Referral, Genetic Counselling, and BRCA Testing in the Manitoba High-Grade Serous Ovarian Cancer Population, 2004–2019
Abstract
Simple Summary
Abstract
1. Introduction
2. Materials and Methods
2.1. Study Design
2.2. Patients
2.3. Data Sources
- Manitoba Cancer Registry (MCR), which maintains records on diagnosis and associated variables including age at diagnosis and death, histology, grade, topography, treatment-including surgery and chemotherapy, and postal code;
- The MCR is a population-based registry that is legally mandated to collect and maintain accurate, comprehensive information about cancer diagnoses in Manitoba and has consistently shown to be of very high quality [19]. Postal code was used to identify income quintiles and the distance between the residence at diagnosis and the cancer treatment centre where the genetics referral program is located. Area-level average household income was determined by linking postal code at diagnosis from the CCR to Statistics Canada’s Postal Code Conversion File (PCCF) to identify the Canadian Census dissemination area (DA) in which an individual resided. Dates of ductal carcinoma in situ breast cancer diagnosis, invasive breast cancer, and cervical cancer diagnosis were used to determine when individuals were no longer eligible for screening;
- CervixCheck maintains a population-based registry of all Pap tests and colposcopies performed in the province. CervixCheck Registry was used to determine Pap test dates for three years prior to the EOC diagnosis;
- Medical Claims Database at Manitoba Health, which provides health care utilization information including uptake of screening mammograms, periodic health examinations, and physician encounters for two years prior to cancer diagnosis, to determine continuity of care;
- Hospital Discharge Abstracts used to exclude visits in the Medical Claims database that were inpatient visits;
- The Population Registry that provided data regarding coverage and cancellation data for the cohort;
- The Winnipeg Regional Health Authority (WRHA)/Shared Health (SH) provided data including referral and testing as well as referral to physician specialty and BRCA test results.
2.4. Outcomes
2.5. Statistical Analysis
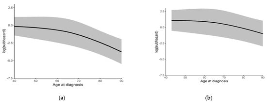
3. Results
4. Discussion
5. Conclusions
Author Contributions
Funding
Institutional Review Board Statement
Informed Consent Statement
Data Availability Statement
Conflicts of Interest
Appendix A
| Diagnosis Years 2004–2013, n = 117 Referrals | Diagnosis Years 2014–2016, n = 110 Referrals | ||||||||||||
|---|---|---|---|---|---|---|---|---|---|---|---|---|---|
| Univariable Analysis | Multivariable Analysis | Univariable Analysis | Multivariable Analysis | ||||||||||
| SHR | 95% CI | p | SHR | 95% CI | p | SHR | 95% CI | p | SHR | 95% CI | p | ||
| Region | Northern | Ref | Ref | 0.363 | Ref | Ref | 0.820 | ||||||
| Interlake-Eastern | 3.11 | 0.73–13.31 | 3.27 | 0.47–22.94 | |||||||||
| Southern Health | 1.61 | 0.35–7.46 | 2.99 | 0.41–21.63 | |||||||||
| Prairie Mountain | 2.46 | 0.57–10.46 | 2.98 | 0.43–20.86 | |||||||||
| Winnipeg | 2.57 | 0.63–10.41 | 3.20 | 0.48–21.25 | |||||||||
