Delayed Effect of Dendritic Cells Vaccination on Survival in Glioblastoma: A Systematic Review and Meta-Analysis
Abstract
:1. Introduction
2. Materials and Methods
2.1. Study Selection
2.2. Data Extraction and Quality Assessment
2.3. Statistical Analyses
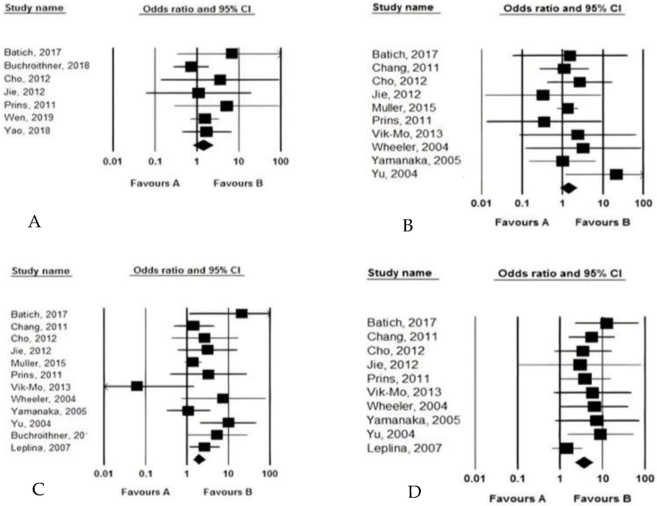
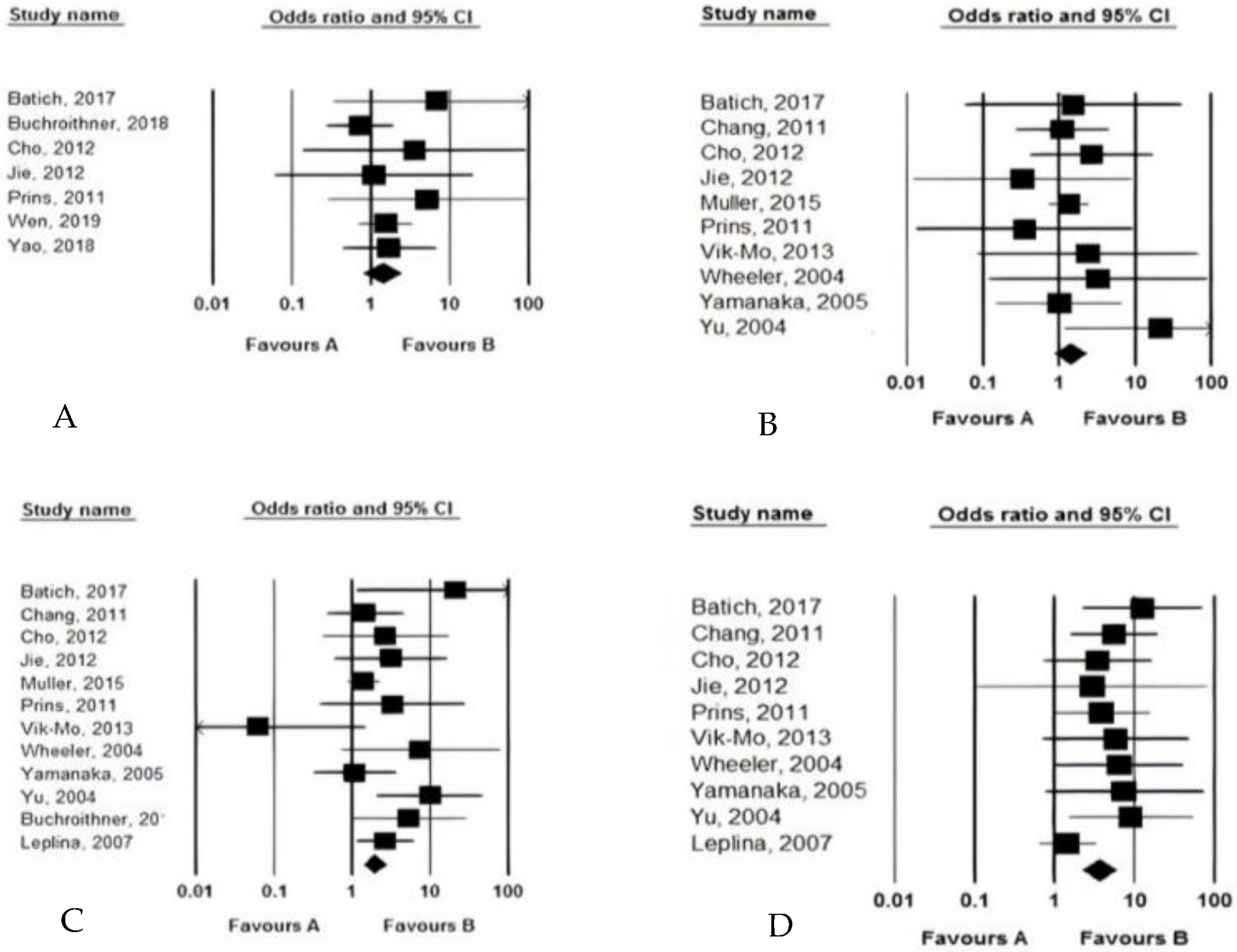
3. Results
4. Discussion
5. Conclusions
Author Contributions
Funding
Conflicts of Interest
References
- Schaller, T.H.; Sampson, J.H. Advances and Challenges: Dendritic Cell Vaccination Strategies for Glioblastoma. Expert Rev. Vaccines 2016, 16, 27–36. [Google Scholar] [CrossRef] [Green Version]
- Golinelli, G.; Grisendi, G.; Prapa, M.; Bestagno, M.; Spano, C.; Rossignoli, F.; Bambi, F.; Sardi, I.; Cellini, M.; Horwitz, E.M.; et al. Targeting GD2-Positive Glioblastoma by Chimeric Antigen Receptor Empowered Mesenchymal Progenitors. Cancer Gene Ther. 2018, 27, 558–570. [Google Scholar] [CrossRef] [Green Version]
- Schäfer, R.; Schwab, M.; Siegel, G.; von Ameln-Mayerhofer, A.; Buadze, M.; Lourhmati, A.; Wendel, H.-P.; Kluba, T.; Krueger, M.A.; Calaminus, C.; et al. Modulating Endothelial Adhesion and Migration Impacts Stem Cell Therapies Efficacy. eBiomedicine 2020, 60, 102987. [Google Scholar] [CrossRef]
- Théry, C.; Witwer, K.W.; Aikawa, E.; Alcaraz, M.J.; Anderson, J.D.; Andriantsitohaina, R.; Antoniou, A.; Arab, T.; Archer, F.; Atkin-Smith, G.K.; et al. Minimal Information for Studies of Extracellular Vesicles 2018 (MISEV2018): A Position Statement of the International Society for Extracellular Vesicles and Update of the MISEV2014 Guidelines. J. Extracell. Vesicles 2018, 7, 1535750. [Google Scholar] [CrossRef] [Green Version]
- Rossi, J.; Giaccherini, L.; Cavallieri, F.; Napoli, M.; Moratti, C.; Froio, E.; Serra, S.; Fraternali, A.; Ghadirpour, R.; Cozzi, S.; et al. Extracranial Metastases in Secondary Glioblastoma Multiforme: A Case Report. BMC Neurol. 2020, 20, 1–9. [Google Scholar] [CrossRef]
- Beatty, G.L.; Gladney, W.L. Immune Escape Mechanisms as a Guide for Cancer Immunotherapy. Clin. Cancer Res. 2014, 21, 687–692. [Google Scholar] [CrossRef] [Green Version]
- Stevenson, G.T. Three Major Uncertainties in the Antibody Therapy of Cancer. Haematologica 2014, 99, 1538–1546. [Google Scholar] [CrossRef] [PubMed] [Green Version]
- Callahan, M.K. Immune Checkpoint Therapy in Melanoma. Cancer J. 2016, 22, 73–80. [Google Scholar] [CrossRef] [PubMed]
