Combined Interval Cytoreductive Surgery and Carboplatin-Based Hyperthermic Intraperitoneal Chemotherapy in Advanced Primary High-Grade Serous Ovarian Cancer
Abstract
:1. Introduction
2. Materials and Methods
2.1. Selection of Patients
2.2. Surgical Protocol
2.3. Hyperthermic Intraperitoneal Chemotherapy (HIPEC)
2.4. Postoperative Morbidity
2.5. Statistical Analysis
3. Results
3.1. Patient Characteristics
3.2. Treatment Characteristics
3.3. Postoperative Morbidity
3.4. Oncological Outcomes
4. Discussion
4.1. Strengths and Weaknesses
4.2. Impact for Future Research
5. Conclusions
Supplementary Materials
Author Contributions
Funding
Institutional Review Board Statement
Informed Consent Statement
Data Availability Statement
Conflicts of Interest
References
- Siegel, R.L.; Miller, K.D.; Jemal, A. Cancer statistics, 2020. CA Cancer J. Clin. 2020, 70, 7–30. [Google Scholar] [CrossRef]
- Pavlov, M.J.; Kovacevic, P.A.; Ceranic, M.S.; Stamenkovic, A.B.; Ivanovic, A.M.; Kecmanovic, D.M. Cytoreductive surgery and modified heated intraoperative intraperitoneal chemotherapy (HIPEC) for advanced and recurrent ovarian cancer—12-year single center experience. Eur. J. Surg. Oncol. 2009, 35, 1186–1191. [Google Scholar] [CrossRef]
- Morgan, R.J., Jr.; Armstrong, D.K.; Alvarez, R.D.; Bakkum-Gamez, J.N.; Behbakht, K.; Chen, L.M.; Copeland, L.; Crispens, M.A.; DeRosa, M.; Dorigo, O.; et al. Ovarian Cancer, Version 1.2016, NCCN Clinical Practice Guidelines in Oncology. J. Natl. Compr. Cancer Netw. 2016, 14, 1134–1163. [Google Scholar] [CrossRef]
- Bristow, R.E.; Tomacruz, R.S.; Armstrong, D.K.; Trimble, E.L.; Montz, F.J. Survival effect of maximal cytoreductive surgery for advanced ovarian carcinoma during the platinum era: A meta-analysis. J. Clin. Oncol. 2002, 20, 1248–1259. [Google Scholar] [CrossRef]
- Chi, D.S.; Liao, J.B.; Leon, L.F.; Venkatraman, E.S.; Hensley, M.L.; Bhaskaran, D.; Hoskins, W.J. Identification of prognostic factors in advanced epithelial ovarian carcinoma. Gynecol. Oncol. 2001, 82, 532–537. [Google Scholar] [CrossRef]
- Armstrong, D.K.; Bundy, B.; Wenzel, L.; Huang, H.Q.; Baergen, R.; Lele, S.; Copeland, L.J.; Walker, J.L.; Burger, R.A. Intraperitoneal cisplatin and paclitaxel in ovarian cancer. N. Engl. J. Med. 2006, 354, 34–43. [Google Scholar] [CrossRef]
- van Driel, W.J.; Koole, S.N.; Sikorska, K.; van Leeuwen, J.H.S.; Schreuder, H.W.R.; Hermans, R.H.M.; De Hingh, I.H.; Van Der Velden, J.; Arts, H.J.; Massuger, L.F.; et al. Hyperthermic Intraperitoneal Chemotherapy in Ovarian Cancer. N. Engl. J. Med. 2018, 378, 230–240. [Google Scholar] [CrossRef] [PubMed]
- Aronson, S.L.; Lopez-Yurda, M.; Koole, S.N.; van Leeuwen, J.H.S.; Schreuder, H.W.R.; Hermans, R.H.M.; de Hingh, I.H.; van Gent, M.D.; Arts, H.J.; van Ham, M.A.; et al. Cytoreductive surgery with or without hyperthermic intraperitoneal chemotherapy in patients with advanced ovarian cancer (OVHIPEC-1): Final survival analysis of a randomised, controlled, phase 3 trial. Lancet Oncol. 2023, 24, 1109–1118. [Google Scholar] [CrossRef] [PubMed]
