Monoclonal Gammopathy of Undetermined Significance and Associated Cardiovascular Outcomes in a Hospital Setting—A Fresh Perspective †
Abstract
1. Introduction
2. Methods
2.1. Comorbidities
2.2. Cardiovascular Outcomes
2.3. Statistical Analysis
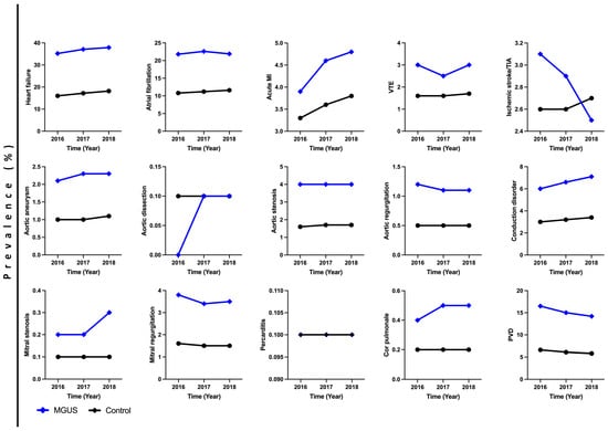
3. Results
4. Discussion
5. Conclusions
Supplementary Materials
Author Contributions
Funding
Institutional Review Board Statement
Informed Consent Statement
Data Availability Statement
Conflicts of Interest
References
- Viera, S.; Ludek, P.; Zdeněk, A.; Marta, K.; Martin, Š.; Sabina, Š.; Zdeněk, K. Monoclonal Gammopathy of Undetermined Significance (MGUS)Monoclonal Gammopathy of Undetermined Significance (MGUS). Klin. Onkol. Cas. Ceske Slov. Onkol. Spolecnosti 2018, 31, 270–276. [Google Scholar] [CrossRef]
- Mateos, M.-V.; Landgren, O. MGUS and Smoldering Multiple Myeloma: Diagnosis and Epidemiology. In Plasma Cell Dyscrasias; Roccaro, A.M., Ghobrial, I.M., Eds.; Cancer Treatment and Research; Springer International Publishing: Cham, Switzerland, 2016; Volume 169, pp. 3–12. ISBN 978-3-319-40318-2. [Google Scholar]
- Kyle, R.A.; Larson, D.R.; Therneau, T.M.; Dispenzieri, A.; Melton, L.J.; Benson, J.T.; Kumar, S.; Rajkumar, S.V. Clinical course of light-chain smouldering multiple myeloma (idiopathic Bence Jones proteinuria): A retrospective cohort study. Lancet Haematol. 2014, 1, e28–e36. [Google Scholar] [CrossRef]
- Go, R.S.; Rajkumar, S.V. How I manage monoclonal gammopathy of undetermined significance. Blood 2018, 131, 163–173. [Google Scholar] [CrossRef]
- Kyle, R.A.; Finkelstein, S.; Elveback, L.R.; Kurland, L.T. Incidence of monoclonal proteins in a Minnesota community with a cluster of multiple myeloma. Blood 1972, 40, 719–724. [Google Scholar] [CrossRef]
- Bida, J.P.; Kyle, R.A.; Therneau, T.M.; Melton, L.J.; Plevak, M.F.; Larson, D.R.; Dispenzieri, A.; Katzmann, J.A.; Rajkumar, S.V. Disease associations with monoclonal gammopathy of undetermined significance: A population-based study of 17,398 patients. Mayo Clin. Proc. 2009, 84, 685–693. [Google Scholar] [CrossRef]
- Shimanovsky, A.; Alvarez, A.J.; Murali, S.; Dasanu, C.A. Autoimmune manifestations in patients with multiple myeloma and monoclonal gammopathy of undetermined significance. BBA Clin. 2016, 6, 12–18. [Google Scholar] [CrossRef]
- Tentolouris, A.; Ntanasis-Stathopoulos, I.; Gavriatopoulou, M.; Andreadou, I.; Terpos, E. Monoclonal Gammopathy of Undetermined Cardiovascular Significance; Current Evidence and Novel Insights. J. Cardiovasc. Dev. Dis. 2023, 10, 484. [Google Scholar] [CrossRef]
