time requirement was fulfilled. ¡

Discussion and conclusion

Even though many current HMEGT systems are used without any integration of the movement of the head either for image plane orientation nor for the Vestibulo-Ocular Reflex, they are used with partial head movements. This study pointed out that HMEGT systems are strongly affected by head movements. More specifically, when the chin support is used the angular errors are acceptable. This conclusion is supported by the literature and also confirmed by this study, see Figure 16 and Figure 17, and Table 2 and Table 3. Indeed, no strong divergence between the median values for both errors along x and y is present, and confirmed by Friedman nonparametric test for paired sample with Bon f erroni post-hoc correction for multiple comparison reported in Table 6 no significant difference is shown for stationary mode. However, the same statistical tests highlighted that when head slightly moves the errors dramatically increase. It is worthwhile noting that the multiple comparisons reported in figures showed that during head movements the gaze point diverge with errors of 4–5 degrees. This experimental evidence suggests that the proposed corrections are essential to achieve an accurate eye gaze tracking in dynamical conditions. In fact, since eye tracking systems are often used also in medical environments for detecting pathologies which can range from behavioral to neurological fields, these errors could bring to misleading interpretations. The effectiveness of the head movement integration has been proven by the statistical comparison on x and y directions. In fact, it is possible to reduce the angular errors achieving no statistical difference between stationary mode and head movements, showing that the system keeps the same accuracy in both modalities. The estimated median error with head movement is reduced from 5.32° with a standard deviation of 2.81° (without VOR correction) to 0.85° with a standard deviation of 0.44° and from 4.70° with a standard deviation of 3.94° (without VOR correction) to 1.78° with a standard deviation of 1.05° for x and y axes, respectively. The obtained accuracy results confirm the reliability and robustness of the proposed system.
Moreover, the difference between the accuracy along x and y can be due to angular position of the camera (which is above of the eyes) which reduces the accuracy of the vertical positions of the pupil. In addition, this system fulfilled the realtime requirement being the execution time of the algorithm lower than the time interval between two consecutive video frames. In order to test the system even in conditions in which the subject was completely free to move and walk, we have developed an experiment in a virtual reality environment. We asked the subjects to look at random points on the screen of the VR moving into the room. Accuracy resulted to be equal to 1.45 degree for the X coordinate and 1.54 degree for the Y coordinate. No significant differences were found from the accuracy in the laboratory conditions. This result confirm the robustness of the proposed system even in scenarios similar to real environments
The main limitation of the system is the low frame rate of the camera. This limitation does not allow the system to acquire fast saccadic movements, which are known to be in the time range of 30 ms, while it is able to acquire slow saccadic movements around 100 ms. The proposed system is equipped with low cost hardware and it results extremely lightweight, unobtrusive, and aesthetically attractive providing a good acceptability by the end users. Thanks to these properties and its technological specifications the HAT-Move system allows investigating how humans interact with the external environment continuously. This ecological approach (Bronfenbrenner, 1977) could be pursued either at individual or community level with the aim of analyzing and coding both activities and relationships. More specifically, this kind of information can be really useful in studying non-verbal social behavior in both healthy and impaired people (e.g., affected by behavioral pathologies such as autistic disorders) as well as to improve the scientific knowledge on human interpersonal relationships. Furthermore, HAT-Move system has been already shown to be useful for studying eye pattern as a response of emotional stimulation with good and promising results (Lanatà et al., 2013; Lanata, Armato, et al., 2011). As a matter of fact eye feature pattern could provide a new point of view in the study of personal and interpersonal aspects of human feelings. In such a way eye information which we already showed to be informative in emotional response, could be integrated with other sets of physiological data (Betella et al., 2013) such as cardiac information (Lanata, Valenza, Mancuso, & Scilingo, 2011) or heart rate variability (Valenza, Allegrini, Lanata, & Scilingo, 2012), respiration activity(Valenza, Lanatá, & Scilingo, 2013), as well as electrodermal response (Greco et al., 2012) in a multivariate approach (Valenza et al., 2014) in order to create a very complete descriptive set of data able to explain the non-verbal phenomenology behind implicit (autonomic nervous system response) and explicit human response to external stimulation in real or virtual scenario (Wagner et al., 2013). It could be really helpful also in the investigation of several pathologies where the unobtrusiveness of the instrumentations could allow of monitoring naturally evoked response of participants, (Lanatà, Valenza, & Scilingo, 2012; Valenza, Lanata, Scilingo, & De Rossi, 2010; Lanatà et al., 2010; Armato et al., 2009; Valenza et al., 2010; Lanata, Valenza, et al., 2011). This latter issue could be used either on healthy participants or subject suffering from pathologies such as autism (Mazzei et al., 2012) as well as alterations of mood (Valenza, Gentili, Lanata, & Scilingo, 2013) etc. in which social skills are a strong impact on the lifestyle of it should improve the scientific knowledge on human interpersonal relationships, emotions etc. Moreover, to achieve these aims further efforts will be devoted to integrating a high-speed camera with high resolution in order to capture fast saccadic movements and to providing better accuracy. Moreover, an optimization process will be addressed to develop new multithreading algorithms based on the interocular distance in order to obtain a 3D eye tracking system.

