Functional Hemispheric Activity and Asymmetry Markers of Effective Foreign Language Performance in 3rd-Grade, 10th-Grade, and University Students
Abstract
1. Introduction
1.1. Brain (a)Symmetry and Its Role in Bilingual Maintenance
1.2. Age-Related Differences in Brain Symmetry in Foreign Language Acquisition
1.3. Brain Symmetry Dynamics during Successful Foreign Language Acquisition
2. Materials and Methods
2.1. Participants
2.2. Computer Laterometry
- Δt min L (µs)—lead–lag delay with the left-side lead when the sound started shifting from the vertex to the left ear.
- Δt min R (µs)—lead–lag delay with the right-side lead when the sound started shifting from the vertex to the right ear.
- Δt max L (µs)—lead–lag delay with the left-side lead when the sound reached extreme left lateralization.
- Δt max R (µs)—lead–lag delay with the right-side lead when the sound reached extreme right lateralization.
- Δt rash L (µs)—lead–lag delay with the left-side lead when there appeared an image with two independent sounds in two ears: dominant and loud in the left ear and distinct, but quiet, in the right ear.
- Δt rash R (µs)—lead–lag delay with the right-side lead when there appeared an image with two independent sounds in two ears: dominant and loud in the right ear and distinct, but quiet, in the left ear.
- Functional hemispheric activity, as reflected in Δt min, Δt max, and Δt rash and interpreted as hemisphere lability, excitability, and stability.
- Functional hemispheric asymmetry for lability, excitability, and stability, as reflected in K min, K max, and K rash.
2.3. Methods for Classifying the Sample According to the Success of English Language Acquisition
- (1)
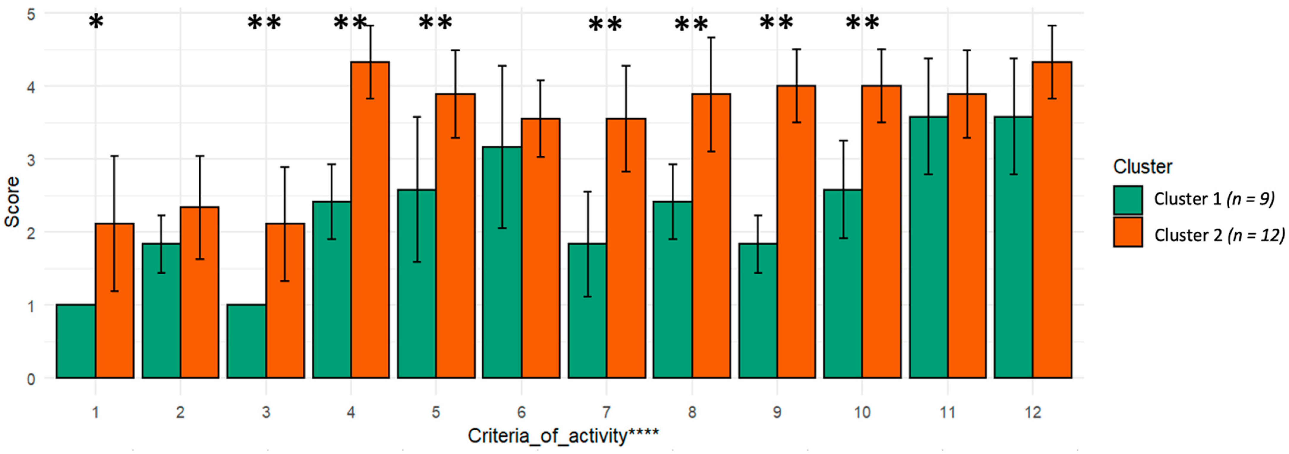
- Within Experimental Series 1 and 3, a special protocol was used to assess the success of student interaction as well as the use of old and new language material during the English class. Classroom activities were assessed according to the following criteria: 1— interaction with students; 2—interaction with a teacher; 3—interaction with a group; 4 – statements appropriateness; 5—new lexical material usage accuracy; 6—new lexical material usage fluency; 7—new grammar structures usage; 8—new vocabulary usage; 9—previous lexical material usage accuracy; 10—previous lexical material usage fluency; 11—previous grammar structures usage; 12—previous vocabulary usage. Criteria 1–3 were evaluated on a 3-point scale, and criteria 4–12 were evaluated on a 5-point scale.
