Emerging Real-World Treatment Patterns and Clinical Outcomes of Multiple Myeloma in Argentina and Brazil: Insights from the TOTEMM Study in the Private Healthcare Sector
Simple Summary
Abstract
1. Introduction
2. Methods
2.1. Study Design and Study Population
2.2. Study Objectives and Variables
2.3. Data Source and Collection
2.4. Data Analysis
3. Results
3.1. Demographic Characteristics
3.2. LOT Duration and Time to Next Treatment
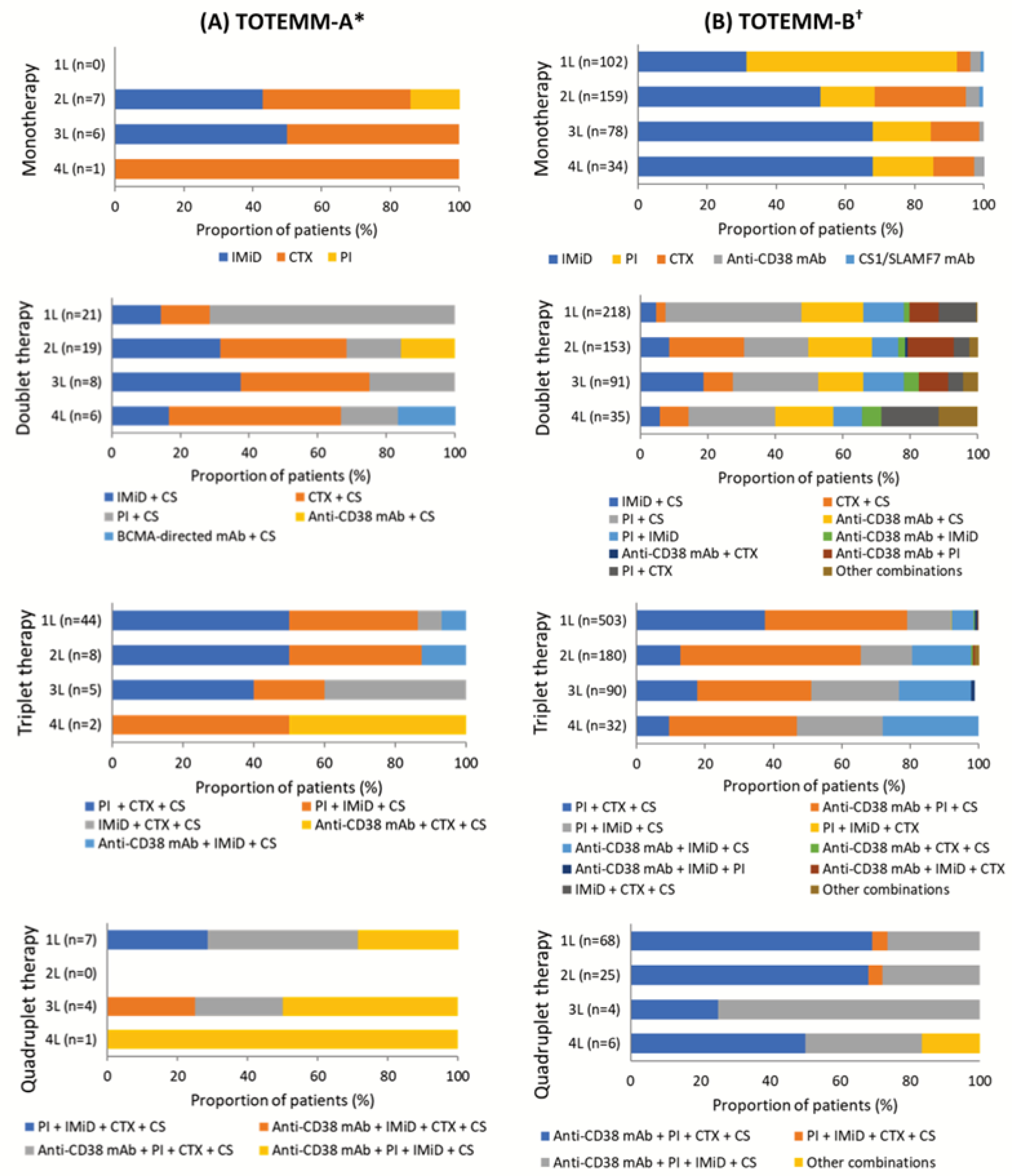
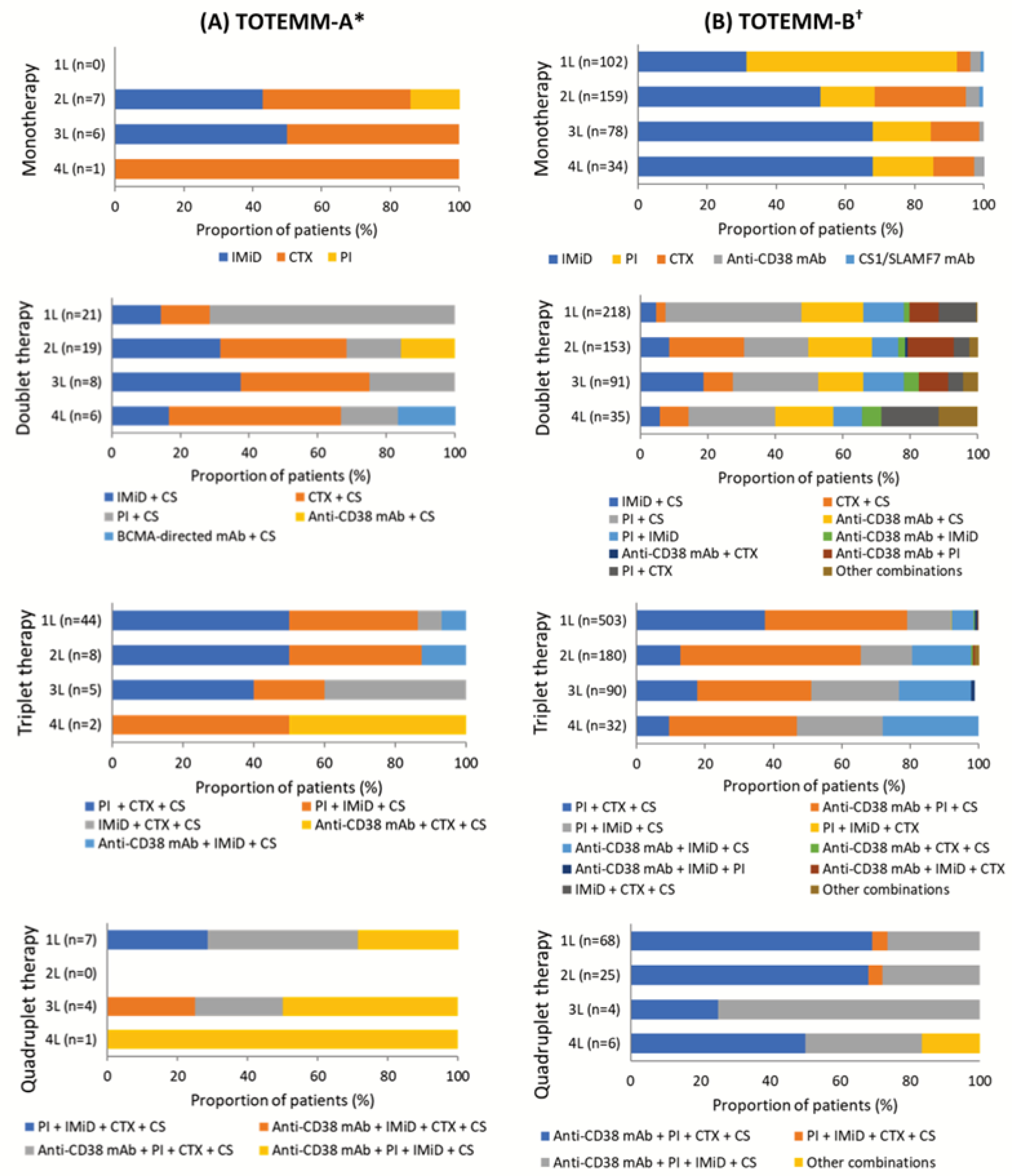
3.3. Treatment Tendencies Across LOT
3.4. Evolving Treatment Tendencies over Time
3.5. Relapse and Rechallenge
3.6. Estimated Progression-Free Survival
3.7. Overall Survival
4. Discussion
5. Conclusions
Supplementary Materials
Author Contributions
Funding
Institutional Review Board Statement
Informed Consent Statement
Data Availability Statement
Acknowledgments
Conflicts of Interest
Abbreviations
| 1L/2L/3L/4L | first/second/third/fourth line |
| BMI | body mass index |
| CI | confidence interval |
| CS | corticosteroid |
| CTX | chemotherapy |
| EMR | electronic medical record |
| HIBA | Hospital Italiano de Buenos Aires |
| ICD-10 | International Classification of Diseases, 10th revision |
| IMiD | immunomodulatory drug |
| IQR | interquartile range |
| LOT | line(s) of therapy |
| mAb | monoclonal antibody |
| MM | multiple myeloma |
| OS | overall survival |
| PFS | progression-free survival |
| PI | proteasome inhibitor |
| R/R | relapsed/refractory |
| SCT | stem cell transplant |
| SD | standard deviation |
| TOTEMM | Treatment practices and clinical outcomes in patients with MM |
| TTNT | time(s) to next treatment |
References
- Padala, S.A.; Barsouk, A.; Barsouk, A.; Rawla, P.; Vakiti, A.; Kolhe, R.; Kota, V.; Ajebo, G.H. Epidemiology, staging, and management of multiple myeloma. Med. Sci. 2021, 9, 3. [Google Scholar] [CrossRef] [PubMed]