- Armstrong, D.K.; Alvarez, R.D.; Bakkum-Gamez, J.N.; Barroilhet, L.; Behbakht, K.; Berchuck, A.; Chen, L.M.; Cristea, M.; DeRosa, M.; Eisenhauer, E.L.; et al. Ovarian Cancer, Version 2.2020, NCCN Clinical Practice Guidelines in Oncology. J. Natl. Compr. Cancer Netw. 2021, 19, 191–226. [Google Scholar] [CrossRef] [PubMed]
- Steller, M.A.; Egorin, M.J.; Trimble, E.L.; Bartlett, D.L.; Zuhowski, E.G.; Alexander, H.R.; Dedrick, R.L. A pilot phase I trial of continuous hyperthermic peritoneal perfusion with high-dose carboplatin as primary treatment of patients with small-volume residual ovarian cancer. Cancer Chemother. Pharmacol. 1999, 43, 106–114. [Google Scholar] [CrossRef]
- Mikkelsen, M.S.; Blaakaer, J.; Petersen, L.K.; Schleiss, L.G.; Iversen, L.H. Pharmacokinetics and toxicity of carboplatin used for hyperthermic intraperitoneal chemotherapy (HIPEC) in treatment of epithelial ovarian cancer. Pleura Peritoneum 2020, 5, 20200137. [Google Scholar] [CrossRef]
- Lavoue, V.; Huchon, C.; Darai, E. Management of Epithelial Ovarian Cancer: French joint recommendations of FRANCOGYN, CNGOF, SFOG, GINECO-ARCAGY and endorsed by INCa. Introduction. Gynecol. Obstet. Fertil. Senol. 2019, 47, 93–94. [Google Scholar]
- Moukarzel, L.A.; Ferrando, L.; Dopeso, H.; Stylianou, A.; Basili, T.; Pareja, F.; Paula, A.D.C.; Zoppoli, G.; Abu-Rustum, N.R.; Reis-Filho, J.S.; et al. Hyperthermic intraperitoneal chemotherapy (HIPEC) with carboplatin induces distinct transcriptomic changes in ovarian tumor and normal tissues. Gynecol. Oncol. 2022, 165, 239–247. [Google Scholar] [CrossRef]
- Mikkelsen, M.S.; Christiansen, T.; Petersen, L.K.; Blaakaer, J.; Iversen, L.H. Morbidity after cytoreductive surgery and hyperthermic intraperitoneal chemotherapy with carboplatin used for ovarian, tubal, and primary peritoneal cancer. J. Surg. Oncol. 2019, 120, 550–557. [Google Scholar] [CrossRef]
- Argenta, P.A.; Sueblinvong, T.; Geller, M.A.; Jonson, A.L.; Downs, L.S., Jr.; Carson, L.F.; Ivy, J.J.; Judson, P.L. Hyperthermic intraperitoneal chemotherapy with carboplatin for optimally-cytoreduced, recurrent, platinum-sensitive ovarian carcinoma: A pilot study. Gynecol. Oncol. 2013, 129, 81–85. [Google Scholar] [CrossRef]
- Mendivil, A.A.; Rettenmaier, M.A.; Abaid, L.N.; Brown, J.V., 3rd; Mori, K.M.; Lopez, K.L.; Goldstein, B.H. Consolidation hyperthermic intraperitoneal chemotherapy for the treatment of advanced stage ovarian carcinoma: A 3 year experience. Cancer Chemother. Pharmacol. 2017, 80, 405–410. [Google Scholar] [CrossRef]
