Palbociclib in Combination with Endocrine Therapy in Patients with Metastatic Breast Cancer in a Real-World Population: Impact of Dose-Intensity, Dose Reductions and Cycle Delays on Efficacy
Simple Summary
Abstract
1. Introduction
2. Materials and Methods
2.1. Patients and Study Design
2.2. Endpoints
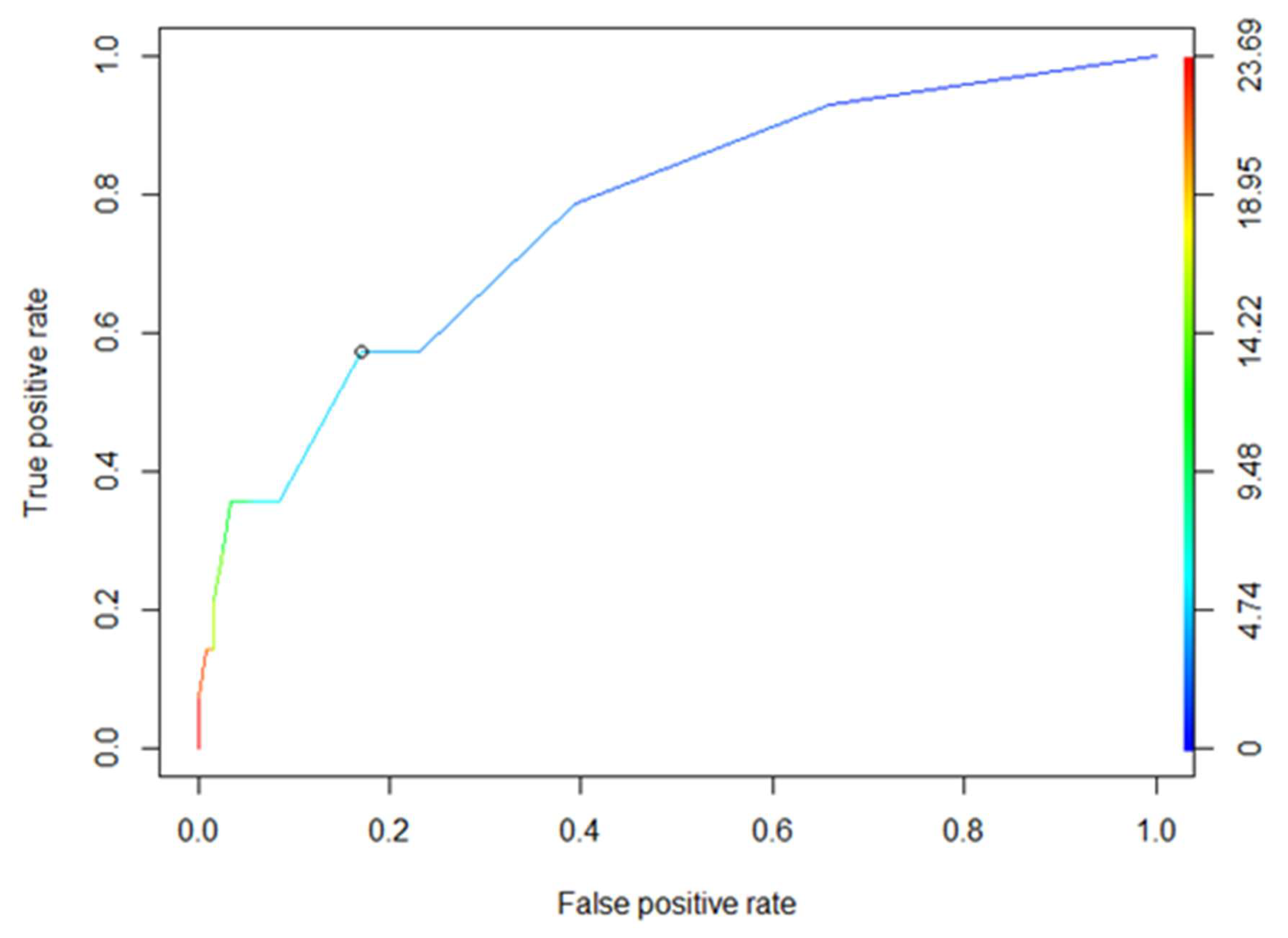
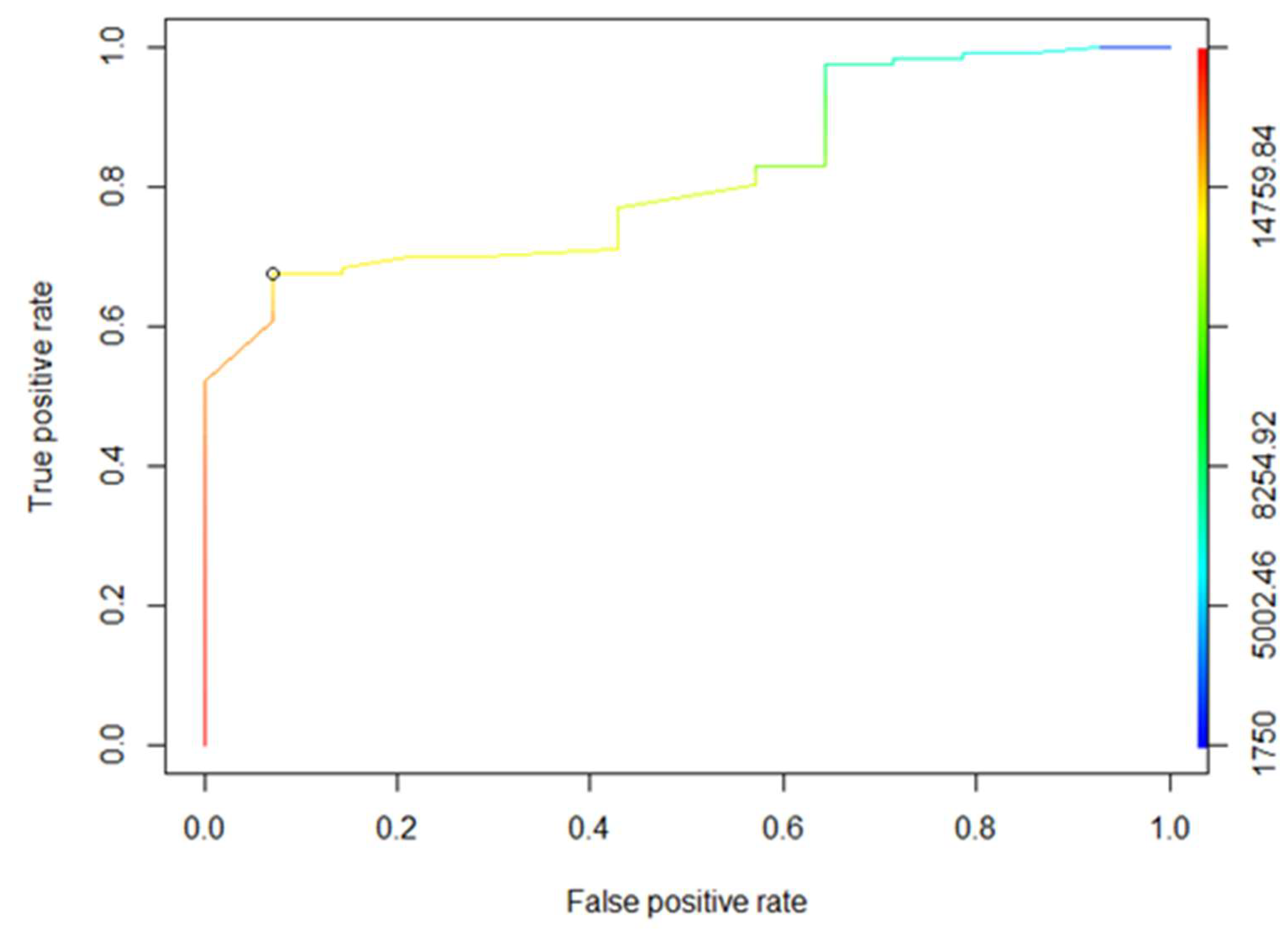
2.3. Statistical Analysis
3. Results
3.1. Patients
3.2. Palbociclib Dose-Intensity Optimization
3.3. Outcomes and Survival
4. Discussion
5. Conclusions
Author Contributions
Funding
Institutional Review Board Statement
Informed Consent Statement
Data Availability Statement
Conflicts of Interest
References
- World Health Organization: Global Cancer Data. [Internet]. Available online: https://gco.iarc.fr/ (accessed on 7 August 2025).