- Mikhael, J.; Ismaila, N.; Cheung, M.C.; Costello, C.; Dhodapkar, M.V.; Kumar, S.; Lacy, M.; Lipe, B.; Little, R.F.; Nikonova, A.; et al. Treatment of multiple myeloma: ASCO and CCO joint clinical practice guideline. J. Clin. Oncol. 2019, 37, 1228–1263. [Google Scholar] [CrossRef] [PubMed]
- Mohty, M.; Terpos, E.; Mateos, M.-V.; Cavo, M.; Lejniece, S.; Beksac, M.; Bekadja, M.A.; Legiec, W.; Dimopoulos, M.; Stankovic, S.; et al. Multiple myeloma treatment in real-world clinical practice: Results of a prospective, multinational, noninterventional study. Clin. Lymphoma Myeloma Leuk. 2018, 18, e401–e419. [Google Scholar] [CrossRef]
- Portuguese, A.J.; Banerjee, R.; Chen, G.; Reddi, S.; Cowan, A.J. Novel Treatment Options for Multiple Myeloma. JCO Oncol. Pract. 2025, 21, 950–961. [Google Scholar] [CrossRef] [PubMed]
- Fonseca, R.; Usmani, S.Z.; Mehra, M.; Slavcev, M.; He, J.; Cote, S.; Lam, A.; Ukropec, J.; Maiese, E.M.; Nair, S.; et al. Frontline treatment patterns and attrition rates by subsequent lines of therapy in patients with newly diagnosed multiple myeloma. BMC Cancer 2020, 20, 1087. [Google Scholar] [CrossRef]
- de Moraes Hungria, V.T.; Peña, C.; Gomez-Almaguer, D.; Martínez-Cordero, H.; Schütz, N.P.; Blunk, V. Multiple myeloma in Latin America: A systematic review. EJHaem 2024, 5, 867–878. [Google Scholar] [CrossRef]
- Ferlay, J.; Ervik, M.; Lam, F.; Laversanne, M.; Colombet, M.; Mery, L.; Piñeros, M.; Znaor, A.; Soerjomataram, I.; Bray, F. Argentina. Available online: https://gco.iarc.who.int/media/globocan/factsheets/populations/32-argentina-fact-sheet.pdf (accessed on 18 September 2025).
- Ferlay, J.; Ervik, M.; Lam, F.; Laversanne, M.; Colombet, M.; Mery, L.; Piñeros, M.; Znaor, A.; Soerjomataram, I.; Bray, F. Brazil. Available online: https://gco.iarc.who.int/media/globocan/factsheets/populations/76-brazil-fact-sheet.pdf (accessed on 18 September 2025).
