Next Article in Journal
Patients with Syncope Remaining Unexplained After a Structured Work-Up Share the Characteristics of Patients with Neurally Mediated Syncope
Previous Article in Journal
Impressive Late Stent Recoil of a Drug-Eluting Resorbable Magnesium Coronary Stent
 
 
Cardiovascular Medicine is published by MDPI from Volume 28 Issue 1 (2025). Previous articles were published by another publisher in Open Access under a CC-BY (or CC-BY-NC-ND) licence, and they are hosted by MDPI on mdpi.com as a courtesy and upon agreement with Editores Medicorum Helveticorum (EMH).
Font Type:
Arial Georgia Verdana
Font Size:
Aa Aa Aa
Line Spacing:
Column Width:
Background:
Article

Acute Decrease in Kidney Function After Acute Coronary Syndromes Predicts Future Bleeding and Cardiac Death

by
Aylin Canbek
1,
Slayman Obeid
1,
François Mach
2,
Marco Roffi
2,
Stephan Windecker
3,
Mueller Olivier
4,
Christian M. Matter
1,5,
Christian Templin
1,
Barbara E. Stähli
1 and
Thomas F. Lüscher
5,6,*
1
Department of Cardiology, University Heart Centre, University Hospital Zurich, Zurich, Switzerland
2
Cardiology Division, University Hospital Geneva, Zurich, Switzerland
3
Department of Cardilology, Inselspital, Bern, Switzerland
4
Division de Cardiologie, Centre Hospitalier Universitaire Vaudois, Lausanne, Switzerland
5
Centre for Molecular Cardiology, University of Zurich, Zurich, Switzerland
6
Heart Division, Royal Brompton and Harefield Hospital and Imperial College, London, UK
*
Author to whom correspondence should be addressed.
Cardiovasc. Med. 2020, 23(2), w02099; https://doi.org/10.4414/cvm.2020.02099
Submission received: 20 January 2020 / Revised: 20 February 2020 / Accepted: 20 March 2020 / Published: 20 April 2020

Abstract

BACKGROUND: Coronary artery disease and renal failure are conditions with severe clinical impact. Current evidence indicates a close link between acutely impaired kidney function and adverse cardiovascular outcomes after percutaneous coronary intervention (PCI). In the current study, we sought to assess the impact of renal impairment in patients presenting with acute coronary syndromes (ACS) within 24 hours of admission on cardiovascular outcomes. METHODS: Between 1 January 2009 and 15 October 2012, we analysed data of 787 patients who presented with the diagnosis of ACS and underwent coronary angiography at the University Hospital Zurich. Blood samples for measurement of creatinine were obtained prior to PCI (T1) and after 12–24 hours (T2). Follow-up was by telephone interview at 30 days and a clinical visit at 1 year. Primary endpoints were major adverse cardiac and cerebrovascular events (MACCE) and/or bleeding events (classified as BARC, GUSTO or TIMI types), termed net adverse clinical events (NACE) when combined, at 30-day and 1-year follow-up. Further, possible predictors of acute kidney injury (AKI) within the first 24 hours after admission were identified. We assessed renal function by means of estimated glomerular filtration rate (GFR) according to the Cockcroft-Gault equation, and divided all patients into six groups according to the KDIGO classification of chronic kidney injury. Additionally, we assessed absolute changes in creatinine ≥0.3 mg/dl, according to the cut-off for the diagnosis of acute kidney injury. RESULTS: A total of 179 patients (24.7%) showed acute decreases in GFR class between T1 and T2. If acute kidney injury was defined as a change in creatinine levels of ≥0.3 mg/dl, a larger number of patients showed an acute decrease in kidney function (44.9%, n = 325). At 30 days, MACCE occurred in 4.3% of all patients (n = 31), whereas those with decreasing GFR showed significantly higher rates of MACCE than patients with stable kidney function (7.8 vs 3.1%, p < 0.05). The effect was mainly attributable to cardiac death. BARC and moderate GUSTO bleedings also were significantly more common in patients with decreasing GFR after 30 days. There were significantly more NACE in patients with a decrease in GFR (17.3 vs 7.3% in the group with stable kidney function, p < 0.05). Up to 1 year, MACCE occurred in 9% of all patients (n = 65), with significantly more MACCE in those with decreasing kidney function (13.4 vs 7.5%, p < 0.05). Similarly, both cardiac and noncardiac deaths were more common in patients with decreasing renal function (p < 0.05). Finally, at long-term follow-up, BARC 3/4/5 bleedings, mild to moderate GUSTO bleedings and major TIMI bleedings occurred more frequently with decreasing GFR (p < 0.05) as did NACE (27.4 vs 13.6%, p < 0.05). CONCLUSION: Decreasing GFR within 24 hours after admission for an ACS is significantly associated with cardiovascular and bleeding events at 30 days and 1 year.