| Income | U4–U5 | 1.39 | 0.88–2.19 | 0.154 | 1.72 | 1.08–2.74 | 0.022 | ||||||
| U1–U3 | Ref | Ref | Ref | Ref | |||||||||
| R4–R5 | 2.57 | 1.35–4.91 | 0.004 | 0.68 | 0.32–1.42 | 0.301 | |||||||
| R1–R3 | Ref | Ref | Ref | Ref | |||||||||
| Grade | Unknown | 0.92 | 0.57–1.48 | 0.010 | 0.96 | 0.36–2.57 | <0.001 | 2.27 | 0.65–7.90 | 0.278 | |||
| Undifferentiated | 3.02 | 1.88–4.83 | 2.31 | 0.86–6.20 | 2.52 | 0.78–8.16 | |||||||
| Moderately or poorly differentiated | Ref | Ref | Ref | Ref | Ref | Ref | |||||||
| Histology | Serous carcinoma | 4.49 | 2.77–7.27 | <0.001 | 4.40 | 2.60–7.43 | <0.001 | 2.33 | 1.30–4.18 | 0.005 | |||
| Unclassified epithelial | Ref | Ref | Ref | Ref | Ref | ||||||||
| Stage | Unknown | 1.43 | 0.57–3.59 | 0.010 | 0.44 | 0.17–1.17 | 0.001 | 0.49 | 0.01–1.30 | 0.168 | |||
| I–II | 2.39 | 1.29–4.43 | 1.91 | 0.94–3.89 | 1.15 | 0.53–2.45 | |||||||
| III | 2.44 | 1.40–4.24 | 2.04 | 1.16–3.59 | 1.27 | 0.71–2.29 | |||||||
| IV | Ref | Ref | Ref | Ref | Ref | ||||||||
| Presence of a primary care physician | Yes | 1.34 | 0.61–2.94 | 0.458 | 0.75 | 0.44–1.3 | 0.312 | ||||||
| No | Ref | Ref | Ref | ||||||||||
| Continuity of care | Less than 3 visits | 1.44 | 0.69–3.03 | 0.457 | 1.44 | 0.75–2.76 | 0.199 | ||||||
| Yes | 1.39 | 0.82–2.36 | 0.94 | 0.54–1.64 | |||||||||
| No | Ref | Ref | Ref | ||||||||||
| Charlson index | 0 | 1.29 | 0.80–2.10 | <0.555 | 1.71 | 1.03–2.85 | 0.069 | ||||||
| 1 | 1.14 | 0.64–2.02 | 1.19 | 0.63–2.24 | |||||||||
| 2+ | Ref | Ref | Ref | ||||||||||
| Gravida | Missing | 0.33 | 0.15–0.75 | <0.001 | |||||||||
| 4+ | 0.86 | 0.45–1.65 | |||||||||||
| 1–3 | 1.61 | 0.93–2.79 | |||||||||||
| 0 | Ref | ||||||||||||
| Parity | Missing | 0.36 | 0.15–0.75 | <0.001 | |||||||||
| 4+ | 0.59 | 0.45–1.65 | |||||||||||
| 1–3 | 1.40 | 0.86–2.30 | |||||||||||
| 0 | Ref | ||||||||||||
| History of oral contraceptive use | Missing | 0.56 | 0.34–0.92 | <0.001 | 0.68 | 0.42–1.11 | 0.049 | ||||||
| Yes | 1.91 | 1.18–3.10 | 1.15 | 0.70–1.88 | |||||||||
| No | Ref | Ref | Ref | Ref | |||||||||
| History of HRT use | Missing | 0.57 | 0.38–0.85 | 0.021 | |||||||||
| Yes | 0.88 | 0.54–1.42 | |||||||||||
| No | Ref | Ref | |||||||||||
| Smoking | Missing | 1.45 | 0.52–4.03 | 0.227 | |||||||||
| Current | 2.10 | 0.69–6.44 | |||||||||||
| Former | 2.05 | 0.70–5.94 | |||||||||||
| Never | Ref | Ref | |||||||||||
| Alcohol use | Missing | 0.34 | 0.18–0.62 | <0.001 | |||||||||
| Current | 1.35 | 0.90–2.01 | |||||||||||
| Former | 1.42 | 0.45–4.43 | |||||||||||
| Never | Ref | Ref | |||||||||||
| Family history of ovarian cancer | Yes | 3.40 | 2.18–5.30 | <0.001 | 1.96 | 1.20–3.20 | 0.007 | ||||||
| No | Ref | Ref | Ref | Ref | |||||||||
| Breast cancer screening * | Yes No | 1.35 Ref | 0.80–2.25 Ref | 0.260 | 1.33 Ref | 0.80–2.21 Ref | 0.272 | ||||||
| Cervical cancer screening ** | Yes No | 1.57 Ref | 1.02–2.42 | 0.039 | 1.45 Ref | 0.92–2.28 Ref | 0.107 | ||||||
References
- Petzel, S.V.; Vogel, R.I.; McNiel, J.; Leininger, A.; Argenta, P.A.; Geller, M.A. Improving referral for genetic risk assessment in ovarian cancer using an electronic medical record system. Int. J. Gynecol. Cancer 2014, 24, 1003–1009. [Google Scholar] [CrossRef] [PubMed]
