Nivolumab for Recurrent or Metastatic Head and Neck Squamous Cell Carcinoma: A Retrospective Tertiary Centre’s Real-World Experience
Abstract
:1. Introduction
2. Materials and Methods
2.1. Study Design and Cohort
2.2. Data Collection
2.3. Outcomes
2.4. Statistical Analysis
3. Results
3.1. Demographic Characteristics
3.2. Clinical Characteristics
3.3. Treatment History
3.4. Efficacy
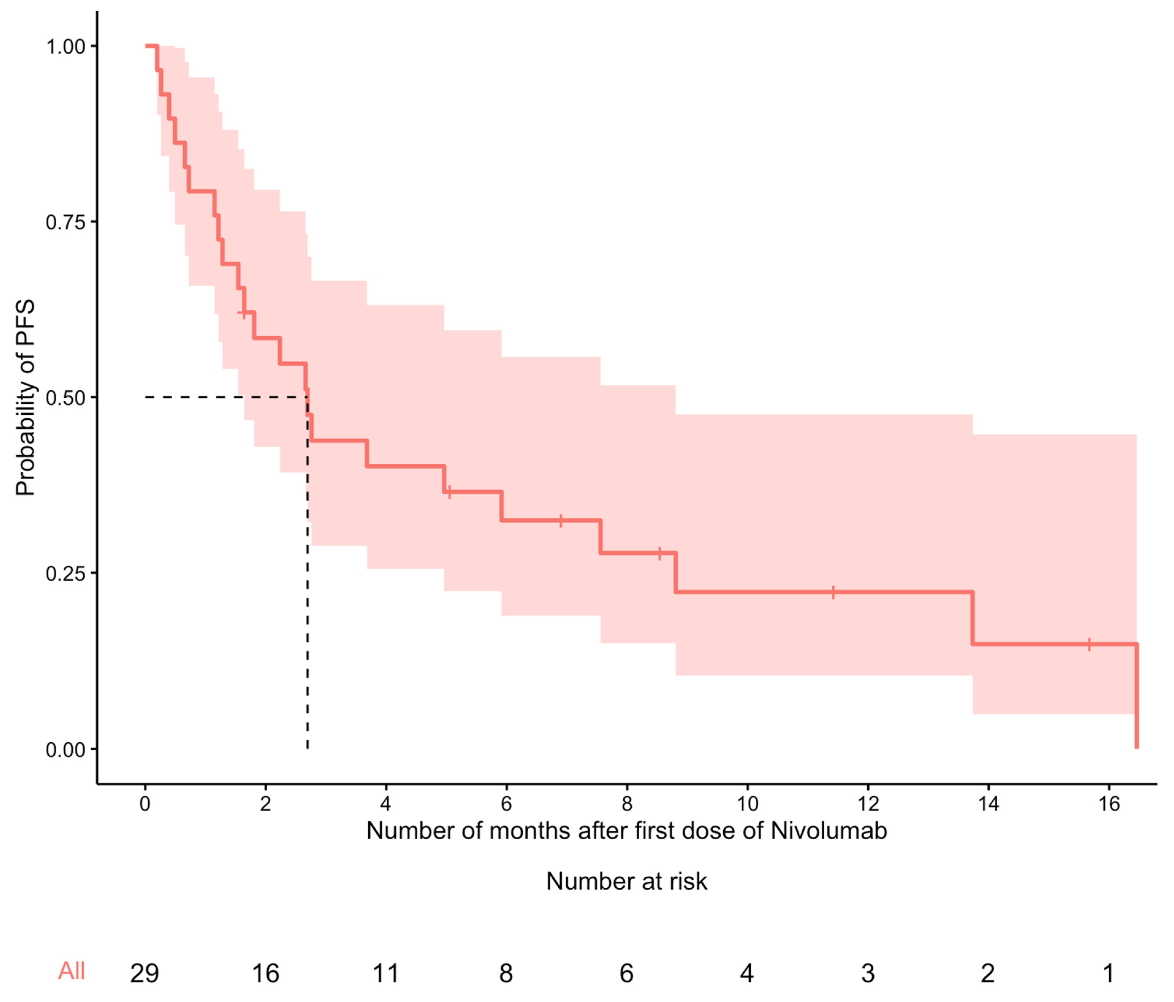
3.5. Survival
3.6. Adverse Events
4. Discussion
5. Conclusions
Author Contributions
Funding
Institutional Review Board Statement
Informed Consent Statement
Data Availability Statement
Conflicts of Interest
References
- Vermorken, J.B.; Specenier, P. Optimal treatment for recurrent/metastatic head and neck cancer. In Annals of Oncology; Oxford University Press: Oxford, UK, 2010. [Google Scholar]
- de Mello, R.A.; Gerós, S.; Alves, M.P.; Moreira, F.; Avezedo, I.; Dinis, J. Cetuximab plus platinum-based chemotherapy in head and neck squamous cell carcinoma: A retrospective study in a single comprehensive European cancer institution. PLoS ONE 2014, 9, e86697. [Google Scholar] [CrossRef] [PubMed]
- Ferris, R.L.; Blumenschein, G.; Fayette, J.; Guigay, J.; Colevas, A.D.; Licitra, L.; Harrington, K.; Kasper, D.; Vokes, E.E.; Even, C.; et al. Nivolumab for Recurrent Squamous-Cell Carcinoma of the Head and Neck. New Engl. J. Med. (NEJM/MMS) 2016, 375, 1856–1867. [Google Scholar] [CrossRef] [PubMed]
- Okamoto, I.; Sato, H.; Tsukahara, K. Overall survival and PD-L1 expression in patients with recurrent or metastatic head and neck cancer treated with nivolumab. Auris Nasus Larynx 2020, 47, 676–686. [Google Scholar] [CrossRef] [PubMed]
- Vermorken, J.B.; Mesia, R.; Rivera, F.; Remenar, E.; Kawecki, A.; Rottey, S.; Erfan, J.; Zabolotnyy, D.; Kienzer, H.R.; Cupissol, D.; et al. Platinum-Based Chemotherapy plus Cetuximab in Head and Neck Cancer Abstract. N. Engl. J. Med. 2008. Available online: www.nejm.org (accessed on 1 September 2022).
