Impact of Location of Residence and Distance to Cancer Centre on Medical Oncology Consultation and Neoadjuvant Chemotherapy for Triple-Negative and HER2-Positive Breast Cancer †
Abstract
1. Introduction
2. Materials and Methods
2.1. Study Design and Setting
2.2. Study Population and Cohort
2.3. Data Sources
2.4. Exposure
2.5. Outcomes
2.6. Covariates
2.7. Analysis
3. Results
3.1. Cohort Description
3.2. Mapping Analysis
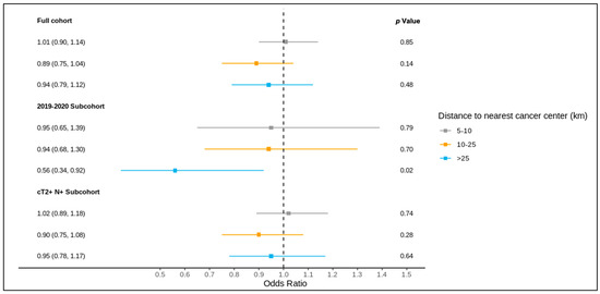
3.3. Association between Distance and Outcomes for Full Cohort
3.4. Sub-Group Analysis: Diagnosis over 2019–2020
3.5. Sub-Group Analysis: NAC-Eligible
4. Discussion
5. Conclusions
Supplementary Materials
Author Contributions
Funding
Institutional Review Board Statement
Informed Consent Statement
Data Availability Statement
Acknowledgments
Conflicts of Interest
Abbreviations
References
- World Health Organization. Global Breast Cancer Initiative Implementation Framework: Assessing, Strengthening and Scaling-Up of Services for the Early Detection and Management of Breast Cancer; World Health Organization: Geneva, Switzerland, 2023. [Google Scholar]
- Roberts, A.; Hallet, J.; Nguyen, L.; Coburn, N.; Wright, F.C.; Gandhi, S.; Jerzak, K.; Eisen, A.; Look Hong, N.J. Neoadjuvant Chemotherapy for Triple-Negative and Her2 +ve Breast Cancer: Striving for the Standard of Care. Breast Cancer Res. Treat. 2024, 206, 227–244. [Google Scholar] [CrossRef] [PubMed]
- National Institute for Health and Care Excellence. Early and Locally Advanced Breast Cancer: Diagnosis and Management; National Institute for Health and Care Excellence: London, UK, 2018. [Google Scholar]
- Cardoso, F.; Kyriakides, S.; Ohno, S.; Penault-Llorca, F.; Poortmans, P.; Rubio, I.T.; Zackrisson, S.; Senkus, E. Early breast cancer: ESMO Clinical Practice Guidelines for Diagnosis, Treatment and Follow-Up. Ann. Oncol. 2019, 30, 1194–1220. [Google Scholar] [CrossRef]
- Korde, L.A.; Somer, M.R.; Hwang, E.S.; Khan, S.A.; Loibl, S.; Morris, E.A.; Perez, A.; Regan, M.M.; Spears, P.A.; Sudheendra, P.K.; et al. Neoadjuvant Chemotherapy, Endocrine Therapy, and Targeted Therapy for Breast Cancer: ASCO Guideline. J. Clin. Oncol. 2021, 39, 1485–1505. [Google Scholar] [CrossRef]
- Gandhi, S.; Brackstone, M.; Hong, N.J.L.; Grenier, D.; Donovan, E.; Lu, F.-I.; Skarpathiotakis, M.; Lee, J.; Boileau, J.-F.; Perera, F.; et al. A Canadian National Guideline on the Neoadjuvant Treatment of Invasive Breast Cancer, Including Patient Assessment, Systemic Therapy, and Local Management Principles. Breast Cancer Res. Treat. 2022, 193, 1–20. [Google Scholar] [CrossRef] [PubMed]
- Haque, W.; Verma, V.; Hatch, S.; Suzanne Klimberg, V.; Brian Butler, E.; Teh, B.S. Response Rates and Pathologic Complete Response by Breast Cancer Molecular Subtype Following Neoadjuvant Chemotherapy. Breast Cancer Res. Treat. 2018, 170, 559–567. [Google Scholar] [CrossRef] [PubMed]
- Von Minckwitz, G.; Untch, M.; Blohmer, J.-U.; Costa, S.D.; Eidtmann, H.; Fasching, P.A.; Gerber, B.; Eiermann, W.; Hilfrich, J.; Huober, J.; et al. Definition and Impact of Pathologic Complete Response on Prognosis After Neoadjuvant Chemotherapy in Various Intrinsic Breast Cancer Subtypes. J. Clin. Oncol. 2012, 30, 1796–1804. [Google Scholar] [CrossRef] [PubMed]
- Masuda, N.; Lee, S.-J.; Ohtani, S.; Im, Y.-H.; Lee, E.-S.; Yokota, I.; Kuroi, K.; Im, S.-A.; Park, B.-W.; Kim, S.-B.; et al. Adjuvant Capecitabine for Breast Cancer after Preoperative Chemotherapy. N. Engl. J. Med. 2017, 376, 2147–2159. [Google Scholar] [CrossRef]