- Singh, A.; Rathod, P.S.; Kansal, Y.; Pallavi, V.R.; Sravanti, N.; Abhilasha, G.; Shoba, K.; Rakashekar, K. Phase II Trial on the Feasibility of Single-Dose Intraoperative Intraperitoneal Carboplatin in Advanced Epithelial Ovarian Cancer Following Optimal Cytoreductive Surgery. Indian. J. Surg. Oncol. 2023, 14, 220–225. [Google Scholar] [CrossRef]
- Menzies, A.V.; Usher, E.C.; Hsu, F.C.; Levine, E.A.; Lentz, S.S.; Kelly, M.G. HIPEC after neoadjuvant chemotherapy is associated with acceptable toxicity and favorable quality of life in newly diagnosed advanced ovarian cancer patients. Gynecol. Oncol. 2022, 167, 234–238. [Google Scholar] [CrossRef] [PubMed]
- Clavien, P.A.; Barkun, J.; de Oliveira, M.L.; Vauthey, J.N.; Dindo, D.; Schulick, R.D.; De Santibañes, E.; Pekolj, J.; Slankamenac, K.; Bassi, C.; et al. The Clavien-Dindo classification of surgical complications: Five-year experience. Ann. Surg. 2009, 250, 187–196. [Google Scholar] [CrossRef]
- Jacquet, P.; Sugarbaker, P.H. Clinical research methodologies in diagnosis and staging of patients with peritoneal carcinomatosis. Cancer Treat. Res. 1996, 82, 359–374. [Google Scholar] [PubMed]
- Provencher, D.M.; Gallagher, C.J.; Parulekar, W.R.; Ledermann, J.A.; Armstrong, D.K.; Brundage, M.; Gourley, C.; Romero, I.; Gonzalez-Martin, A.; Feeney, M.; et al. OV21/PETROC: A randomized Gynecologic Cancer Intergroup phase II study of intraperitoneal versus intravenous chemotherapy following neoadjuvant chemotherapy and optimal debulking surgery in epithelial ovarian cancer. Ann. Oncol. 2018, 29, 431–438. [Google Scholar] [CrossRef]
- Huo, Y.R.; Richards, A.; Liauw, W.; Morris, D.L. Hyperthermic intraperitoneal chemotherapy (HIPEC) and cytoreductive surgery (CRS) in ovarian cancer: A systematic review and meta-analysis. Eur. J. Surg. Oncol. 2015, 41, 1578–1589. [Google Scholar] [CrossRef] [PubMed]
- Bakrin, N.; Bereder, J.M.; Decullier, E.; Classe, J.M.; Msika, S.; Lorimier, G.; Abboud, K.; Meeus, P.; Ferron, G.; Quenet, F.; et al. Peritoneal carcinomatosis treated with cytoreductive surgery and Hyperthermic Intraperitoneal Chemotherapy (HIPEC) for advanced ovarian carcinoma: A French multicentre retrospective cohort study of 566 patients. Eur. J. Surg. Oncol. 2013, 39, 1435–1443. [Google Scholar] [CrossRef] [PubMed]
- Zivanovic, O.; Abramian, A.; Kullmann, M.; Fuhrmann, C.; Coch, C.; Hoeller, T.; Ruehs, H.; Keyver-Paik, M.D.; Rudlowski, C.; Weber, S.; et al. HIPEC ROC I: A phase I study of cisplatin administered as hyperthermic intraoperative intraperitoneal chemoperfusion followed by postoperative intravenous platinum-based chemotherapy in patients with platinum-sensitive recurrent epithelial ovarian cancer. Int. J. Cancer 2015, 136, 699–708. [Google Scholar] [CrossRef] [PubMed]
- Sin, E.I.; Chia, C.S.; Tan, G.H.C.; Soo, K.C.; Teo, M.C. Acute kidney injury in ovarian cancer patients undergoing cytoreductive surgery and hyperthermic intra-peritoneal chemotherapy. Int. J. Hyperth. 2017, 33, 690–695. [Google Scholar] [CrossRef]