- (2)
- In Experimental Series 2, 10th graders were tested using the Pre-Intermediate or Intermediate Level Test (http://engblog.ru/test-pre-intermediate-intermediate, accessed date 5 August 2022). The number of points per student was calculated.
2.4. Study Design
2.5. Data Analysis
3. Results
3.1. Experimental Series 1
3.1.1. Dividing the Sample into Groups Based on the Effectiveness of the Activity during the English Class
3.1.2. Functional Hemispheric Activity and Asymmetry before English Class vs. Effectiveness of the Activity during the Class
3.1.3. Functional Hemispheric Asymmetry after English Class vs. Effectiveness of the Activity during the Class
3.1.4. Functional Hemispheric Activity Dynamics vs. Effectiveness of the Activity during the English Class
3.2. Experimental Series 2
- Differed as much as possible in the English test score.
- Differed in terms of the maximum number of laterometry parameters.
3.3. Experimental Series 3
3.3.1. Dividing the Sample into Groups Based on the Effectiveness of the Activity during the English Class
3.3.2. Functional Hemispheric Activity and Asymmetry before English Class vs. Effectiveness of the Activity during the Class
3.3.3. Functional Hemispheric Asymmetry after English Class vs. Effectiveness of the Activity during the Class
3.3.4. Functional Hemispheric Activity Dynamics vs. Effectiveness of the Activity during the English Class
4. Discussion
5. Conclusions
- Functional hemispheric activity and asymmetry parameters appeared to be related to success during an English class and an English test in 3rd-grade, 10th-grade, and university Russian-speaking students.
- The markers of hemispheric profile before language activity that cause effective foreign language performance include:
- In 3rd-grade students: less lability in the right hemisphere and left hemispheric functional lability asymmetry;
- In 10th-grade students: lower lability and excitability in the right hemisphere, lower stability in the left hemisphere, and left hemispheric functional lability asymmetry;
- In university students: greater lability in the right hemisphere and right hemispheric functional lability asymmetry.
6. Limitations of the Study
- The study was conducted on a relatively small sample, and the clusters were made with a small number of students. This study was a pilot, and the sample could be expanded in the future. In addition, the obtained cluster sizes were suitable for analysis using methods of nonparametric statistics.
- For objective and beyond-our-control reasons, the author could not conduct the study on 10th-grade students by the same design as the 3rd-grade and university students. Nevertheless, the author tried to explain the results with this limitation in mind.
Funding
Institutional Review Board Statement
Informed Consent Statement
Data Availability Statement
Acknowledgments
Conflicts of Interest
References
- Broca, P. Remarque sur le siege de la faculte du langage articule, suivies d’une observation d’aphemie. Bull. De La Soc. D’anthropologie 1861, 6, 330–357. [Google Scholar]
- Wernicke, C. Der Aphasische Symptomencomplex: Eine Psychologische Studie auf Anaomischer Basis; Cohn und Welgert: Breslau, Poland, 1874. [Google Scholar]
- Gazzaniga, M.S. The Bisected Brain; Appleton-Century-Crofts: New York, NY, USA, 1970. [Google Scholar]
- Imaezue, G. Brain Localization and the Integrated Systems Hypothesis: Evidence from Broca’s Region. J. Behav. Brain Sci. 2017, 7, 511–519. [Google Scholar] [CrossRef]