- Kumar, S.K.; Dispenzieri, A.; Lacy, M.Q.; Gertz, M.A.; Buadi, F.K.; Pandey, S.; Kapoor, P.; Dingli, D.; Hayman, S.R.; Leung, N.; et al. Continued improvement in survival in multiple myeloma: Changes in early mortality and outcomes in older patients. Leukemia 2014, 28, 1122–1128. [Google Scholar] [CrossRef]
- Callander, N.S.; Baljevic, M.; Adekola, K.; Anderson, L.D.; Campagnaro, E.; Castillo, J.J.; Costello, C.; Devarakonda, S.; Elsedawy, N.; Faiman, M.; et al. NCCN Guidelines® insights: Multiple myeloma, version 3.2022. J. Natl. Compr. Canc. Netw. 2022, 20, 8–19. [Google Scholar] [CrossRef]
- Hungria, V.; Gaiolla, R.; Galvez, K.; Remaggi, G.; Schutz, N.; Bittencourt, R.; Maiolino, A.; Quintero-Vega, G.; Cugliari, M.S.; Braga, W.M.T.; et al. Health care systems as determinants of outcomes in multiple myeloma: Final results from the Latin American MYLACRE study. Blood Adv. 2025, 9, 1293–1302. [Google Scholar] [CrossRef]
- Novick, G.E. Health care organization and delivery in Argentina: A case of fragmentation, inefficiency and inequality. Global Policy 2017, 8, 93–96. [Google Scholar] [CrossRef]
- Silva, B.; Hens, N.; Gusso, G.; Lagaert, S.; Macinko, J.; Willems, S. Dual use of public and private health care services in Brazil. Int. J. Environ. Res. Public Health 2022, 19, 1829. [Google Scholar] [CrossRef]
- Palacios, A.; Espinola, N.; Rojas-Roque, C. Need and inequality in the use of health care services in a fragmented and decentralized health system: Evidence for Argentina. Int. J. Equity Health 2020, 19, 67. [Google Scholar] [CrossRef]
- Rubinstein, A.; Zerbino, M.C.; Cejas, C.; López, A. Making universal health care effective in Argentina: A blueprint for reform. Health Syst. Reform. 2018, 4, 203–213. [Google Scholar] [CrossRef]
- Cataife, G.; Courtemanche, C. Is Universal Health Care in Brazil Really Universal? Available online: https://ssrn.com/abstract=1690662 (accessed on 18 September 2025).