- Von Minckwitz, G.; Huang, C.-S.; Mano, M.S.; Loibl, S.; Mamounas, E.P.; Untch, M.; Wolmark, N.; Rastogi, P.; Schneeweiss, A.; Redondo, A.; et al. Trastuzumab Emtansine for Residual Invasive HER2-Positive Breast Cancer. N. Engl. J. Med. 2019, 380, 617–628. [Google Scholar] [CrossRef]
- Boughey, J.C. Sentinel Lymph Node Surgery After Neoadjuvant Chemotherapy in Patients with Node-Positive Breast Cancer: The ACOSOG Z1071 (Alliance) Clinical Trial. JAMA 2013, 310, 1455. [Google Scholar] [CrossRef] [PubMed]
- Boileau, J.-F.; Poirier, B.; Basik, M.; Holloway, C.M.B.; Gaboury, L.; Sideris, L.; Meterissian, S.; Arnaout, A.; Brackstone, M.; McCready, D.R.; et al. Sentinel Node Biopsy After Neoadjuvant Chemotherapy in Biopsy-Proven Node-Positive Breast Cancer: The SN FNAC Study. J. Clin. Oncol. 2015, 33, 258–264. [Google Scholar] [CrossRef]
- Wolmark, N.; Wang, J.; Mamounas, E.; Bryant, J.; Fisher, B. Preoperative Chemotherapy in Patients with Operable Breast Cancer: Nine-Year Results From National Surgical Adjuvant Breast and Bowel Project B-18. JNCI Monogr. 2001, 2001, 96–102. [Google Scholar] [CrossRef] [PubMed]
- Sinding, C.; Warren, R.; Fitzpatrick-Lewis, D.; Sussman, J. Research in Cancer Care Disparities in Countries with Universal Healthcare: Mapping the Field and Its Conceptual Contours. Support. Care Cancer 2014, 22, 3101–3120. [Google Scholar] [CrossRef] [PubMed]
- O’Connor, S.C.; Mogal, H.; Russell, G.; Ethun, C.; Fields, R.C.; Jin, L.; Hatzaras, I.; Vitiello, G.; Idrees, K.; Isom, C.A.; et al. The Effects of Travel Burden on Outcomes After Resection of Extrahepatic Biliary Malignancies: Results from the US Extrahepatic Biliary Consortium. J. Gastrointest. Surg. 2017, 21, 2016–2024. [Google Scholar] [CrossRef] [PubMed]
- Raphael, M.J.; Siemens, D.R.; Booth, C.M. Would Regionalization of Systemic Cancer Therapy Improve the Quality of Cancer Care? J. Oncol. Pract. 2019, 15, 349–356. [Google Scholar] [CrossRef]
- Lin, C.C.; Bruinooge, S.S.; Kirkwood, M.K.; Olsen, C.; Jemal, A.; Bajorin, D.; Giordano, S.H.; Goldstein, M.; Guadagnolo, B.A.; Kosty, M.; et al. Association between Geographic Access to Cancer Care, Insurance, and Receipt of Chemotherapy: Geographic Distribution of Oncologists and Travel Distance. J. Clin. Oncol. 2015, 33, 3177–3185. [Google Scholar] [CrossRef] [PubMed]
- Latchana, N.; Davis, L.; Coburn, N.G.; Mahar, A.; Liu, Y.; Hammad, A.; Kagedan, D.; Elmi, M.; Siddiqui, M.; Earle, C.C.; et al. Population-Based Study of the Impact of Surgical and Adjuvant Therapy at the Same or a Different Institution on Survival of Patients with Pancreatic Adenocarcinoma: Effect of Location of Surgical and Adjuvant Therapy on Survival in Pancreatic Adenocarcinoma. BJS Open 2019, 3, 85–94. [Google Scholar] [CrossRef] [PubMed]
- Camacho, F.T.; Tan, X.; Alcalá, H.E.; Shah, S.; Anderson, R.T.; Balkrishnan, R. Impact of Patient Race and Geographical Factors on Initiation and Adherence to Adjuvant Endocrine Therapy in Medicare Breast Cancer Survivors. Medicine 2017, 96, e7147. [Google Scholar] [CrossRef]
- Griggs, J.J.; Culakova, E.; Sorbero, M.E.S.; Van Ryn, M.; Poniewierski, M.S.; Wolff, D.A.; Crawford, J.; Dale, D.C.; Lyman, G.H. Effect of Patient Socioeconomic Status and Body Mass Index on the Quality of Breast Cancer Adjuvant Chemotherapy. J. Clin. Oncol. 2007, 25, 277–284. [Google Scholar] [CrossRef] [PubMed]
- Seneviratne, S.; Campbell, I.; Scott, N.; Lawrenson, R. A Cohort Study of Ethnic Differences in Use of Adjuvant Chemotherapy and Radiation Therapy for Breast Cancer in New Zealand. BMC Health Serv. Res. 2017, 17, 64. [Google Scholar] [CrossRef]
- Canada Health Act. Available online: https://www.canada.ca/en/health-canada/services/health-care-system/canada-health-care-system-medicare/canada-health-act.html (accessed on 21 August 2019).
