A Nomogram and Risk Classification System Predicting the Prognosis of Patients with De Novo Metastatic Breast Cancer Undergoing Immediate Breast Reconstruction: A Surveillance, Epidemiology, and End Results Population-Based Study
Abstract
:1. Introduction
2. Methods
2.1. Population and Data Collection
2.2. Study Design
2.3. Statistical Analysis
2.4. Ethics Statement
3. Results
3.1. Baseline Characteristics in the Training and Validation Cohorts
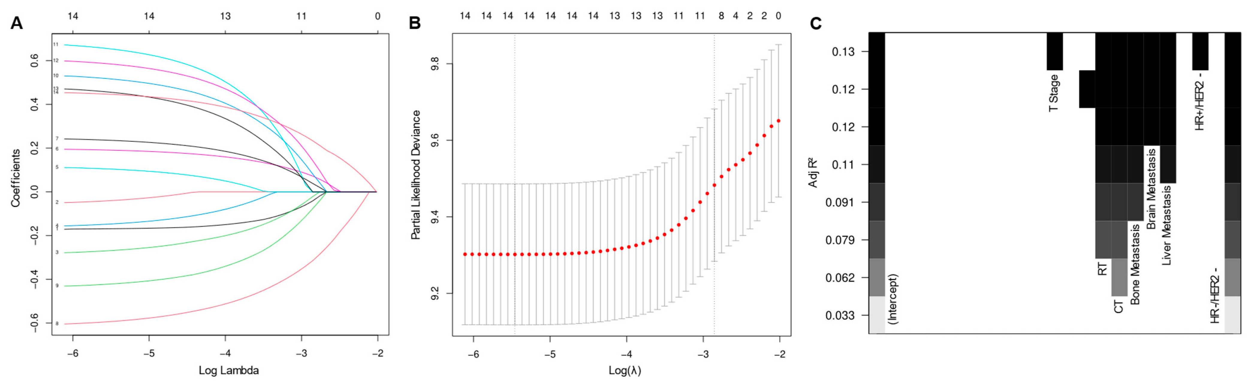
3.2. Variable Selection
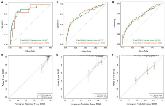
3.3. Development and Validation of a Predicting Nomogram
3.4. Development of Nomogram Risk Stratification Prediction Model
4. Discussion
5. Conclusions
Author Contributions
Funding
Institutional Review Board Statement
Informed Consent Statement
Data Availability Statement
Acknowledgments
Conflicts of Interest
Abbreviations
| dnMBC | De novo metastatic breast cancer |
| IBR | Immediate breast reconstruction |
| BCSS | Breast cancer-specific survival |
| SEER | Surveillance, Epidemiology, and End Results |
| LASSO | Least absolute shrinkage and selection operator |
| BSR | Best subset regression |
| C-index | Concordance index |
| ROC | Receiver operating characteristic |
| DCA | Decision curve analysis |
| AUC | Area under the curve |
| AIC | Akaike information criterion |
References
- Silber, J.H.; Rosenbaum, P.R.; Clark, A.S.; Giantonio, B.J.; Ross, R.N.; Teng, Y.; Wang, M.; Niknam, B.A.; Ludwig, J.M.; Wang, W.; et al. Characteristics associated with differences in survival among black and white women with breast cancer. JAMA 2013, 310, 389–397. [Google Scholar] [CrossRef] [PubMed]
- Allemani, C.; Matsuda, T.; Di Carlo, V.; Harewood, R.; Matz, M.; Nikšić, M.; Bonaventure, A.; Valkov, M.; Johnson, C.J.; Estève, J.; et al. Global surveillance of trends in cancer survival 2000–14 (CONCORD-3): Analysis of individual records for 37 513 025 patients diagnosed with one of 18 cancers from 322 population-based registries in 71 countries. Lancet 2018, 391, 1023–1075. [Google Scholar] [CrossRef] [PubMed]
- Tao, L.; Chu, L.; Wang, L.I.; Moy, L.; Brammer, M.; Song, C.; Green, M.; Kurian, A.W.; Gomez, S.L.; Clarke, C.A. Occurrence and outcome of de novo metastatic breast cancer by subtype in a large, diverse population. Cancer Causes Control. 2016, 27, 1127–1138. [Google Scholar] [CrossRef] [PubMed]
- Mariotto, A.B.; Etzioni, R.; Hurlbert, M.; Penberthy, L.; Mayer, M. Estimation of the Number of Women Living with Metastatic Breast Cancer in the United States. Cancer Epidemiol. Prev. Biomark. 2017, 26, 809–815. [Google Scholar] [CrossRef] [PubMed]