- Topalian, S.L.; Taube, J.M.; Anders, R.A.; Pardoll, D.M. Mechanism-Driven Biomarkers to Guide Immune Checkpoint Blockade in Cancer Therapy. Nat. Cancer 2016, 16, 275–287. [Google Scholar] [CrossRef] [PubMed]
- Galluzzi, L.; Chan, T.A.; Kroemer, G.; Wolchok, J.D.; López-Soto, A. The Hallmarks of Successful Anticancer Immunotherapy. Sci. Transl. Med. 2018, 10, eaat7807. [Google Scholar] [CrossRef] [PubMed]
- Li, X.; Wenes, M.; Romero, P.; Huang, S.C.-C.; Fendt, S.-M.; Ho, P.-C. Navigating Metabolic Pathways to Enhance Antitumour Immunity and Immunotherapy. Nat. Rev. Clin. Oncol. 2019, 16, 425–441. [Google Scholar] [CrossRef] [PubMed]
- Pitt, J.M.; Marabelle, A.; Eggermont, A.; Soria, J.-C.; Kroemer, G.; Zitvogel, L. Targeting the Tumor Microenvironment: Removing Obstruction to Anticancer Immune Responses and Immunotherapy. Ann. Oncol. 2016, 27, 1482–1492. [Google Scholar] [CrossRef] [PubMed]
- Trapani, J.A.; Darcy, P.K. Immunotherapy of Cancer. Aust. Fam. Physician 2017, 46, 194–199. [Google Scholar] [PubMed]
- Reardon, D.A.; Freeman, G.; Wu, C.; Chiocca, E.A.; Wucherpfennig, K.W.; Wen, P.Y.; Fritsch, E.F.; Curry, W.T., Jr.; Sampson, J.H.; Dranoff, G. Immunotherapy Advances for Glioblastoma. Neuro-Oncology 2014, 16, 1441–1458. [Google Scholar] [CrossRef]
- Mitchell, D.A.; Batich, K.A.; Gunn, M.D.; Huang, M.-N.; Sanchez-Perez, L.; Nair, S.K.; Congdon, K.L.; Reap, E.A.; Archer, G.E.; Desjardins, A.; et al. Tetanus Toxoid and CCL3 Improve Dendritic Cell Vaccines in Mice and Glioblastoma Patients. Nature 2015, 519, 366–369. [Google Scholar] [CrossRef] [PubMed]
- Batich, K.; Swartz, A.M.; Sampson, J. Enhancing Dendritic Cell-Based Vaccination for Highly Aggressive Glioblastoma. Expert Opin. Biol. Ther. 2014, 15, 79–94. [Google Scholar] [CrossRef] [PubMed]
- Wculek, S.K.; Cueto, F.J.; Mujal, A.M.; Melero, I.; Krummel, M.F.; Sancho, D. Dendritic Cells in Cancer Immunology and Immunotherapy. Nat. Rev. Immunol. 2020, 20, 7–24. [Google Scholar] [CrossRef]
- Wylie, B.; Macri, C.; Mintern, J.; Waithman, J. Dendritic Cells and Cancer: From Biology to Therapeutic Intervention. Cancers 2019, 11, 521. [Google Scholar] [CrossRef] [Green Version]
- Desai, R.; Suryadevara, C.M.; Batich, K.A.; Farber, S.H.; Sanchez-Perez, L.; Sampson, J.H. Emerging Immunotherapies for Glioblastoma. Expert Opin. Emerg. Drugs 2016, 21, 133–145. [Google Scholar] [CrossRef] [Green Version]
- Shamseer, L.; Moher, D.; Clarke, M.; Ghersi, D.; Liberati, A.; Petticrew, M.; Shekelle, P.; Stewart, L.A.; The PRISMA-P Group. Preferred Reporting Items for Systematic Review and Meta-Analysis Protocols (PRISMA-P) 2015: Elaboration and Explanation. BMJ 2015, 349, g7647, Erratum in 2016, 354, i4086. [Google Scholar] [CrossRef] [Green Version]