- Prat, J.; Ribé, A.; Gallardo, A. Hereditary ovarian cancer. Hum. Pathol. 2005, 36, 861–870. [Google Scholar] [CrossRef] [PubMed]
- Alsop, K.; Fereday, S.; Meldrum, C.; DeFazio, A.; Emmanuel, C.; George, J.; Dobrovic, A.; Birrer, M.J.; Webb, P.M.; Stewart, C.; et al. BRCA Mutation Frequency and Patterns of Treatment Response in BRCA Mutation–Positive Women with Ovarian Cancer: A Report from the Australian Ovarian Cancer Study Group. J. Clin. Oncol. 2012, 30, 2654–2663. [Google Scholar] [CrossRef]
- Pal, T.; Permuth-Wey, J.; Betts, J.A.; Krischer, J.P.; Fiorica, J.; Arango, H.; LaPolla, J.; Hoffman, M.; Martino, M.A.; Wakeley, K.; et al. BRCA1 and BRCA2 mutations account for a large proportion of ovarian carcinoma cases. Cancer 2005, 104, 2807–2816. [Google Scholar] [CrossRef]
- Risch, H.A.; McLaughlin, J.R.; Cole, D.E.; Rosen, B.; Bradley, L.; Kwan, E.; Jack, E.; Vesprini, D.J.; Kuperstein, G.; Abrahamson, J.A.; et al. Prevalence and penetrance of germline BRCA1 and BRCA2 mutations in a population series of 649 women with ovarian cancer. Am. J. Hum. Genet. 2001, 68, 700–710. [Google Scholar] [CrossRef]
- Walsh, T.; Casadei, S.; Lee, M.K.; Pennil, C.C.; Nord, A.S.; Thornton, A.M.; Roeb, W.; Agnew, K.J.; Stray, S.M.; Wickramanayake, A.; et al. Mutations in 12 genes for inherited ovarian, fallopian tube, and peritoneal carcinoma identified by massively parallel sequencing. Proc. Natl. Acad. Sci. USA 2011, 108, 18032–18037. [Google Scholar] [CrossRef] [PubMed]
- Cohen, P.; Nichols, C.B.; Schofield, L.; Van Der Werf, S.; Pachter, N. Impact of Clinical Genetics Attendance at a Gynecologic Oncology Tumor Board on Referrals for Genetic Counseling and BRCA Mutation Testing. Int. J. Gynecol. Cancer 2016, 26, 892–897. [Google Scholar] [CrossRef]
- McGee, J.; Panabaker, K.; Leonard, S.; Ainsworth, P.; Elit, L.; Shariff, S.Z. Genetics Consultation Rates Following a Diagnosis of High-Grade Serous Ovarian Carcinoma in the Canadian Province of Ontario. Int. J. Gynecol. Cancer 2017, 27, 437–443. [Google Scholar] [CrossRef]
- Dekker, N.; Van Dorst, E.B.; Van Der Luijt, R.B.; Van Gijn, M.E.; Van Tuil, M.; Offerhaus, J.A.; Ausems, M.G. Acceptance of genetic counseling and testing in a hospital-based series of patients with gynecological cancer. J. Genet. Couns. 2013, 22, 345–357. [Google Scholar] [CrossRef]
- Jacobs, I.J.; Menon, U.; Ryan, A.; Gentry-Maharaj, A.; Burnell, M.; Kalsi, J.K.; Amso, N.N.; Apostolidou, S.; Benjamin, E.; Cruickshank, D.; et al. Ovarian cancer screening and mortality in the UK Collaborative Trial of Ovarian Cancer Screening (UKCTOCS): A randomised controlled trial. Lancet 2016, 387, 945–956. [Google Scholar] [CrossRef]
- Buys, S.S.; Partridge, E.; Black, A.; Johnson, C.C.; Lamerato, L.; Isaacs, C.; Douglas, J.; Robert, T.; Lance, A.; Bruce, K.; et al. Effect of screening on ovarian cancer mortality: The Prostate, Lung, Colorectal and Ovarian (PLCO) Cancer Screening Randomized Controlled Trial. JAMA 2011, 305, 2295–2303. [Google Scholar] [CrossRef] [PubMed]