References

  1. Armato, A.; Lanatà, A.; Scilingo, E. P. Comparative study on photometric normalization algorithms for an innovative, robust and real-time eye gaze tracker. Journal of real-time image processing 2013, 8(1), 21–33. [Google Scholar] [CrossRef]
  2. Armato, A.; Nardini, E.; Lanata, A.; Valenza, G.; Mancuso, C.; Scilingo, E. P.; De Rossi, D. An fpga based arrhythmia recognition system for wearable applications. In Intelligent systems design and applications, 2009. isda’09. ninth international conference on; 2009; pp. 660–664. [Google Scholar]
  3. Babcock, J.; Pelz, J.; Peak, J. The wearable eyetracker: a tool for the study of high-level visual tasks; MSS-CCD, 2003. [Google Scholar]
  4. Bennett, N.; Burridge, R.; Saito, N. A method to detect and characterize ellipses using the Hough transform. Pattern Analysis and Machine Intelligence, IEEE Transactions on 2002, 21(7), 652–657. [Google Scholar] [CrossRef]
  5. Betella, A.; Mart’ınez, E.; Zucca, R.; Arsiwalla, X. D.; Omedas, P.; Wierenga, S.; others. Advanced interfaces to stem the data deluge in mixed reality: placing human (un) consciousness in the loop. In Acm siggraph 2013 posters; 2013; p. 68. [Google Scholar]
  6. Bronfenbrenner, U. Toward an experimental ecology of human development. American psychologist 1977, 32(7), 513. [Google Scholar] [CrossRef]
  7. Cerrolaza, J. J.; Villanueva, A.; Cabeza, R. Taxonomic study of polynomial regressions applied to the calibration of video-oculographic systems. In Proceedings of the 2008 symposium on eye tracking research & applications; 2008; pp. 259–266. [Google Scholar]
  8. Cootes, T.; Taylor, C. Technical report: Statistical models of appearance for computer vision. the university of manchester school of medicine, 2004; n.d. [Google Scholar]
  9. Cootes, T. F.; Taylor, C. J.; Cooper, D. H.; Graham, J. Active shape models-their training and application. Computer vision and image understanding 1995, 61(1), 38–59. [Google Scholar] [CrossRef]
  10. Crawford, J.; Vilis, T. Axes of eye rotation and Listing’s law during rotations of the head. Journal of neurophysiology 1991, 65(3), 407. [Google Scholar] [CrossRef] [PubMed]
  11. de Lemos, J.; Sadeghnia, G. R.; Ólafsdóttir, Í.; Jensen, O. Measuring emotions using eye tracking. In Proceedings of measuring behavior; 2008; Vol. 226. [Google Scholar]
  12. Duchowski, A. Eye tracking methodology: Theory and practice; Springer-Verlag New York Inc., 2007. [Google Scholar]
  13. Evans, K. M.; Jacobs, R. A.; Tarduno, J. A.; Pelz, J. B. Collecting and analyzing eye-tracking data in outdoor environments. Journal of Eye Movement Research 2012, 5(2), 1–19. [Google Scholar] [CrossRef]
  14. Fahrenberg, J.; Myrtek, M.; Pawlik, K.; Perrez, M. Ambulatory assessment–monitoring behavior in daily life settings: A behavioral-scientific challenge for psychology. European Journal of Psychological Assessment 2007, 23(4), 206. [Google Scholar] [CrossRef]
  15. Findlay, J. M. Saccadic eye movement programming: Sensory and attentional factors. Psychological research 2009, 73(2), 127–135. [Google Scholar] [CrossRef]
  16. Fitzgibbon, A.; Pilu, M.; Fisher, R. Direct least square fitting of ellipses. Pattern Analysis and Machine Intelligence, IEEE Transactions on 2002, 21(5), 476–480. [Google Scholar] [CrossRef]
  17. Forsyth, D.; Ponce, J. Computer vision: a modern approach; Prentice Hall Professional Technical Reference, 2002. [Google Scholar]