- Ansary, T.M.; Hossain, M.R.; Komine, M.; Ohtsuki, M. Immunotherapy for the Treatment of Squamous Cell Carcinoma: Potential Benefits and Challenges. Int. J. Mol. Sci. 2022, 23, 8530. [Google Scholar] [CrossRef] [PubMed]
- Opdivo for Squamous Cell Carcinoma of the Head and Neck (SCCHN)—Details. 2017. Available online: https://www.cadth.ca/opdivo-squamous-cell-carcinoma-head-and-neck-scchn-details (accessed on 20 September 2021).
- Eisenhauer, E.A.; Therasse, P.; Bogaerts, J.; Schwartz, L.H.; Sargent, D.; Ford, R.; Dancey, J.; Arbuck, S.; Gwyther, S.; Mooney, M.; et al. New response evaluation criteria in solid tumours: Revised RECIST guideline (version 1.1). Eur. J. Cancer 2009, 45, 228–247. [Google Scholar] [CrossRef] [PubMed]
- Ferris, R.L.; Blumenschein, G.; Fayette, J.; Guigay, J.; Colevas, A.D.; Licitra, L.; Harrington, K.; Kasper, S.; Vokes, E.; Even, C.; et al. Nivolumab vs investigator’s choice in recurrent or metastatic squamous cell carcinoma of the head and neck: 2-year long-term survival update of CheckMate 141 with analyses by tumor PD-L1 expression. Oral Oncol. 2018, 81, 45–51. [Google Scholar] [CrossRef] [PubMed]
- Liu, S.; Knochelmann, H.M.; Lomeli, S.H.; Hong, A.; Richardson, M.; Yang, Z.; Lim, R.; Wang, Y.; Dumitras, C.; Krysan, K.; et al. Response and recurrence correlates in individuals treated with neoadjuvant anti-PD-1 therapy for resectable oral cavity squamous cell carcinoma. Cell Rep. Med. 2021, 2, 100411. [Google Scholar] [CrossRef] [PubMed]
- Vasiliadou, I.; Breik, O.; Baker, H.; Leslie, I.; Sim, V.R.; Hegarty, G.; Michaelidou, A.; Nathan, K.; Hartley, A.; Good, J.; et al. Safety and treatment outcomes of nivolumab for the treatment of recurrent or metastatic head and neck squamous cell carcinoma: Retrospective multicenter cohort study. Cancers 2021, 13, 1413. [Google Scholar] [CrossRef] [PubMed]
- Okamoto, I.; Sato, H.; Kondo, T.; Koyama, N.; Fushimi, C.; Okada, T.; Miura, K.; Matsuki, T.; Yamashita, T.; Omura, G.; et al. Efficacy and safety of nivolumab in 100 patients with recurrent or metastatic head and neck cancer—A retrospective multicentre study. Acta Otolaryngol. 2019, 139, 918–925. [Google Scholar] [CrossRef] [PubMed]
- Bajwa, R.; Cheema, A.; Khan, T.; Amirpour, A.; Paul, A.; Chaughtai, S.; Patel, S.; Patel, T.; Bramson, J.; Gupta, V.; et al. Adverse Effects of Immune Checkpoint Inhibitors (Programmed Death-1 Inhibitors and Cytotoxic T-Lymphocyte-Associated Protein-4 Inhibitors): Results of a Retrospective Study. J. Clin. Med. Res. 2019, 11, 225–236. [Google Scholar] [CrossRef] [PubMed]
- Burtness, B.; Harrington, K.J.; Greil, R.; Soulières, D.; Tahara, M.; de Castro, G.; Psyrri, A.; Basté, N.; Neupane, P.; Bratland, A.; et al. Pembrolizumab alone or with chemotherapy versus cetuximab with chemotherapy for recurrent or metastatic squamous cell carcinoma of the head and neck (KEYNOTE-048): A randomised, open-label, phase 3 study. Lancet 2019, 394, 1915–1928. [Google Scholar] [CrossRef] [PubMed]


| Demographic Characteristics | n (%) |
|---|---|
| Age at diagnosis, median (IQR) | 61 (36–76) |
| Males | 76 |
| Smoking History | |