- Hespe, G.E.; Matusko, N.; Hamill, J.B.; Kozlow, J.H.; Pusic, A.L.; Wilkins, E.G. Outcomes of breast reconstruction in patients with stage IV breast cancer. J. Plast. Reconstr. Aesthet. Surg. 2023, 83, 51–56. [Google Scholar] [CrossRef] [PubMed]
- Chen, H.; Zhang, M.; Wang, M.; Zhang, P.; Bai, F.; Wu, K. Immediate Breast Reconstruction in De Novo Metastatic Breast Cancer: An Analysis of 563 Cases Based on the SEER Database. Clin. Breast Cancer 2019, 19, e135–e141. [Google Scholar] [CrossRef] [PubMed]
- Weiss, A.; Chu, C.K.; Lin, H.; Shen, Y.; Shaitelman, S.F.; Garvey, P.B.; Bedrosian, I.; Babiera, G.V. Reconstruction in the Metastatic Breast Cancer Patient: Results from the National Cancer Database. Ann. Surg. Oncol. 2018, 25, 3125–3133. [Google Scholar] [CrossRef] [PubMed]
- Di Lascio, S.; Pagani, O. Oligometastatic breast cancer: A shift from palliative to potentially curative treatment? Breast Care 2014, 9, 7–14. [Google Scholar] [CrossRef]
- Warschkow, R.; Güller, U.; Tarantino, I.; Cerny, T.; Schmied, B.M.; Thuerlimann, B.; Joerger, M. Improved Survival After Primary Tumor Surgery in Metastatic Breast Cancer: A Propensity-adjusted, Population-based SEER Trend Analysis. Ann. Surg. 2016, 263, 1188–1198. [Google Scholar] [CrossRef]
- Lane, W.O.; Thomas, S.M.; Blitzblau, R.C.; Plichta, J.K.; Rosenberger, L.H.; Fayanju, O.M.; Hyslop, T.; Hwang, E.S.; Greenup, R.A. Surgical Resection of the Primary Tumor in Women With De Novo Stage IV Breast Cancer: Contemporary Practice Patterns and Survival Analysis. Ann. Surg. 2019, 269, 537–544. [Google Scholar] [CrossRef]
- Pons-Tostivint, E.; Kirova, Y.; Lusque, A.; Campone, M.; Geffrelot, J.; Mazouni, C.; Mailliez, A.; Pasquier, D.; Madranges, N.; Firmin, N.; et al. Survival Impact of Locoregional Treatment of the Primary Tumor in De Novo Metastatic Breast Cancers in a Large Multicentric Cohort Study: A Propensity Score-Matched Analysis. Ann. Surg. Oncol. 2019, 26, 356–365. [Google Scholar] [CrossRef] [PubMed]
- Khan, S.A.; Zhao, F.; Goldstein, L.J.; Cella, D.; Basik, M.; Golshan, M.; Julian, T.B.; Pockaj, B.A.; Lee, C.A.; Razaq, W.; et al. Early Local Therapy for the Primary Site in De Novo Stage IV Breast Cancer: Results of a Randomized Clinical Trial (EA2108). J. Clin. Oncol. 2022, 40, 978–987. [Google Scholar] [CrossRef] [PubMed]
- Soran, A.; Ozmen, V.; Ozbas, S.; Karanlik, H.; Muslumanoglu, M.; Igci, A.; Canturk, N.Z.; Utkan, Z.; Evrensel, T.; Sezgin, E. Primary Surgery with Systemic Therapy in Patients with de Novo Stage IV Breast Cancer: 10-year Follow-up; Protocol MF07-01 Randomized Clinical Trial. J. Am. Coll. Surg. 2021, 233, 742–751.e745. [Google Scholar] [CrossRef]