- Zivanovic, O.; Chi, D.S.; Zhou, Q.; Iasonos, A.; Konner, J.A.; Makker, V.; Grisham, R.N.; Brown, A.K.; Nerenstone, S.; Diaz, J.P.; et al. Secondary Cytoreduction and Carboplatin Hyperthermic Intraperitoneal Chemotherapy for Platinum-Sensitive Recurrent Ovarian Cancer: An MSK Team Ovary Phase II Study. J. Clin. Oncol. 2021, 39, 2594–2604. [Google Scholar] [CrossRef]
- Farrell, R.; Liauw, W.S.; Morris, D.L. Cytoreductive surgery and hyperthermic intraperitoneal chemotherapy (HIPEC) for ovarian cancer in an Australian institution: Lessons from 20 years’ experience. BMC Surg. 2022, 22, 338. [Google Scholar] [CrossRef]
- Munoz-Zuluaga, C.A.; Sardi, A.; Sittig, M.; Gushchin, V.; King, M.C.; Nieroda, C.; Lopez-Ramirez, F.; Diaz-Montes, T.P. Critical Analysis of Stage IV Epithelial Ovarian Cancer Patients after Treatment with Neoadjuvant Chemotherapy followed by Cytoreductive Surgery and Hyperthermic Intraperitoneal Chemotherapy (CRS/HIPEC). Int. J. Surg. Oncol. 2020, 2020, 1467403. [Google Scholar] [CrossRef]
- Zhang, G.; Zhu, Y.; Liu, C.; Chao, G.; Cui, R.; Zhang, Z. The prognosis impact of hyperthermic intraperitoneal chemotherapy (HIPEC) plus cytoreductive surgery (CRS) in advanced ovarian cancer: The meta-analysis. J. Ovarian Res. 2019, 12, 33. [Google Scholar] [CrossRef]

| No. of Patients (n = 40) | |
|---|---|
| Median age at diagnosis (range)—years | 61 (43–73) |
| Median age at HIPEC (range)—years | 61 (44–73) |
| Median age at death (range)—years | 68 (54–75) |
| Median BMI (range) | 25.0 (17.7–46.0) |
| Primary disease—no. (%) | 40 (100) |
| ECOG performance status—no. (%) | |
| 0 | 7 (18) |
| 1 | 32 (80) |
| 2 | 1 (2) |
| BRCA status—no. (%) | |
| BRCA1 | 2 (5) |
| BRCA2 | 3 (7) |
| Negative | 27 (68) |
| Unknown | 8 (20) |
| Histology—no. (%) | |
| High grade serous | 40 (100) |
| Stage—no. (%) | |
| IIIC | 35 (88) |
| IVA | 2 (5) |
| IVB | 3 (7) |
| Median Ca125 level (range)—units/mL | 856 (22 → 20,000) |
| Imaging—no. (%) | |
| Presence of ascites | 31 (78) |
| No. of Patients (n = 40) | |
|---|---|
| Neoadjuvant chemotherapy | |
| Number of cycles—no. (%) | |
| 0 | 0 (0) |
| 3 | 13 (33) |
| 4 | 22 (55) |
| 5 or more | 5 (12) |
| Cytoreductive surgery | |
| HIPEC agent—no. (%) | |
| Carboplatin | 40 (100) |
| HIPEC duration—no. (%) | |
| Carboplatin 60 min | 10 (25) |
| Carboplatin 90 min | 30 (75) |
| Complete cytoreduction1—no. (%) | |
| CC-0 | 38 (95) |
| CC-1 | 2 (5) |
| Median peritoneal cancer index (range) | 13 (5–34) |
| Peritoneal cancer index—no. (%) | |
| 0–15 | 25 (63) |
| 16 or more | 15 (37) |
| Median blood loss (range)—mL | 1000 (300–4000) |
| Median duration of procedure (range)—min | 475 (300–900) |
| Supracolic omentectomy | 31 (78) |
| Peritonectomy | 26 (65) |