- Batich, K.A.; Reap, E.A.; Archer, G.E.; Sanchez-Perez, L.; Nair, S.K.; Schmittling, R.J.; Norberg, P.; Xie, W.; Herndon, J.E., II; Healy, P.; et al. Long-Term Survival in Glioblastoma with Cytomegalovirus pp65-Targeted Vaccination. Clin. Cancer Res. 2017, 23, 1898–1909. [Google Scholar] [CrossRef] [PubMed] [Green Version]
- Buchroithner, J.; Erhart, F.; Pichler, J.; Widhalm, G.; Preusser, M.; Stockhammer, G.; Nowosielski, M.; Iglseder, S.; Freyschlag, C.F.; Oberndorfer, S.; et al. Audencel Immunotherapy Based on Dendritic Cells has no Effect on Overall and Progression-Free Survival in Newly Diagnosed Glioblastoma: A Phase II Randomized Trial. Cancers 2018, 10, 372. [Google Scholar] [CrossRef] [PubMed] [Green Version]
- Buchroithner, J.; Pichler, J.; Marosi, C.; Widhalm, G.; Seiz-Rosenhagen, M.; Novosielski, M.; Oberndorfer, S.; Ruckser, R.; Roessler, K.; Azizi, A.; et al. Vascular Endothelia Growth Factor Targeted Therapy May Improve the Effect of Dendritic Cell-Based Cancer Immune Therapy. Int. J. Clin. Pharmacol. Ther. 2014, 52, 76–77. [Google Scholar] [CrossRef] [PubMed]
- Chang, C.-N.; Huang, Y.-C.; Yang, D.-M.; Kikuta, K.; Wei, K.-J.; Kubota, T.; Yang, W.-K. A Phase I/II Clinical Trial Investigating the Adverse and Therapeutic Effects of a Postoperative Autologous Dendritic Cell Tumor Vaccine in Patients with Malignant Glioma. J. Clin. Neurosci. 2011, 18, 1048–1054. [Google Scholar] [CrossRef]
- Cho, D.-Y.; Yang, W.-K.; Lee, H.-C.; Hsu, D.-M.; Lin, H.-L.; Lin, S.-Z.; Chen, C.-C.; Harn, H.-J.; Liu, C.-L.; Lee, W.-Y.; et al. Adjuvant Immunotherapy with Whole-Cell Lysate Dendritic Cells Vaccine for Glioblastoma Multiforme: A Phase II Clinical Trial. World Neurosurg. 2011, 77, 736–744. [Google Scholar] [CrossRef]
- Jie, X.; Hua, L.; Jiang, W.; Feng, F.; Feng, G.; Hua, Z. Clinical Application of a Dendritic Cell Vaccine Raised against Heat-Shocked Glioblastoma. Cell Biophys. 2011, 62, 91–99. [Google Scholar] [CrossRef]
- Leplina, O.Y.; Stupak, V.V.; Kozlov, Y.P.; Pendyurin, I.V.; Nikonov, S.D.; Tikhonova, M.; Sycheva, N.V.; Ostanin, A.A.; Chernykh, E. Use of Interferon-α-Induced Dendritic Cells in the Therapy of Patients with Malignant Brain Gliomas. Bull. Exp. Biol. Med. 2007, 143, 528–534. [Google Scholar] [CrossRef] [PubMed]