- Gregersen, H.; Ibsen, J.S.; Mellemkjœr, L.; Dahlerup, J.F.; Olsen, J.H.; Sørensen, H.T. Mortality and causes of death in patients with monoclonal gammopathy of undetermined significance: Mortality in MGUS. Br. J. Haematol. 2001, 112, 353–357. [Google Scholar] [CrossRef]
- Kristinsson, S.Y.; Bjorkholm, M.; Andersson, T.M.-L.; Eloranta, S.; Dickman, P.W.; Goldin, L.R.; Blimark, C.; Mellqvist, U.-H.; Wahlin, A.; Turesson, I.; et al. Patterns of survival and causes of death following a diagnosis of monoclonal gammopathy of undetermined significance: A population-based study. Haematologica 2009, 94, 1714–1720. [Google Scholar] [CrossRef]
- Kristinsson, S.Y.; Pfeiffer, R.M.; Björkholm, M.; Goldin, L.R.; Schulman, S.; Blimark, C.; Mellqvist, U.-H.; Wahlin, A.; Turesson, I.; Landgren, O. Arterial and venous thrombosis in monoclonal gammopathy of undetermined significance and multiple myeloma: A population-based study. Blood 2010, 115, 4991–4998. [Google Scholar] [CrossRef]
- Kristinsson, S.Y.; Fears, T.R.; Gridley, G.; Turesson, I.; Mellqvist, U.-H.; Björkholm, M.; Landgren, O. Deep vein thrombosis after monoclonal gammopathy of undetermined significance and multiple myeloma. Blood 2008, 112, 3582–3586. [Google Scholar] [CrossRef]
- Sallah, S.; Husain, A.; Wan, J.; Vos, P.; Nguyen, N.P. The risk of venous thromboembolic disease in patients with monoclonal gammopathy of undetermined significance. Ann. Oncol. Off. J. Eur. Soc. Med. Oncol. 2004, 15, 1490–1494. [Google Scholar] [CrossRef]
- Srkalovic, G.; Cameron, M.G.; Rybicki, L.; Deitcher, S.R.; Kattke-Marchant, K.; Hussein, M.A. Monoclonal gammopathy of undetermined significance and multiple myeloma are associated with an increased incidence of venothromboembolic disease. Cancer 2004, 101, 558–566. [Google Scholar] [CrossRef]
- Cohen, A.L.; Sarid, R. The relationship between monoclonal gammopathy of undetermined significance and venous thromboembolic disease. Thromb. Res. 2010, 125, 216–219. [Google Scholar] [CrossRef]
- Gregersen, H.; Nørgaard, M.; Severinsen, M.T.; Engebjerg, M.C.; Jensen, P.; Sørensen, H.T. Monoclonal gammopathy of undetermined significance and risk of venous thromboembolism. Eur. J. Haematol. 2011, 86, 129–134. [Google Scholar] [CrossRef]
- Auwerda, J.J.A.; Sonneveld, P.; de Maat, M.P.M.; Leebeek, F.W.G. Prothrombotic coagulation abnormalities in patients with paraprotein-producing B-cell disorders. Clin. Lymphoma Myeloma 2007, 7, 462–466. [Google Scholar] [CrossRef]
