A Survival Analysis of Patients with Recurrent Epithelial Ovarian Cancer Based on Relapse Type: A Multi-Institutional Retrospective Study in Armenia
Abstract
1. Introduction
2. Materials and Methods
2.1. Study Population
2.2. Stratification According to Remission Type
2.3. Features and Data Analysis
3. Results
3.1. Baseline Characteristics
3.1.1. Histologic Subtypes
3.1.2. Stratification According to the Primary Treatment
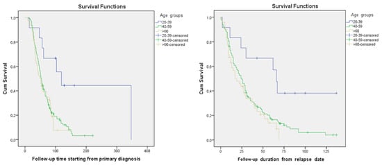
3.1.3. Stratification According to Patient Age
3.1.4. Stratification According to the Stage of the Disease
3.2. Survival after Relapse Based on the Choice of Systemic Treatment
3.2.1. Platinum-Sensitive Relapse
3.2.2. Platinum-Resistant Relapse
4. Discussion
- Due to its retrospective design, there was a notably inadequate documentation of important details in medical records, particularly regarding treatment-related toxicity.
- Most patients who relapsed received only chemotherapy due to a lack of access to the targeted therapy. A number of targeted agents, like bevacizumab, PARP inhibitors (olaparib, rucaparib, and niraparib), immunotherapy (pembrolizumab and dostarlimab), and folate receptor alfa inhibitor marvetuximab soravtansine-gynx, are not affordable for Armenian patients. Except for bevacizumab, which was available for a few patients, all other abovementioned agents are not even registered in Armenia.
- There was a small cohort of patients in the platinum-resistant group.
- In our study, we did not take into consideration the impact of “second look” surgeries during the treatment of recurrences.
5. Conclusions
Author Contributions
Funding
Institutional Review Board Statement
Informed Consent Statement
Data Availability Statement
Conflicts of Interest
References
- Cabasag, C.J.; Fagan, P.J.; Ferlay, J.; Vignat, J.; Laversanne, M.; Liu, L.; van der Aa, M.A.; Bray, F.; Soerjomataram, I. Ovarian Cancer Today and Tomorrow: A Global Assessment by World Region and Human Development Index Using GLOBOCAN 2020. Int. J. Cancer 2022, 151, 1535–1541. [Google Scholar] [CrossRef] [PubMed]
- Ovarian Cancer By The Numbers|OCRA. Available online: https://ocrahope.org/get-the-facts/statistics/ (accessed on 10 February 2024).
- Ovarian Cancer Statistics|How Common is Ovarian Cancer|American Cancer Society. Available online: https://www.cancer.org/cancer/types/ovarian-cancer/about/key-statistics.html (accessed on 10 February 2024).
- Statistical Committee of the Republic of Armenia Statistical Yearbook of Armenia 2023: Health and Healthcare. Available online: https://nih.am/assets/pdf/atvk/2d5537b6227666a32f97571d7dd15420.pdf (accessed on 10 February 2024).
- NCCN. Clinical Practice Guidelines in Oncology. Ovarian Cancer/Fallopian Tube Cancer/Primary Peritoneal Cancer, Version 1.2024. Available online: https://www.nccn.org/professionals/physician_gls/pdf/ovarian.pdf (accessed on 10 February 2024).