- Burnston, D.C. A contextualist approach to functional localization in the brain. Biol. Philos. 2016, 31, 527–550. [Google Scholar] [CrossRef]
- Si, R.; Rowe, J.B.; Zhang, J. Functional localization and categorization of intentional decisions in humans: A meta-analysis of brain imaging studies. NeuroImage 2021, 242, 118468. [Google Scholar] [CrossRef] [PubMed]
- Poeppel, D. The analysis of speech in different temporal integration windows: Cerebral lateralization as “asymmetric sampling in time. Speech Commun. 2003, 41, 245–255. [Google Scholar] [CrossRef]
- Boemio, A.; Fromm, S.; Braun, A.; Poeppel, D. Hierarchical and asymmetric temporal sensitivity in human auditory cortices. Nat. Neurosci. 2005, 8, 389–395. [Google Scholar] [CrossRef]
- Morillon, B.; Liégeois-Chauvel, C.; Arnal, L.H.; Bénar, C.-G.; Giraud, A.-L. Asymmetric function of theta and gamma activity in syllable processing: An intra-cortical study. Front. Psychol. 2012, 3, 248. [Google Scholar] [CrossRef]
- Bernal, B.; Ardila, A. From Hearing Sounds to Recognizing Phonemes: Primary Auditory Cortex is A Truly Perceptual Language Area. AIMS Neurosci. 2016, 3, 454–473. [Google Scholar] [CrossRef]
- Telkemeyer, S.; Rossi, S.; Koch, S.P.; Nierhaus, T.; Steinbrink, J.; Poeppel, D.; Obrig, H.; Wartenburger, I. Sensitivity of newborn auditory cortex to the temporal structure of sounds. J. Neurosci. 2009, 29, 14726–14733. [Google Scholar] [CrossRef]
- Telkemeyer, S.; Rossi, S.; Nierhaus, T.; Steinbrink, J.; Obrig, H.; Wartenburger, I. Acoustic processing of temporally modulated sounds in infants: Evidence from a combined near-infrared spectroscopy and EEG study. Front. Psychol. 2011, 1, 62. [Google Scholar] [CrossRef]
- Okamoto, H.; Stracke, H.; Ross, B.; Kakigi, R.; Pantev, C. Left hemispheric dominance during auditory processing in a noisy environment. BMC Biol. 2007, 5, 52. [Google Scholar] [CrossRef] [PubMed]
- Rodrigues de Almeida, L.; Pope, P.A.; Hansen, P.C. Task load modulates tDCS effects on brain network for phonological processing. Cogn. Process. 2020, 21, 341–363. [Google Scholar] [CrossRef] [PubMed]
- Pitres, A. Etude sur l’aphasie. Rev. De Med. 1895, 15, 873–899. [Google Scholar]
- Potzl, O. Uber die parietal bedingte Aphasie und ih-ren EinfluB auf das Sprechen mehrerer Sprachen. Z. Fur Gesamte Neurol. Und Psychietrie 1925, 96, 100–124. [Google Scholar] [CrossRef]
- Paradis, M. Multilingualism and Aphasia. In Linguistic Disorders and Pathologies: An International Handbook; Blanken, G., Dittmann, J., Grimm, H., Marshall, J.C., Wallesch, C.-W., Eds.; Walter de Gruyter: Berlin, Germany, 1993; pp. 278–288. [Google Scholar]
- Abutalebi, J.; Brambati, S.; Annoni, J.; Moro, A.; Cappa, S.; Perani, D. The neural cost of the auditory perception of language switches: An eventrelated functional magnetic resonance imaging study in bilinguals. J. Neurosci. 2007, 27, 62–69. [Google Scholar] [CrossRef]
- Canini, M.; Della Rosa, P.A.; Catricala, E.; Strijkers, K.; Branzi, F.; Costa, A.; Abutalebi, J. Semantic Interference and Its Control: A Functional Neuroimaging and Connectivity Study. Hum. Brain Mapp. 2016, 37, 4179–4196. [Google Scholar] [CrossRef]
- Bulgarelli, C.; de Klerk, C.; Richards, J.E.; Southgate, V.; Hamilton, A.; Blasi, A. The developmental trajectory of fronto-temporoparietal connectivity as a proxy of the default mode network: A longitudinal fNIRS investigation. Hum. Brain Mapp. 2020, 41, 2717–2740. [Google Scholar] [CrossRef]