  18. Greco, A.; Lanata, A.; Valenza, G.; Rota, G.; Vanello, N.; Scilingo, E. P. On the deconvolution analysis of electrodermal activity in bipolar patients. In Engineering in medicine and biology society (embc), 2012 annual international conference of the ieee; 2012; pp. 6691–6694. [Google Scholar]
  19. Hartley, R.; Zisserman, A. Multiple view geometry in computer vision; Cambridge Univ Press, 2000; Vol. 2. [Google Scholar]
  20. Hayhoe, M.; Ballard, D. Eye movements in natural behavior. Trends in cognitive sciences 2005, 9(4), 188–194. [Google Scholar] [CrossRef]
  21. Henderson, J. M. Human gaze control during realworld scene perception. Trends in cognitive sciences 2003, 7(11), 498–504. [Google Scholar] [CrossRef]
  22. Jacob, R. J.; Karn, K. S. Eye tracking in humancomputer interaction and usability research: Ready to deliver the promises. Mind 2003, 2(3), 4. [Google Scholar]
  23. Johnson, J. S.; Liu, L.; Thomas, G.; Spencer, J. P. Calibration algorithm for eyetracking with unrestricted head movement. Behavior research methods 2007, 39(1), 123–132. [Google Scholar] [CrossRef]
  24. Lanata, A.; Armato, A.; Valenza, G.; Scilingo, E. P. Eye tracking and pupil size variation as response to affective stimuli: a preliminary study. In Pervasive computing technologies for healthcare (pervasivehealth); 2011; 2011 5th international conference on, pp. 78–84. [Google Scholar]
  25. Lanatà, A.; Scilingo, E. P.; Nardini, E.; Loriga, G.; Paradiso, R.; De-Rossi, D. Comparative evaluation of susceptibility to motion artifact in different wearable systems for monitoring respiratory rate. Information Technology in Biomedicine, IEEE Transactions on 2010, 14(2), 378–386. [Google Scholar] [CrossRef]
  26. Lanata, A.; Valenza, G.; Mancuso, C.; Scilingo, E. P. Robust multiple cardiac arrhythmia detection through bispectrum analysis. Expert Systems with Applications 2011, 38(6), 6798–6804. [Google Scholar] [CrossRef]
  27. Lanatà, A.; Valenza, G.; Scilingo, E. P. A novel eda glove based on textile-integrated electrodes for affective computing. Medical & biological engineering & computing 2012, 50(11), 1163–1172. [Google Scholar]
  28. Lanatà, A.; Valenza, G.; Scilingo, E. P. Eye gaze patterns in emotional pictures. Journal of Ambient Intelligence and Humanized Computing 2013, 4(6), 705–715. [Google Scholar] [CrossRef]
  29. Land, E. H.; McCann, J. Lightness and retinex theory. JOSA 1971, 61(1), 1–11. [Google Scholar] [CrossRef]
  30. Land, M.; Lee, D. Where we look when we steer. Nature 1994, 369(6483), 742–744. [Google Scholar] [CrossRef]
  31. Maini, E. Robust ellipse-specific fitting for real-time machine vision. Brain, Vision, and Artificial Intelligence 2005, 318–327. [Google Scholar]
  32. Mazzei, D.; Greco, A.; Lazzeri, N.; Zaraki, A.; Lanata, A.; Igliozzi, R.; others. Robotic social therapy on children with autism: preliminary evaluation through multi-parametric analysis. In Privacy, security, risk and trust (passat), 2012 international conference on and 2012 international confernece on social computing (socialcom); 2012; pp. 955–960. [Google Scholar]
  33. Meyer, A.; Böhme, M.; Martinetz, T.; Barth, E. A single-camera remote eye tracker. In Perception and interactive technologies; Springer, 2006; pp. 208–211. [Google Scholar]
  34. Morimoto, C.; Amir, A.; Flickner, M. Detecting eye position and gaze from a single camera and 2 light sources. Pattern Recognition 2002, 4, 40314. [Google Scholar]
  35. Morimoto, C.; Mimica, M. Eye gaze tracking techniques for interactive applications. Computer Vision and Image Understanding 2005, 98(1), 4–24. [Google Scholar] [CrossRef]
