Efficacy and Safety of Perioperative Immunotherapy for Patients with Non-Small Cell Lung Cancer: A Systematic Review and Network Meta-Analysis
Abstract
1. Introduction
2. Methods
2.1. Search Strategies
2.2. Inclusion and Exclusion Criteria
2.3. Data Extraction
2.4. Quality Assessment
2.5. Statistical Analysis
3. Results
3.1. Included Studies
3.2. Network Meta-Analysis
3.2.1. Comparison of MPR and pCR
3.2.2. Comparison of EFS
3.2.3. Comparison of OS
3.2.4. Comparison of AEs and TRAEs
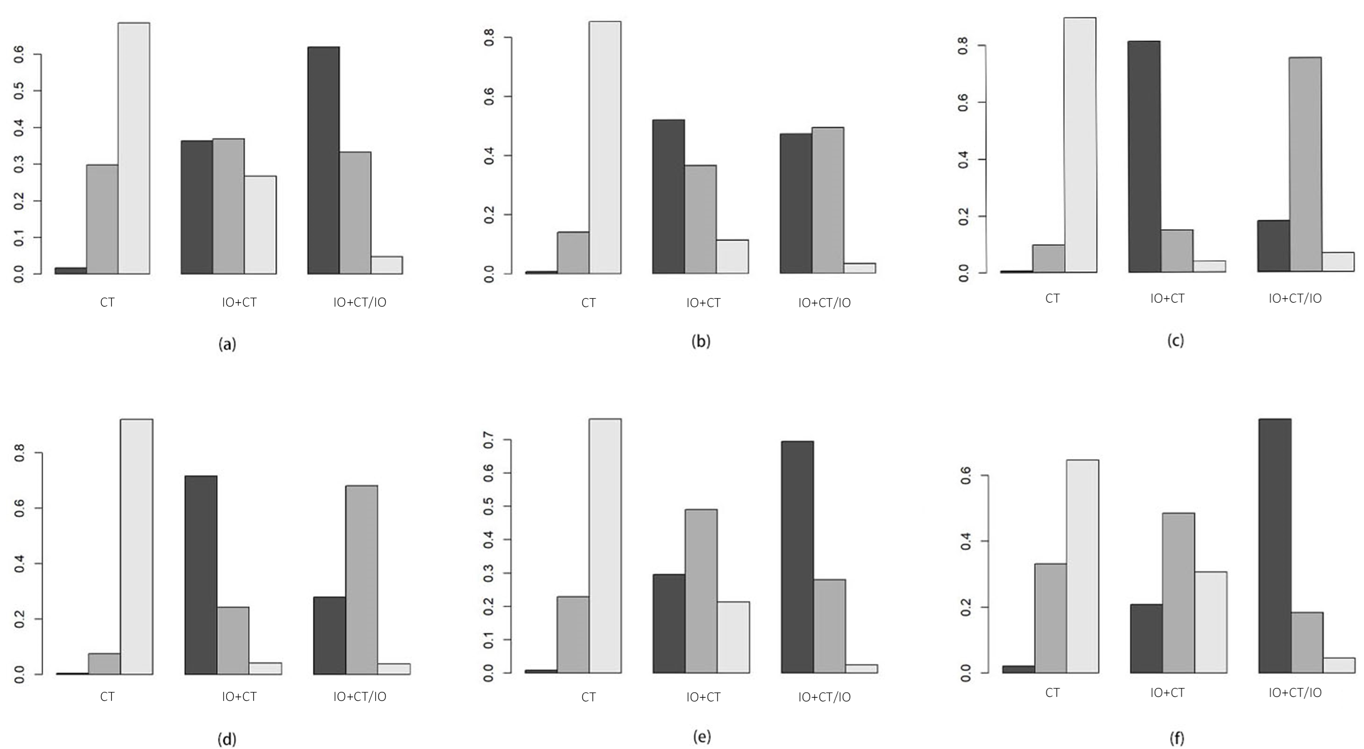
3.3. Subgroup Analysis of EFS
3.3.1. PD-L1 Expression (<1%, 1–49%, ≥50%)
3.3.2. Histological Type (Non-Squamous/Squamous)
3.3.3. Reached pCR or Not (pCR/Non-pCR)
3.3.4. Others
4. Discussion
5. Conclusions
Supplementary Materials
Author Contributions
Funding
Institutional Review Board Statement
Informed Consent Statement
Data Availability Statement
Conflicts of Interest
References
- Siegel, R.L.; Miller, K.D.; Fuchs, H.E.; Jemal, A. Cancer statistics. CA Cancer J. Clin. 2022, 72, 7–33. [Google Scholar] [CrossRef] [PubMed]
- Qiu, H.; Cao, S.; Xu, R. Cancer incidence, mortality, and burden in China: A time-trend analysis and comparison with the United States and United Kingdom based on the global epidemiological data released in 2020. Cancer Commun. 2021, 41, 1037–1048. [Google Scholar] [CrossRef]
- Aupérin, A.; Le Péchoux, C.; Rolland, E.; Curran, W.J.; Furuse, K.; Fournel, P.; Belderbos, J.; Clamon, G.; Ulutin, H.C.; Paulus, R.; et al. Meta-Analysis of Concomitant Versus Sequential Radiochemotherapy in Locally Advanced Non–Small-Cell Lung Cancer. J. Clin. Oncol. 2010, 28, 2181–2190. [Google Scholar] [CrossRef]
- Mountzios, G.; Remon, J.; Hendriks, L.E.L.; García-Campelo, R.; Rolfo, C.; Van Schil, P.; Forde, P.M.; Besse, B.; Subbiah, V.; Reck, M.; et al. Immune-checkpoint inhibition for resectable non-small-cell lung cancer—Opportunities and challenges. Nat. Rev. Clin. Oncol. 2023, 20, 664–677. [Google Scholar] [CrossRef]
- Friedlaender, A.; Naidoo, J.; Banna, G.L.; Metro, G.; Forde, P.; Addeo, A. Role and impact of immune checkpoint inhibitors in neoadjuvant treatment for NSCLC. Cancer Treat. Rev. 2022, 104, 102350. [Google Scholar] [CrossRef]
- Rothschild, S.I.; Zippelius, A.; Eboulet, E.I.; Savic Prince, S.; Betticher, D.; Bettini, A.; Früh, M.; Joerger, M.; Lardinois, D.; Gelpke, H.; et al. SAKK 16/14: Durvalumab in Addition to Neoadjuvant Chemotherapy in Patients With Stage IIIA(N2) Non–Small-Cell Lung Cancer—A Multicenter Single-Arm Phase II Trial. J. Clin. Oncol. Off. J. Am. Soc. Clin. Oncol. 2021, 39, 2872–2880. [Google Scholar] [CrossRef]