- INCA—Les Cancers en France. [Internet]. Available online: https://www.e-cancer.fr/ressources/cancers_en_france/ (accessed on 7 August 2025).
- NCCN. Clinical Practice Guidelines in Oncology (NC; Breast Cancer Version 1.2019 March 14, 2019). [Internet]. Available online: https://www.nccn.org/professionals/physician_gls/pdf/breast.pdf (accessed on 19 June 2019).
- Cardoso, F.; Costa, A.; Senkus, E.; Aapro, M.; André, F.; Barrios, C.H.; Bergh, J.; Bhattacharyya, G.; Biganzoli, L.; Cardoso, M.J.; et al. 3rd ESO-ESMO International Consensus Guidelines for Advanced Breast Cancer (ABC 3). Ann. Oncol. 2017, 28, 16–33. [Google Scholar] [CrossRef] [PubMed]
- Hayes, E.L.; Lewis-Wambi, J.S. Mechanisms of endocrine resistance in breast cancer: An overview of the proposed roles of noncoding RNA. Breast Cancer Res. 2015, 17, 40. [Google Scholar] [CrossRef] [PubMed]
- Verma, S.; Bartlett, C.H.; Schnell, P.; DeMichele, A.M.; Loi, S.; Ro, J.; Colleoni, M.; Iwata, H.; Harbeck, N.; Cristofanilli, M.; et al. Palbociclib in Combination with Fulvestrant in Women with Hormone Receptor-Positive/HER2-Negative Advanced Metastatic Breast Cancer: Detailed Safety Analysis from a Multicenter, Randomized, Placebo-Controlled, Phase III Study (PALOMA-3). Oncologist 2016, 21, 1165–1175. [Google Scholar] [CrossRef] [PubMed]
- FDA. Palbociclib Full Prescribing Informations. [Internet]. Available online: https://www.accessdata.fda.gov/drugsatfda_docs/label/2015/207103s000lbl.pdf (accessed on 19 June 2019).
- Mukai, H.; Shimizu, C.; Masuda, N.; Ohtani, S.; Ohno, S.; Takahashi, M.; Yamamoto, Y.; Nishimura, R.; Sato, N.; Ohsumi, S.; et al. Palbociclib in combination with letrozole in patients with estrogen receptor-positive, human epidermal growth factor receptor 2-negative advanced breast cancer: PALOMA-2 subgroup analysis of Japanese patients. Int. J. Clin. Oncol. 2019, 24, 274–287. [Google Scholar] [CrossRef] [PubMed]
- Zheng, J.; Yu, Y.; Durairaj, C.; Diéras, V.; Finn, R.S.; Wang, D.D. Impact of dose reduction on efficacy: Implications of exposure-response analysis of Palbociclib. Target. Oncol. 2021, 16, 69–76. [Google Scholar] [CrossRef] [PubMed]
- CTCAE. Version 4.03: June 14, 2010. [Internet]. Available online: https://www.eortc.be/services/doc/ctc/CTCAE_4.03_2010-06-14_QuickReference_5x7.pdf (accessed on 19 June 2019).