- Gandolfi, E.; Viterbori, P. Inhibitory Control Skills and Language Acquisition in Toddlers and Preschool Children. Lang. Learn. 2020, 70, 604–642. [Google Scholar] [CrossRef]
- Cragg, L.; Nation, K. Language and the Development of Cognitive Control. Top. Cogn. Sci. 2010, 2, 631–642. [Google Scholar] [CrossRef]
- Tan, L.H.; Chen, L.; Yip, V.; Chan, A.H.D.; Yang, J.; Gao, J.-H.; Sioka, W.T. Activity levels in the left hemisphere caudate-fusiform circuit predict how well a second language will be learned. Proc. Natl. Acad. Sci. USA 2011, 108, 2540–2544. [Google Scholar] [CrossRef]
- Garcia-Sierra, A.; Rivera-Gaxiola, M.; Peraccio, C.R.; Conboy, B.T.; Romo, H.; Klarman, S.O.; Ortizc, S.; Kuhl, P.K. Bilingual language learning: An ERP study relating early brain responses to speech, language input, and later word production. J. Phon. 2011, 39, 546–557. [Google Scholar] [CrossRef]
- Luo, D.; Kwok, V.; Liu, Q.; Li, W.; Yang, Y.; Zhou, K.; Xu, M.; Gao, J.H.; Tan, L.H. Microstructural plasticity in the bilingual brain. Brain Lang. 2019, 196, 104654. [Google Scholar] [CrossRef] [PubMed]
- Costa, A.; Sebastián-Gallés, N. How does the bilingual experience sculpt the brain? Nat. Rev. Neurosci. 2014, 15, 336–345. [Google Scholar] [CrossRef]
- Molfese, D. The ontogeny of cerebral asymmetry in man: Auditory evoked potentials to linguistic and non-linguistic stimuli. In Progress in Clinical Neurophysiology; Desmedt, J., Ed.; Basel: Karger, Switzerland, 1977; Volume 3, pp. 188–204. [Google Scholar]
- Gardine, M.; Walter, D. Evidence of hemispheric specialization from infant EEG. In Lateralization in the Nervous System; Harnad, S., Doty, R.W., Goldstein, L., Jaynes, J., Krauthamer, G., Eds.; Academic Press: New York, NY, USA, 1976; pp. 481–502. [Google Scholar]
- Geschwind, N.; Levitsky, W. Human brain: Left-right asymmetries in temporal speech region. Science 1968, 161, 136–189. [Google Scholar] [CrossRef]
- Witelson, S.F.; PaUie, W. Left hemisphere specialization for language in the newborn: Neuroanatomiral evidence of asymmetry. Brain 1973, 96, 641–646. [Google Scholar] [CrossRef] [PubMed]
- Wada, J.A.; Clarke, R.; Hamm, A. Cerebral hemispheric asymmetry in humans. Arch. Neurol. 1975, 32, 239–246. [Google Scholar] [CrossRef]
- Penfield, M.; Roberts, L. Speech and Brain Mechanisms; Princeton University Press: Princeton, NJ, USA, 1959. [Google Scholar]
- Hyltenstam, K.; Abrahamsson, N. Maturational constraints of SLA. Handb. Second Lang. Acquis. 2003, 12, 539–588. [Google Scholar]
- Lennenberg, E.H. The Biological Foundations of Language; Wiley: New York, NY, USA, 1967. [Google Scholar]
- Cleeremans, A.; Destrebecqz, A.; Boyer, B. Implicit learning: News from the front. Trends Cogn. Sci. 1998, 2, 406–533. [Google Scholar] [CrossRef]
- Bley-Vroman, R. The fundamental character of foreign language learning. In Grammar and Second Language Teaching: A Book of Reading; Rutherford, W., Sharwood Smidth, M., Eds.; Newbury House: Rowley, MA, USA, 1998. [Google Scholar]
- DeKeyser, R. The robustness of critical period effects in second language acquisition. Stud. Second. Lang. Acquis. 2000, 22, 499–533. [Google Scholar] [CrossRef]
- Munoz, C. Age and the Rate of Foreign Language Learning; Multilingual Matters Ltd.: Toronto, AB, Canada, 2006. [Google Scholar]
- Seliger, H.W. Implications of a multiple critical periods hypothesis for second language learning. In Second Language Acquisition Research; Ritchie, W., Ed.; Academic Press: New York, NY, USA, 1978; pp. 11–19. [Google Scholar]