- Benchimol, E.I.; Smeeth, L.; Guttmann, A.; Harron, K.; Moher, D.; Petersen, I.; Sørensen, H.T.; Von Elm, E.; Langan, S.M. RECORD Working Committee The REporting of Studies Conducted Using Observational Routinely-Collected Health Data (RECORD) Statement. PLoS Med. 2015, 12, e1001885. [Google Scholar] [CrossRef] [PubMed]
- Yee, E.K.; Coburn, N.G.; Davis, L.E.; Mahar, A.L.; Zuk, V.; Gupta, V.; Liu, Y.; Earle, C.C.; Hallet, J. Impact of Geography on Care Delivery and Survival for Noncurable Pancreatic Adenocarcinoma: A Population-Based Analysis. J. Natl. Compr. Canc. Netw. 2020, 18, 1642–1650. [Google Scholar] [CrossRef]
- Yee, E.K.; Coburn, N.G.; Zuk, V.; Davis, L.E.; Mahar, A.L.; Liu, Y.; Gupta, V.; Darling, G.; Hallet, J. Geographic Impact on Access to Care and Survival for Non-Curative Esophagogastric Cancer: A Population-Based Study. Gastric Cancer 2021, 24, 790–799. [Google Scholar] [CrossRef]
- Iron, K.; Zagorski, B.M.; Sykora, K.; Manuel, D.G. Living and Dying in Ontario: An Opportunity for Improved Health Information; Institute for Clinical Evaluative Sciences: Toronto, ON, Canada, 2008; p. 38. [Google Scholar]
- Juurlink, D.; Preyra, C.; Croxford, R.; Chong, A.; Austin, P.; Tu, J.; Laupacis, A. Canadian Institute for Health Information Discharge Abstract Database: A Validation Study; Institute for Clinical Evaluative Sciences: Toronto, ON, Canada, 2006. [Google Scholar]
- Government of Canada. Statistics Canada. Census Divisions. Available online: https://www12.statcan.gc.ca/census-recensement/2016/dp-pd/hlt-fst/imm/GeoSelect-eng.cfm?Lang=E&T=23 (accessed on 21 August 2019).
- Government of Canada. Statistics Canada. 2016 Census Boundary Files. Available online: https://www12.statcan.gc.ca/census-recensement/2011/geo/bound-limit/bound-limit-2016-eng.cfm (accessed on 21 August 2019).
- Government of Canada. Statistics Canada. Postal Code OM Conversion File. Available online: https://www150.statcan.gc.ca/n1/en/catalogue/92-154-X (accessed on 21 August 2019).