- Zhang, P.; Dai, J.; Sun, F.; Xia, H.; He, W.; Duan, L.; Liu, M.; Zhao, D.; Zhu, Y.; Jiang, G. Neoadjuvant Sintilimab and Chemotherapy for Resectable Stage IIIA Non-Small Cell Lung Cancer. Ann. Thorac. Surg. 2022, 114, 949–958. [Google Scholar] [CrossRef]
- Shu, C.A.; Gainor, J.F.; Awad, M.M.; Chiuzan, C.; Grigg, C.M.; Pabani, A.; Garofano, R.F.; Stoopler, M.B.; Cheng, S.K.; White, A.; et al. Neoadjuvant atezolizumab and chemotherapy in patients with resectable non-small-cell lung cancer: An open-label, multicentre, single-arm, phase 2 trial. Lancet Oncol. 2020, 21, 786–795. [Google Scholar] [CrossRef] [PubMed]
- Provencio, M.; Nadal, E.; Insa, A.; Campelo, M.R.G.; Pereiro, D.; Domine, M.; Majem, M.; Abreu, D.R.; Martinez-Marti, A.; De Castro, J.; et al. OA20.01 Long Term Survival in Operable Stage Iiia Nsclc Patients Treated With Neoadjuvant Nivolumab Plus Chemotherapy—Nadim Study. J. Thorac. Oncol. 2021, 16, S883. [Google Scholar] [CrossRef]
- Provencio, M.; Nadal, E.; Insa, A.; García-Campelo, M.R.; Casal-Rubio, J.; Dómine, M.; Majem, M.; Rodríguez-Abreu, D.; Martínez-Martí, A.; de Castro Carpeño, J.; et al. Neoadjuvant Chemotherapy and Nivolumab in Resectable Non-small-Cell Lung Cancer (NADIM): An Open-Label, Multicentre, Single-Arm, Phase 2 Trial. Lancet Oncol. 2020, 21, 1413–1422. [Google Scholar] [CrossRef]
- Provencio, M.; Nadal, E.; González-Larriba, J.L.; Martínez-Martí, A.; Bernabé, R.; Bosch-Barrera, J.; Casal-Rubio, J.; Calvo, V.; Insa, A.; Ponce, S.; et al. Perioperative Nivolumab and Chemotherapy in Stage III Non–Small-Cell Lung Cancer. N. Engl. J. Med. 2023, 389, 504–513. [Google Scholar] [CrossRef]
- Provencio-Pulla, M.; Nadal, E.; Larriba, J.L.G.; Martinez-Marti, A.; Bernabe, R.; Bosch-Barrera, J.; Casal, J.; Calvo, V.; Insa, A.; Aix, S.P.; et al. Nivolumab + chemotherapy versus chemotherapy as neoadjuvant treatment for resectable stage IIIA NSCLC: Primary endpoint results of pathological complete response (pCR) from phase II NADIM II trial. J. Clin. Oncol. 2022, 40, 8501. [Google Scholar] [CrossRef]
- Forde, P.M.; Spicer, J.; Lu, S.; Provencio, M.; Mitsudomi, T.; Awad, M.M.; Felip, E.; Broderick, S.R.; Brahmer, J.R.; Swanson, S.J.; et al. Neoadjuvant Nivolumab plus Chemotherapy in Resectable Lung Cancer. N. Engl. J. Med. 2022, 386, 1973–1985. [Google Scholar] [CrossRef] [PubMed]