Introduction

Coronary artery disease (CAD) is among the leading causes of death worldwide [1]. In the Global Burden of Disease Study, cardiovascular diseases were ranked second among noncommunicable diseases, with CAD showing an percentage mortality increase of 34.9% between 1990 and 2010 [2]. The most recent European data on cardiovascular diseases show similar results, still associated with substantial cardiovascular morbidity and mortality [3]. Cardiovascular diseases account for 45% of all deaths in Europe, with CAD as major cause. The prevalence of individuals with heart or circulatory diseases was 9.2% among all European countries in 2014, while for Switzerland, 7% of the population were reported to have heart or circulatory problems [4].
Chronic kidney disease (CKD) is also a common condition, with an estimated prevalence of 8−16% worldwide [5]. The death rate due to CDK almost doubled between 1990 and 2010 (82.3% increase) [2]. CAD and renal failure are closely linked [6]. In 2003, the Global Registry of Acute Coronary Events (GRACE) developed a risk assessment model for in-hospital mortality in patients with acute coronary syndromes (ACS). They identified eight independent risk factors, which accounted for approximately 90% of the prognostic information, including serum creatinine level [7].
In the present study, we sought to assess the impact of acute renal impairment on cardiovascular outcomes in a contemporary prospective cohort of ACS patients with independent event adjudication. Our aim was to evaluate whether acute kidney injury within 24 hours of presenting with an ACS was associated with increased major adverse cardiac and cerebrovascular events (MACCE) and/or bleeding events in patients with ACS. A further aim of this analysis was to identify possible predictors of acute kidney injury (AKI) within the first 24 hours following admission for ACS.

Methods

Study population

The present observational cohort study was conducted as a substudy within the SPUM-ACS cohort (Special Program University Medicine – Inflammation and Acute Coronary Syndromes; Clinical Trials Registration: SPUM-ACS cohort NCT01000701). The SPUM-ACS cohort consists of patients with a main diagnosis of ACS referred for coronary angiography to one of the participating university hospitals of Bern, Geneva, Lausanne and Zurich (all in Switzerland). In the current study, we analysed the data of a total of 787 patients enrolled at the University Hospital Zurich between 1 January 2009 and 15 October 2012.
Inclusion criteria were age ≥18 years, diagnosis of ACS and presentation within 5 days (preferably within 72 hours) after appearance of clinical symptoms. The diagnosis of ST segment elevation myocardial infarction (STEMI), non-ST segment elevation myocardial infarction (NSTEMI) or unstable angina was made on the basis of angina symptoms (chest pain, dyspnoea) and at least one of the following criteria: (a) persistent ST-segment elevation or depression, T-inversion or dynamic ECG changes; (b) new left bundle branch block; (c) evidence of positive troponin according to local laboratory reference values (with a rise and/or fall in serial troponin levels); (d) known CAD, specified as prior myocardial infarction (MI), coronary artery bypass grafting (CABG), or PCI or newly documented ≥50% stenosis of an epicardial coronary artery during the initial catheterisation.
Exclusion criteria comprised severe physical disability or inability to comprehend the study and less than 1 year of life expectancy for noncardiac reasons. Patients with peri-/myocarditis, takotsubo cardiomyopathy or microvascular ischaemia (no evidence of stenosis of the epicardial coronary vessels) were identified as “screening failures” and excluded from the study. All patients gave written informed consent and all data was anonymised and checked on site by a dedicated study nurse, all in compliance with the Declaration of Helsinki and the current International Council for Harmonisation of Technical Requirements for Pharmaceuticals for Human Use (ICH) guideline for good clinical practice. The study was approved by the local ethics committee (Kantonale Ethikkomission Zürich, project ID EK-1688).