| Current | 10 (29%) |
| Former | 11 (32%) |
| Never | 13 (38%) |
| Primary Tumour Site | |
| Oral cavity | 16 (47%) |
| Oropharynx | 11 (32%) |
| Nasopharyngeal | 1 (3%) |
| Larynx | 1 (3%) |
| Hypopharynx | 3 (9%) |
| Other (combinations of the above) | 2 (6%) |
| Sites of Metastasis | |
| Lung | 18 (53%) |
| Bone | 6 (18%) |
| Liver | 3 (9%) |
| Mediastinum | 2 (6%) |
| Other | 6 (18%) |
| p16 Status | |
| Positive | 7 (21%) |
| Negative | 6 (18%) |
| Not tested | 21 (62%) |
| Stage Group at Locally Advanced/Metastatic Diagnosis | |
| Stage 3 | 3 (9%) |
| Stage 4 | 31 (91%) |
| ECOG Performance-Status Score | |
| ECOG 0 | 6 (26%) |
| ECOG 1 | 14 (61%) |
| ECOG 2 | 3 (13%) |
| ECOG ≥ 3 | 1 (4%) |
| Number of Previous Lines of Systemic Therapy | |
| 1 | 21 (62%) |
| 2 | 12 (35%) |
| ≥3 | 1 (3%) |
| Context of Prior Systemic Therapy | |
| Primary disease | 33 (97%) |
| Neoadjuvant therapy | 1 (3%) |
| Metastatic disease | 10 (29%) |
| Type of IrAE | No. Adverse Events/Total No. Adverse Events |
|---|---|
| Pneumonitis | |
| Grade 1 | 3/8 |
| Endocrine | |
| Grade 1 | 1/8 |
| Grade 2 | 2/8 |
| Colitis | |
| Grade 3 | 1/8 |
| Other | |
| Grade 2 | 1/8 |
Disclaimer/Publisher’s Note: The statements, opinions and data contained in all publications are solely those of the individual author(s) and contributor(s) and not of MDPI and/or the editor(s). MDPI and/or the editor(s) disclaim responsibility for any injury to people or property resulting from any ideas, methods, instructions or products referred to in the content. |
© 2023 by the authors. Licensee MDPI, Basel, Switzerland. This article is an open access article distributed under the terms and conditions of the Creative Commons Attribution (CC BY) license (https://creativecommons.org/licenses/by/4.0/).
Share and Cite
Du, Y.; Fu, R.; Levinsky, J.T.; Kamalraj, P.; Chan, K.K.W.; Parmar, A.; Eskander, A.; Smoragiewicz, M. Nivolumab for Recurrent or Metastatic Head and Neck Squamous Cell Carcinoma: A Retrospective Tertiary Centre’s Real-World Experience. Curr. Oncol. 2023, 30, 8928-8935. https://doi.org/10.3390/curroncol30100645
Du Y, Fu R, Levinsky JT, Kamalraj P, Chan KKW, Parmar A, Eskander A, Smoragiewicz M. Nivolumab for Recurrent or Metastatic Head and Neck Squamous Cell Carcinoma: A Retrospective Tertiary Centre’s Real-World Experience. Current Oncology. 2023; 30(10):8928-8935. https://doi.org/10.3390/curroncol30100645
Chicago/Turabian StyleDu, Yue (Jennifer), Rui Fu, Justin T. Levinsky, Pabiththa Kamalraj, Kelvin K. W. Chan, Ambica Parmar, Antoine Eskander, and Martin Smoragiewicz. 2023. "Nivolumab for Recurrent or Metastatic Head and Neck Squamous Cell Carcinoma: A Retrospective Tertiary Centre’s Real-World Experience" Current Oncology 30, no. 10: 8928-8935. https://doi.org/10.3390/curroncol30100645
APA StyleDu, Y., Fu, R., Levinsky, J. T., Kamalraj, P., Chan, K. K. W., Parmar, A., Eskander, A., & Smoragiewicz, M. (2023). Nivolumab for Recurrent or Metastatic Head and Neck Squamous Cell Carcinoma: A Retrospective Tertiary Centre’s Real-World Experience. Current Oncology, 30(10), 8928-8935. https://doi.org/10.3390/curroncol30100645