- Finn, R.S.; Martin, M.; Rugo, H.S.; Jones, S.; Im, S.-A.; Gelmon, K.; Harbeck, N.; Lipatov, O.N.; Walshe, J.M.; Moulder, S.; et al. Palbociclib and Letrozole in Advanced Breast Cancer. N. Engl. J. Med. 2016, 375, 1925–1936. [Google Scholar] [CrossRef] [PubMed]
- Finn, R.S.; Crown, J.P.; Lang, I.; Boer, K.; Bondarenko, I.M.; Kulyk, S.O.; Ettl, J.; Patel, R.; Pinter, T.; Schmidt, M.; et al. The cyclin-dependent kinase 4/6 inhibitor palbociclib in combination with letrozole versus letrozole alone as first-line treatment of oestrogen receptor-positive, HER2-negative, advanced breast cancer (PALOMA-1/TRIO-18): A randomised phase 2 study. Lancet Oncol. 2015, 16, 25–35. [Google Scholar] [CrossRef] [PubMed]
- Cristofanilli, M.; Turner, N.C.; Bondarenko, I.; Ro, J.; Im, S.-A.; Masuda, N.; Colleoni, M.; DeMichele, A.; Loi, S.; Verma, S.; et al. Fulvestrant plus palbociclib versus fulvestrant plus placebo for treatment of hormone-receptor-positive, HER2-negative metastatic breast cancer that progressed on previous endocrine therapy (PALOMA-3): Final analysis of the multicentre, double-blind, phase 3 randomised controlled trial. Lancet Oncol. 2016, 17, 425–439. [Google Scholar] [PubMed]
- Turner, N.C.; Ro, J.; André, F.; Loi, S.; Verma, S.; Iwata, H.; Harbeck, N.; Loibl, S.; Bartlett, C.H.; Zhang, K.; et al. Palbociclib in Hormone-Receptor-Positive Advanced Breast Cancer. N. Engl. J. Med. 2015, 373, 209–219. [Google Scholar] [CrossRef] [PubMed]
- Loibl, S.; Turner, N.C.; Ro, J.; Cristofanilli, M.; Iwata, H.; Im, S.-A.; Masuda, N.; Loi, S.; André, F.; Harbeck, N.; et al. Palbociclib Combined with Fulvestrant in Premenopausal Women with Advanced Breast Cancer and Prior Progression on Endocrine Therapy: PALOMA-3 Results. Oncologist 2017, 22, 1028–1038. [Google Scholar] [CrossRef] [PubMed]
- Rugo, H.S.; Turner, N.C.; Finn, R.S.; Joy, A.A.; Verma, S.; Harbeck, N.; Masuda, N.; Im, S.-A.; Huang, X.; Kim, S.; et al. Palbociclib plus endocrine therapy in older women with HR+/HER2− advanced breast cancer: A pooled analysis of randomised PALOMA clinical studies. Eur. J. Cancer 2018, 101, 123–133. [Google Scholar] [CrossRef] [PubMed]
- Wilkie, J.; Schickli, M.A.; Berger, M.J.; Lustberg, M.; Reinbolt, R.; Noonan, A.; Ramaswamy, B.; Sardesai, S.; VanDeusen, J.; Wesolowski, R.; et al. Progression-Free Survival for real-world use of Palbociclib in Hormone Receptor-Positive Metastatic Breast cancer. Clin. Breast Cancer 2019, 20, 33–40. [Google Scholar] [CrossRef] [PubMed]
- Cabetas, M.G.-T.; Martínez, P.L.; Nácher, I.J.; Almirón, M.D.; Auñón, P.Z.; Ambrosio, A.H. Real-world experience of palbociclib and ribociclib: Novel oral therapy in metastatic breast cancer. Int. J. Clin. Pharm. 2021, 43, 893–899. [Google Scholar] [CrossRef] [PubMed]
- Taylor-Stokes, G.; Mitra, D.; Waller, J.; Gibson, K.; Milligan, G.; Iyer, S. Treatment patterns and clinical outcomes among patients receiving palbociclib in combination with an aromatase inhibitor or fulvestrant for HR+/HER2-negative advanced/metastatic breast cancer in real-world settings in the US: Results from the IRIS study. Breast 2019, 43, 22–27. [Google Scholar] [CrossRef] [PubMed]