Data collection

A first blood sample was obtained at coronary angiography prior to PCI (T1). After 12−24 hours, a second venous blood sample was drawn (T2).
Follow-up, at 30 days and 1 year after study inclusion, was for MACCE and/or bleeding events. Follow-up at 30 days consisted of a telephone interview with the general practitioner. At the 1-year follow-up, patients attended a clinic visit at the hospital. Events were adjudicated by three independent experts using prespecified forms. All data were encrypted and pseudononymised prior to being saved in the electronic database ecardiobase.

Coronary angiography

All patients underwent coronary angiography after the first collection of blood. Coronary angiography and PCI were performed as a standard diagnostic and therapeutic procedure for ACS, and according to clinical indication and current guidelines. In the case of significant coronary lesions, patients underwent either PCI or CABG.

Primary endpoints

The primary endpoints were predefined as the occurrence of MACCE − a composite of cardiac death, MI, revascularisation and cerebrovascular events (i.e. stroke or transient ischaemic attack) − or as MACCE and bleeding, termed net adverse clinical events (NACE), at 30 days and at 1-year follow-up [8]. Bleeding events were reported according to the Bleeding Academic Research Consortium (BARC) classification, ranging from type 0 (no bleeding) to type 5 (fatal bleeding). We also applied the Global Utilization of Streptokinase and tPA for Occluded Coronary Arteries (GUSTO) bleeding criteria, which range from mild to severe/life-threatening bleeding; and we applied the Thrombolysis In Myocardial Infarction (TIMI) bleeding criteria for several ranges of non-CABG related bleeding [9]. Additionally, we sought to assess baseline criteria and laboratory parameters associated with AKI, serving as possible predictors.

Classification of acute kidney injury

For the purpose of this study, AKI was classified by categorising glomerular filtration rate (GFR) estimations into six groups according to the Kidney Disease: Improving Global Outcomes (KDIGO) classification of chronic kidney injury [10]. We subsequently recorded deterioration of at least one of a total of six classes. Before 21 July 2011, GFR was estimated by using the Modification of Diet in Renal Disease (MDRD) formula; subsequent estimations used the Chronic Kidney Disease Epidemiology Collaboration (CKD-EPI) formula.
As an incremental value, we analysed the absolute change in creatinine levels by referring to a cut-off of ≥0.3 mg/dl, which can be used for the definition of acute kidney injury stage 1, instead of a relative increase in baseline creatinine [11, 12].

Statistical analysis

Continuous variables were expressed as mean ± standard deviation (SD) or median with interquartile range (IQR) and were compared using one-way analysis of variance (ANOVA), Student’s t-test, Kruskal-Wallis test, or MannWhitney test as appropriate. Categorical data are presented as frequency (percentages) and were compared using the Fisher exact or the chi-square test. Analyses were performed with SPSS version 22.0 software (SPSS Inc., Chicago, Ill). A probability value of <0.05 was considered significant and all tests were two-tailed.

Results

Change in estimated glomerular filtration rate

Between T1 and T2, we assessed a switch from GFR class 1 to higher GFR classes according to the KDIGO classification of chronic kidney injury. A total of 418 (54.2%) patients were classified as GFR class 1 at T1 and 310 (42.8%) patients as GFR class 1 at T2. In contrast, there was an increase in GFR classes 2−6 between T1 and T2. Data were missing from 16 patients at T1 and from 62 patients at T2.
Overall, 69.3% of all patients maintained a stable GFR class between T1 and T2, whereas 22.7% showed an AKI and were reclassified in higher GFR classes at T2 (Table 1, Figure 1, Supplementary Tables S3–S5 in Appendix A). In 8% of cases, values were missing for either T1 or T2.
Of the 724 patients, 24.7% (n = 179) exhibited decreasing kidney function, defined as a negative ratio of eGFR, between T1 and T2.