- Jiang, R.; Zhu, J.; Kim, J.-W.; Liu, J.; Kato, K.; Kim, H.-S.; Zhang, Y.; Zhang, P.; Zhu, T.; Aoki, D.; et al. Study of Upfront Surgery versus Neoadjuvant Chemotherapy Followed by Interval Debulking Surgery for Patients with Stage IIIC and IV Ovarian Cancer, SGOG SUNNY (SOC-2) Trial Concept. J. Gynecol. Oncol. 2020, 31, e86. [Google Scholar] [CrossRef] [PubMed]
- Tsonis, O.; Gkrozou, F.; Vlachos, K.; Paschopoulos, M.; Mitsis, M.C.; Zakynthinakis-Kyriakou, N.; Boussios, S.; Pappas-Gogos, G. Upfront Debulking Surgery for High-Grade Serous Ovarian Carcinoma: Current Evidence. Ann. Transl. Med. 2020, 8, 1707. [Google Scholar] [CrossRef]
- Garzon, S.; Laganà, A.S.; Casarin, J.; Raffaelli, R.; Cromi, A.; Franchi, M.; Barra, F.; Alkatout, I.; Ferrero, S.; Ghezzi, F. Secondary and Tertiary Ovarian Cancer Recurrence: What Is the Best Management? Gland Surg. 2020, 9, 1118–1129. [Google Scholar] [CrossRef] [PubMed]
- Salani, R.; Backes, F.J.; Fung, M.F.K.; Holschneider, C.H.; Parker, L.P.; Bristow, R.E.; Goff, B.A. Posttreatment Surveillance and Diagnosis of Recurrence in Women with Gynecologic Malignancies: Society of Gynecologic Oncologists Recommendations. Am. J. Obstet. Gynecol. 2011, 204, 466–478. [Google Scholar] [CrossRef]
- Patni, R. Screening for Ovarian Cancer: An Update. J. Life Health 2019, 10, 3–5. [Google Scholar] [CrossRef]
- Recommendation: Ovarian Cancer: Screening|United States Preventive Services Taskforce. Available online: https://www.uspreventiveservicestaskforce.org/uspstf/recommendation/ovarian-cancer-screening (accessed on 10 February 2024).
- Song, Y.J. Prediction of Optimal Debulking Surgery in Ovarian Cancer. Gland Surg. 2021, 10, 1173–1181. [Google Scholar] [CrossRef]
- Fung-Kee-Fung, M.; Oliver, T.; Elit, L.; Oza, A.; Hirte, H.W.; Bryson, P. Optimal Chemotherapy Treatment for Women with Recurrent Ovarian Cancer. Curr. Oncol. Tor. Ont 2007, 14, 195–208. [Google Scholar] [CrossRef]
- Pignata, S.; Pisano, C.; Di Napoli, M.; Cecere, S.C.; Tambaro, R.; Attademo, L. Treatment of Recurrent Epithelial Ovarian Cancer. Cancer 2019, 125 (Suppl. 24), 4609–4615. [Google Scholar] [CrossRef]
- Newly Diagnosed and Relapsed Epithelial Ovarian Cancer|ESMO. Available online: https://www.esmo.org/guidelines/guidelines-by-topic/esmo-clinical-practice-guidelines-gynaecological-cancers/newly-diagnosed-and-relapsed-epithelial-ovarian-cancer/eupdate-newly-diagnosed-epithelial-ovarian-carcinoma-treatment-recommendations (accessed on 10 February 2024).
- Claussen, C.; Rody, A.; Hanker, L. Treatment of Recurrent Epithelial Ovarian Cancer. Geburtshilfe Frauenheilkd. 2020, 80, 1195–1204. [Google Scholar] [CrossRef]
- Greening, S.; Sood, N.; Nicum, S. The Challenges and Opportunities in Ovarian Cancer Relapse—The Role of Second and Third-Line Chemotherapy: Literature Review. Gynecol. Pelvic Med. 2022, 2–6. [Google Scholar] [CrossRef]
- Baert, T.; Ferrero, A.; Sehouli, J.; O’Donnell, D.M.; González-Martín, A.; Joly, F.; van der Velden, J.; Blecharz, P.; Tan, D.S.P.; Querleu, D.; et al. The Systemic Treatment of Recurrent Ovarian Cancer Revisited. Ann. Oncol. Off. J. Eur. Soc. Med. Oncol. 2021, 32, 710–725. [Google Scholar] [CrossRef] [PubMed]