- Knudsen, E.I. Sensitive periods in the development of the brain and behavior. J. Cogn. Neurisci. 2004, 16, 1412–1425. [Google Scholar] [CrossRef]
- Berken, J.A.; Graccob, V.L.; Klein, D. Early bilingualism, language attainment, and brain development. Neuropsychologia 2017, 98, 220–227. [Google Scholar] [CrossRef] [PubMed]
- Jaspal, A. Second language acquisition. In Leading Undergraduate Work in English Studies; The University of Nottingham: Nottingham, UK, 2009–2010; Volume 2, pp. 235–246. [Google Scholar]
- Hull, R.; Vaid, J. Bilingual language lateralization: A meta-analytic tale of two hemispheres. Bilingual language lateralization: A meta-analytic tale of two hemispheres. Neuropsychologia 2007, 45, 1987–2008. [Google Scholar] [CrossRef] [PubMed]
- Wei, M.; Joshi, A.; Zhang, M.; Mei, L.; Manisa, F.; Hea, Q.; Beattie, R.; Xuec, G.; Shattuc, D.; Leahyb, R.; et al. How age of acquisition influences brain architecture in bilinguals. J. Neurolinguist. 2015, 36, 35–55. [Google Scholar] [CrossRef]
- Liu, H.; Cao, F. L1 and L2 processing in the bilingual brain: A meta-analysis of neuroimaging studies. Brain Lang. 2016, 159, 60–73. [Google Scholar] [CrossRef] [PubMed]
- Kuhl, P.K. Early linguistic experience and phonetic perception: Implications for theories of developmental speech perception. J. Phon. 1993, 21, 125–139. [Google Scholar] [CrossRef]
- Näätänen, R.; Tiitinen, H. Auditory information processing as MMN to learned vowel contrasts indexed by the mismatch negativity. In Advances in Psychological Science: Biological and Cognitive Aspects; Sabourin, M., Craik, F.I.M., Robert, M., Eds.; Psychology Press: Hove, UK, 1997; pp. 145–170. [Google Scholar]
- Dehaene-Lambertz, G. Electrophysiological correlates of categorical phoneme perception in adults. NeuroReport 1997, 8, 919–924. [Google Scholar] [CrossRef] [PubMed]
- Kim, K.H.; Relkin, N.R.; Lee, K.M.; Hirsch, J. Distinct cortical areas associated with native and second languages. Nature 1997, 388, 171–174. [Google Scholar] [CrossRef] [PubMed]
- Klein, D.; Zatorre, R.J.; Chen, J.K.; Milner, B.; Crane, J.; Belin, P.; Bouffard, M. Bilingual brain organization: A functional magnetic resonance adaptation study. NeuroImage 2006, 31, 366–375. [Google Scholar] [CrossRef]
- Abutalebi, J.; Green, D. Bilingual language production, The neurocognition of language representation and control. J. Neurolinguist. 2007, 20, 242–275. [Google Scholar] [CrossRef]
- Quaresima, V.; Ferrari, M.; van der Sluijs, M.C.P.; Menssen, J.; Colier, W.N.J.M. Lateral frontal cortex oxygenation changes during translation and language switching revealed by non-invasive near-infrared multi-point measurements. Brain Res. Bull. 2002, 59, 235–243. [Google Scholar] [CrossRef]
- Crinion, J.; Turner, R.; Grogan, A.; Hanakawa, T.; Noppeney, U.; Devlin, J.T.; Aso, T.; Urayama, S.; Fukuyama, H.; Stockton, K.; et al. Language control in the bilingual brain. Science 2006, 312, 1537–1540. [Google Scholar] [CrossRef] [PubMed]
- Wang, Y.; Xue, G.; Chen, C.; Xue, F.; Dong, Q. Neural bases of asymmetric language switching in second-language learners: An ER-fMRI study. NeuroImage 2007, 35, 862–870. [Google Scholar] [CrossRef] [PubMed]
- Abler, W.L. Asymmetry in the skulls of fossil man: Evidence of lateralized brain function? Brain Behav. Evol. 1976, 13, 111–115. [Google Scholar] [CrossRef] [PubMed]
- Albert, M.L.; Obler, L.K.; Bentin, S.; Gazicl, T.; Silverberg, R. Shiit of visual field preference to English words in native Hebrew speakers. Brain Lang. 1979, 8, 184. [Google Scholar]