- Yue, D.; Wang, W.; Liu, H.; Chen, Q.; Chen, C.; Liu, L.; Zhang, P.; Zhao, G.; Yang, F.; Han, G.; et al. Perioperative tislelizumab plus neoadjuvant chemotherapy for patients with resectable non-small-cell lung cancer (RATIONALE-315): An interim analysis of a randomised clinical trial. Lancet Respir. Med. 2024, 13, 119–129. [Google Scholar] [CrossRef]
- Lu, S.; Zhang, W.; Wu, L.; Wang, W.; Zhang, P.; Fang, W.; Xing, W.; Chen, Q.; Yang, L.; Mei, J.; et al. Perioperative Toripalimab Plus Chemotherapy for Patients With Resectable Non–Small Cell Lung Cancer: The Neotorch Randomized Clinical Trial. JAMA 2024, 331, 201–211. [Google Scholar] [CrossRef]
- Cascone, T.; Awad, M.M.; Spicer, J.D.; He, J.; Lu, S.; Sepesi, B.; Tanaka, F.; Taube, J.M.; Cornelissen, R.; Havel, L.; et al. Perioperative Nivolumab in Resectable Lung Cancer. N. Engl. J. Med. 2024, 390, 1756–1769. [Google Scholar] [CrossRef] [PubMed]
- Heymach, J.V.; Harpole, D.; Mitsudomi, T.; Taube, J.M.; Galffy, G.; Hochmair, M.; Winder, T.; Zukov, R.; Garbaos, G.; Gao, S.; et al. Perioperative Durvalumab for Resectable Non–Small-Cell Lung Cancer. N. Engl. J. Med. 2023, 389, 1672–1684. [Google Scholar] [CrossRef]
- Wakelee, H.; Liberman, M.; Kato, T.; Tsuboi, M.; Lee, S.-H.; Gao, S.; Chen, K.-N.; Dooms, C.; Majem, M.; Eigendorff, E.; et al. Perioperative Pembrolizumab for Early-Stage Non–Small-Cell Lung Cancer. N. Engl. J. Med. 2023, 389, 491–503. [Google Scholar] [CrossRef]
- Lei, J.; Zhao, J.; Gong, L.; Ni, Y.; Zhou, Y.; Tian, F.; Liu, H.; Gu, Z.; Huang, L.; Lu, Q.; et al. Neoadjuvant Camrelizumab Plus Platinum-Based Chemotherapy vs Chemotherapy Alone for Chinese Patients With Resectable Stage IIIA or IIIB (T3N2) Non–Small Cell Lung Cancer: The TD-FOREKNOW Randomized Clinical Trial. JAMA Oncol. 2023, 9, 1348–1355. [Google Scholar] [CrossRef] [PubMed]
- Page, M.J.; McKenzie, J.E.; Bossuyt, P.M.; Boutron, I.; Hoffmann, T.C.; Mulrow, C.D.; Shamseer, L.; Tetzlaff, J.M.; Akl, E.A.; Brennan, S.E.; et al. he PRISMA 2020 statement: An updated guideline for reporting systematic reviews. BMJ 2021, 372, 71. [Google Scholar] [CrossRef] [PubMed]
- Sterne, J.A.C.; Savović, J.; Page, M.J.; Elbers, R.G.; Blencowe, N.S.; Boutron, I.; Cates, C.J.; Cheng, H.Y.; Corbett, M.S.; Eldridge, S.M.; et al. RoB 2: A revised tool for assessing risk of bias in randomised trials. BMJ 2019, 366, l4898. [Google Scholar] [CrossRef]
- Cumpston, M.; Li, T.; Page, M.J.; Chandler, J.; Welch, V.A.; Higgins, J.P.; Thomas, J. Updated guidance for trusted systematic reviews: A new edition of the Cochrane Handbook for Systematic Reviews of Interventions. Cochrane Database Syst. Rev. 2019, 10, ED000142. [Google Scholar] [CrossRef] [PubMed]