- Pfisterer, J.; Ledermann, J.A. Management of Platinum-Sensitive Recurrent Ovarian Cancer. Semin. Oncol. 2006, 33 (2 Suppl 6), S12–S16. [Google Scholar] [CrossRef]
- Poveda, A.; Floquet, A.; Ledermann, J.A.; Asher, R.; Penson, R.T.; Oza, A.M.; Korach, J.; Huzarski, T.; Pignata, S.; Friedlander, M.; et al. Final Overall Survival (OS) Results from SOLO2/ENGOT-Ov21: A Phase III Trial Assessing Maintenance Olaparib in Patients (Pts) with Platinum-Sensitive, Relapsed Ovarian Cancer and a BRCA Mutation. J. Clin. Oncol. 2020, 38, 6002. [Google Scholar] [CrossRef]
- Mirza, M.R.; Monk, B.J.; Herrstedt, J.; Oza, A.M.; Mahner, S.; Redondo, A.; Fabbro, M.; Ledermann, J.A.; Lorusso, D.; Vergote, I.; et al. ENGOT-OV16/NOVA Investigators. Niraparib Maintenance Therapy in Platinum-Sensitive, Recurrent Ovarian Cancer. N. Engl. J. Med. 2016, 375, 2154–2164. [Google Scholar] [CrossRef]
- Ledermann, J.A.; Harter, P.; Gourley, C.; Friedlander, M.; Vergote, I.; Rustin, G.; Scott, C.; Meier, W.; Shapira-Frommer, R.; Safra, T.; et al. Overall Survival in Patients with Platinum-Sensitive Recurrent Serous Ovarian Cancer Receiving Olaparib Maintenance Monotherapy: An Updated Analysis from a Randomised, Placebo-Controlled, Double-Blind, Phase 2 Trial. Lancet Oncol. 2016, 17, 1579–1589. [Google Scholar] [CrossRef] [PubMed]
- Pujade-Lauraine, E.; Ledermann, J.A.; Selle, F.; Gebski, V.; Penson, R.T.; Oza, A.M.; Korach, J.; Huzarski, T.; Poveda, A.; Pignata, S.; et al. SOLO2/ENGOT-Ov21 investigators. Olaparib Tablets as Maintenance Therapy in Patients with Platinum-Sensitive, Relapsed Ovarian Cancer and a BRCA1/2 Mutation (SOLO2/ENGOT-Ov21): A Double-Blind, Randomised, Placebo-Controlled, Phase 3 Trial. Lancet Oncol. 2017, 18, 1274–1284. [Google Scholar] [CrossRef] [PubMed]
- Davis, A.; Tinker, A.V.; Friedlander, M. “Platinum-Resistant” Ovarian Cancer: What Is It, Who to Treat and How to Measure Benefit? Gynecol. Oncol. 2014, 133, 624–631. [Google Scholar] [CrossRef]
- Wagner, U.; Marth, C.; Largillier, R.; Kaern, J.; Brown, C.; Heywood, M.; Bonaventura, T.; Vergote, I.; Piccirillo, M.C.; Fossati, R.; et al. Final Overall Survival Results of Phase III GCIG CALYPSO Trial of Pegylated Liposomal Doxorubicin and Carboplatin vs. Paclitaxel and Carboplatin in Platinum-Sensitive Ovarian Cancer Patients. Br. J. Cancer 2012, 107, 588–591. [Google Scholar] [CrossRef]
- van Zyl, B.; Tang, D.; Bowden, N.A. Biomarkers of Platinum Resistance in Ovarian Cancer: What Can We Use to Improve Treatment. Endocr. Relat. Cancer 2018, 25, R303–R318. [Google Scholar] [CrossRef]
- Havasi, A.; Cainap, S.S.; Havasi, A.T.; Cainap, C. Ovarian Cancer—Insights into Platinum Resistance and Overcoming It. Medicina 2023, 59, 544. [Google Scholar] [CrossRef]
- Tokunaga, H.; Shimada, M.; Ishikawa, M.; Yaegashi, N. TNM Classification of Gynaecological Malignant Tumours, Eighth Edition: Changes between the Seventh and Eighth Editions. Jpn. J. Clin. Oncol. 2019, 49, 311–320. [Google Scholar] [CrossRef] [PubMed]
- Ovarian Cancer Risk Factors|Risk Factors for Ovarian Cancer. American Cancer Society. Available online: https://www.cancer.org/cancer/types/ovarian-cancer/causes-risks-prevention/risk-factors.html (accessed on 10 February 2024).