- Giao Antunes, N.T.; Ribeiro, A.; Duval, A.; Moore, R. High-cost oncology drugs in Brazil and Mexico: Access differences between the public and private settings. Value Health 2017, 20, PA879. [Google Scholar] [CrossRef]
- Devarakonda, S.; Efebera, Y.; Sharma, N. Role of stem cell transplantation in multiple myeloma. Cancers 2021, 13, 863. [Google Scholar] [CrossRef]
- Richter, J.; Pan, D.; Salinardi, T.; Rice, M.S. Real-world multiple myeloma front-line treatment and outcomes by transplant in the United States. EJHaem 2023, 4, 984–994. [Google Scholar] [CrossRef]
- Antoine-Pepeljugoski, C.; Braunstein, M.J. Management of newly diagnosed elderly multiple myeloma patients. Curr. Oncol. Rep. 2019, 21, 64. [Google Scholar] [CrossRef]
- de Moraes Hungria, V.T.; Martínez-Baños, D.M.; Peñafiel, C.R.; Miguel, C.E.; Vela-Ojeda, J.; Remaggi, G.; Duarte, F.B.; Cao, C.; Cugliari, M.S.; Santos, T.; et al. Multiple myeloma treatment patterns and clinical outcomes in the Latin America Haemato-Oncology (HOLA) observational study, 2008–2016. Br. J. Haematol. 2020, 188, 383–393. [Google Scholar] [CrossRef]
- Curado, M.P.; Oliveira, M.M.; Silva, D.R.M.; Souza, D.L.B. Epidemiology of multiple myeloma in 17 Latin American countries: An update. Cancer Med. 2018, 7, 2101–2108. [Google Scholar] [CrossRef]
- Hungria, V.T.; Maiolino, A.; Martinez, G.; Duarte, G.O.; Bittencourt, R.; Peters, L.; Colleoni, G.; Oliveira, L.C.; Crusoé, E.; Coelho, E.O.; et al. Observational study of multiple myeloma in Latin America. Ann. Hematol. 2017, 96, 65–72. [Google Scholar] [CrossRef]
- Lemmer, T.; Martins, R.E.; Kashiura, D.; Saad, R. Real world data on multiple myeloma treatment patterns: First and second-line treatment in the Brazilian public health system. Value Health 2017, 20, A879. [Google Scholar] [CrossRef]
- Hospital Italiano de Buenos Aires. Acerca del Hospital. Available online: https://www.hospitalitaliano.org.ar/#!/home/hospital/seccion/20507 (accessed on 18 September 2025).
- Perles, D.C. Hospital Spotlight|Hospital Italiano: Carrying on with Its Expansion Plans. Available online: https://globalhealthintelligence.com/ghi-analysis/hospital-spotlight-hospital-italiano-carrying-on-with-its-expansion-plans/ (accessed on 18 September 2025).
- Orizon. Defending the Health. Available online: https://www.orizonbrasil.com.br/ (accessed on 18 September 2025).