- Lu, K.H.; Skates, S.; Hernandez, M.A.; Bedi, D.; Bevers, T.; Leeds, L.; Moore, R.; Granai, C.; Harris, S.; Newland, W.; et al. A 2-stage ovarian cancer screening strategy using the Risk of Ovarian Cancer Algorithm (ROCA) identifies early-stage incident cancers and demonstrates high positive predictive value. Cancer 2013, 119, 3454–3461. [Google Scholar] [CrossRef] [PubMed]
- Ledermann, J.; Harter, P.; Gourley, C.; Friedlander, M.; Vergote, I.; Rustin, G.; Scott, C.; Meier, W.; Shapira-Frommer, R.; Safra, T.; et al. Olaparib Maintenance Therapy in Platinum-Sensitive Relapsed Ovarian Cancer. N. Engl. J. Med. 2012, 366, 1382–1392. Available online: http://www.nejm.org/doi/abs/10.1056/NEJMoa1105535 (accessed on 8 May 2017). [CrossRef]
- Mirza, M.R.; Monk, B.J.; Herrstedt, J.; Oza, A.M.; Mahner, S.; Redondo, A.; Fabbro, M.; Ledermann, J.A.; Lorusso, D.; Vergote, I.; et al. Niraparib Maintenance Therapy in Platinum-Sensitive, Recurrent Ovarian Cancer. N. Engl. J. Med. 2016, 375, 2154–2164. Available online: http://www.ncbi.nlm.nih.gov/pubmed/27717299 (accessed on 8 May 2017). [CrossRef] [PubMed]
- Ledermann, J.; Harter, P.; Gourley, C.; Friedlander, M.; Vergote, I.; Rustin, G.; Scott, C.L.; Meier, W.; Shapira-Frommer, R.; Safra, T.; et al. Olaparib maintenance therapy in patients with platinum-sensitive relapsed serous ovarian cancer: A preplanned retrospective analysis of outcomes by BRCA status in a randomised phase 2 trial. Lancet Oncol. 2014, 15, 852–861. [Google Scholar] [CrossRef]
- Meyer, L.A.; Anderson, M.E.; Lacour, R.A.; Suri, A.; Daniels, M.S.; Urbauer, D.L.; Nogueras-Gonzalez, G.M.; Schmeler, K.M.; Gershenson, D.M.; Lu, K.H. Evaluating Women with Ovarian Cancer for BRCA1 and BRCA2 Mutations Missed Opportunities. Obstet. Gynecol. Surv. 2010, 65, 436–437. [Google Scholar] [CrossRef]
- Febbraro, T.; Robison, K.; Wilbur, J.S.; Laprise, J.; Lopes, V.; Raker, C.; DeSimone, M.; Stuckey, A. Adherence patterns to National Comprehensive Cancer Network (NCCN) guidelines for referral to cancer genetics professionals. Gynecol. Oncol. 2015, 138, S33–S34. [Google Scholar] [CrossRef] [PubMed]
- Powell, C.B.; Littell, R.; Hoodfar, E.; Sinclair, F.; Pressman, A. Does the diagnosis of breast or ovarian cancer trigger referral to genetic counseling? Int. J. Gynecol. Cancer 2013, 23, 431–436. [Google Scholar] [CrossRef]
- Hotes Ellison, J.; Wu, X.C.; McLaughlin, C.; Lake, A.; Firth, R.; Cormier, M.E. Incidence. In Cancer in North America: 1999–2003; NAACCR: Springfield, IL, USA, 2006; Volume 1. [Google Scholar]
- Charlson, M.E.; Pompei, P.; Ales, K.L.; MacKenzie, C.R. A new method of classifying prognostic comorbidity in longitudinal studies: Development and validation. J. Chronic Dis. 1987, 40, 373–383. Available online: http://www.ncbi.nlm.nih.gov/pubmed/3558716 (accessed on 11 September 2012). [CrossRef]
- Fransoo, R.; Martens, P.; Burland, E.; Prior, H.; Burchill, C.; Chateau, D.; Walld, R. Sex Differences in Health Status, Health Care Use, and Quality of Care: A Population-Based Analysis for Manitoba’s Regional Health Authorities. Manit. Cent. Health Policy 2005. Available online: http://mchp-appserv.cpe.umanitoba.ca/reference/sexdiff.pdf (accessed on 8 March 2018).