Change in absolute creatinine levels

The observed prevalence of decreasing renal function differed depending on whether GFR class or absolute creatinine change was used. Based on a creatinine change ≥0.3 mg/dl, only 8.4% of all patients showed an increase of creatinine between T1 and T2, thereby fulfilling the diagnostic criteria of AKI of at least stage 1 (Table 1).
For most patients, the assessment of renal function was similar between the two classification systems: 85.2% of patients with decreasing GFR also showed a decrease in creatinine class, and 80.8% patients with decreasing creatinine class also had a deterioration in GFR class. However, this also implies that 19.2% of patients (almost one fifth) with decreasing GFR class showed no decrease in creatinine ≥0.3 mg/dl and would not have been identified as having AKI according to the latter classification system. At the same time, 14.8% of patients with decreasing creatinine class had no change in GFR class (Table S5). Thus, a change in creatinine class is not necessarily associated with a change in GFR class and vice versa.

Patient characteristics

Patients with decreasing GFR were significantly older and more often female (31.3 vs 16.8% with stable GFR). Furthermore, patients with decreasing GFR were more commonly former or current smokers (Table 2).
Other than that, the baseline characteristics (including left ventricular ejection fraction) and medical history were similar in patients with or without decreasing GFR (Table 2 and Table 3). In particular, there was no difference in medical history of cardiovascular disease except for a higher incidence of peripheral artery disease (PAD) in those with decreasing GFR. Furthermore, patients with decreasing GFR had more often been prescribed aspirin and calcium channel blockers (Supplementary Table S1). Apart from this, there was no significant difference in baseline medication.

Laboratory parameters

Mean creatinine plasma levels at T1 were comparable in patients with or without AKI. However, according to the definition of the two groups, patients who developed an AKI, showed significantly higher plasma creatinine levels at T2 (116 vs 93 mg/dl in patients with stable GFR). In contrast, neither high-sensitivity troponin T (hsTNT), creatine kinase (CK) nor creatine kinase muscle-brain fraction (CK-MB) levels differed at T1 or T2 between patients with or without AKI (Table 4).
The amount of contrast medium used during coronary angiography and/or PCI was similar between patients with stable and decreasing GFR (222 ± 82 vs 213 ± 89 ml). Also, when adjusted for body mass index (BMI), the contrast medium:BMI ratio (ml/kg/m2) did not differ significantly (8.45 ± 3.63 vs 8.28 ± 3.28, respectively). However, there was a significant difference in the contrast medium volume:creatinine clearance ratio (V/CrCl), with a higher ratio in those with decreasing GFR compared with those with stable GFR (2.55 ± 2.0 vs 2.15 ± 3.84, p <0.00).

Primary outcomes at 30 days

At 30 days, MACCE had occurred in 31 patients (4.3%). Of all patients with decreasing GFR, 7.8% (n = 14) developed MACCE, compared with only 3.1% (n = 17) for those with stable kidney function (p = 0.01). The difference was mainly attributable to cardiac death (5 vs 0.9%, p = 0.00), whereas MI, revascularisation and cerebrovascular events were similarly distributed in both groups.
The composite of BARC bleedings was significantly higher in patients with decreasing GFR (7.3% [n = 13] vs 2.9% [n = 16], p = 0.02). There was one noncardiac death within the study population, which occurred in the decreasing GFR group. Similarly, there were significantly more moderate GUSTO and major TIMI bleedings in the decreasing GFR group. Also, significantly more NACE events occurred in patients with AKI compared with the group with stable kidney function (17.3% [n = 31] vs 7.3% [n = 40], p <0.00; Table 5, Figure 2).