- Chen, T.; Cao, Z.; Sun, Y.; Huang, J.; Shen, S.; Jin, Y.; Jiang, L.; Wen, F.; Zhao, X.; Zhang, D.; et al. Neoadjuvant Chemoimmunotherapy Increases Tumor Immune Lymphocytes Infiltration in Resectable Non-small Cell Lung Cancer. Ann. Surg. Oncol. 2023, 30, 7549–7560. [Google Scholar] [CrossRef]
- Hellmann, M.D.; Ciuleanu, T.-E.; Pluzanski, A.; Lee, J.S.; Otterson, G.A.; Audigier-Valette, C.; Minenza, E.; Linardou, H.; Burgers, S.; Salman, P.; et al. Nivolumab plus Ipilimumab in Lung Cancer with a High Tumor Mutational Burden. N. Engl. J. Med. 2018, 378, 2093–2104. [Google Scholar] [CrossRef]
- Antonia, S.J.; Villegas, A.; Daniel, D.; Vicente, D.; Murakami, S.; Hui, R.; Yokoi, T.; Chiappori, A.; Lee, K.H.; De Wit, M.; et al. Durvalumab after Chemoradiotherapy in Stage III Non-Small-Cell Lung Cancer. N. Engl. J. Med. 2017, 377, 1919–1929. [Google Scholar] [CrossRef] [PubMed]
- Nuccio, A.; Viscardi, G.; Salomone, F.; Servetto, A.; Venanzi, F.M.; Riva, S.T.; Oresti, S.; Ogliari, F.R.; Viganò, M.; Bulotta, A.; et al. Systematic review and meta-analysis of immune checkpoint inhibitors as single agent or in combination with chemotherapy in early-stage non-small cell lung cancer: Impact of clinicopathological factors and indirect comparison between treatment strategies. Eur. J. Cancer 2023, 195, 113404. [Google Scholar] [CrossRef] [PubMed]





| Trial | Author, Year | Phase | NCT | Clinical Stage | No. of Patients | Neoadjuvant | No. of Cycles | Adjuvant | No. of Cycles | Endpoint(s) | Median Follow-Up Time (Months) | Immunotherapy Agent |
|---|---|---|---|---|---|---|---|---|---|---|---|---|
| NADIM II | Provencio, 2023; Provencio, 2022 | II, 2:1; Open-label | NCT03838159 | IIIA-IIIB ** | 57 | CT + nivo | 3 | nivo | 6 | MPR, pCR, OS, AEs, TRAEs | 26.1 (17.4–30.9) | IO + CT/IO vs. CT |
| 29 | CT | 3 | ||||||||||
| RATIONALE-315 | Yue, 2023 | III, 1:1 | NCT04379635 | II-IIIA ** | 226 | CT + tis | 3 or 4 | tis | 8 | MPR, pCR | 16.8 | IO + CT/IO vs. CT |
| 227 | CT + pbo | 3 or 4 | pbo | 8 | ||||||||
| NEOTORCH | Lu, 2023 | III, 1:1 | NCT04158440 | II-IIA-IIIB ** | 202 | CT + tori | 3 | tori | 13 | MPR, pCR, EFS, OS | 18.3 | IO + CT/IO vs. CT |
| 202 | CT + pbo | 3 | pbo | 13 | ||||||||
| CheckMate 77T | Cascone, 2023 | III, 1:1 | NCT04025879 | II-IIIB ** | 229 | CT + nivo | 4 | nivo | 1y | MPR, pCR, EFS, AEs | 15.7 | IO + CT/IO vs. CT |
| 232 | CT + pbo | 4 | pbo | 1y | ||||||||
| AEGEAN | Heymach, 2023 | III, 1:1 | NCT03800134 | IIA-IIIB ** | 400 | CT + durva | 4 | durva | 12 | MPR, pCR, EFS, AEs, TRAEs | 11.7 (0.0–46.1) | IO + CT/IO vs. CT |