  36. Morimoto, C. H.; Koons, D.; Amir, A.; Flickner, M. Pupil detection and tracking using multiple light sources. Image and vision computing 2000, 18(4), 331–335. [Google Scholar] [CrossRef]
  37. Partala, T.; Surakka, V. Pupil size variation as an indication of affective processing. International journal of human-computer studies 2003, 59(1), 185–198. [Google Scholar] [CrossRef]
  38. Ramanauskas, N.; Daunys, G.; Dervinis, D. Investigation of calibration techniques in video based eye tracking system. In Computers helping people with special needs; Springer, 2008; pp. 1208–1215. [Google Scholar]
  39. Rothkopf, C. A.; Pelz, J. B. Head movement estimation for wearable eye tracker. In Proceedings of the 2004 symposium on eye tracking research & applications; 2004; pp. 123–130. [Google Scholar]
  40. Valenza, G.; Allegrini, P.; Lanata, A.; Scilingo, E. P. Dominant lyapunov exponent and approximate entropy in heart rate variability during emotional visual elicitation. Frontiers in neuroengineering 2012, 5. [Google Scholar] [CrossRef]
  41. Valenza, G.; Gentili, C.; Lanata, A.; Scilingo, E. P. Mood recognition in bipolar patients through the psyche platform: preliminary evaluations and perspectives. Artificial intelligence in medicine 2013, 57(1), 49–58. [Google Scholar] [CrossRef] [PubMed]
  42. Valenza, G.; Lanatá, A.; Scilingo, E. P. Improving emotion recognition systems by embedding cardiorespiratory coupling. Physiological measurement 2013, 34(4), 449. [Google Scholar] [CrossRef]
  43. Valenza, G.; Lanata, A.; Scilingo, E. P.; De Rossi, D. Towards a smart glove: Arousal recognition based on textile electrodermal response. In Engineering in medicine and biology society (embc), international conference of the ieee; 2010; pp. 3598–3601. [Google Scholar]
  44. Valenza, G.; Nardelli, M.; Lanata, A.; Gentili, C.; Bertschy, G.; Paradiso, R.; Scilingo, E. P. Wearable monitoring for mood recognition in bipolar disorder based on history-dependent long-term heart rate variability analysis. Biomedical and Health Informatics, IEEE Journal of 2014, 18(5), 1625–1635. [Google Scholar] [CrossRef]
  45. Van der Geest, J.; Frens, M. Recording eye movements with video-oculography and scleral search coils: a direct comparison of two methods. Journal of neuroscience methods 2002, 114(2), 185–195. [Google Scholar] [CrossRef]
  46. Wagner, J.; Lingenfelser, F.; André, E.; Mazzei, D.; Tognetti, A.; Lanata, A.; others. A sensing architecture for empathetic data systems. In Proceedings of the 4th augmented human international conference; 2013; pp. 96–99. [Google Scholar]
  47. Westheimer, G.; McKee, S. P. Visual acuity in the presence of retinal-image motion. JOSA 1975, 65(7), 847–850. [Google Scholar] [CrossRef]
  48. Zhu, Z.; Ji, Q. Novel eye gaze tracking techniques under natural head movement. Biomedical Engineering, IEEE Transactions on 2007, 54(12), 2246–2260. [Google Scholar]
Figure 1. Version I: “Baseball-like” hat configuration.
Figure 1. Version I: “Baseball-like” hat configuration.
Jemr 08 00019 g001
Figure 2. Version II: “Head band” configuration.
Figure 2. Version II: “Head band” configuration.
Jemr 08 00019 g002
Figure 3. Representation of the head along with IMU. In the figure Xe, Ye are the axis in the reference frame of the eye; Xcam, Ycam, Zcam are the axis in the reference frame of the camera; Xh, Yh, Zh are the axis in the reference frame of the center of the head where the IMU is placed; ψh, θh, ϕh are the Euler-angles of the head rotation while ψe, θe, are the Euler-angles of the eye rotation.