- Ades, F. Access to oncology drugs in Brazil: Juggling innovation and sustainability in developing countries. Med. Access@ Point Care 2017, 1, maapoc-0000004. [Google Scholar] [CrossRef]
- Rajkumar, S.V.; Kumar, S. Multiple myeloma current treatment algorithms. Blood Cancer J. 2020, 10, 94. [Google Scholar] [CrossRef]
- Pessoa de Magalhaes Filho, R.J.; Crusoe, E.; Riva, E.; Bujan, W.; Conte, G.; Navarro Cabrera, J.R.; Garcia, D.K.; Vega, G.Q.; Macias, J.; Oliveros Alvear, J.W.; et al. Analysis of availability and access of anti-myeloma drugs and impact on the management of multiple myeloma in Latin American countries. Clin. Lymphoma Myeloma Leuk. 2019, 19, e43–e50. [Google Scholar] [CrossRef]
- Boytsov, N.; McGuiness, C.B.; Zhou, Z.; Huo, T.; Montgomery, K.; Kotowsky, N.; Chen, C.C. Multiple myeloma care, treatment patterns, and treatment durations in academic and community care settings. Future Oncol. 2025, 21, 1905–1918. [Google Scholar] [CrossRef]
- Wang, P.F.; Yee, C.W.; Gorsh, B.; Zichlin, M.L.; Paka, P.; Bhak, R.H.; Boytsov, N.; Khanal, A.; Noman, A.; DerSarkissian, M.; et al. Treatment patterns and overall survival of patients with double-class and triple-class refractory multiple myeloma: A US electronic health record database study. Leuk. Lymphoma 2023, 64, 398–406. [Google Scholar] [CrossRef]
- Bruno, A.S.; Willson, J.L.; Opalinska, J.M.; Nelson, J.J.; Lunacsek, O.E.; Stafkey-Mailey, D.R.; Willey, J.P. Recent real-world treatment patterns and outcomes in US patients with relapsed/refractory multiple myeloma. Expert. Rev. Hematol. 2020, 13, 1017–1025. [Google Scholar] [CrossRef] [PubMed]
- Crusoé, E.Q.; Pimenta, F.C.F.; Maiolino, A.; Castro, N.S.; Pei, H.; Trufelli, D.; Fernandez, M.; Herriot, L.B. Results of the daratumumab monotherapy early access treatment protocol in patients from Brazil with relapsed or refractory multiple myeloma. Hematol. Transfus. Cell Ther. 2021, 43, 417–423. [Google Scholar] [CrossRef]
- Gay, F.; Zamagni, E.; Cole, C.E.; Scheid, C.; Hultcrantz, M.; Chorazy, J.; Iheanacho, I.; Pandey, A.; Bitetti, J.; Boytsov, N.; et al. Clinical outcomes associated with anti-CD38-based retreatment in relapsed/refractory multiple myeloma: A systematic literature review. Front. Oncol. 2025, 15, 1550644. [Google Scholar] [CrossRef] [PubMed]
- Mateos, M.-V.; Weisel, K.; De Stefano, V.; Goldschmidt, H.; Delforge, M.; Mohty, M.; Cavo, M.; Vij, R.; Lindsey-Hill, J.; Dytfeld, D.; et al. LocoMMotion: A prospective, non-interventional, multinational study of real-life current standards of care in patients with relapsed and/or refractory multiple myeloma. Leukemia 2022, 36, 1371–1376. [Google Scholar] [CrossRef] [PubMed]
- Yong, K.; Delforge, M.; Driessen, C.; Fink, L.; Flinois, A.; Gonzalez-McQuire, S.; Safaei, R.; Karlin, L.; Mateos, M.V.; Raab, M.S.; et al. Multiple myeloma: Patient outcomes in real-world practice. Br. J. Haematol. 2016, 175, 252–264. [Google Scholar] [CrossRef] [PubMed]
- Maiolino, A.; Crusoé, E.Q.; Martinez, G.A.; Braga, W.M.T.; de Farias, D.L.C.; Bittencourt, R.I.; Neto, J.V.P.; Ribeiro, G.N.; Bernardo, W.M.; Tristao, L.; et al. Guidelines on the diagnosis and management of multiple myeloma treatment: Associação Brasileira de Hematologia e Hemoterapia e Terapia Celular Project guidelines: Associação Médica Brasileira—2022. Part I. Hematol. Transfus. Cell Ther. 2022, 44, 410–418. [Google Scholar] [CrossRef]
- Alfonso, G.; Arbelbide, J.; Basquiera, A.L.; Belli, C.; Crisp, R.; Gonzalez, J.; Iastrebner, M.; Kohan, D.; Kornblihtt, L.; Lincango Yupanki, M.; et al. Neoplasias mielodisplásicas y neoplasias mielodisplásicas/mieloproliferativas. Available online: https://sah.org.ar/docs/guias/2023/Neoplasias_Mielodisplasicas_y_Neoplasias_Mielodisplasicas_Mieloproliferativas.pdf (accessed on 18 September 2025).