- Altman, A.D.; Lambert, P.; Love, A.J.; Turner, D.; Lotocki, R.; Dean, E.; Popowich, S.; Nachtigal, M.W. Examining the Effects of Time to Diagnosis, Income, Symptoms, and Incidental Detection on Overall Survival in Epithelial Ovarian Cancer: Manitoba Ovarian Cancer Outcomes (MOCO) Study Group. Int. J. Gynecol. Cancer 2017, 27, 1637–1644. Available online: http://insights.ovid.com/crossref?an=00009577-201710000-00011 (accessed on 6 October 2017). [CrossRef]
- Kentwell, M.; Dow, E.; Antill, Y.; Wrede, C.D.; McNally, O.; Higgs, E.; Hamilton, A.; Ananda, S.; Lindeman, G.; Scott, C.L. Mainstreaming cancer genetics: A model integrating germline BRCA testing into routine ovarian cancer clinics. Gynecol. Oncol. 2017, 145, 130–136. [Google Scholar] [CrossRef] [PubMed]
- Baer, H.J.; Brawarsky, P.; Murray, M.F.; Haas, J.S. Familial Risk of Cancer and Knowledge and Use of Genetic Testing. J. Gen. Intern. Med. 2010, 25, 717–724. [Google Scholar] [CrossRef] [PubMed]
- Ready, K.; Haque, I.S.; Srinivasan, B.S.; Marshall, J.R. Knowledge and attitudes regarding expanded genetic carrier screening among women’s healthcare providers. Fertil. Steril. 2012, 97, 407–413. [Google Scholar] [CrossRef]
- Ready, K.J.; Daniels, M.S.; Sun, C.C.; Peterson, S.K.; Northrup, H.; Lu, K.H. Obstetrics/Gynecology Residents’ Knowledge of Hereditary Breast and Ovarian Cancer and Lynch Syndrome. J. Cancer Educ. 2010, 25, 401–404. [Google Scholar] [CrossRef] [PubMed]
- Van Riel, E.; Wárlám-Rodenhuis, C.C.; Verhoef, S.; Rutgers, E.J.T.H.; Ausems, M.G.E.M. BRCA testing of breast cancer patients: Medical specialists’ referral patterns, knowledge and attitudes to genetic testing. Eur. J. Cancer. Care 2010, 19, 369–376. [Google Scholar] [CrossRef] [PubMed]
- Wideroff, L.; Vadaparampil, S.T.; Greene, M.H.; Taplin, S.; Olson, L.; Freedman, A.N. Hereditary breast/ovarian and colorectal cancer genetics knowledge in a national sample of US physicians. J. Med. Genet. 2005, 42, 749–755. [Google Scholar] [CrossRef] [PubMed]
- Petzel, S.V.; Vogel, R.I.; Bensend, T.; Leininger, A.; Argenta, P.A.; Geller, M.A. Genetic risk assessment for women with epithelial ovarian cancer: Referral patterns and outcomes in a university gynecologic oncology clinic. J. Genet. Couns. 2013, 22, 662–673. [Google Scholar] [CrossRef] [PubMed]
- Zhang, S.; Royer, R.; Li, S.; McLaughlin, J.R.; Rosen, B.; Risch, H.A.; Fan, I.; Bradley, L.; Shaw, P.A.; Narod, S.A. Frequencies of BRCA1 and BRCA2 mutations among 1342 unselected patients with invasive ovarian cancer. Gynecol. Oncol. 2011, 121, 353–357. Available online: http://www.ncbi.nlm.nih.gov/pubmed/21324516 (accessed on 11 September 2022). [CrossRef]