- Müller, K.; Henke, G.; Pietschmann, S.; Van Gool, S.; De Vleeschouwer, S.; Von Bueren, A.O.; Compter, I.; Friedrich, C.; Matuschek, C.; Klautke, G.; et al. Re-Irradiation or Re-Operation Followed by Dendritic Cell Vaccination? Comparison of Two Different Salvage Strategies for Relapsed High-Grade Gliomas by Means of a New Prognostic Model. J. Neuro-Oncol. 2015, 124, 325–332. [Google Scholar] [CrossRef] [Green Version]
- Prins, R.M.; Soto, H.; Konkankit, V.; Odesa, S.K.; Eskin, A.; Yong, W.H.; Nelson, S.F.; Liau, L. Gene Expression Profile Correlates with T-Cell Infiltration and Relative Survival in Glioblastoma Patients Vaccinated with Dendritic Cell Immunotherapy. Clin. Cancer Res. 2010, 17, 1603–1615. [Google Scholar] [CrossRef] [Green Version]
- Vik-Mo, E.O.; Nyakas, M.; Mikkelsen, B.V.; Moe, M.C.; Due-Tønnesen, P.; Suso, E.M.I.; Sæbøe-Larssen, S.; Sandberg, C.; Brinchmann, J.E.; Helseth, E.; et al. Therapeutic Vaccination against Autologous Cancer Stem Cells with mRNA-Transfected Dendritic Cells in Patients with Glioblastoma. Cancer Immunol. Immunother. 2013, 62, 1499–1509. [Google Scholar] [CrossRef] [Green Version]
- Wen, P.Y.; Reardon, D.A.; Armstrong, T.S.; Phuphanich, S.; Aiken, R.D.; Landolfi, J.C.; Curry, W.T.; Zhu, J.-J.; Glantz, M.; Peereboom, D.M.; et al. A Randomized Double-Blind Placebo-Controlled Phase II Trial of Dendritic Cell Vaccine ICT-107 in Newly Diagnosed Patients with Glioblastoma. Clin. Cancer Res. 2019, 25, 5799–5807. [Google Scholar] [CrossRef]
- Wheeler, C.J.; Das, A.; Liu, G.; Yu, J.S.; Black, K.L. Clinical Responsiveness of Glioblastoma Multiforme to Chemotherapy after Vaccination. Clin. Cancer Res. 2004, 10, 5316–5326. [Google Scholar] [CrossRef] [PubMed] [Green Version]
- Yamanaka, R.; Abe, T.; Yajima, N.; Tsuchiya, N.; Homma, J.; Kobayashi, T.; Narita, M.; Takahashi, M.; Tanaka, R. Vaccination of Recurrent Glioma Patients with Tumour Lysate-Pulsed Dendritic Cells Elicits Immune Responses: Results of a Clinical Phase I/II trial. Br. J. Cancer 2003, 89, 1172–1179. [Google Scholar] [CrossRef] [PubMed] [Green Version]
- Yao, Y.; Luo, F.; Tang, C.; Chen, D.; Qin, Z.; Hua, W.; Xu, M.; Zhong, P.; Yu, S.; Chen, D.; et al. Molecular Subgroups and B7-H4 Expression Levels Predict Responses to Dendritic Cell Vaccines in Glioblastoma: An Exploratory Randomized Phase II Clinical Trial. Cancer Immunol. Immunother. 2018, 67, 1777–1788. [Google Scholar] [CrossRef] [PubMed]
- Yu, J.S.; Liu, G.; Ying, H.; Yong, W.H.; Black, K.L.; Wheeler, C.J. Vaccination with Tumor Lysate-Pulsed Dendritic Cells Elicits Antigen-Specific, Cytotoxic T-Cells in Patients with Malignant Glioma. Cancer Res. 2004, 64, 4973–4979. [Google Scholar] [CrossRef] [Green Version]