- Cancer Care Ontario. 2014–2019 Systemic Treatment Provincial Plan; Cancer Care Ontario: Toronto, ON, Canada, 2014. [Google Scholar]
- Paszat, L.F.; Mackillop, W.J.; Groome, P.A.; Zhang-Salomons, J.; Schulze, K.; Holowaty, E. Radiotherapy for Breast Cancer in Ontario: Rate Variation Associated with Region, Age and Income. Clin. Investig. Med. 1998, 21, 125–134. [Google Scholar]
- Kim, Y.-E.; Gatrell, A.C.; Francis, B.J. The Geography of Survival after Surgery for Colo-Rectal Cancer in Southern England. Soc. Sci. Med. 2000, 50, 1099–1107. [Google Scholar] [CrossRef]
- Johnston, G.M.; Boyd, C.J.; Joseph, P.; MacIntyre, M. Variation in Delivery of Palliative Radiotherapy to Persons Dying of Cancer in Nova Scotia, 1994 to 1998. J. Clin. Oncol. 2001, 19, 3323–3332. [Google Scholar] [CrossRef]
- Townsley, C.; Pond, G.R.; Peloza, B.; Kok, J.; Naidoo, K.; Dale, D.; Herbert, C.; Holowaty, E.; Straus, S.; Siu, L.L. Analysis of Treatment Practices for Elderly Cancer Patients in Ontario, Canada. J. Clin. Oncol. 2005, 23, 3802–3810. [Google Scholar] [CrossRef]
- Groome, P.A.; Schulze, K.M.; Keller, S.; Mackillop, W.J. Demographic Differences between Cancer Survivors and Those Who Die Quickly of Their Disease. Clin. Oncol. 2008, 20, 647–656. [Google Scholar] [CrossRef]
- Alvino, D.M.L.; Chang, D.C.; Adler, J.T.; Noorbakhsh, A.; Jin, G.; Mullen, J.T. How Far Are Patients Willing to Travel for Gastrectomy? Ann. Surg. 2017, 265, 1172–1177. [Google Scholar] [CrossRef]
- Fong, Z.V.; Loehrer, A.P.; Fernández-del Castillo, C.; Bababekov, Y.J.; Jin, G.; Ferrone, C.R.; Warshaw, A.L.; Traeger, L.N.; Hutter, M.M.; Lillemoe, K.D.; et al. Potential Impact of a Volume Pledge on Spatial Access: A Population-Level Analysis of Patients Undergoing Pancreatectomy. Surgery 2017, 162, 203–210. [Google Scholar] [CrossRef] [PubMed]
- Helwick, C. KATHERINE Trial—The ASCO Post. Available online: https://ascopost.com/issues/december-25-2018/katherine-trial/ (accessed on 24 July 2023).
- Helwick, C. Patients with Incomplete Response to Neoadjuvant Chemotherapy Benefit from Capecitabine—The ASCO Post. Available online: https://ascopost.com/issues/december-25-2015/patients-with-incomplete-response-to-neoadjuvant-chemotherapy-benefit-from-capecitabine/ (accessed on 24 July 2023).
- Elixhauser, A.; Steiner, C.; Harris, D.R.; Coffey, R.M. Comorbidity Measures for Use with Administrative Data. Med. Care 1998, 36, 8–27. [Google Scholar] [CrossRef]
- Gutacker, N.; Bloor, K.; Cookson, R. Comparing the Performance of the Charlson/Deyo and Elixhauser Comorbidity Measures Across Five European Countries and Three Conditions. Eur. J. Public Health 2015, 25, 15–20. [Google Scholar] [CrossRef] [PubMed]
- Matheson, F.I.; Moloney, G.; Van Ingen, T. 2016 Ontario Marginalization Index User Guide; Public Health Ontario: Toronto, ON, Canada, 2018. [Google Scholar]
- Matheson, F.I.; Dunn, J.R.; Smith, K.L.; Moineddin, R.; Glazier, R.H. Development of the Canadian Marginalization Index: A New Tool for the Study of Inequality. Can. J. Public Health 2012, 103, S12–S16. [Google Scholar] [CrossRef] [PubMed]
- Fisher, S.; Yasui, Y.; Dabbs, K.; Winget, M. Re-Excision and Survival Following Breast Conserving Surgery in Early Stage Breast Cancer Patients: A Population-Based Study. BMC Health Serv. Res. 2018, 18, 94. [Google Scholar] [CrossRef]
- Franc, B.L.; Copeland, T.P.; Thombley, R.; Park, M.; Marafino, B.; Dean, M.; Boscardin, W.J.; Rugo, H.S.; Dudley, R.A. Geographic and Patient Characteristics Associated with Election of Prophylactic Mastectomy in Young Breast Cancer Patients with Early Disease. Am. J. Clin. Oncol. 2018, 41, 1037–1042. [Google Scholar] [CrossRef]