| Partial hepatectomy | 2 (5) |
| Splenectomy | 6 (15) |
| Bowel resection—no. (%) | 20 (50) |
| Small bowel resection | 2 (5) |
| Colon resection | 20 (50) |
| Partial gastrectomy | 2 (5) |
| Bowel resection with ileostomy | 4 (10) |
| Bowel resection with colostomy | 0 (0) |
| Rectal anastomosis | 16 (40) |
| Paraaortic lymph node dissection | 10 (25) |
| Adjuvant chemotherapy | |
| Number of cycles—no. (%) | |
| 0 | 1 (3) |
| 1–2 | 4 (10) |
| 3 | 35 (87) |
| Total number of cycles—no. (%) | |
| 3–5 | 2 (5) |
| 6–7 | 33 (83) |
| 8 or more | 5 (12) |
| No. of Patients (n = 40) | |
|---|---|
| Median blood loss (range)—mL | 1000 (300–4000) |
| Median duration of procedure (range)—min | 475 (300–900) |
| Median Ca125 levels post-chemotherapy (range)—kU/L | 15.4 (3.9–142.4) |
| Median length of hospital stay (range)—d | 13 (8–80) |
| Median time with nasogastric tube (range)—d | 6 (0–13) |
| Median time for passage of gas—d | 5 (3–10) |
| Median time to initiate diet (range)—d | 7 (2–13) |
| Median duration of parenteral nutrition (range)—d | 10 (0–49) |
| Intensive care unit admission—no. (%) | 4 (10) |
| Readmission < 90 days—no. (%) | 6 (15) |
| Blood transfusion—no. (%) | |
| Perioperative transfusion | 16 (40) |
| Postoperative transfusion | 17 (43) |
| Perioperative death—no. (%) | 0 (0) |
| Surgical morbidity as per Clavien–Dindo classification | |
| Minor complications—no. (%) | 34 (85) |
| Grade 1 | 31 (78) |
| Grade 2 | 21 (53) |
| Major complications—no. (%) | 8 (20) |
| Grade 3A | 3 (8) |
| Grade 3B | 2 (5) |
| Grade 4A | 4 (10) |
| Grade 4B | 1 (3) |
| Grade 5 complication—no. (%) | 0 (0) |
| No. of Patients (n = 40) | |
|---|---|
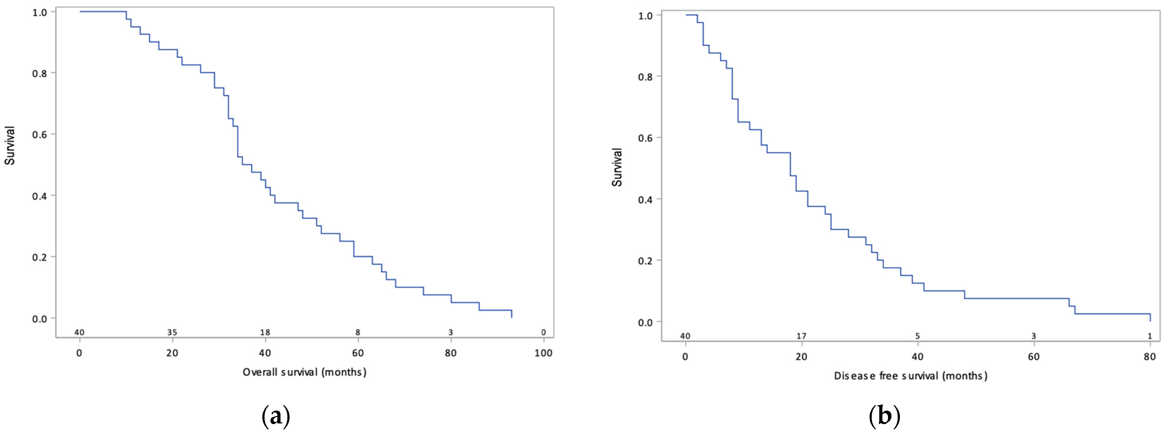
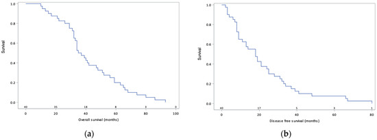
| Median disease-free survival (95% confidence interval)—mo | 18.0 (16.4–27.8) |
| Median overall survival (95% confidence interval)—mo | 36.4 (35.9–48.7) |
| Recurrence interval following CC-0—no. (%) | |
| Platinum-resistant (<6 months) | 5 (13) |
| Platinum-sensitive (>6 months) | 26 (69) |
| No recurrence | 7 (18) |
| Progression interval following CC-1—no. (%) | |
| Platinum-resistant (<6 months) | 1 (50) |
| Platinum-sensitive (>6 months) | 1 (50) |
| Variables | Univariate HR (95% CI) | p Value | Multivariate HR (95% CI) | p Value |
|---|---|---|---|---|
| Age < 60 | - | - | - | - |
| Age ≥ 60 | 1.07 (0.57–2.02) | 0.83 | NA | |
| PCI 0–15 | - | - | - | - |
| PCI ≥ 16 | 2.53 (1.26–4.96) | 0.01 | 2.23 (0.89–5.63) | 0.09 |
| CC-0 | - | - | - | - |
| CC-1 | 2.30 (0.54–9.83) | 0.26 | NA | |
| No severe complication | - | - | - | - |
| Occurrence of severe complications | 1.70 (0.76–3.79) | 0.19 | 1.16 (0.46–2.93) | 0.75 |
| No bowel resection | - | - | - | - |
| Bowel resection | 1.89 (0.99–3.62) | 0.05 | 1.12 (0.43–2.93) | 0.82 |