Figure 3. Representation of the head along with IMU. In the figure Xe, Ye are the axis in the reference frame of the eye; Xcam, Ycam, Zcam are the axis in the reference frame of the camera; Xh, Yh, Zh are the axis in the reference frame of the center of the head where the IMU is placed; ψh, θh, ϕh are the Euler-angles of the head rotation while ψe, θe, are the Euler-angles of the eye rotation.
Jemr 08 00019 g003
Figure 4. Block diagram showing all the algorithmic stages of the processing of eyes and outside scene.
Figure 4. Block diagram showing all the algorithmic stages of the processing of eyes and outside scene.
Jemr 08 00019 g004
Figure 5. Example of single frame captured by the camera. The rectangular area marked by red represents the ROI.
Figure 5. Example of single frame captured by the camera. The rectangular area marked by red represents the ROI.
Jemr 08 00019 g005
Figure 6. Red component of the ROI.
Figure 6. Red component of the ROI.
Jemr 08 00019 g006
Figure 7. Eye image after the application of illumination normalization algorithm by DCT.
Figure 7. Eye image after the application of illumination normalization algorithm by DCT.
Jemr 08 00019 g007
Figure 8. Results of the pupil tracking and ellipse fitting algorithm. a) In blue are represented geometrical construction for pupil contour detection; Contour points are evinced in yellow. b) In red the fitted ellipse is highlighted.
Figure 8. Results of the pupil tracking and ellipse fitting algorithm. a) In blue are represented geometrical construction for pupil contour detection; Contour points are evinced in yellow. b) In red the fitted ellipse is highlighted.
Jemr 08 00019 g008
Figure 9. Block Diagram of the mapping function calculation process.
Figure 9. Block Diagram of the mapping function calculation process.
Jemr 08 00019 g009
Figure 14. calibration plane.
Figure 14. calibration plane.
Jemr 08 00019 g014
Figure 15. Virtual Reality environment used for the completely free movement scenario.
Figure 15. Virtual Reality environment used for the completely free movement scenario.
Jemr 08 00019 g015
Figure 16. Box plot of data from the statistical comparison of the Median and Median Absolute Dispersion (MAD) along with x axis, with and without head movements. In the case of head movements without any VOR correction.
Figure 16. Box plot of data from the statistical comparison of the Median and Median Absolute Dispersion (MAD) along with x axis, with and without head movements. In the case of head movements without any VOR correction.
Jemr 08 00019 g016
Figure 17. Box plot of data from the statistical comparison of the Median and Median Absolute Dispersion (MAD) along with y axis, with and without head movements. In the case of head movements without any VOR correction.
Figure 17. Box plot of data from the statistical comparison of the Median and Median Absolute Dispersion (MAD) along with y axis, with and without head movements. In the case of head movements without any VOR correction.
Jemr 08 00019 g017
Figure 18. Box plot of data from the statistical comparison of the Median and Median Absolute Dispersion (MAD) along with x axis, with and without head movements. In the case of head movements with VOR correction.
Figure 18. Box plot of data from the statistical comparison of the Median and Median Absolute Dispersion (MAD) along with x axis, with and without head movements. In the case of head movements with VOR correction.