- Caswell-Jin, J.L.; Callahan, A.; Purington, N.; Han, S.S.; Itakura, H.; John, E.M.; Blayney, D.W.; Sledge, G.W.; Shah, N.H.; Kurian, A.W. Treatment and Monitoring Variability in US Metastatic Breast Cancer Care. JCO Clin. Cancer Inform. 2021, 5, 600–614. [Google Scholar] [CrossRef]
- Franc, B.L.; Copeland, T.P.; Thombley, R.; Park, M.; Marafino, B.; Dean, M.L.; Boscardin, W.J.; Rugo, H.S.; Seidenwurm, D.; Sharma, B.; et al. Geographic Variation in Postoperative Imaging for Low-Risk Breast Cancer. J. Natl. Compr. Canc. Netw. 2018, 16, 829–837. [Google Scholar] [CrossRef] [PubMed]
- Sun, L.; Cromwell, D.; Dodwell, D.; Horgan, K.; Gannon, M.R.; Medina, J.; Pennington, M.; Legood, R.; dos-Santos-Silva, I.; Sadique, Z. Costs of Early Invasive Breast Cancer in England Using National Patient-Level Data. Value Health 2020, 23, 1316–1323. [Google Scholar] [CrossRef] [PubMed]
- Malmgren, J.A.; Calip, G.S.; Atwood, M.K.; Mayer, M.; Kaplan, H.G. Metastatic Breast Cancer Survival Improvement Restricted by Regional Disparity: Surveillance, Epidemiology, and End Results and Institutional Analysis: 1990 to 2011. Cancer 2020, 126, 390–399. [Google Scholar] [CrossRef] [PubMed]
- Matsumoto, H.H.; Ogiya, R.; Matsuda, S. Association between Variations in the Number of Hospital Beds and Inpatient Chemo/Radiotherapy for Breast Cancer: A study Using a Large Claim Database. Acta Oncol. 2020, 59, 1072–1078. [Google Scholar] [CrossRef]
- Habbous, S.; Tai, X.; Beca, J.M.; Arias, J.; Raphael, M.J.; Parmar, A.; Crespo, A.; Cheung, M.C.; Eisen, A.; Eskander, A.; et al. Comparison of Use of Neoadjuvant Systemic Treatment for Breast Cancer and Short-term Outcomes Before vs During the COVID-19 Era in Ontario, Canada. JAMA Netw. Open 2022, 5, e2225118. [Google Scholar] [CrossRef]
- Bandera, B.C.; Voci, A.; Nelson, D.W.; Stern, S.; Barrak, D.; Fischer, T.D.; DiNome, M.L.; Goldfarb, M. Disparities in Risk Reduction Therapy Recommendations for Young Women with Lobular Carcinoma In-Situ. Clin. Breast Cancer 2020, 20, e397–e402. [Google Scholar] [CrossRef] [PubMed]
- Tang, M.; Schaffer, A.L.; Kiely, B.E.; Daniels, B.; Lee, C.K.; Simes, R.J.; Pearson, S.-A. Cardiac Assessment in Australian Patients Receiving (neo)Adjuvant Trastuzumab for HER2-Positive Early Breast Cancer: A Population-Based Study. Breast Cancer Res. Treat. 2021, 187, 893–902. [Google Scholar] [CrossRef] [PubMed]
- Regan, M.M.; Pagani, O.; Walley, B.; Torrisi, R.; Perez, E.A.; Francis, P.; Fleming, G.F.; Price, K.N.; Thürlimann, B.; Maibach, R.; et al. Premenopausal Endocrine-Responsive Early Breast Cancer: Who Receives Chemotherapy? Ann. Oncol. 2008, 19, 1231–1241. [Google Scholar] [CrossRef] [PubMed]
- Zhou, C.; He, J.J.; Li, J.; Fan, J.H.; Zhang, B.; Yang, H.J.; Xie, X.M.; Tang, Z.H.; Li, H.; Li, J.Y.; et al. A Nation-Wide Multicenter 10-Year (1999–2008) Retrospective Clinical Study of Endocrine Therapy for Chinese Females with Breast Cancer. PLoS ONE 2014, 9, e100159. [Google Scholar] [CrossRef] [PubMed]
- Knapp, G.C.; Tansley, G.; Olasehinde, O.; Wuraola, F.; Adisa, A.; Arowolo, O.; Olawole, M.O.; Romanoff, A.M.; Quan, M.L.; Bouchard-Fortier, A.; et al. Geospatial Access Predicts Cancer Stage at Presentation and Outcomes for Patients with Breast Cancer in Southwest Nigeria: A Population-based Study. Cancer 2021, 127, 1432–1438. [Google Scholar] [CrossRef] [PubMed]
- Abraham, J. Highlights from the 2023 San Antonio Breast Cancer Symposium—The ASCO Post. Available online: https://ascopost.com/issues/digital-supplement-sabcs-meeting-highlights-2023/highlights-from-the-2023-san-antonio-breast-cancer-symposium/ (accessed on 31 March 2024).