- Jaiswal, S.; Natarajan, P.; Silver, A.J.; Gibson, C.J.; Bick, A.G.; Shvartz, E.; McConkey, M.; Gupta, N.; Gabriel, S.; Ardissino, D.; et al. Clonal Hematopoiesis and Risk of Atherosclerotic Cardiovascular Disease. N. Engl. J. Med. 2017, 377, 111–121. [Google Scholar] [CrossRef]
- Haefliger, S.; Juskevicius, D.; Höller, S.; Buser, U.; Dirnhofer, S.; Tzankov, A. How to resolve a clinical and molecular puzzle: Concomitant monoclonal gammopathy of undetermined significance (MGUS) with neutrophilia and clonal hematopoiesis of indeterminate potential (CHIP). Ann. Hematol. 2019, 98, 2431–2432. [Google Scholar] [CrossRef]
- Hofmann, J.N.; Landgren, O.; Landy, R.; Kemp, T.J.; Santo, L.; McShane, C.M.; Shearer, J.J.; Lan, Q.; Rothman, N.; Pinto, L.A.; et al. A Prospective Study of Circulating Chemokines and Angiogenesis Markers and Risk of Multiple Myeloma and Its Precursor. JNCI Cancer Spectr. 2020, 4, pkz104. [Google Scholar] [CrossRef]
- Damasceno, D.; Almeida, J.; Teodosio, C.; Sanoja-Flores, L.; Mayado, A.; Pérez-Pons, A.; Puig, N.; Arana, P.; Paiva, B.; Solano, F.; et al. Monocyte Subsets and Serum Inflammatory and Bone-Associated Markers in Monoclonal Gammopathy of Undetermined Significance and Multiple Myeloma. Cancers 2021, 13, 1454. [Google Scholar] [CrossRef]
- Schwartz, B.; Schou, M.; Ruberg, F.L.; Rucker, D.; Choi, J.; Siddiqi, O.; Monahan, K.; Køber, L.; Gislason, G.; Torp-Pedersen, C.; et al. Cardiovascular Morbidity in Monoclonal Gammopathy of Undetermined Significance. JACC CardioOncology 2022, 4, 313–322. [Google Scholar] [CrossRef] [PubMed]
- Atkin, C.; Reddy-Kolanu, V.; Drayson, M.T.; Sapey, E.; Richter, A.G. The prevalence and significance of monoclonal gammopathy of undetermined significance in acute medical admissions. Br. J. Haematol. 2020, 189, 1127–1135. [Google Scholar] [CrossRef] [PubMed]
- Landgren, O.; Gridley, G.; Turesson, I.; Caporaso, N.E.; Goldin, L.R.; Baris, D.; Fears, T.R.; Hoover, R.N.; Linet, M.S. Risk of monoclonal gammopathy of undetermined significance (MGUS) and subsequent multiple myeloma among African American and white veterans in the United States. Blood 2006, 107, 904–906. [Google Scholar] [CrossRef] [PubMed]
- Gupta, R.; Dahiya, M.; Kumar, L.; Shekhar, V.; Sharma, A.; Ramakrishnan, L.; Sharma, O.D.; Begum, A. Prevalence of Monoclonal Gammopathy of Undetermined Significance in India-A Hospital-based Study. Clin. Lymphoma Myeloma Leuk. 2018, 18, e345–e350. [Google Scholar] [CrossRef] [PubMed]
- HCUP National Inpatient Sample (NIS). Healthcare Cost and Utilization Project (HCUP); Agency for Healthcare Research and Quality: Rockville, MD, USA, 2012. Available online: www.hcup-us.ahrq.gov/nisoverview.jsp (accessed on 1 September 2022).