- Fitzal, F.; Bjelic-Radisic, V.; Knauer, M.; Steger, G.; Hubalek, M.; Balic, M.; Singer, C.; Bartsch, R.; Schrenk, P.; Soelkner, L.; et al. Impact of Breast Surgery in Primary Metastasized Breast Cancer: Outcomes of the Prospective Randomized Phase III ABCSG-28 POSYTIVE Trial. Ann. Surg. 2019, 269, 1163–1169. [Google Scholar] [CrossRef] [PubMed]
- Gennari, A.; André, F.; Barrios, C.; Cortés, J.; de Azambuja, E.; DeMichele, A.; Dent, R.; Fenlon, D.; Gligorov, J.; Hurvitz, S.; et al. ESMO Clinical Practice Guideline for the diagnosis, staging and treatment of patients with metastatic breast cancer. Ann. Oncol. 2021, 32, 1475–1495. [Google Scholar] [CrossRef] [PubMed]
- Durrant, C.; Khatib, M.; MacNeill, F.; James, S.; Harris, P. Mastectomy and reconstruction in stage IV breast cancer: A survey of UK breast and plastic surgeons. Breast 2011, 20, 373–379. [Google Scholar] [CrossRef] [PubMed]
- Collins, G.S.; Reitsma, J.B.; Altman, D.G.; Moons, K.G. Transparent reporting of a multivariable prediction model for individual prognosis or diagnosis (TRIPOD): The TRIPOD statement. BMJ 2015, 350, g7594. [Google Scholar] [CrossRef]
- Harris, E.; Barry, M.; Kell, M.R. Meta-analysis to determine if surgical resection of the primary tumour in the setting of stage iv breast cancer impacts on survival. Ann. Surg. Oncol. 2013, 20, 2828–2834. [Google Scholar] [CrossRef]
- Thomas, A.; Khan, S.A.; Chrischilles, E.A.; Schroeder, M.C. Initial Surgery and Survival in Stage IV Breast Cancer in the United States, 1988–2011. JAMA Surg. 2016, 151, 424–431. [Google Scholar] [CrossRef]
- Bhoo-Pathy, N.; Verkooijen, H.M.; Tan, E.-Y.; Miao, H.; Taib, N.A.M.; Brand, J.S.; Dent, R.A.; See, M.-H.; Subramaniam, S.; Chan, P.; et al. Trends in presentation, management and survival of patients with de novo metastatic breast cancer in a Southeast Asian setting. Sci. Rep. 2015, 5, 16252. [Google Scholar] [CrossRef]
- Asaad, M.; Meaike, J.; Yonkus, J.; Hoskin, T.; Hieken, T.; Martinez-Jorge, J.; Tran, N.; Nguyen, M.-D.; Boughey, J.; Degnim, A.C. Breast Reconstruction in the Setting of Stage 4 Breast Cancer: Is It Worthwhile? Ann. Surg. Oncol. 2020, 27, 4730–4739. [Google Scholar] [CrossRef] [PubMed]
- Cui, H.; Dai, L.; Bao, Y.; Hu, L.; Zhou, Z.; Wang, M.; Lin, S.; Wu, H.; Ma, X.; Kang, H. Nomogram Predicts the Role of Primary Tumor Surgery on De Novo Stage-IV Breast Cancer Patients: A SEER-Based Competing Risk Analysis Model. Front. Oncol. 2022, 12, 819531. [Google Scholar] [CrossRef] [PubMed]
- Liu, X.; Wang, C.; Feng, Y.; Shen, C.; He, T.; Wang, Z.; Ma, L.; Du, Z. The prognostic role of surgery and a nomogram to predict the survival of stage IV breast cancer patients. Gland. Surg. 2022, 11, 1224–1239. [Google Scholar] [CrossRef] [PubMed]