- Jagannath, S.; Rifkin, R.M.; Gasparetto, C.; Toomey, K.; Durie, B.G.; Hardin, J.W.; Terebelo, H.R.; Wagner, L.I.; Narang, M.; Ailawadhi, S.; et al. Treatment (tx) journeys in newly diagnosed multiple myeloma (NDMM) patients (pts): Results from the Connect MM registry. J. Clin. Oncol. 2018, 36, 8041. [Google Scholar] [CrossRef]
- Leleu, X.; Gorsh, B.; Bessou, A.; Paka, P.; De Nascimento, J.; Colin, X.; Landi, S.; Wang, P.F. Survival outcomes for patients with multiple myeloma in France: A retrospective cohort study using the Système National des Données de Santé national healthcare database. Eur. J. Haematol. 2023, 111, 125–134. [Google Scholar] [CrossRef]
- Ailawadhi, S.; Jagannath, S.; Narang, M.; Rifkin, R.M.; Terebelo, H.R.; Toomey, K.; Durie, B.G.M.; Hardin, J.W.; Gasparetto, C.J.; Wagner, L.; et al. Connect MM registry as a national reference for United States multiple myeloma patients. Cancer Med. 2020, 9, 35–42. [Google Scholar] [CrossRef] [PubMed]
- Ortega, E.; Fe Bitaube, R.; Verdugo Cabeza De Vaca, V.; Gavira, R.; Garzón, S. How much has the overall survival of multiple myeloma patients improved after the incorporation of new drugs in the first line of treatment in real-world experience (RWE)? Blood 2024, 144, 6915. [Google Scholar] [CrossRef]





| TOTEMM-A * N = 72 | TOTEMM-B † N = 892 | |
|---|---|---|
| Sex, n (%) | 72 | 512 ‡ |
| Male | 30 (41.7) | 297 (58.0) |
| Female | 42 (58.3) | 215 (42.0) |
| Age group at index date, n (%) | 72 | 512 ‡ |
| 18–49 years | 1 (1.4) | 78 (15.2) |
| 50–59 years | 6 (8.3) | 103 (20.1) |
| ≥60 years | 65 (90.3) | 331 (64.6) |
| Age at index date, years, mean (SD) | 76.5 (9.5) | 64.1 (12.3) |
| Index year, n (%) | 72 | 892 |
| 2018 | 12 (16.7) | 161 (18.0) |
| 2019 | 15 (20.8) | 162 (18.2) |
| 2020 | 11 (15.3) | 141 (15.8) |
| 2021 | 6 (8.3) | 165 (18.5) |
| 2022 | 13 (18.1) | 156 (17.5) |
| 2023 | 13 (18.1) | 99 (11.1) |
| 2024 | 2 (2.8) | 8 (0.9) |
| Time to follow-up, months, median (IQR) | 19.1 (35.9) | 20.8 (29.7) |
| Number of patients per LOT, n (%) | ||
| 1L | 72 (100.0) | 892 (100.0) |
| 2L | 34 (47.2) | 518 (58.1) |
| 3L | 23 (31.9) | 263 (29.5) |
| 4L | 10 (13.9) | 107 (12.0) |
| LOT duration, months, median (IQR) | ||
| 1L | 6.2 (6.8) | 4.4 (5.2) |
| 2L | 3.8 (9.0) | 2.8 (8.0) |
| 3L | 5.6 (11.7) | 4.3 (10.6) |
| 4L | 3.4 (9.7) | 3.5 (10.9) |
| Time from index date to first treatment, months, median (IQR) # | 0.4 (1.4) | 0.0 (0.6) |
| TTNT, months, median (IQR) | ||
| 1L to 2L | 7.8 (7.6) | 7.8 (7.4) |
| 2L to 3L | 6.2 (7.2) | 4.6 (7.7) |
| 3L to 4L | 5.4 (6.0) | 7.2 (10.2) |
| BMI, n §,¶ | 70 | |
| Mean (SD), kg/m2 | 26.8 (4.5) | - |
| Underweight, <18.5 kg/m2, n (%) | 2 (2.9) | - |
| Normal, ≥18.5 to <25 kg/m2, n (%) | 21 (30.0) | - |
| Overweight, ≥25 to <30 kg/m2, n (%) | 34 (48.6) | - |
| Obese, ≥30 kg/m2, n (%) | 13 (18.6) | - |
| TOTEMM-A * | TOTEMM-B † | |||||
|---|---|---|---|---|---|---|
| LOT in Which Relapse ‡ Occurred | LOT in Which Relapse ‡ Occurred | |||||
| All Patients Who Relapsed | 2L | 3L | All Patients Who Relapsed | 2L | 3L | |