- Yamanaka, R.; Homma, J.; Yajima, N.; Tsuchiya, N.; Sano, M.; Kobayashi, T.; Yoshida, S.; Abe, T.; Narita, M.; Takahashi, M.; et al. Clinical Evaluation of Dendritic Cell Vaccination for Patients with Recurrent Glioma: Results of a Clinical Phase I/II Trial. Clin. Cancer Res. 2005, 11, 4160–4167. [Google Scholar] [CrossRef] [PubMed] [Green Version]
- Roth, C.; Rochlitz, C.; Kourilsky, P. Immune Response against Tumors. Curr. Protoc. Immunol. 1994, 57, 281–351. [Google Scholar] [CrossRef]
- Jiang, W.; Swiggard, W.J.; Heufler, C.; Peng, M.; Mirza, A.; Steinman, R.M.; Nussenzweig, M.C. The Receptor DEC-205 Expressed by Dendritic Cells and Thymic Epithelial Cells Is Involved in Antigen Processing. Nature 1995, 375, 151–155. [Google Scholar] [CrossRef]
- Tjoa, B.; Boynton, A.; Kenny, G.; Ragde, H.; Misrock, S.L.; Murphy, G. Presentation of Prostate Tumor Antigens by Dendritic Cells Stimulates T-Cell Proliferation and Cytotoxicity. Prostate 1996, 28, 65–69. [Google Scholar] [CrossRef]
- Huang, B.; Li, X.; Li, Y.; Zhang, J.; Zong, Z.; Zhang, H. Current Immunotherapies for Glioblastoma Multiforme. Front. Immunol. 2021, 11, 3890. [Google Scholar] [CrossRef]
- Adema, G.J.; Hartgers, F.; Verstraten, R.; De Vries, E.; Marland, G.; Menon, S.; Foster, J.; Xu, Y.; Nooyen, P.; McClanahan, T.; et al. A Dendritic-Cell-Derived C–C Chemokine that Preferentially Attracts Naive T Cells. Nature 1997, 387, 713–717. [Google Scholar] [CrossRef] [PubMed]
- Qin, Z.; Noffz, G.; Mohaupt, M.; Blankenstein, T. Interleukin-10 Prevents Dendritic Cell Accumulation and Vaccination with Granulocyte-Macrophage Colony-Stimulating Factor Gene-Modified Tumor Cells. J. Immunol. 1997, 159, 770–776. [Google Scholar]
- Vatu, B.I.; Artene, S.-A.; Staicu, A.-G.; Turcu-Stiolica, A.; Folcuti, C.; Dragoi, A.; Cioc, C.; Baloi, S.-C.; Tataranu, L.G.; Silosi, C.; et al. Assessment of Efficacy of Dendritic Cell Therapy and Viral Therapy in High Grade Glioma Clinical Trials. A Meta-Analytic Review. J. Immunoass. Immunochem. 2018, 40, 70–80. [Google Scholar] [CrossRef] [PubMed]
- Artene, S.-A.; Turcu-Stiolica, A.; Ciurea, M.E.; Folcuti, C.; Tataranu, L.G.; Alexandru, O.; Purcaru, O.S.; Tache, D.E.; Boldeanu, M.V.; Silosi, C.; et al. Comparative Effect of Immunotherapy and Standard Therapy in Patients with High Grade Glioma: A Meta-Analysis of Published Clinical Trials. Sci. Rep. 2018, 8, 11800. [Google Scholar] [CrossRef]