- Yang, Y.-S.; Chen, Y.-L.; Di, G.-H.; Jiang, Y.-Z.; Shao, Z.-M. Prognostic value of primary tumor surgery in de novo stage IV breast cancer patients with different metastatic burdens: A propensity score-matched and population-based study. Transl. Cancer Res. 2019, 8, 614–625. [Google Scholar] [CrossRef] [PubMed]
- Zhao, W.; Wu, L.; Zhao, A.; Zhang, M.; Tian, Q.; Shen, Y.; Wang, F.; Wang, B.; Wang, L.; Chen, L.; et al. A nomogram for predicting survival in patients with de novo metastatic breast cancer: A population-based study. BMC Cancer 2020, 20, 982. [Google Scholar] [CrossRef] [PubMed]
- Liu, B.; Liu, H.; Liu, M. Aggressive local therapy for de novo metastatic breast cancer: Challenges and updates (Review). Oncol. Rep. 2023, 50, 163. [Google Scholar] [CrossRef] [PubMed]
- Rashaan, Z.; Bastiaannet, E.; Portielje, J.; van de Water, W.; van der Velde, S.; Ernst, M.; van de Velde, C.; Liefers, G. Surgery in metastatic breast cancer: Patients with a favorable profile seem to have the most benefit from surgery. Eur. J. Surg. Oncol. 2012, 38, 52–56. [Google Scholar] [CrossRef]
- Conte, B.; Soldato, D.; Razeti, M.G.; Fregatti, P.; de Azambuja, E.; Schettini, F.; Prat, A.; Del Mastro, L.; Lambertini, M. De novo Metastatic Breast Cancer Arising in Young Women: Review of the Current Evidence. Clin. Breast Cancer 2022, 22, 78–87. [Google Scholar] [CrossRef]
- Partridge, A.H.; Hughes, M.E.; Warner, E.T.; Ottesen, R.A.; Wong, Y.-N.; Edge, S.B.; Theriault, R.L.; Blayney, D.W.; Niland, J.C.; Winer, E.P.; et al. Subtype-Dependent Relationship Between Young Age at Diagnosis and Breast Cancer Survival. J. Clin. Oncol. 2016, 34, 3308–3314. [Google Scholar] [CrossRef]
- Anders, C.K.; Fan, C.; Parker, J.S.; Carey, L.A.; Blackwell, K.L.; Klauber-DeMore, N.; Perou, C.M. Breast Carcinomas Arising at a Young Age: Unique Biology or a Surrogate for Aggressive Intrinsic Subtypes? J. Clin. Oncol. 2011, 29, e18–e20. [Google Scholar] [CrossRef]
- Ogiya, R.; Sagara, Y.; Niikura, N.; Freedman, R.A. Impact of Subtype on Survival of Young Patients with Stage IV Breast Cancer. Clin. Breast Cancer 2019, 19, 200–207.e201. [Google Scholar] [CrossRef] [PubMed]
- Frank, S.; Carton, M.; Dubot, C.; Campone, M.; Pistilli, B.; Dalenc, F.; Mailliez, A.; Levy, C.; D’hondt, V.; Debled, M.; et al. Impact of age at diagnosis of metastatic breast cancer on overall survival in the real-life ESME metastatic breast cancer cohort. Breast 2020, 52, 50–57. [Google Scholar] [CrossRef] [PubMed]
- Deluche, E.; Antoine, A.; Bachelot, T.; Lardy-Cleaud, A.; Dieras, V.; Brain, E.; Debled, M.; Jacot, W.; Mouret-Reynier, M.A.; Goncalves, A.; et al. Contemporary outcomes of metastatic breast cancer among 22,000 women from the multicentre ESME cohort 2008–2016. Eur. J. Cancer 2020, 129, 60–70. [Google Scholar] [CrossRef] [PubMed]