| Time to first relapse from the start of exposure, § n, months | 33 | 31 | 2 | 512 | 508 | 4 |
| Median (IQR) | 7.9 (6.7) | 7.8 (7.3) | 6.7 (4.2) | 7.8 (7.2) | 7.8 (7.2) | 8.3 (4.6) |
| Categorical time, n (%) | ||||||
| 0 to ≤2 | 2 (6.1) | 2 (6.5) | - | 41 (8.0) | 40 (7.9) | 1 (25.0) |
| >2 to ≤6 | 10 (30.3) | 9 (29.0) | 1 (50.0) | 134 (26.2) | 134 (26.4) | - |
| >6 to ≤12 | 13 (30.4) | 12 (38.7) | 1 (50.0) | 211 (41.2) | 208 (40.9) | 3 (75.0) |
| >12 | 8 (24.2) | 8 (25.8) | - | 126 (24.6) | 126 (24.8) | - |
| Exposure to bortezomib, n (%), months ¶ | 28 | 27 | 1 | 444 | 443 | 1 |
| 0 to ≤2 | 2 (7.1) | 2 (7.4) | - | 38 (8.6) | 37 (8.4) | 1 (100.0) |
| >2 to ≤6 | 8 (28.6) | 7 (25.0) | 1 (100.0) | 117 (26.4) | 117 (26.4) | - |
| >6 to ≤12 | 11 (39.3) | 11 (39.3) | - | 188 (42.3) | 188 (42.4) | - |
| >12 | 7 (25.0) | 7 (25.0) | - | 101 (22.7) | 101 (22.8) | - |
| Exposure to daratumumab, n (%), months ¶ | 3 | 3 | - | 188 | 186 | 2 |
| 0 to ≤2 | - | - | - | 9 (4.8) | 8 (4.3) | 1 (50.0) |
| >2 to ≤6 | 3 (100.0) | 3 (100.0) | - | 42 (22.3) | 42 (22.6) | - |
| >6 to ≤12 | - | - | - | 88 (46.8) | 87 (46.8) | 1 (50.0) |
| >12 | - | - | - | 49 (26.1) | 49 (26.3) | - |
| Exposure to lenalidomide, n (%), months ¶ | 11 | 10 | 1 | 85 | 83 | 2 |
| 0 to ≤2 | 1 (9.1) | 1 (10.0) | - | 3 (3.5) | 3 (3.6) | - |
| >2 to ≤6 | 2 (18.2) | 2 (20.0) | - | 23 (27.1) | 23 (27.7) | - |
| >6 to ≤12 | 4 (36.4) | 3 (30.0) | 1 (100.0) | 39 (45.9) | 37 (44.6) | 2 (100) |
| >12 | 4 (36.4) | 4 (40.0) | - | 20 (23.5) | 20 (24.1) | - |
| 1L | 2L | 3L | 4L | ||||||
|---|---|---|---|---|---|---|---|---|---|
| No. of Patients Exposed in 1L | No. of Patients Exposed to 1L Who Relapsed | Rechallenge in 2L | No. of Patients Exposed to 2L | No. of Patients Exposed to 2L Who Relapsed | Rechallenge in 3L | No. of Patients Exposed to 3L | No. of Patients Exposed to 3L Who Relapsed | Rechallenge in 4L | |
| TOTEMM-A, ‡ n (%) | |||||||||
| Bortezomib ¶ | 60 | 27 (45.0) | 5 (18.5) | 9 | 4 (44.4) | 2 (50.0) | 7 | 2 (28.6) | - |
| Carfilzomib ¶ | - | - | - | 2 | 2 (100.0) | 1 (50.0) | 1 | - | - |
| Daratumumab ¶ | 8 | 3 (37.5) | - | 4 | 2 (50.0) | 1 (50.0) | 4 | 2 (50.0) | - |
| Lenalidomide ¶ | 24 | 10 (41.7) | 1 (10.0) | 13 | 8 (61.5) | 3 (37.5) | 10 | 4 (40.0) | - |
| TOTEMM-B, § n (%) | |||||||||
| Bortezomib ¶ | 718 | 443 (61.7) | 189 (42.7) | 199 | 107 (53.8) | 13 (12.1) | 66 | 30 (45.5) | 10 (33.3) |
| Carfilzomib ¶ | 38 | 20 (52.6) | 7 (35.0) | 59 | 32 (54.2) | 19 (59.4) | 61 | 26 (42.6) | 7 (26.9) |
| Daratumumab ¶ | 378 | 186 (49.2) | 83 (44.6) | 211 | 112 (53.1) | 36 (32.1) | 77 | 34 (44.2) | 11 (32.4) |
| Lenalidomide ¶ | 196 | 83 (42.3) | 44 (53.0) | 182 | 52 (28.6) | 28 (53.8) | 129 | 45 (34.9) | 18 (40.0) |
| 1L | 2L | 3L | 4L | |||||
|---|---|---|---|---|---|---|---|---|
| TOTEMM-A N = 72 | TOTEMM-B N = 892 | TOTEMM-A N = 34 | TOTEMM-B N = 518 | TOTEMM-A N = 23 | TOTEMM-B N = 263 | TOTEMM-A N = 10 | TOTEMM-B N = 107 | |
| Estimated PFS from the start of LOT, n (%) | ||||||||
| Progression | 50 (69.4) | 591 (66.3) | 28 (82.4) | 299 (57.7) | 16 (69.6) | 129 (49.0) | 5 (50.0) | 51 (47.7) |