- Cao, J.-X.; Zhang, X.-Y.; Liu, J.-L.; Li, D.; Li, J.-L.; Liu, Y.-S.; Wang, M.; Xu, B.-L.; Wang, H.-B.; Wang, Z.-X. Clinical Efficacy of Tumor Antigen-Pulsed DC Treatment for High-Grade Glioma Patients: Evidence from a Meta-Analysis. PLoS ONE 2014, 9, e107173. [Google Scholar] [CrossRef]
- Rangel-Reyes, J.C.; Chimal-Eguia, J.C.; Castillo-Montiel, E. Dendritic Immunotherapy Improvement for an Optimal Control Murine Model. Comput. Math. Methods Med. 2017, 2017, 1–9. [Google Scholar] [CrossRef] [Green Version]
- Pavelka, Z.; Zitterbart, K.; Nosková, H.; Bajčiová, V.; Slabý, O.; Štěrba, J. Effective Immunotherapy of Glioblastoma in an Adolescent with Constitutional Mismatch Repair-Deficiency Syndrome. Klin. Onkol. 2019, 32, 70–74. [Google Scholar] [CrossRef] [PubMed]



| Author, Year | Trial Phase | Type of Tumor | Sample Size | Mean Age | Male Gender | Follow-Up (Months) | DCV Regimen | Control Group |
|---|---|---|---|---|---|---|---|---|
| Batich, 2017 [21] | I | ND a | Case: 11 Control (historical): 23 | 55 55 | 8 16 | 60 | pp65 lysosome-associated membrane glycoprotein mRNA-pulsed DCs | 60 |
| Buchroithner, 2013 [23] | II | ND | Case: 19 Control (randomized): 21 | N/A | N/A | 18 | Not specified | 18 |
| Buchroithner, 2018 [22] | II | ND | Case: 34 Control (randomized): 42 | 54.6 54.0 | 29 22 | 12 | Tumor lysate-charged autologous DCs (Audencel) | 12 |
| Chang, 2011 [24] | I/II | ND | Case: 17 Control (historical): 63 | 45 42 | N/A | 60 | Phagocytic DCs co-cultured with autologous glioma cells treated by IFN-gamma and heat-shock treatment and then irradiated with 100 Gy | 60 |
| Cho, 2012 [25] | II | ND | Case: 18 Control (randomized): 16 | 52.1 55.8 | 8 8 | 14–56 17–53 | Whole-tumor lysate pulsed DCs | 14 |
| Jie, 2012 [26] | II | ND | Case: 13 Control (randomized): 12 | 40.2 43.1 | 10 9 | 24 | Autologous glioblastoma-DCs (GBM apoptosis induced by heat-shock) | 22 |
| Leplina, 2007 [27] | Pilot | ND | Case: 39 Control (historical): 80 | 43 46 | – | 36 | Interferon-induced DCs | 36 |
| Muller, 2015 [28] | II | ND | Case: 117 Control (historical): 165 | 51.0 52.2 | – | 36 | Not specified | 30 |
| Prins, 2011 [29] | I | ND | Case: 23 Control (historical): 68 | 53 55 | 16 48 | 60 | Glioma lysate-pulsed DCs booster vaccinations with either imiquimod or poly-ICLC adjuvant | 58 |
| Vik-Mo, 2013 [30] | Pilot | ND | Case: 7 Control (historical): 10 | 57 62 | – | 24 | Dendritic cell-based vaccine targeting cancer stem cells | 24 |