- Schwartz, M.D.; Valdimarsdottir, H.B.; Peshkin, B.N.; Mandelblatt, J.; Nusbaum, R.; Huang, A.-T.; Chang, Y.; Graves, K.; Isaacs, C.; Wood, M.; et al. Randomized Noninferiority Trial of Telephone Versus In-Person Genetic Counseling for Hereditary Breast and Ovarian Cancer. J. Clin. Oncol. 2014, 32, 618–626. [Google Scholar] [CrossRef]
- Armstrong, K.; Calzone, K.; Stopfer, J.; Fitzgerald, G.; Coyne, J.; Weber, B. Factors associated with decisions about clinical BRCA1/2 testing. Cancer Epidemiol. Biomark. Prev. 2000, 9, 1251–1254. [Google Scholar]
- Geer, K.P.; Ropka, M.E.; Cohn, W.F.; Jones, S.M.; Miesfeldt, S. Factors Influencing Patients’ Decisions to Decline Cancer Genetic Counseling Services. J. Genet. Couns. 2001, 10, 25–40. [Google Scholar] [CrossRef] [PubMed]
- Godard, B.; Pratte, A.; Dumont, M.; Simard-Lebrun, A.; Simard, J. Factors Associated with an Individual’s Decision to Withdraw from Genetic Testing for Breast and Ovarian Cancer Susceptibility: Implications for Counseling. Genet. Test. 2007, 11, 45–54. [Google Scholar] [CrossRef] [PubMed]
- Backes, F.J.; Mitchell, E.; Hampel, H.; Cohn, D.E. Endometrial cancer patients and compliance with genetic counseling: Room for improvement. Gynecol. Oncol. 2011, 123, 532–536. [Google Scholar] [CrossRef] [PubMed]


| Diagnosis of HGSOC | Subgrouping | 2004–2013 n = 586 | 2014–2016 n = 194 | 2017–2019 n = 164 | Full Cohort n = 944 |
|---|---|---|---|---|---|
| Age | Mean (SD) | 66.2 (13.2) | 66.7 (12.3) | 66.6 (12.8) | 66.4 (13.0) |
| Regional Health Authority | Interlake-Eastern | 78 (13.3) | 22 (11.3) | 22 (13.4) | 122 (12.9) |
| Northern | 23 (3.9) | 4 (2.1) | 8 (4.9) | 35 (3.7) | |
| Southern Health | 66 (11.3) | 23 (11.9) | 21 (12.8) | 110 (11.7) | |
| Prairie Mountain | 80 (13.7) | 27 (13.9) | 15 (9.1) | 122 (12.9) | |
| Winnipeg | 339 (57.8) | 118 (60.8) | 98 (59.8) | 555 (58.8) | |
| * Income | U4–U5 | 114 (19.5) | 49 (25.3) | 47 (28.7) | 210 (22.2) |
| U1–U3 | 241 (41.1) | 68 (35.1) | 54 (32.9) | 363 (38.5) | |
| R4–R5 | 93 (15.9) | 22 (11.3) | 28 (17.1) | 143 (15.1) | |
| R1–R3 | 133 (22.7) | 50 (25.8) | 33 (20.1) | 216 (22.9) | |
| Missing | 5 (0.9) | 5 (2.6) | 2 (1.2) | 12 (1.3) | |
| Charlson | 0 | 325 (55.5) | 109 (56.2) | 434 (55.6) | |
| 1 | 130 (22.2) | 45 (23.2) | 175 (22.4) | ||
| 2+ | 131 (22.4) | 40 (20.6) | 171 (21.9) | ||
| Grade | Moderately or poorly differentiated | 166 (28.3) | 8 (4.1) | 2 (1.2) | 176 (18.6) |
| Undifferentiated | 101 (17.2) | 64 (33.0) | 15 (9.1) | 180 (19.1) | |
| Unknown | 319 (54.4) | 122 (62.9) | 147 (89.6) | 588 (62.3) | |
| Histology | Serous carcinoma | 323 (55.1) | 128 (66.0) | 114 (50) | 565 (59.9) |
| Unclassified epithelial | 263 (44.9) | 66 (34.0) | 50 (30.5) | 379 (40.1) | |