- Muslimani, A.A.; Spiro, T.P.; Chaudhry, A.A.; Taylor, H.C.; Jaiyesimi, I.; Daw, H.A. Venous thromboembolism in patients with monoclonal gammopathy of undetermined significance. Clin. Adv. Hematol. Oncol. 2009, 7, 827–832. [Google Scholar] [PubMed]
- Kyle, R.A.; Therneau, T.M.; Rajkumar, S.V.; Offord, J.R.; Larson, D.R.; Plevak, M.F.; Melton, L.J. A long-term study of prognosis in monoclonal gammopathy of undetermined significance. N. Engl. J. Med. 2002, 346, 564–569. [Google Scholar] [CrossRef] [PubMed]
- Sørensen, H.T.; Mellemkjaer, L.; Steffensen, F.H.; Olsen, J.H.; Nielsen, G.L. The risk of a diagnosis of cancer after primary deep venous thrombosis or pulmonary embolism. N. Engl. J. Med. 1998, 338, 1169–1173. [Google Scholar] [CrossRef] [PubMed]
- Rickles, F.R.; Falanga, A. Molecular basis for the relationship between thrombosis and cancer. Thromb. Res. 2001, 102, V215–V224. [Google Scholar] [CrossRef]
- Nand, S.; Fisher, S.G.; Salgia, R.; Fisher, R.I. Hemostatic abnormalities in untreated cancer: Incidence and correlation with thrombotic and hemorrhagic complications. J. Clin. Oncol. Off. J. Am. Soc. Clin. Oncol. 1987, 5, 1998–2003. [Google Scholar] [CrossRef]
- Devesa, A.; Rodríguez Olleros, C.; Kaçi, X.; Askari, E.; Camblor Blasco, A.; Pello Lázaro, A.M.; Gómez Talavera, S.; Gómez Octavio, J.; Lapeña, G.; Navarro, F.; et al. Prevalence and prognostic value of monoclonal gammopathy in heart failure patients with preserved ejection fraction: A prospective study. Cardiol. J. 2022, 29, 216–227. [Google Scholar] [CrossRef]
- Buxbaum, J.N.; Genega, E.M.; Lazowski, P.; Kumar, A.; Tunick, P.A.; Kronzon, I.; Gallo, G.R. Infiltrative nonamyloidotic monoclonal immunoglobulin light chain cardiomyopathy: An underappreciated manifestation of plasma cell dyscrasias. Cardiology 2000, 93, 220–228. [Google Scholar] [CrossRef] [PubMed]
- Liu, W.; Feng, W.; Wang, F.; Li, W.; Gao, C.; Zhou, B.; Ma, M. Osteoprotegerin/RANK/RANKL axis in cardiac remodeling due to immuno-inflammatory myocardial disease. Exp. Mol. Pathol. 2008, 84, 213–217. [Google Scholar] [CrossRef] [PubMed]
- Cao, H.; Li, Q.; Li, M.; Od, R.; Wu, Z.; Zhou, Q.; Cao, B.; Chen, B.; Chen, Y.; Wang, D. Osteoprotegerin/RANK/RANKL axis and atrial remodeling in mitral valvular patients with atrial fibrillation. Int. J. Cardiol. 2013, 166, 702–708. [Google Scholar] [CrossRef] [PubMed]
- Ock, S.; Ahn, J.; Lee, S.H.; Park, H.; Son, J.W.; Oh, J.G.; Yang, D.K.; Lee, W.S.; Kim, H.-S.; Rho, J.; et al. Receptor activator of nuclear factor-κB ligand is a novel inducer of myocardial inflammation. Cardiovasc. Res. 2012, 94, 105–114. [Google Scholar] [CrossRef] [PubMed]
- Politou, M.; Terpos, E.; Anagnostopoulos, A.; Szydlo, R.; Laffan, M.; Layton, M.; Apperley, J.F.; Dimopoulos, M.-A.; Rahemtulla, A. Role of receptor activator of nuclear factor-kappa B ligand (RANKL), osteoprotegerin and macrophage protein 1-alpha (MIP-1a) in monoclonal gammopathy of undetermined significance (MGUS). Br. J. Haematol. 2004, 126, 686–689. [Google Scholar] [CrossRef]