| 402 | CT + pbo | 4 | pbo | 12 | ||||||||
| KEYNOTE-671 | Wakelee, 2023 | III, 1:1 | NCT03425643 | IIA-IIIB ** | 397 | CT + pembro | 4 | pembro | 13 | MPR, pCR, EFS, OS, TRAEs | 25.2 (7.5–50.6) | IO + CT/IO vs. CT |
| 400 | CT + pbo | 4 | pbo | 13 | ||||||||
| TD-FOREKNOW | Lei, 2023 | II, 1:1, Open-label | NCT04338620 | IIIA-IIIB [T3N2M0] ** | 43 | CT + cam | 3 | MPR, pCR, EFS, TRAEs | 14.1 (9.2–20.9) | IO + CT vs. CT | ||
| 45 | CT | 3 | ||||||||||
| CheckMate 816 | Forde, 2022; Forde, 2023 | III, 1:1, Open-label | NCT02998528 | IB-IIIA * | 179 | CT + nivo | 3 | CT/RT/CT + RT | MPR, pCR, EFS, OS, AEs, TRAEs | 21.0 | IO + CT vs. CT | |
| 179 | CT | 3 |
Disclaimer/Publisher’s Note: The statements, opinions and data contained in all publications are solely those of the individual author(s) and contributor(s) and not of MDPI and/or the editor(s). MDPI and/or the editor(s) disclaim responsibility for any injury to people or property resulting from any ideas, methods, instructions or products referred to in the content. |
© 2025 by the authors. Licensee MDPI, Basel, Switzerland. This article is an open access article distributed under the terms and conditions of the Creative Commons Attribution (CC BY) license (https://creativecommons.org/licenses/by/4.0/).
Share and Cite
Du, Z.; Chen, S.; Qin, Y.; Lv, Y.; Du, X.; Yu, H.; Liu, Z. Efficacy and Safety of Perioperative Immunotherapy for Patients with Non-Small Cell Lung Cancer: A Systematic Review and Network Meta-Analysis. Curr. Oncol. 2025, 32, 184. https://doi.org/10.3390/curroncol32030184
Du Z, Chen S, Qin Y, Lv Y, Du X, Yu H, Liu Z. Efficacy and Safety of Perioperative Immunotherapy for Patients with Non-Small Cell Lung Cancer: A Systematic Review and Network Meta-Analysis. Current Oncology. 2025; 32(3):184. https://doi.org/10.3390/curroncol32030184
Chicago/Turabian StyleDu, Zhijuan, Siyuan Chen, Yuhui Qin, Yahui Lv, Xiangyu Du, Heying Yu, and Zhefeng Liu. 2025. "Efficacy and Safety of Perioperative Immunotherapy for Patients with Non-Small Cell Lung Cancer: A Systematic Review and Network Meta-Analysis" Current Oncology 32, no. 3: 184. https://doi.org/10.3390/curroncol32030184
APA StyleDu, Z., Chen, S., Qin, Y., Lv, Y., Du, X., Yu, H., & Liu, Z. (2025). Efficacy and Safety of Perioperative Immunotherapy for Patients with Non-Small Cell Lung Cancer: A Systematic Review and Network Meta-Analysis. Current Oncology, 32(3), 184. https://doi.org/10.3390/curroncol32030184