- Clifton, K.; Min, Y.; Kimmel, J.; Litton, J.; Tripathy, D.; Karuturi, M. Progression-free survival (PFS) and toxicities of palbociclib in a geriatric population. Breast Cancer Res. Treat. 2019, 175, 667–674. [Google Scholar] [CrossRef] [PubMed]
- Palumbo, R.; Torrisi, R.; Sottotetti, F.; Presti, D.; Gambaro, A.R.; Collovà, E.; Ferzi, A.; Agostinetto, E.; Teragni, C.M.; Saltalamacchia, G.; et al. Patterns of treatment and outcome of palbociclib plus endocrine therapy in hormone receptor-positive/HER2 receptor-negative metastatic breast cancer: A real-world multicentre Italian study. Ther. Adv. Med. Oncol. 2021, 13, 1758835920987651. [Google Scholar] [CrossRef] [PubMed]
- Varella, L.; Eziokwu, A.S.; Jia, X.; Kruse, M.; Moore, H.C.F.; Budd, G.T.; Abraham, J.; Montero, A.J. Real-world clinical outcomes and toxicity in metastatic breast cancer patients treated with palbociclib and endocrine therapy. Breast Cancer Res. Treat. 2019, 176, 429–434. [Google Scholar] [CrossRef] [PubMed]
- DeMichele, A.; Cristofanilli, M.; Brufsky, A.; Liu, X.; Mardekian, J.; McRoy, L.; Layman, R.M.; Emir, B.; Torres, M.A.; Rugo, H.S.; et al. Comparative effectiveness of first-line palbociclib plus letrozole versus letrozole alone for HR+/HER2− metastatic breast cancer in US real-world clinical practice. Breast Cancer Res. 2021, 23, 37. [Google Scholar] [CrossRef] [PubMed]
- Ismail, R.K.; van Breeschoten, J.; Wouters, M.W.J.M.; van Dartel, M.; van der Flier, S.; Reyners, A.K.L.; de Graeff, P.; Pasmooij, A.M.G.; de Boer, A.; Broekman, K.E.; et al. Palbociclib dose reductions and the effect on clinical outcomes in patients with advanced breast cancer. Breast 2021, 60, 263–271. [Google Scholar] [CrossRef] [PubMed]
- Vazquez, L.; Coussirou, J.; Arvers, P.; Rossi, J.F.; Arnaud, A.; Grenier, J.; Simonin, C.; Debourdeau, P. Palbociclib Associated with Endocrine Therapy in Patients with Metastatic Breast Cancer: Predictive Factors of Severe Early Hematological Toxicity. J. Cancer Sci. Ther. 2019, 11, 290–294. [Google Scholar]




| Toxicity | CTCAE Grade | Action |
|---|---|---|
| Hematologic toxicities | Grade 1–2 | No action |
| Grade 3 on Day 1 | Withhold and repeat CBC within 1 week
| |
| Grade 3 on Day 15 of first 2 cycles | Continue at the same dose to complete cycle Repeat CBC on Day 22
| |
| Grade 3 neutropenia with fever ≥ 38.5 °C and/or infection at any time Grade 4 at any time | Withhold
| |
| Nonhematologic toxicities | Grade 1–2 | No action |
| Grade 3–4 persistent despite medical treatment | Withhold until grade ≤ 2 Resume at next lower dose |
| Characteristic | Group 1 Non Optimized Palbociclib Dose-Intensity n = 46 | Group 2 Optimized Palbociclib Dose-Intensity n = 85 | p Value § |
|---|---|---|---|
| Age, median [IQR] years old | 74 [67,80] | 64 [55,69] | <0.001 |
| Weight, median [IQR], kg | 62 (54,70) | 68 (62,78) | 0.05 |
| ECOG performance status, n (%) | |||
| 0 | 12 (26.1) | 35 (41.2) | 0.02 |
| 1 | 15 (32.6) | 32 (37.6) | |
| 2 | 5 (10.9) | 1 (1.2) | |
| Unknow | 14 (30.4) | 17 (20.0) | |
| Cancer type, n (%) | |||
| Ductal Non specific | 5 (10.9) | 13 (15.3) | 0.6 |
| Ductal | 29 (63.0) | 54 (63.5) | |
| Lobular | 11 (23.9) | 18 (21.2) | |
| Unknow | 1 (2.2) | 0 (0) | |
| Disease site, n (%) | |||