| Wheeler, 2004 [32] | I/II | ND | Case: 25 Control (randomized): 13 | 54 56 | 16 4 | 48 | Autologous DCs loaded with HLA-eluted peptides from cultured tumor cells or autologous tumor freeze-thaw lysate | 48 |
| Wen, 2019 [31] | II | ND | Case: 75 Control (randomized): 42 | 57.4, 57.5 | 44, 31 | 40 | DCs pulsed with six synthetic peptide epitopes targeting GBM tumor/stem cell-associated antigens MAGE-1, HER-2, AIM-2, TRP-2, gp100, and IL13Ra2 | 39 |
| Yamanaka, 2005 [36] | I/II | ND | Case: 18 Control (historical): 27 | 50 56 | – | 48 | Peripheral blood DCs pulsed with autologous tumor lysate | 48 |
| Yao, 2018 [34] | II | ND | Case: 22 Control (Randomized): 21 | 48, 50 | 13, 11 | 14 | DCs pulsed with glioblastoma stem cell lysates | 12 |
| Yu, 2004 [35] | I | ND | Case: 14 Control (historical): 26 | 46 53 | 10 18 | 60 | Autologous DCs pulsed with autologous tumor lysate | 60 |
| Author, Year | Number | Median OS | Median PFS | 6-Month PFS | 6-Month OS | 12-Month OS | 24-Month OS | Toxicity |
|---|---|---|---|---|---|---|---|---|
| Batich, 2017 [21] | Case: 11 Control: 23 | 41.1 19.2 | 25.3 8.0 | 100 78.3 | 100 95.7 | 100 52.2 | 72.7 17.4 | No adverse events |
| Buchroithner, 2013 [23] | Case: 19 Control: 21 | 14.6 12.7 | 89.0 62.0 | No adverse events | ||||
| Buchroithner, 2018 [22] | Case: 34 Control: 42 | 18.8 18.9 | 66.7 71.4 | - Thrombopenia (n = 7) - lymphopenia (n = 1) - leucopenia (n = 2) - rash (n = 2) - fatigue (n = 3) - headache (n = 2) - nausea (n = 1) | ||||
| Chang, 2011 [24] | Case: 17 Control: 63 | 17.3 12.7 | 85.1 81.0 | 64.7 55.6 | 41.2 11.1 | - Lymphopenia (n = 17) - serum AST/ALT elevations (n = 8) - seizures (n= 3) - hydrocephalus (n = 1) | ||
| Cho, 2012 [25] | Case: 18 Control: 16 | ND: 31.9 ND: 15.0 | ND: 8.5 ND: 8.0 | 100 100 | 88.9 75.0 | ND: 88.9 ND: 75.0 | ND: 44.4 ND: 18.8 | - abnormal liver function (n = 1) - mild lymphopenia (n = 1) |
| Jie, 2012 [26] | Case: 13 Control: 12 | ND: 17.0 ND: 10.5 | ND: 92.3 ND: 91.7 | 92.3 100 | ND: 69.2 ND: 41.7 | ND: 7.7 ND: 0.0 | - fever (n = 2) - red papules (n = 1) | |
| Leplina, 2007 [27] | Case: 39 Control: 80 | 74.4 52.5 | 35.9 27.5 | No adverse events | ||||
| Muller, 2015 [28] | Case: 117 Control: 165 | 81.3 76.3 | 52.3 43.6 | No adverse events | ||||
| Prins, 2011 [29] | Case: 9 Control: 82 | 31.4 15.9 | 100 80 | 100 100 | 88.9 70.7 | 55.6 24.4 | No adverse events | |
| Vik-Mo, 2013 [30] | Case: 7 Control: 10 | 100 100 | 58.7 80.0 | 71.4 30.0 | - Fatigue (n = 7) - anorexia (n = 5) - focal epileptic seizures (n = 1) | |||