- Corso, A.; Dovio, A.; Rusconi, C.; Sartori, M.L.; Klersy, C.; Varettoni, M.; Mangiacavalli, S.; Zappasodi, P.; Ventura, M.; Angeli, A.; et al. Osteoprotegerin serum levels in multiple myeloma and MGUS patients compared with age- and sex-matched healthy controls. Leukemia 2004, 18, 1555–1557. [Google Scholar] [CrossRef]
- Rajkumar, S.V.; Kyle, R.A.; Therneau, T.M.; Melton, L.J.; Bradwell, A.R.; Clark, R.J.; Larson, D.R.; Plevak, M.F.; Dispenzieri, A.; Katzmann, J.A. Serum free light chain ratio is an independent risk factor for progression in monoclonal gammopathy of undetermined significance. Blood 2005, 106, 812–817. [Google Scholar] [CrossRef] [PubMed]
- Dispenzieri, A.; Lacy, M.Q.; Katzmann, J.A.; Rajkumar, S.V.; Abraham, R.S.; Hayman, S.R.; Kumar, S.K.; Clark, R.; Kyle, R.A.; Litzow, M.R.; et al. Absolute values of immunoglobulin free light chains are prognostic in patients with primary systemic amyloidosis undergoing peripheral blood stem cell transplantation. Blood 2006, 107, 3378–3383. [Google Scholar] [CrossRef] [PubMed]
- Shantsila, E.; Wrigley, B.; Lip, G.Y.H. Free light chains in patients with acute heart failure secondary to atherosclerotic coronary artery disease. Am. J. Cardiol. 2014, 114, 1243–1248. [Google Scholar] [CrossRef][Green Version]
- Belhomme, N.; Maamar, A.; Le Gallou, T.; Minot-Myhié, M.-C.; Larralde, A.; Champtiaux, N.; Benveniste, O.; Leonard-Louis, S.; Decaux, O.; Lescoat, A.; et al. Rare myopathy associated to MGUS, causing heart failure and responding to chemotherapy. Ann. Hematol. 2017, 96, 695–696. [Google Scholar] [CrossRef]
- Kotchetkov, R.; Dyszkiewicz-Korpanty, A.; Kukreti, V. Chemotherapy with stem cell transplantation is more effective than immunotherapy in sporadic late onset nemaline myopathy with monoclonal gammopathy. Bone Marrow Transplant. 2018, 53, 895–899. [Google Scholar] [CrossRef] [PubMed]
- Borovac, J.A.; Kwok, C.S.; Iliescu, C.; Lee, H.J.; Kim, P.Y.; Palaskas, N.L.; Zaman, A.; Butler, R.; Lopez-Mattei, J.C.; Mamas, M.A. Percutaneous Coronary Intervention and Outcomes in Patients with Lymphoma in the United States (Nationwide Inpatient Sample [NIS] Analysis). Am. J. Cardiol. 2019, 124, 1190–1197. [Google Scholar] [CrossRef] [PubMed]
- Sandecka, V.; Pour, L.; Adam, Z.; Stork, M.; Krejci, M.; Michalcova, J.; Kral, Z.; Sevcikova, S.; Řehák, Z.; Koukalova, R. Diagnostic Relevance of 18F-FDG PET/CT in Newly Diagnosed Patients with Monoclonal Gammopathy of Undetermined Significance (MGUS): Single-Center Experience. Blood 2018, 132, 1913. [Google Scholar] [CrossRef]
- Kapoor, P.; Rajkumar, S.V. Cardiovascular Associations with Monoclonal Gammopathy of Undetermined Significance: Real or Coincidental? JACC CardioOncol. 2022, 4, 323–325. [Google Scholar] [CrossRef] [PubMed]
- Anderson, R.B.; Needleman, R.D.; Gatter, R.A.; Andrews, R.P.; Scarola, J.A. Patient outcome following inpatient vs outpatient treatment of rheumatoid arthritis. J. Rheumatol. 1988, 15, 556–560. [Google Scholar] [PubMed]