| Stage | I | 53 (9.0) | 9 (4.6) | 8 (4.9) | 70 (7.4) |
| II | 62 (10.6) | 12 (6.2) | 9 (5.5) | 83 (8.8) | |
| III | 271 (46.2) | 108 (55.7) | 80 (48.8) | 459 (48.6) | |
| IV | 151 (25.8) | 43 (22.2) | 37 (22.6) | 231 (24.4) | |
| Unknown | 49 (8.4) | 22 (11.3) | 30 (18.3) | 101 (10.7) |
| Diagnosis of HGSOC | 2004–2013 n = 586 | 2014–2016 n = 194 | |
|---|---|---|---|
| Presence of a primary care physician | Yes | 540 (92.2) | 171 (88.1) |
| No | 46 (7.8) | 23 (11.9) | |
| Continuity of care | Yes | 421 (71.8) | 132 (68.0) |
| No | 103 (17.6) | 29 (14.9) | |
| Less than 3 visits | 62 (10.6) | 33 (17.0) | |
| Breast screening * | Yes | 168 (65.4) | 54 (60.0) |
| No | 89 (34.6) | 36 (40.0) | |
| Cervical cancer screening ** | Yes | 185 (59.7) | 58 (54.7) |
| No | 125 (40.3) | 48 (45.3) |
| Result | n (%) |
|---|---|
| BRCA1 | 19 (16.7) |
| BRCA2 | 5 (4.4) |
| BRCA not otherwise specified | 2 (1.8) |
| Positive | 1 (0.9) |
| PALB2 | 1 (0.9) |
| No mutation | 86 (75.4) |
Publisher’s Note: MDPI stays neutral with regard to jurisdictional claims in published maps and institutional affiliations. |
© 2022 by the authors. Licensee MDPI, Basel, Switzerland. This article is an open access article distributed under the terms and conditions of the Creative Commons Attribution (CC BY) license (https://creativecommons.org/licenses/by/4.0/).
Share and Cite
Winchar, K.; Lambert, P.; McManus, K.J.; Chodirker, B.; Kean, S.; Serfas, K.; Decker, K.; Nachtigal, M.W.; Altman, A.D. Referral, Genetic Counselling, and BRCA Testing in the Manitoba High-Grade Serous Ovarian Cancer Population, 2004–2019. Curr. Oncol. 2022, 29, 9365-9376. https://doi.org/10.3390/curroncol29120735
Winchar K, Lambert P, McManus KJ, Chodirker B, Kean S, Serfas K, Decker K, Nachtigal MW, Altman AD. Referral, Genetic Counselling, and BRCA Testing in the Manitoba High-Grade Serous Ovarian Cancer Population, 2004–2019. Current Oncology. 2022; 29(12):9365-9376. https://doi.org/10.3390/curroncol29120735
Chicago/Turabian StyleWinchar, Kelcey, Pascal Lambert, Kirk J. McManus, Bernie Chodirker, Sarah Kean, Kim Serfas, Kathleen Decker, Mark W. Nachtigal, and Alon D. Altman. 2022. "Referral, Genetic Counselling, and BRCA Testing in the Manitoba High-Grade Serous Ovarian Cancer Population, 2004–2019" Current Oncology 29, no. 12: 9365-9376. https://doi.org/10.3390/curroncol29120735
APA StyleWinchar, K., Lambert, P., McManus, K. J., Chodirker, B., Kean, S., Serfas, K., Decker, K., Nachtigal, M. W., & Altman, A. D. (2022). Referral, Genetic Counselling, and BRCA Testing in the Manitoba High-Grade Serous Ovarian Cancer Population, 2004–2019. Current Oncology, 29(12), 9365-9376. https://doi.org/10.3390/curroncol29120735