| Wheeler, 2004 [32] | Case: 13 Control: 13 | 100 100 | 92.3 61.5 | 53.8 15.4 | No adverse events | |||
| Wen, 2019 [31] | Case: 75 Control: 42 | MD: 17 MD: 15 | MD: 11.2 MD: 9.0 | 69.1 60.4 | - Nervous system disorder (n = 4) - fatigue (n = 3) - musculoskeletal disorder (n = 1) - blood disorders (n = 6) - infections (2) - metabolic disorders (n = 9) - skin disorders (n = 8) | |||
| Yamanaka, 2005 [36] | Case: 18 Control: 27 | 88.6 88.6 | 61.1 59.3 | 22.2 3.7 | No adverse events | |||
| Yao, 2018 [34] | Case: 22 Control: 21 | MD: 17.3 MD: 10.7 | 77.2 66.7 | - fever (n = 1) - erythema (n = 1) | ||||
| Yu, 2004 [35] | Case: 14 Control: 26 | 33.2 7.5 | 100 57.7 | 78.6 26.9 | 42.9 7.7 | No adverse events |
Publisher’s Note: MDPI stays neutral with regard to jurisdictional claims in published maps and institutional affiliations. |
© 2022 by the authors. Licensee MDPI, Basel, Switzerland. This article is an open access article distributed under the terms and conditions of the Creative Commons Attribution (CC BY) license (https://creativecommons.org/licenses/by/4.0/).
Share and Cite
Cozzi, S.; Najafi, M.; Gomar, M.; Ciammella, P.; Iotti, C.; Iaccarino, C.; Dominici, M.; Pavesi, G.; Chiavelli, C.; Kazemian, A.; et al. Delayed Effect of Dendritic Cells Vaccination on Survival in Glioblastoma: A Systematic Review and Meta-Analysis. Curr. Oncol. 2022, 29, 881-891. https://doi.org/10.3390/curroncol29020075
Cozzi S, Najafi M, Gomar M, Ciammella P, Iotti C, Iaccarino C, Dominici M, Pavesi G, Chiavelli C, Kazemian A, et al. Delayed Effect of Dendritic Cells Vaccination on Survival in Glioblastoma: A Systematic Review and Meta-Analysis. Current Oncology. 2022; 29(2):881-891. https://doi.org/10.3390/curroncol29020075
Chicago/Turabian StyleCozzi, Salvatore, Masoumeh Najafi, Marzieh Gomar, Patrizia Ciammella, Cinzia Iotti, Corrado Iaccarino, Massimo Dominici, Giacomo Pavesi, Chiara Chiavelli, Ali Kazemian, and et al. 2022. "Delayed Effect of Dendritic Cells Vaccination on Survival in Glioblastoma: A Systematic Review and Meta-Analysis" Current Oncology 29, no. 2: 881-891. https://doi.org/10.3390/curroncol29020075
APA StyleCozzi, S., Najafi, M., Gomar, M., Ciammella, P., Iotti, C., Iaccarino, C., Dominici, M., Pavesi, G., Chiavelli, C., Kazemian, A., & Jahanbakhshi, A. (2022). Delayed Effect of Dendritic Cells Vaccination on Survival in Glioblastoma: A Systematic Review and Meta-Analysis. Current Oncology, 29(2), 881-891. https://doi.org/10.3390/curroncol29020075