- Butala, N.M.; Johnson, B.K.; Dziura, J.D.; Reynolds, J.S.; Bozzo, J.E.; Balcezak, T.J.; Inzucchi, S.E.; Horwitz, L.I. Association of inpatient and outpatient glucose management with inpatient mortality among patients with and without diabetes at a major academic medical center. J. Hosp. Med. 2015, 10, 228–235. [Google Scholar] [CrossRef]
- Rögnvaldsson, S.; Love, T.J.; Thorsteinsdottir, S.; Reed, E.R.; Óskarsson, J.Þ.; Pétursdóttir, Í.; Sigurðardóttir, G.Á.; Viðarsson, B.; Önundarson, P.T.; Agnarsson, B.A.; et al. Iceland screens, treats, or prevents multiple myeloma (iStopMM): A population-based screening study for monoclonal gammopathy of undetermined significance and randomized controlled trial of follow-up strategies. Blood Cancer J. 2021, 11, 94. [Google Scholar] [CrossRef]

| Baseline | MGUS (n = 23,435), % | Control (n = 17,334,121), % | p-Value |
|---|---|---|---|
| Age | 74.0 ± 11.7 | 57.9 ± 20.3 | <0.001 |
| Female | 11,352 (48.4) | 10,033,318 (57.9) | <0.001 |
| Race | <0.001 | ||
| White | 16,123 (68.8) | 11,664,542 (67.3) | |
| Black | 1870 (8.0) | 2,626,275 (15.2) | |
| Hispanic | 1367 (5.8) | 1,937,970 (11.2) | |
| Asian/Pacific Islander | 520 (2.2) | 475,872 (2.7) | |
| Native American | 75 (0.3) | 109,652 (0.6) | |
| Other | 480 (2.0) | 19,810 (0.1) | |
| Smoking | 7322 (31.2) | 3,707,899 (21.4) | <0.001 |
| Hypertension | 6215 (26.5) | 5,993,378 (34.6) | <0.001 |
| Diabetes mellitus | 9186 (39.2) | 4,838,241 (27.9) | <0.001 |
| Chronic kidney disease | 7866 (33.6) | 1,495,853 (8.6) | <0.001 |
| Dialysis dependence | 3117 (13.3) | 691,122 (4.0) | <0.001 |
| Obesity | 4224 (18.0) | 2,866,871 (16.5) | <0.001 |
| Dyslipidemia | 9174 (39.1) | 4,042,393 (23.3) | <0.001 |
| Metabolic syndrome | 4427 (18.9) | 1,810,488 (10.4) | <0.001 |
| Cancer (all-cause) * | 3030 (12.9) | 1,408,907 (8.1) | <0.001 |
| Medications | |||
| Antiplatelet | 836 (3.6) | 446,287 (2.6) | <0.001 |
| Aspirin | 4603 (19.6) | 2,163,253 (12.5) | <0.001 |
| Oral anticoagulants | 3229 (13.8) | 1,372,524 (7.9) | <0.001 |
| CV Outcome | MGUS (n = 23,435), % | Control (n = 17,334,121), % | p-Value |
|---|---|---|---|
| Heart failure | 8631 (36.8) | 2,973,087 (17.2) | <0.001 |
| Atrial fibrillation | 2333 (10.0) | 1,021,056 (5.9) | <0.001 |
| Acute MI | 1044 (4.5) | 620,304 (3.6) | <0.001 |
| Aortic aneurysm | 527 (2.2) | 180,457 (1.0) | <0.001 |
| Aortic dissection | 21 (0.1) | 16,850 (0.1) | 0.709 |
| Aortic stenosis | 936 (4.0) | 285,858 (1.6) | <0.001 |
| Aortic regurgitation | 271 (1.2) | 81,284 (0.5) | <0.001 |
| Mitral stenosis | 62 (0.3) | 21,219 (0.1) | <0.001 |
| Mitral regurgitation | 830 (3.5) | 268,280 (1.5) | <0.001 |
| Conduction disorder | 1544 (6.6) | 553,692 (3.2) | <0.001 |
| Pericarditis | 28 (0.1) | 13,855 (0.1) | 0.032 |
| PVD | 3374 (14.4) | 978,262 (5.6) | <0.001 |
| Cor pulmonale | 105 (0.4) | 37,091 (0.2) | <0.001 |
| VTE | 664 (2.8) | 281,894 (1.6) | <0.001 |
| Ischemic stroke/TIA | 658 (2.8) | 457,874 (2.6) | 0.113 |
| Cardiovascular Outcome | OR * | CI | p-Value | OR H | CI | p-Value |