- Miyoshi, A.; Kanao, S.; Naoi, H.; Otsuka, H.; Yokoi, T. Ovarian Cancer: Post-Relapse Survival and Prognostic Factors. J. Clin. Gynecol. Obstet. 2018, 7, 31–36. [Google Scholar] [CrossRef]
- Meena, R.K.; Syed, N.A.; Sheikh, Z.A.; Guru, F.R.; Mir, M.H.; Banday, S.Z.; MP, A.K.; Parveen, S.; Dar, N.A.; Bhat, G.M. Patterns of Treatment and Outcomes in Epithelial Ovarian Cancer: A Retrospective North Indian Single-Institution Experience. JCO Glob. Oncol. 2022, 8, e2200032. [Google Scholar] [CrossRef]
- Ries, L.A. Ovarian Cancer. Survival and Treatment Differences by Age. Cancer 1993, 71 (S2), 524–529. [Google Scholar] [CrossRef]
- Millert-Kalińska, S.; Przybylski, M.; Pruski, D.; Stawicka-Niełacna, M.; Mądry, R. Epithelial Ovarian Cancer—Varied Treatment Results. Healthcare 2023, 11, 2043. [Google Scholar] [CrossRef] [PubMed]
- Liu, S.; Wu, M.; Wang, F. Research Progress in Prognostic Factors and Biomarkers of Ovarian Cancer. J. Cancer 2021, 12, 3976–3996. [Google Scholar] [CrossRef] [PubMed]
- Gadducci, A.; Fuso, L.; Cosio, S.; Landoni, F.; Maggino, T.; Perotto, S.; Sartori, E.; Testa, A.; Galletto, L.; Zola, P. Are Surveillance Procedures of Clinical Benefit for Patients Treated for Ovarian Cancer? A Retrospective Italian Multicentric Study. Int. J. Gynecol. Cancer Off. J. Int. Gynecol. Cancer Soc. 2009, 19, 367–374. [Google Scholar] [CrossRef]
- Abuidris, D.O.; Weng, H.-Y.; Elhaj, A.M.; Eltayeb, E.A.; Elsanousi, M.; Ibnoof, R.S.; Mohammed, S.I. Incidence and Survival Rates of Ovarian Cancer in Low-Income Women in Sudan. Mol. Clin. Oncol. 2016, 5, 823–828. [Google Scholar] [CrossRef]
- Gronlund, B.; Høgdall, C.; Hansen, H.H.; Engelholm, S.A. Results of Reinduction Therapy with Paclitaxel and Carboplatin in Recurrent Epithelial Ovarian Cancer. Gynecol. Oncol. 2001, 83, 128–134. [Google Scholar] [CrossRef]
- Sehouli, J.; Chekerov, R.; Reinthaller, A.; Richter, R.; Gonzalez-Martin, A.; Harter, P.; Woopen, H.; Petru, E.; Hanker, L.C.; Keil, E.; et al. Topotecan plus Carboplatin versus Standard Therapy with Paclitaxel plus Carboplatin (PC) or Gemcitabine plus Carboplatin (GC) or Pegylated Liposomal Doxorubicin plus Carboplatin (PLDC): A Randomized Phase III Trial of the NOGGO-AGO-Study Group-AGO Austria and GEICO-ENGOT-GCIG Intergroup Study (HECTOR). Ann. Oncol. Off. J. Eur. Soc. Med. Oncol. 2016, 27, 2236–2241. [Google Scholar] [CrossRef]
- Parmar, M.K.B.; Ledermann, J.A.; Colombo, N.; du Bois, A.; Delaloye, J.-F.; Kristensen, G.B.; Wheeler, S.; Swart, A.M.; Qian, W.; Torri, V.; et al. ICON and AGO Collaborators. Paclitaxel plus Platinum-Based Chemotherapy versus Conventional Platinum-Based Chemotherapy in Women with Relapsed Ovarian Cancer: The ICON4/AGO-OVAR-2.2 Trial. Lancet Lond. Engl. 2003, 361, 2099–2106. [Google Scholar] [CrossRef]