| Up to drug treatment | 34 (68.0) | 518 (87.6) | 23 (82.1) | 263 (88.0) | 10 (62.5) | 107 (82.9) | 3 (60.0) | 35 (68.6) |
| Up to death | 16 (32.0) | 73 (12.4) | 5 (17.9) | 36 (12.0) | 6 (37.5) | 22 (17.1) | 2 (40.0) | 16 (31.4) |
| Loss to follow-up | 22 (30.6) | 301 (33.7) | 6 (17.6) | 219 (42.3) | 7 (30.4) | 134 (51.0) | 5 (50.0) | 56 (52.3) |
| Survival time of PFS from the start of LOT, months, median (P25–P75) | 9.7 (4.4–18.9) | 10.0 (5.6–23.4) *,† | 6.6 (3.7–29.1) | 10.5 (3.4–39.6) *,‡ | 9.6 (5.3–14.3) | 15.1 (5.6–50.5) *,§ | 13.3 (4.6–na) ¶ | 19.2 (4.1–54.2) *,II |
Disclaimer/Publisher’s Note: The statements, opinions and data contained in all publications are solely those of the individual author(s) and contributor(s) and not of MDPI and/or the editor(s). MDPI and/or the editor(s) disclaim responsibility for any injury to people or property resulting from any ideas, methods, instructions or products referred to in the content. |
© 2025 by the authors. Licensee MDPI, Basel, Switzerland. This article is an open access article distributed under the terms and conditions of the Creative Commons Attribution (CC BY) license.
Share and Cite
Hungria, V.; Maiolino, A.; Pessoa de Magalhães, R.J., Filho; Pitombeira de Lacerda, M.; Remaggi, G.; Scibona, P.; Seehaus, C.; Brulc, E.; Savoy, N.; Fantl, D.; et al. Emerging Real-World Treatment Patterns and Clinical Outcomes of Multiple Myeloma in Argentina and Brazil: Insights from the TOTEMM Study in the Private Healthcare Sector. Curr. Oncol. 2026, 33, 16. https://doi.org/10.3390/curroncol33010016
Hungria V, Maiolino A, Pessoa de Magalhães RJ Filho, Pitombeira de Lacerda M, Remaggi G, Scibona P, Seehaus C, Brulc E, Savoy N, Fantl D, et al. Emerging Real-World Treatment Patterns and Clinical Outcomes of Multiple Myeloma in Argentina and Brazil: Insights from the TOTEMM Study in the Private Healthcare Sector. Current Oncology. 2026; 33(1):16. https://doi.org/10.3390/curroncol33010016
Chicago/Turabian StyleHungria, Vania, Angelo Maiolino, Roberto Jose Pessoa de Magalhães, Filho, Marcelo Pitombeira de Lacerda, Guillermina Remaggi, Paula Scibona, Cristian Seehaus, Erika Brulc, Nadia Savoy, Dorotea Fantl, and et al. 2026. "Emerging Real-World Treatment Patterns and Clinical Outcomes of Multiple Myeloma in Argentina and Brazil: Insights from the TOTEMM Study in the Private Healthcare Sector" Current Oncology 33, no. 1: 16. https://doi.org/10.3390/curroncol33010016
APA StyleHungria, V., Maiolino, A., Pessoa de Magalhães, R. J., Filho, Pitombeira de Lacerda, M., Remaggi, G., Scibona, P., Seehaus, C., Brulc, E., Savoy, N., Fantl, D., Soares, C., Abreu, G., Queiroz, J., Bernardino, G., Tanaka, S., Carrizo, M., Simonovich, V. A., Bertoldo Teixeira Fernandes, T., & Aggarwal, B. (2026). Emerging Real-World Treatment Patterns and Clinical Outcomes of Multiple Myeloma in Argentina and Brazil: Insights from the TOTEMM Study in the Private Healthcare Sector. Current Oncology, 33(1), 16. https://doi.org/10.3390/curroncol33010016