- Shimada, K.; Hirotani, M.; Yokokawa, H.; Yoshida, H.; Makita, K.; Yamazaki-Murase, M.; Tanabe, H.C.; Sadato, N. Fluency-dependent cortical activation associated with speech production and comprehension in second language learners. Neuroscience 2015, 300, 474–492. [Google Scholar] [CrossRef]
- Park, H.; Badzakova-Trajkov, G.; Waldie, K. Language lateralisation in late proficient bilinguals: A lexical decision fMRI study. Neuropsychologia 2012, 50, 688–695. [Google Scholar] [CrossRef]
- Abutalebi, J.; Miozzo, A.; Cappa, S.F. Do subcortical structures control ‘language selection’ in polyglots? Evidence from pathological language mixing. Neurocase 2000, 6, 51–56. [Google Scholar]
- Demareva, V.; Mukhina, E.; Bobro, T.; Abitov, I. Does Double Biofeedback Affect Functional Hemispheric Asymmetry and Activity? A Pilot Study. Symmetry 2021, 13, 937. [Google Scholar] [CrossRef]
- Polevaya, S.A. Integraciya Endogennyh Faktorov v Sistemu Obrabotki Eksteroceptivnyh Signalov. Ph.D. Thesis, Lobachevsky State University of Nizhny Novgorod, Nizhny Novgorod, Russia, 2009. (In Russian). [Google Scholar]
- Forte, A.E.; Etard, O.; Reichenbach, T. The human auditory brainstem response to running speech reveals a subcortical mechanism for selective attention. Elife 2017, 6, e27203. [Google Scholar] [CrossRef]
- Zhao, T.C.; Kuhl, P.K. Linguistic effect on speech perception observed at the brainstem. Proc. Natl. Acad. Sci. USA 2018, 115, 8716–8721. [Google Scholar] [CrossRef]
- Krishnan, A.; Gandour, J.T. The role of the auditory brainstem in processing linguistically-relevant pitch patterns. Brain Lang. 2009, 110, 135–148. [Google Scholar] [CrossRef] [PubMed]
- Boles, D.B.; Barth, J.M.; Merrill, E.C. Asymmetry and performance: Toward a neurodevelopmental theory. Brain Cogn. 2008, 66, 124–139. [Google Scholar] [CrossRef] [PubMed]











| Coefficient for Δt min L | Coefficient for Δt rash L | |
|---|---|---|
| Cluster 1 | 0.175 | 0.052 |
| Cluster 3 | −0.021 | −0.102 |
| U | 0.016 | 0.009 |
| p | 0.018 | 0.007 |
| Cluster 1 (n = 9) | Cluster 2 (n = 12) | |
|---|---|---|
| Δt min L | 44% | 42% |
| Δt max L | 56% | 67% |
| Δt rash L | 56% | 83% |
| Δt min R | 44% | 75% |
| Δt max R | 56% | 42% |
| Δt rash R | 44% | 75% |
Publisher’s Note: MDPI stays neutral with regard to jurisdictional claims in published maps and institutional affiliations. |
© 2022 by the author. Licensee MDPI, Basel, Switzerland. This article is an open access article distributed under the terms and conditions of the Creative Commons Attribution (CC BY) license (https://creativecommons.org/licenses/by/4.0/).
Share and Cite
Demareva, V. Functional Hemispheric Activity and Asymmetry Markers of Effective Foreign Language Performance in 3rd-Grade, 10th-Grade, and University Students. Symmetry 2022, 14, 1659. https://doi.org/10.3390/sym14081659
Demareva V. Functional Hemispheric Activity and Asymmetry Markers of Effective Foreign Language Performance in 3rd-Grade, 10th-Grade, and University Students. Symmetry. 2022; 14(8):1659. https://doi.org/10.3390/sym14081659
Chicago/Turabian StyleDemareva, Valeriia. 2022. "Functional Hemispheric Activity and Asymmetry Markers of Effective Foreign Language Performance in 3rd-Grade, 10th-Grade, and University Students" Symmetry 14, no. 8: 1659. https://doi.org/10.3390/sym14081659
APA StyleDemareva, V. (2022). Functional Hemispheric Activity and Asymmetry Markers of Effective Foreign Language Performance in 3rd-Grade, 10th-Grade, and University Students. Symmetry, 14(8), 1659. https://doi.org/10.3390/sym14081659