- Lamont, E.B.; Hayreh, D.; Pickett, K.E.; Dignam, J.J.; List, M.A.; Stenson, K.M.; Haraf, D.J.; Brockstein, B.E.; Sellergren, S.A.; Vokes, E.E. Is Patient Travel Distance Associated with Survival on Phase II Clinical Trials in Oncology? JNCI J. Natl. Cancer Inst. 2003, 95, 1370–1375. [Google Scholar] [CrossRef] [PubMed]
- Ahmed, S.; Shahid, R.K. Disparity in Cancer Care: A Canadian Perspective. Curr. Oncol. 2012, 19, 376–382. [Google Scholar] [CrossRef] [PubMed]
- Baldwin, L.-M.; Cai, Y.; Larson, E.H.; Dobie, S.A.; Wright, G.E.; Goodman, D.C.; Matthews, B.; Hart, L.G. Access to Cancer Services for Rural Colorectal Cancer Patients. J. Rural Health 2008, 24, 390–399. [Google Scholar] [CrossRef]
- Murage, P.; Murchie, P.; Bachmann, M.; Crawford, M.; Jones, A. Impact of Travel Time and Rurality on Presentation and Outcomes of Symptomatic Colorectal Cancer: A Cross-Sectional Cohort Study in Primary Care. Br. J. Gen. Pract. 2017, 67, e460–e466. [Google Scholar] [CrossRef]
- Xu, Z.; Becerra, A.Z.; Justiniano, C.F.; Boodry, C.I.; Aquina, C.T.; Swanger, A.A.; Temple, L.K.; Fleming, F.J. Is the Distance Worth It? Patients with Rectal Cancer Traveling to High-Volume Centers Experience Improved Outcomes. Dis. Colon Rectum 2017, 60, 1250–1259. [Google Scholar] [CrossRef]
- Birkmeyer, J.D.; Reames, B.N.; McCulloch, P.; Carr, A.J.; Campbell, W.B.; Wennberg, J.E. Understanding Regional Variation in the Use of Surgery. Lancet 2013, 382, 1121–1129. [Google Scholar] [CrossRef]
- Ellis, S.D.; Thompson, J.A.; Boyd, S.S.; Roberts, A.W.; Charlton, M.; Brooks, J.V.; Birken, S.A.; Wulff-Burchfield, E.; Amponsah, J.; Petersen, S.; et al. Geographic Differences in Community Oncology Provider and Practice Location Characteristics in the Central United States. J. Rural Health 2022, 38, 865–875. [Google Scholar] [CrossRef]
- Sahota, I.S.; Kostaras, X.; Hagen, N.A. Improving Access to Cancer Guidelines: Feedback from Health Care Professionals. Curr. Oncol. 2015, 22, 392–398. [Google Scholar] [CrossRef]
- Venchiarutti, R.L.; Tracy, M.; Clark, J.R.; Palme, C.E.; Young, J.M. Geographic Variation in Referral Practices for Patients with Suspected Head and Neck Cancer: A Survey of General Practitioners Using a Clinical Vignette. Aust. J. Rural Health 2022, 30, 501–511. [Google Scholar] [CrossRef] [PubMed]
- Virgilsen, L.F.; Hvidberg, L.; Vedsted, P. Patient’s Travel Distance to Specialised Cancer Diagnostics and the Association with the General Practitioner’s Diagnostic Strategy and Satisfaction with the Access to Diagnostic Procedures: An Observational Study in Denmark. BMC Fam. Pract. 2020, 21, 97. [Google Scholar] [CrossRef] [PubMed]
- West, H.; Barzi, A.; Wong, D. Telemedicine in Cancer Care Beyond the COVID-19 Pandemic: Oncology 2.0? Curr. Oncol. Rep. 2022, 24, 1843–1850. [Google Scholar] [CrossRef]
- Berlin, A.; Lovas, M.; Truong, T.; Melwani, S.; Liu, J.; Liu, Z.A.; Badzynski, A.; Carpenter, M.B.; Virtanen, C.; Morley, L.; et al. Implementation and Outcomes of Virtual Care Across a Tertiary Cancer Center During COVID-19. JAMA Oncol. 2021, 7, 597–602. [Google Scholar] [CrossRef] [PubMed]