- Wu, S.-G.; Li, H.; Tang, L.-Y.; Sun, J.-Y.; Zhang, W.-W.; Li, F.-Y.; Chen, Y.-X.; He, Z.-Y. The effect of distant metastases sites on survival in de novo stage-IV breast cancer: A SEER database analysis. Tumor Biol. 2017, 39, 1010428317705082. [Google Scholar] [CrossRef] [PubMed]
- Cardoso, F.; Paluch-Shimon, S.; Senkus, E.; Curigliano, G.; Aapro, M.S.; André, F.; Barrios, C.H.; Bergh, J.; Bhattacharyya, G.S.; Biganzoli, L.; et al. 5th ESO-ESMO international consensus guidelines for advanced breast cancer (ABC 5). Ann. Oncol. 2020, 31, 1623–1649. [Google Scholar] [CrossRef] [PubMed]
- Elbaiomy, M.A.; Akl, T.; Atwan, N.; Elsayed, A.A.; Elzaafarany, M.; Shamaa, S. Clinical Impact of Breast Cancer Stem Cells in Metastatic Breast Cancer Patients. J. Oncol. 2020, 2020, 2561726. [Google Scholar] [CrossRef]
- Gobbini, E.; Ezzalfani, M.; Dieras, V.; Bachelot, T.; Brain, E.; Debled, M.; Jacot, W.; Mouret-Reynier, M.A.; Goncalves, A.; Dalenc, F.; et al. Time trends of overall survival among metastatic breast cancer patients in the real-life ESME cohort. Eur. J. Cancer 2018, 96, 17–24. [Google Scholar] [CrossRef]
- Kim, Y.-J.; Jung, S.-Y.; Kim, K. Survival benefit of radiotherapy after surgery in de novo stage IV breast cancer: A population-based propensity-score matched analysis. Sci. Rep. 2019, 9, 8527. [Google Scholar] [CrossRef]
- Miyashita, M.; Balogun, O.B.; Olopade, O.I.; Huo, D. The optimization of postoperative radiotherapy in de novo stage IV breast cancer: Evidence from real-world data to personalize treatment decisions. Sci. Rep. 2023, 13, 2880. [Google Scholar] [CrossRef]








| Characteristics | Total (n= 682) | Training Group (n = 478) | Validation Group (n = 204) | p Value a |
|---|---|---|---|---|
| Age, years | 0.799 | |||
| ≤50 | 366 (53.7) | 255 (53.3) | 111 (54.4) | |
| >50 | 316 (46.3) | 223 (46.7) | 93 (45.6) | |
| Race (n, %) | 0.171 | |||
| White | 517 (75.8) | 371 (77.6) | 146 (71.6) | |
| Black | 95 (13.9) | 64 (13.4) | 31 (15.2) | |
| Other | 70 (10.3) | 43 (9.0) | 27 (13.2) | |
| Marital status (n, %) | 0.164 | |||
| Married | 433 (63.5) | 312 (65.3) | 121 (59.3) | |
| Unmarried | 249 (36.5) | 166 (34.7) | 83 (40.7) | |
| Laterality (n, %) | 0.751 | |||
| Left | 349 (51.2) | 247 (51.7) | 102 (50.0) | |
| Right | 333 (48.8) | 231 (48.3) | 102 (50.0) | |
| Histologic type (n, %) | 0.245 | |||
| IDC | 551 (80.8) | 387 (81.0) | 164 (80.4) | |
| ILC | 55 (8.1) | 43 (9.0) | 12 (5.9) | |
| Mixed | 50 (7.3) | 30 (6.3) | 20 (9.8) | |
| Other | 26 (3.8) | 18 (3.8) | 8 (3.9) | |
| T stage (n, %) | 0.698 | |||
| T1 | 91 (13.3) | 65 (13.6) | 26 (12.7) | |
| T2 | 277 (40.6) | 188 (39.3) | 89 (43.6) | |