| Variables | Univariate HR (95% CI) | p Value | Multivariate HR (95% CI) | p Value |
|---|---|---|---|---|
| Age < 60 | - | - | - | - |
| Age ≥ 60 | 1.79 (0.93–3.45) | 0.08 | 1.46 (0.70–3.03) | 0.32 |
| PCI 0–15 | - | - | - | - |
| PCI ≥ 16 | 1.87 (0.96–3.64) | 0.07 | 1.50 (0.61–3.68) | 0.38 |
| CC-0 | - | - | - | - |
| CC-1 | 0.22 (0.03–1.65) | 0.14 | 0.24 (0.03–1.85) | 0.17 |
| No severe complication | - | - | - | - |
| Occurrence of severe complications | 1.33 (0.60–2.96) | 0.48 | NA | |
| No bowel resection | - | - | - | - |
| Bowel resection | 1.80 (0.94–3.46) | 0.08 | 1.13 (0.44–2.92) | 0.80 |
Disclaimer/Publisher’s Note: The statements, opinions and data contained in all publications are solely those of the individual author(s) and contributor(s) and not of MDPI and/or the editor(s). MDPI and/or the editor(s) disclaim responsibility for any injury to people or property resulting from any ideas, methods, instructions or products referred to in the content. |
© 2023 by the authors. Licensee MDPI, Basel, Switzerland. This article is an open access article distributed under the terms and conditions of the Creative Commons Attribution (CC BY) license (https://creativecommons.org/licenses/by/4.0/).
Share and Cite
Brault, C.; Brind’Amour, A.; de Guerke, L.; Auclair, M.-H.; Sideris, L.; Dubé, P.; Soucisse, M.; Tremblay, J.-F.; Bernard, L.; Piedimonte, S.; et al. Combined Interval Cytoreductive Surgery and Carboplatin-Based Hyperthermic Intraperitoneal Chemotherapy in Advanced Primary High-Grade Serous Ovarian Cancer. Curr. Oncol. 2023, 30, 10272-10282. https://doi.org/10.3390/curroncol30120748
Brault C, Brind’Amour A, de Guerke L, Auclair M-H, Sideris L, Dubé P, Soucisse M, Tremblay J-F, Bernard L, Piedimonte S, et al. Combined Interval Cytoreductive Surgery and Carboplatin-Based Hyperthermic Intraperitoneal Chemotherapy in Advanced Primary High-Grade Serous Ovarian Cancer. Current Oncology. 2023; 30(12):10272-10282. https://doi.org/10.3390/curroncol30120748
Chicago/Turabian StyleBrault, Claudèle, Alexandre Brind’Amour, Lara de Guerke, Marie-Hélène Auclair, Lucas Sideris, Pierre Dubé, Mikaël Soucisse, Jean-François Tremblay, Laurence Bernard, Sabrina Piedimonte, and et al. 2023. "Combined Interval Cytoreductive Surgery and Carboplatin-Based Hyperthermic Intraperitoneal Chemotherapy in Advanced Primary High-Grade Serous Ovarian Cancer" Current Oncology 30, no. 12: 10272-10282. https://doi.org/10.3390/curroncol30120748
APA StyleBrault, C., Brind’Amour, A., de Guerke, L., Auclair, M.-H., Sideris, L., Dubé, P., Soucisse, M., Tremblay, J.-F., Bernard, L., Piedimonte, S., & Fortin, S. (2023). Combined Interval Cytoreductive Surgery and Carboplatin-Based Hyperthermic Intraperitoneal Chemotherapy in Advanced Primary High-Grade Serous Ovarian Cancer. Current Oncology, 30(12), 10272-10282. https://doi.org/10.3390/curroncol30120748