|---|---|---|---|---|---|---|
| Heart failure | 1.46 | 1.40–1.51 | <0.001 | 1.34 | 1.17–1.54 | <0.001 |
| Atrial fibrillation | 1.14 | 1.09–1.19 | <0.001 | 1.45 | 1.25–1.69 | <0.001 |
| Acute MI | 0.88 | 0.81–0.96 | 0.004 | 1.00 | 0.75–1.34 | 0.993 |
| VTE | 1.31 | 1.17–1.47 | <0.001 | 1.84 | 1.31–2.57 | <0.001 |
| Ischemic stroke/TIA | 0.66 | 0.60–0.73 | <0.0001 | 0.99 | 0.74–1.33 | 0.943 |
| Aortic aneurysm | 1.13 | 0.99–1.28 | 0.063 | 1.00 | 0.64–1.55 | 0.998 |
| Aortic dissection | 0.65 | 0.39–1.08 | 0.098 | 1.69 | 0.24–11.98 | 0.601 |
| Aortic stenosis | 1.13 | 1.03–1.24 | 0.013 | 1.51 | 1.05–2.17 | 0.026 |
| Aortic regurgitation | 1.19 | 0.99–1.42 | 0.05 | 2.30 | 1.15–4.59 | 0.018 |
| Mitral stenosis | 1.32 | 0.90–1.93 | 0.15 | 3.38 | 0.62–18.45 | 0.160 |
| Mitral regurgitation | 1.42 | 1.28–1.58 | <0.001 | 2.06 | 1.40–3.01 | <0.001 |
| Conduction disorder | 1.10 | 1.02–1.18 | 0.017 | 1.20 | 0.94–1.53 | 0.137 |
| Pericarditis | 1.22 | 0.70–2.11 | 0.484 | 2.03 | 0.62–6.65 | 0.244 |
| Cor pulmonale | 1.59 | 1.17–2.17 | 0.003 | 5.07 | 1.02–25.14 | 0.047 |
| PVD | 1.36 | 1.26–1.48 | <0.001 | 2.40 | 1.95–2.95 | <0.001 |
Disclaimer/Publisher’s Note: The statements, opinions and data contained in all publications are solely those of the individual author(s) and contributor(s) and not of MDPI and/or the editor(s). MDPI and/or the editor(s) disclaim responsibility for any injury to people or property resulting from any ideas, methods, instructions or products referred to in the content. |
© 2024 by the authors. Licensee MDPI, Basel, Switzerland. This article is an open access article distributed under the terms and conditions of the Creative Commons Attribution (CC BY) license (https://creativecommons.org/licenses/by/4.0/).
Share and Cite
Mustafa, A.; Wei, C.; Araji, G.; Niazi, M.R.K.; Grovu, R.; Weinberg, M.; Lafferty, J. Monoclonal Gammopathy of Undetermined Significance and Associated Cardiovascular Outcomes in a Hospital Setting—A Fresh Perspective. Curr. Oncol. 2024, 31, 4432-4442. https://doi.org/10.3390/curroncol31080331
Mustafa A, Wei C, Araji G, Niazi MRK, Grovu R, Weinberg M, Lafferty J. Monoclonal Gammopathy of Undetermined Significance and Associated Cardiovascular Outcomes in a Hospital Setting—A Fresh Perspective. Current Oncology. 2024; 31(8):4432-4442. https://doi.org/10.3390/curroncol31080331
Chicago/Turabian StyleMustafa, Ahmad, Chapman Wei, Ghada Araji, Muhammad Rafay Khan Niazi, Radu Grovu, Mitchell Weinberg, and James Lafferty. 2024. "Monoclonal Gammopathy of Undetermined Significance and Associated Cardiovascular Outcomes in a Hospital Setting—A Fresh Perspective" Current Oncology 31, no. 8: 4432-4442. https://doi.org/10.3390/curroncol31080331
APA StyleMustafa, A., Wei, C., Araji, G., Niazi, M. R. K., Grovu, R., Weinberg, M., & Lafferty, J. (2024). Monoclonal Gammopathy of Undetermined Significance and Associated Cardiovascular Outcomes in a Hospital Setting—A Fresh Perspective. Current Oncology, 31(8), 4432-4442. https://doi.org/10.3390/curroncol31080331