| Visceral | 28 (60.9) | 49 (57.6) | 0.7 |
| Node | 21 (45.7) | 46 (54.1) | 0.4 |
| Bone | 36 (78.3) | 69 (81.2) | 0.7 |
| Metastatic treatment line, median [IQR] | 2 [1,2] | 1 [1,2] | 0.03 |
| Initial dosage palbociclib, n (%) | 125 mg vs. other <0.0001 | ||
| 125 mg | 27 (58.7) | 85 (100) | |
| 100 mg | 16 (34.8) | 0 (0) | |
| 75 mg | 3 (6.5) | 0 (0) | |
| Hormonal therapy associated, n (%) | Fulvestrant vs. Other 0.86 | ||
| Fulvestrant | 22 (47.8) | 42 (49.4) | |
| Letrozole | 22 (47.8) | 38 (44.7) | |
| Other | 2 (4.4) | 5 (5.9) | |
| Hematotoxicity ≥ Grade 3 during the first three cycles, n (%) | |||
| Yes | 17 (37.0) | 11 (12.9) | |
| No | 29 (63.0) | 74 (87.1) | 0.014 |
| 6-month dose-intensity/100, median [IQR], mg | 117 [89,133] | 168 [158,174] | <0.001 |
| Progression at 6-month evaluation, n (%) | |||
| Yes | 12 (26.1) | 2 (2.4) | |
| No | 34 (74.9) | 83 (97.6) | <0.001 |
| Variables | Final LR Model | ||
|---|---|---|---|
| OR | 95% CI | p Value | |
| Cycle delay > 4 weeks (Yes vs. No) | 4.79 | 1.20–17.7 | 0.028 |
| Palbociclib initial dosage (125 mg vs. other) | 3.13 | 0.79–11.1 | 0.10 |
Disclaimer/Publisher’s Note: The statements, opinions and data contained in all publications are solely those of the individual author(s) and contributor(s) and not of MDPI and/or the editor(s). MDPI and/or the editor(s) disclaim responsibility for any injury to people or property resulting from any ideas, methods, instructions or products referred to in the content. |
© 2026 by the authors. Licensee MDPI, Basel, Switzerland. This article is an open access article distributed under the terms and conditions of the Creative Commons Attribution (CC BY) license.
Share and Cite
Coussirou, J.; Grenier, J.; Mege, A.; Arnaud, A.; De Crozals, F.; Bonnet, E.; Vazquez, L. Palbociclib in Combination with Endocrine Therapy in Patients with Metastatic Breast Cancer in a Real-World Population: Impact of Dose-Intensity, Dose Reductions and Cycle Delays on Efficacy. Curr. Oncol. 2026, 33, 51. https://doi.org/10.3390/curroncol33010051
Coussirou J, Grenier J, Mege A, Arnaud A, De Crozals F, Bonnet E, Vazquez L. Palbociclib in Combination with Endocrine Therapy in Patients with Metastatic Breast Cancer in a Real-World Population: Impact of Dose-Intensity, Dose Reductions and Cycle Delays on Efficacy. Current Oncology. 2026; 33(1):51. https://doi.org/10.3390/curroncol33010051
Chicago/Turabian StyleCoussirou, Julie, Julien Grenier, Alice Mege, Antoine Arnaud, Françoise De Crozals, Emmanuel Bonnet, and Léa Vazquez. 2026. "Palbociclib in Combination with Endocrine Therapy in Patients with Metastatic Breast Cancer in a Real-World Population: Impact of Dose-Intensity, Dose Reductions and Cycle Delays on Efficacy" Current Oncology 33, no. 1: 51. https://doi.org/10.3390/curroncol33010051
APA StyleCoussirou, J., Grenier, J., Mege, A., Arnaud, A., De Crozals, F., Bonnet, E., & Vazquez, L. (2026). Palbociclib in Combination with Endocrine Therapy in Patients with Metastatic Breast Cancer in a Real-World Population: Impact of Dose-Intensity, Dose Reductions and Cycle Delays on Efficacy. Current Oncology, 33(1), 51. https://doi.org/10.3390/curroncol33010051