| T3 | 160 (23.5) | 117 (24.5) | 43 (21.1) | |
| T4 | 154 (22.6) | 108 (22.6) | 46 (22.5) | |
| N stage (n, %) | 0.484 | |||
| N0 | 89 (13.0) | 64 (13.4) | 25 (12.3) | |
| N1 | 276 (40.5) | 199 (41.6) | 77 (37.7) | |
| N2–3 | 317 (46.5) | 215 (45.0) | 102 (50.0) | |
| Breast subtype (n, %) | 0.194 | |||
| HR+/HER2+ | 142 (20.8) | 93 (19.5) | 49 (24.0) | |
| HR+/HER2- | 387 (56.7) | 273 (57.1) | 114 (55.9) | |
| HR-/HER2+ | 69 (10.1) | 55 (11.5) | 14 (6.9) | |
| HR-/HER2- | 84 (12.3) | 57 (11.9) | 27 (13.2) | |
| Bone metastasis (n, %) | 0.088 | |||
| Yes | 370 (54.3) | 270 (56.5) | 100 (49.0) | |
| No | 312 (45.7) | 208 (43.5) | 104 (51.0) | |
| Brain metastasis (n, %) | 1.000 | |||
| Yes | 13 (1.9) | 9 (1.9) | 4 (2.0) | |
| No | 669 (98.1) | 469 (98.1) | 200 (98.0) | |
| Liver metastasis (n, %) | 0.387 | |||
| Yes | 135 (19.8) | 90 (18.8) | 45 (22.1) | |
| No | 547 (80.2) | 388 (81.2) | 159 (77.9) | |
| Lung metastasis (n, %) | 0.760 | |||
| Yes | 103 (15.1) | 74 (15.5) | 29 (14.2) | |
| No | 579 (84.9) | 404 (84.5) | 175 (85.8) | |
| Radiotherapy (n, %) | 0.906 | |||
| Yes | 347 (50.9) | 242 (50.6) | 105 (51.5) | |
| No/Unknown | 335 (49.1) | 236 (49.4) | 99 (48.5) | |
| Chemotherapy (n, %) | 0.700 | |||
| Yes | 571 (83.7) | 398 (83.3) | 173 (84.8) | |
| No/Unknown | 111 (16.3) | 80 (16.7) | 31 (15.2) |
| Univariate Cox | BSR | LASSO | ||||
|---|---|---|---|---|---|---|
| HR (95% CI) | p Value | HR (95% CI) | p Value | HR (95% CI) | p Value | |
| Age (years) | ||||||
| ≤50 | 0.796 (0.589–1.077) | 0.138 | 0.749 (0.558–1.006) | 0.055 | ||
| >50 | 1 | 1 | ||||
| Marital status | ||||||
| Married | 0.751 (0.556–1.015) | 0.063 | 0.736 (0.546–0.993) | 0.045 | ||
| Unmarried | 1 | 1 | ||||
| T stage | ||||||
| T1 | 1 | 1 | 1 | |||
| T2 | 1.284 (0.784–2.102) | 0.321 | 1.369 (0.839–2.233) | 0.208 | 1.397 (0.854–2.285) | 0.183 |
| T3 | 1.371 (0.802–2.344) | 0.249 | 1.490 (0.878–2.529) | 0.140 | 1.570 (0.926–2.662) | 0.094 |
| T4 | 2.093 (1.228–3.566) | 0.007 | 2.502 (1.479–4.234) | <0.001 | 2.465 (1.457–4.170) | <0.001 |
| N stage | ||||||
| N0 | 1 | |||||
| N1 | 1.563 (0.929–2.628) | 0.092 | ||||
| N2–3 | 1.776 (1.065–2.962) | 0.028 | ||||
| Breast subtype | ||||||
| HR+/HER2+ | 1 | 1 | 1 | |||
| HR+/HER2- | 1.679 (1.059–2.662) | 0.027 | 1.668 (1.052–2.644) | 0.029 | 1.615 (1.026–2.544) | 0.039 |
| HR-/HER2+ | 1.374 (0.737–2.561) | 0.317 | 1.352 (0.726–2.518) | 0.342 | 1.251 (0.672–2.327) | 0.480 |
| HR-/HER2- | 4.717 (2.773–8.023) | <0.001 | 4.545 (2.686–7.690) | <0.001 | 4.583 (2.704–7.769) | <0.001 |
| Bone metastasis | ||||||
| Yes | 1.690 (1.225–2.331) | 0.001 | 1.715 (1.245–2.363) | <0.001 | 1.649 (1.203–2.261) | 0.002 |
| No | 1 | 1 | 1 | |||
| Liver metastasis | ||||||