Primary outcome at 365 days

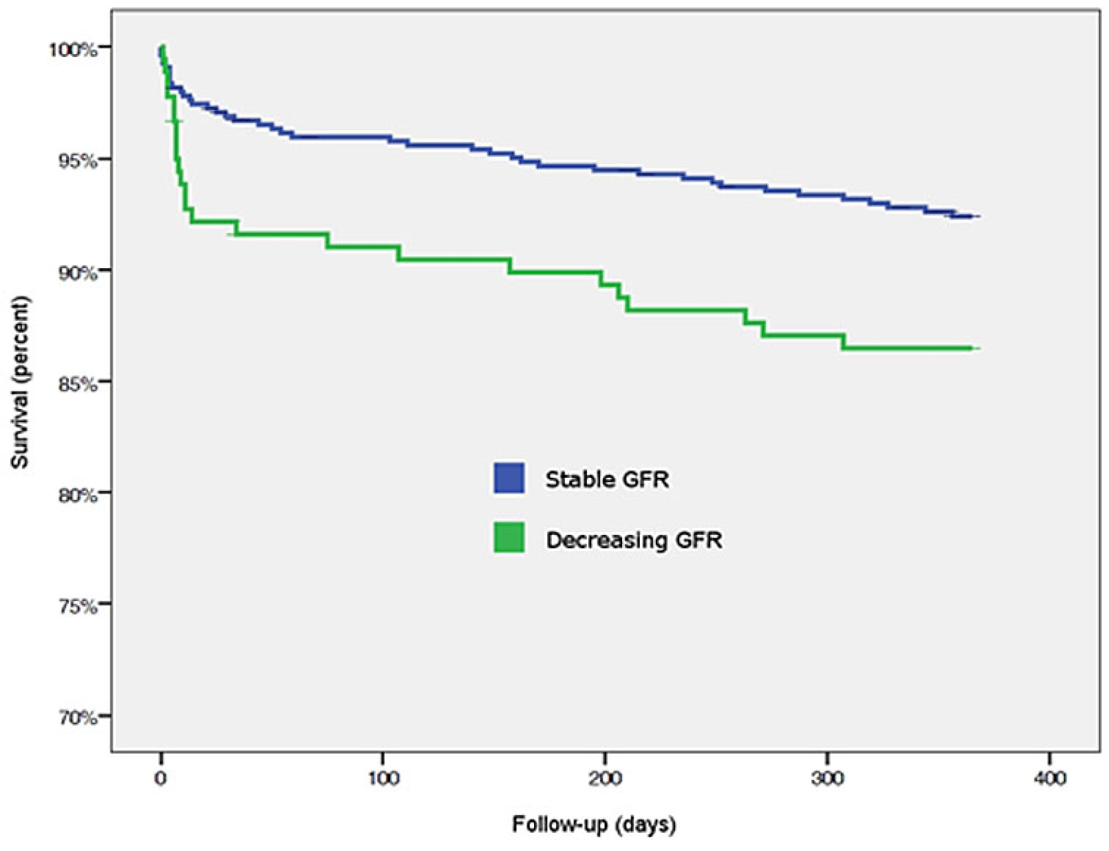
Up to 1 year, MACCE occurred in 9% (n = 65) of the patients, and significantly more often in patients with decreasing GFR (13.4%, n = 24) compared to those with stable GFR (7.5%, n = 41, p = 0.02). Again, higher MACCE rates were mainly attributable to cardiac death.
BARC type 3 und 4 bleeding occurred significantly more often in patients with impaired GFR; BARC type 5a and 5b bleeding did not occur. Mild and moderate bleedings according to the GUSTO classification occurred more frequently in the decreasing GFR group, whereas GUSTO severe bleedings were similar in both groups. According to the TIMI classification, only major bleedings occurred more frequently in patients with decreasing GFR, whereas minimal and major bleedings did not differ. NACE events happened significantly more frequently in patients with GFR impairment than in those without renal impairment (27.4% [n = 49] vs 13.6% [n = 74], p <0.00). In contrast to outcomes at 30 days, at 1 year both cardiac and noncardiac deaths occurred more often in patients with decreasing GFR (Table 6, Figure 3 and Figure 4).

Additional analysis

The following baseline criteria were associated with AKI within the first 24 hours after admission: female sex, older age, lower BMI, presence of PAD and former or current smoking history. Other factors associated with decreasing GFR were prior use of aspirin and calcium channel blockers. In contrast, hsTNT, CK or CK-MB as indicators of infarct size did not correlate with AKI.