- Pujade-Lauraine, E.; Hilpert, F.; Weber, B.; Reuss, A.; Poveda, A.; Kristensen, G.; Sorio, R.; Vergote, I.; Witteveen, P.; Bamias, A.; et al. Bevacizumab Combined With Chemotherapy for Platinum-Resistant Recurrent Ovarian Cancer: The AURELIA Open-Label Randomized Phase III Trial. J. Clin. Oncol. 2014, 69, 402–404. [Google Scholar] [CrossRef]
- Abudou, M.; Zhong, D.; Wu, T.; Wu, X. Topotecan for Ovarian Cancer. Cochrane Database Syst. Rev. 2008, 2008, CD005589. [Google Scholar] [CrossRef]
- Yuan, Z.; Zhang, Y.; Cao, D.; Shen, K.; Li, Q.; Zhang, G.; Wu, X.; Cui, M.; Yue, Y.; Cheng, W.; et al. Pegylated Liposomal Doxorubicin in Patients with Epithelial Ovarian Cancer. J. Ovarian Res. 2021, 14, 12. [Google Scholar] [CrossRef]
- Berg, T.; Nøttrup, T.J.; Roed, H. Gemcitabine for Recurrent Ovarian Cancer-a Systematic Review and Meta-Analysis. Gynecol. Oncol. 2019, 155, 530–537. [Google Scholar] [CrossRef]
- Lindemann, K.; Gao, B.; Mapagu, C.; Fereday, S.; Emmanuel, C.; Alsop, K.; Traficante, N.; Harnett, P.R.; Bowtell, D.D.L.; deFazio, A. Response Rates to Second-Line Platinum-Based Therapy in Ovarian Cancer Patients Challenge the Clinical Definition of Platinum Resistance. Gynecol. Oncol. 2018, 150, 239–246. [Google Scholar] [CrossRef] [PubMed]
- Bedirian, K.; Aghabekyan, T.; Mesrobian, A.; Shekherdimian, S.; Zohrabyan, D.; Safaryan, L.; Sargsyan, L.; Avagyan, A.; Harutyunyan, L.; Voskanyan, A.; et al. Overview of Cancer Control in Armenia and Policy Implications. Front. Oncol. 2021, 11, 5672. [Google Scholar] [CrossRef] [PubMed]





| Histological Subtypes | Number of Patients (N = 228) | |
|---|---|---|
| Absolute | % | |
| Serous adenocarcinoma | 217 | 95.2 |
| Endometrioid adenocarcinoma | 2 | 0.9 |
| Mucinous adenocarcinoma | 3 | 1.3 |
| Clear cell carcinoma | 1 | 0.4 |
| Squamous cell carcinoma | 1 | 0.4 |
| Undifferentiated | 4 | 1.8 |
| Total | 228 | 100 |
| Survival * in the Platinum-Sensitive Group | Survival * in the Platinum-Resistant Group | |||||
|---|---|---|---|---|---|---|
| Age at the Time of dx | Median (N) # | 95% CI | p-Value | Median (N) | 95% CI | p-Value |
| 20–39 y/o | 66 (12) | 58.3; 73.7 | 0.010 | 9 (2) | - | 0.119 |
| 40–59 y/o | 25 (123) | 19.2; 30.8 | 19 (27) | 9.1; 29.0 | ||
| >60 y/o | 19 (49) | 9.2; 28;8 | 12 (13) | 7.4; 16.6 | ||
| Overall Survival ** in the Platinum-Sensitive Group | Overall Survival ** in the Platinum-Resistant Group | |||||
| Age at the Time of dx | Median (N) | 95% CI | p-Value | Median (N) | 95% CI | p-Value |
| 20–39 y/o | 119 (12) | 74.6; 163.4 | 0.006 | 17 (2) | - | 0.082 |
| 40–59 y/o | 54 (123) | 47.8; 60.2 | 29 (27) | 22.9; 35.1 | ||
| >60 y/o | 51 (49) | 36.4; 65.6 | 21 (13) | 16.3; 25.7 | ||
| Survival * in the Platinum-Sensitive Group | Survival * in the Platinum-Resistant Group | |||||
|---|---|---|---|---|---|---|
| Disease Stage at the Time of dx | Median (N) # | 95% CI | p-Value | Median (N) | 95% CI | p-Value |
| Stage I | 40 (14) | 8.8; 71.2 | 0.275 | 3 (2) | - | 0.847 |
| Stage II | 20 (12) | 8.8; 31.3 | 13 (1) | - | ||