Jemr 08 00019 g018
Figure 19. Box plot of data from the statistical comparison of the Median and Median Absolute Dispersion (MAD) along with y axis, with and without head movements. In the case of head movements with VOR correction.
Figure 19. Box plot of data from the statistical comparison of the Median and Median Absolute Dispersion (MAD) along with y axis, with and without head movements. In the case of head movements with VOR correction.
Jemr 08 00019 g019
Figure 20. Calibration of Subject 6. The 9 calibration points are marked in blue; the calibration was performed during head movements. It is an example of the errors produced by uncorrected head movement into calibration.
Figure 20. Calibration of Subject 6. The 9 calibration points are marked in blue; the calibration was performed during head movements. It is an example of the errors produced by uncorrected head movement into calibration.
Jemr 08 00019 g020
Table 1. Average Gain VOR.
Table 1. Average Gain VOR.
Jemr 08 00019 t001
Table 2. X accuracy with head in stationary mode.
Table 2. X accuracy with head in stationary mode.
Jemr 08 00019 t002
Table 3. Y accuracy with head in stationary mode.
Table 3. Y accuracy with head in stationary mode.
Jemr 08 00019 t003
Table 4. X accuracy with the head free to move, corrections are reported for three rotation angles.
Table 4. X accuracy with the head free to move, corrections are reported for three rotation angles.
Jemr 08 00019 t004
Table 5. Y accuracy with the head free to move, corrections are reported for three rotation angles.
Table 5. Y accuracy with the head free to move, corrections are reported for three rotation angles.
Jemr 08 00019 t005
Table 6. Results of the Friedman non parametric test with Bonferroni correction applied to Stationary Mode and Head Movement conditions ”without MI” and with ”Screen point + VOR” for x and y axes, respectively. In the Table p — values are shown.
Table 6. Results of the Friedman non parametric test with Bonferroni correction applied to Stationary Mode and Head Movement conditions ”without MI” and with ”Screen point + VOR” for x and y axes, respectively. In the Table p — values are shown.
Jemr 08 00019 t006
Table 7. Evaluation results of median ± MAD angular error computed for X and Y axes in a 3D VR scenario.
Table 7. Evaluation results of median ± MAD angular error computed for X and Y axes in a 3D VR scenario.
Jemr 08 00019 t007

Share and Cite

MDPI and ACS Style

Lanata, A.; Greco, A.; Valenza, G.; Scilingo, E.P. Robust Head Mounted Wearable Eye Tracking System for Dynamical Calibration. J. Eye Mov. Res. 2015, 8, 1-15. https://doi.org/10.16910/jemr.8.5.2

AMA Style

Lanata A, Greco A, Valenza G, Scilingo EP. Robust Head Mounted Wearable Eye Tracking System for Dynamical Calibration. Journal of Eye Movement Research. 2015; 8(5):1-15. https://doi.org/10.16910/jemr.8.5.2

Chicago/Turabian Style

Lanata, Antonio, Alberto Greco, Gaetano Valenza, and Enzo Pasquale Scilingo. 2015. "Robust Head Mounted Wearable Eye Tracking System for Dynamical Calibration" Journal of Eye Movement Research 8, no. 5: 1-15. https://doi.org/10.16910/jemr.8.5.2

APA Style

Lanata, A., Greco, A., Valenza, G., & Scilingo, E. P. (2015). Robust Head Mounted Wearable Eye Tracking System for Dynamical Calibration. Journal of Eye Movement Research, 8(5), 1-15. https://doi.org/10.16910/jemr.8.5.2

Article Metrics

Back to TopTop