- Garavand, A.; Khodaveisi, T.; Aslani, N.; Hosseiniravandi, M.; Shams, R.; Behmanesh, A. Telemedicine in Cancer care During COVID-19 Pandemic: A Systematic Mapping Study. Health Technol. 2023, 13, 665–678. [Google Scholar] [CrossRef] [PubMed]
- Patel, K.B.; Tabriz, A.A.; Turner, K.; Gonzalez, B.D.; Oswald, L.B.; Jim, H.S.L.; Nguyen, O.T.; Hong, Y.-R.; Aldawoodi, N.; Cao, B.; et al. Telemedicine Adoption in an NCI-Designated Cancer Center During the COVID-19 Pandemic: A Report on Patient Experience of Care. J. Natl. Compr. Canc. Netw. 2023, 21, 496–502.e6. [Google Scholar] [CrossRef]
- Openshaw, S. The Modifiable Areal Unit Problem. In Concepts and Techniques in Modern Geography; Geo Books: Norwich, UK, 1983; ISBN 978-0-86094-134-7. [Google Scholar]
- Su, M.D.; Lin, M.-C.; Wen, T.H. Spatial Mapping and Environmental Risk Identification. In Encyclopedia of Environmental Health; Nriagu, J.O., Ed.; Elsevier: Amsterdam, Netherlands, 2011; pp. 228–235. ISBN 978-0-444-52272-6. [Google Scholar]
- Fontanet, C.P.; Carlos, H.; Weiss, J.E.; Diaz, M.C.G.; Shi, X.; Onega, T.; Loehrer, A.P. Evaluating Geographic Health Disparities in Cancer Care: Example of the Modifiable Areal Unit Problem. Ann. Surg. Oncol. 2023, 30, 6987–6989. [Google Scholar] [CrossRef]









| Characteristic | ≤5 km | 5–10 km | 10–25 km | >25 km | All Patients | p Value | |
|---|---|---|---|---|---|---|---|
| Patients—n | 6081 | 3588 | 3436 | 1542 | 14,647 | ||
| Year of diagnosis—n (%) | 2012–2015 | 2862 (47.1) | 1696 (47.3) | 1540 (44.8) | 749 (48.6) | 6847 (46.7) | 0.05 |
| 2016–2020 | 3219 (52.9) | 1892 (52.7) | 1896 (55.2) | 793 (51.4) | 7800 (53.3) | ||
| Age, years—n (%) | ≤40 | 607 (10.0) | 355 (9.9) | 324 (9.4) | 104 (6.7) | 1390 (9.5) | <0.0001 |
| 41–50 | 1244 (20.5) | 755 (21.0) | 677 (19.7) | 203 (13.2) | 2879 (19.7) | ||
| 51–60 | 1605 (26.4) | 1017 (28.3) | 1004 (29.2) | 452 (29.3) | 4078 (27.8) | ||
| 61–70 | 1330 (21.9) | 804 (22.4) | 846 (24.6) | 429 (27.8) | 3409 (23.3) | ||
| 71–80 | 864 (14.2) | 470 (13.1) | 423 (12.3) | 257 (16.7) | 2014 (13.8) | ||
| >81 | 431 (7.1) | 187 (5.2) | 162 (4.7) | 97 (6.3) | 877 (6.0) | ||
| Deprivation quintile—n (%) | 1st (least deprived) | 1083 (17.8) | 985 (27.5) | 1008 (29.3) | 245 (15.9) | 3321 (22.7) | <0.0001 |
| 2nd | 1001 (16.5) | 899 (25.1) | 831 (24.2) | 339 (22.0) | 3070 (21.0) | ||
| 3rd | 1067 (17.5) | 687 (19.1) | 765 (22.3) | 390 (25.3) | 2909 (19.9) | ||
| 4th | 1240 (20.4) | 593 (16.5) | 568 (16.5) | 311 (20.2) | 2712 (18.5) | ||
| 5th (most deprived) | 1674 (27.5) | 414 (11.5) | 240 (7.0) | 225 (14.6) | 2553 (17.4) | ||
| Unknown | 16 (0.3) | 10 (0.3) | 24 (0.7) | 32 (2.1) | 82 (0.6) | ||
| Elixhauser comorbidity score—mean (standard deviation) | 0.14 (0.57) | 0.11 (0.49) | 0.11 (0.49) | 0.14 (0.54) | 0.13 (0.53) | <0.01 | |
| Previous breast cancer—n (%) | No | 5556 (91.4) | 3298 (91.9) | 3169 (92.2) | 1405 (91.1) | 13,428 (91.7) | 0.38 |
| Yes | 525 (8.6) | 290 (8.1) | 267 (7.8) | 137 (8.9) | 1219 (8.3) | ||
| Tumour stage—n (%) | T0/T1 | 2373 (39.0) | 1428 (39.8) | 1357 (39.5) | 670 (43.5) | 5828 (39.8) | <0.01 |