| Stage III | 24 (109) | 17.1; 30.9 | 13 (28) | 3.9; 22.1 | ||
| Stage IV | 26 (49) | 12.3; 39.7 | 12 (11) | 7.5; 16.5 | ||
| Overall Survival ** in the Platinum-Sensitive Group | Overall Survival ** in the Platinum-Resistant Group | |||||
| Disease Stage at the Time of dx | Median (N) | 95% CI | p-Value | Median (N) | 95% CI | p-Value |
| Stage I | 86 (14) | 63.1; 108.9 | 0.180 | 13 (2) | - | 0.499 |
| Stage II | 52 (12) | 47.5; 56.5 | 21 (1) | - | ||
| Stage III | 51 (109) | 44.0; 58.0 | 23 (28) | 16.8; 29.2 | ||
| Stage IV | 57 (49) | 47.2; 66.8 | 34 (11) | 20.6; 47.4 | ||
Disclaimer/Publisher’s Note: The statements, opinions and data contained in all publications are solely those of the individual author(s) and contributor(s) and not of MDPI and/or the editor(s). MDPI and/or the editor(s) disclaim responsibility for any injury to people or property resulting from any ideas, methods, instructions or products referred to in the content. |
© 2024 by the authors. Licensee MDPI, Basel, Switzerland. This article is an open access article distributed under the terms and conditions of the Creative Commons Attribution (CC BY) license (https://creativecommons.org/licenses/by/4.0/).
Share and Cite
Harutyunyan, L.; Manvelyan, E.; Karapetyan, N.; Bardakhchyan, S.; Jilavyan, A.; Tamamyan, G.; Avagyan, A.; Safaryan, L.; Zohrabyan, D.; Movsisyan, N.; et al. A Survival Analysis of Patients with Recurrent Epithelial Ovarian Cancer Based on Relapse Type: A Multi-Institutional Retrospective Study in Armenia. Curr. Oncol. 2024, 31, 1323-1334. https://doi.org/10.3390/curroncol31030100
Harutyunyan L, Manvelyan E, Karapetyan N, Bardakhchyan S, Jilavyan A, Tamamyan G, Avagyan A, Safaryan L, Zohrabyan D, Movsisyan N, et al. A Survival Analysis of Patients with Recurrent Epithelial Ovarian Cancer Based on Relapse Type: A Multi-Institutional Retrospective Study in Armenia. Current Oncology. 2024; 31(3):1323-1334. https://doi.org/10.3390/curroncol31030100
Chicago/Turabian StyleHarutyunyan, Lilit, Evelina Manvelyan, Nune Karapetyan, Samvel Bardakhchyan, Aram Jilavyan, Gevorg Tamamyan, Armen Avagyan, Liana Safaryan, Davit Zohrabyan, Narine Movsisyan, and et al. 2024. "A Survival Analysis of Patients with Recurrent Epithelial Ovarian Cancer Based on Relapse Type: A Multi-Institutional Retrospective Study in Armenia" Current Oncology 31, no. 3: 1323-1334. https://doi.org/10.3390/curroncol31030100
APA StyleHarutyunyan, L., Manvelyan, E., Karapetyan, N., Bardakhchyan, S., Jilavyan, A., Tamamyan, G., Avagyan, A., Safaryan, L., Zohrabyan, D., Movsisyan, N., Avinyan, A., Galoyan, A., Sargsyan, M., Harutyunyan, M., Nersoyan, H., Stepanyan, A., Galstyan, A., Danielyan, S., Muradyan, A., & Jilavyan, G. (2024). A Survival Analysis of Patients with Recurrent Epithelial Ovarian Cancer Based on Relapse Type: A Multi-Institutional Retrospective Study in Armenia. Current Oncology, 31(3), 1323-1334. https://doi.org/10.3390/curroncol31030100