| Yes | 2.011 (1.412–2.864) | <0.001 | 2.083 (1.450–2.992) | <0.001 | 2.055 (1.438–2.935) | <0.001 |
| No | 1 | 1 | 1 | |||
| Lung metastasis | ||||||
| Yes | 1.595 (1.072–2.373) | 0.021 | ||||
| No | 1 | |||||
| Brain metastasis | ||||||
| Yes | 1.988 (0.891–4.435) | 0.093 | 2.033 (0.936–4.417) | 0.073 | ||
| No | 1 | 1 | ||||
| Radiotherapy | ||||||
| Yes | 0.539 (0.399–0.728) | <0.001 | 0.543 (0.402–0.734) | <0.001 | 0.543 (0.402–0.733) | <0.001 |
| No/Unknown | 1 | 1 | 1 | |||
| Chemotherapy | ||||||
| Yes | 0.615 (0.422–0.895) | 0.011 | 0.600 (0.415–0.866) | 0.006 | 0.646 (0.445–0.938) | 0.022 |
| No/Unknown | 1 | 1 | 1 | |||
Disclaimer/Publisher’s Note: The statements, opinions and data contained in all publications are solely those of the individual author(s) and contributor(s) and not of MDPI and/or the editor(s). MDPI and/or the editor(s) disclaim responsibility for any injury to people or property resulting from any ideas, methods, instructions or products referred to in the content. |
© 2023 by the authors. Licensee MDPI, Basel, Switzerland. This article is an open access article distributed under the terms and conditions of the Creative Commons Attribution (CC BY) license (https://creativecommons.org/licenses/by/4.0/).
Share and Cite
Zhao, J.; Bian, S.; Di, X.; Xiao, C. A Nomogram and Risk Classification System Predicting the Prognosis of Patients with De Novo Metastatic Breast Cancer Undergoing Immediate Breast Reconstruction: A Surveillance, Epidemiology, and End Results Population-Based Study. Curr. Oncol. 2024, 31, 115-131. https://doi.org/10.3390/curroncol31010008
Zhao J, Bian S, Di X, Xiao C. A Nomogram and Risk Classification System Predicting the Prognosis of Patients with De Novo Metastatic Breast Cancer Undergoing Immediate Breast Reconstruction: A Surveillance, Epidemiology, and End Results Population-Based Study. Current Oncology. 2024; 31(1):115-131. https://doi.org/10.3390/curroncol31010008
Chicago/Turabian StyleZhao, Jingjing, Shichang Bian, Xu Di, and Chunhua Xiao. 2024. "A Nomogram and Risk Classification System Predicting the Prognosis of Patients with De Novo Metastatic Breast Cancer Undergoing Immediate Breast Reconstruction: A Surveillance, Epidemiology, and End Results Population-Based Study" Current Oncology 31, no. 1: 115-131. https://doi.org/10.3390/curroncol31010008
APA StyleZhao, J., Bian, S., Di, X., & Xiao, C. (2024). A Nomogram and Risk Classification System Predicting the Prognosis of Patients with De Novo Metastatic Breast Cancer Undergoing Immediate Breast Reconstruction: A Surveillance, Epidemiology, and End Results Population-Based Study. Current Oncology, 31(1), 115-131. https://doi.org/10.3390/curroncol31010008