| T2 | 2784 (45.8) | 1618 (45.1) | 1548 (45.1) | 678 (44.0) | 6628 (45.3) | ||
| T3 | 552 (9.1) | 348 (9.7) | 350 (10.2) | 110 (7.1) | 1360 (9.3) | ||
| T4 | 365 (6.0) | 189–193 * | 170 (4.9) | 79–83 * | 804 (5.5) | ||
| Unknown | 7 (0.1) | ≤5 * | 11 (0.3) | ≤5* | 27 (0.2) | ||
| Node stage—n (%) | N0 | 3583 (58.9) | 2115 (58.9) | 2054 (59.8) | 947 (61.4) | 8699 (59.4) | 0.45 |
| N1 | 1889 (31.1) | 1132 (31.5) | 1069 (31.1) | 460 (29.8) | 4550 (31.1) | ||
| N2 | 384 (6.3) | 215 (6.0) | 199 (5.8) | 89 (5.8) | 887 (6.1) | ||
| N3 | 214 (3.5) | 112 (3.1) | 100–104 * | 41–45 * | 471 (3.2) | ||
| Unknown | 11 (0.2) | 14 (0.4) | 10–14 * | ≤5 * | 40 (0.3) | ||
| First consultation at regional cancer centre—n (%) | No | 3081 (50.7) | 1778 (49.6) | 1900 (55.3) | 909 (58.9) | 7668 (52.4) | <0.0001 |
| Yes | 3000 (49.3) | 1810 (50.4) | 1536 (44.7) | 633 (41.1) | 6979 (47.6) | ||
Disclaimer/Publisher’s Note: The statements, opinions and data contained in all publications are solely those of the individual author(s) and contributor(s) and not of MDPI and/or the editor(s). MDPI and/or the editor(s) disclaim responsibility for any injury to people or property resulting from any ideas, methods, instructions or products referred to in the content. |
© 2024 by the authors. Licensee MDPI, Basel, Switzerland. This article is an open access article distributed under the terms and conditions of the Creative Commons Attribution (CC BY) license (https://creativecommons.org/licenses/by/4.0/).
Share and Cite
Yee, E.K.; Hallet, J.; Look Hong, N.J.; Nguyen, L.; Coburn, N.; Wright, F.C.; Gandhi, S.; Jerzak, K.J.; Eisen, A.; Roberts, A. Impact of Location of Residence and Distance to Cancer Centre on Medical Oncology Consultation and Neoadjuvant Chemotherapy for Triple-Negative and HER2-Positive Breast Cancer. Curr. Oncol. 2024, 31, 4728-4745. https://doi.org/10.3390/curroncol31080353
Yee EK, Hallet J, Look Hong NJ, Nguyen L, Coburn N, Wright FC, Gandhi S, Jerzak KJ, Eisen A, Roberts A. Impact of Location of Residence and Distance to Cancer Centre on Medical Oncology Consultation and Neoadjuvant Chemotherapy for Triple-Negative and HER2-Positive Breast Cancer. Current Oncology. 2024; 31(8):4728-4745. https://doi.org/10.3390/curroncol31080353
Chicago/Turabian StyleYee, Elliott K., Julie Hallet, Nicole J. Look Hong, Lena Nguyen, Natalie Coburn, Frances C. Wright, Sonal Gandhi, Katarzyna J. Jerzak, Andrea Eisen, and Amanda Roberts. 2024. "Impact of Location of Residence and Distance to Cancer Centre on Medical Oncology Consultation and Neoadjuvant Chemotherapy for Triple-Negative and HER2-Positive Breast Cancer" Current Oncology 31, no. 8: 4728-4745. https://doi.org/10.3390/curroncol31080353
APA StyleYee, E. K., Hallet, J., Look Hong, N. J., Nguyen, L., Coburn, N., Wright, F. C., Gandhi, S., Jerzak, K. J., Eisen, A., & Roberts, A. (2024). Impact of Location of Residence and Distance to Cancer Centre on Medical Oncology Consultation and Neoadjuvant Chemotherapy for Triple-Negative and HER2-Positive Breast Cancer. Current Oncology, 31(8), 4728-4745. https://doi.org/10.3390/curroncol31080353