Discussion

In this large single centre prospective cohort of patients with ACS undergoing coronary angiography, we found that AKI, measured by decreasing GFR class, was associated with a higher incidence of cardiac death, bleeding and NACE at 30 days, and with higher incidences of cardiac and noncardiac death, as well as bleeding, at 1 year, independently of the degree of myocardial injury as assessed from necrosis markers.
Impaired renal function at presentation in ACS patients is known to be a predictor for worse outcomes [13,14,15]. In a retrospective study of 3210 patients with ACS, serum creatinine was associated with in-hospital morbidity and mortality [16]. In the largest study population of 36,980 patients hospitalised for ACS, those developing AKI during hospitalisation showed significantly higher mortality and cardiovascular events over a follow-up period of up to 6 years [17]. Similar findings were reported in 1140 diabetic patients with a follow-up period of 6.3 years: impaired creatinine and GFR levels were significantly associated with the occurrence of MACE and with a higher likelihood of MACE the sooner renal impairment occurred [18].
Here, we focused instead on the relationship between change in kidney function during hospitalisation and cardiovascular outcomes at 30 days and 1 year. Specifically, our approach is novel in that we assessed changes in GFR class according to the KDIGO classification. The change in renal function during an ACS is of particular importance as the overwhelming majority of the patients enrolled underwent primary PCI, a procedure that is associated with the use of significant amounts of contrast medium, known to affect renal function. Importantly, in this series, renal function at baseline was almost identical in those with or without renal impairment during hospitalisation, which allowed for optimal comparison of the two groups. Similarly, the absolute volume of contrast material was similar (although slightly lower in those with decreasing renal function).
Interestingly, after adjusting contrast volume to BMI (using the contrast medium volume / BMI ratio), the amount of contrast did not differ between groups. However, the contrast volume / creatinine clearance ratio (V/CrCl) was significantly higher in those with AKI, suggesting that contrast use could have played some role in the decrease in renal function, specifically in those already with a somewhat reduced GFR, but normal creatinine levels. A cut-off value of >3.7 has been considered predictive for the occurrence of contrast-induced nephropathy, defined as an increase in serum creatinine at 48−72 hours after exposure to a contrast agent [19]. A recent study even suggested a higher cut-off value of 6.15 for V/CrCl, which was shown to be more accurate, specific and positively predictive for the risk of contrast-induced nephropathy [20].
In patients presenting with cardiogenic shock undergoing primary PCI [21], Thiele et al. examined whether PCI of the culprit artery only would result in better clinical outcomes compared with a multivessel strategy with PCI of non-culprit lesions as well. Surprisingly, PCI of the culprit lesion only was superior to immediate multivessel PCI regarding 30-day risk of death or severe renal failure leading to renal replacement therapy. These findings corroborate the observation that prolonged procedure time with increased application of contrast medium [22] appears to be a predictor of early increase in serum creatinine after PCI [23], particularly in those with a V/CrCl ratio lower than 6.15 [20]. As we mainly included stable patients with ACS, the association of contrast medium administered to renal impairment was seen only in those with altered GFR. Possibly the observation period of 24 hours was rather short for renal impairment to develop.
Several explanations for an adverse correlation of GFR decrease and cardiovascular outcome should be considered. First, this could be an independent association, with a decrease in GFR being a surrogate marker rather than a cause [14, 15]. However, given the current understanding of the role of kidney function for outcomes, this is unlikely. Furthermore, anaemia is common in patients with renal failure and may be a contributing factor, particularly in the context of ACS with myocardial ischaemia [24]. Consistent with this, haemoglobin levels were indeed significantly lower in patients with decreasing GFR. However, infarct size as estimated by the plasma levels of several necrosis markers did not differ in those with or without renal impairment. Another possible contributing factor could be the higher prevalence of left ventricular hypertrophy in patients with CKD [25], leading to increased ischaemia during ACS. However, here again myocardial necrosis markers were identical and the difference in outcome was mainly driven by cardiac death and not myocardial infarction or heart failure. Interpretation of the different studies in the literature is complicated by the fact that no consistent or standardised definitions of acute kidney failure have been used. A consensus definition of acute renal failure was established in 2004 by the Acute Dialysis Quality Initiative (ADQI) group for critically ill patients [26].
There are other significant differences between the two groups that have to be considered. First, baseline characteristics of patients with or without decreasing renal function differed, whereby those with decreasing GFR were more likely to be female and of older age, which could play a role in the adverse outcome amongst these patients. Although female sex has been reported not to influence outcomes after ACS or coronary interventions [27, 28], in our centre it did [29]. Second, the significantly higher presence of patients with PAD in the group with decreasing GFR could further reflects the higher disease burden in those with decreasing renal function. In line with these findings, patients with AKI were more likely to be current or former smokers. Although smoking is not considered a risk factor for acute renal insufficiency, it is known to be a major risk factor for cardiovascular disease, in particular for PAD, and is independently associated with unfavourable outcomes [30]. Again as there was no correlation with higher levels of cardiac enzymes and proteins (such as hsTNT, CK, CK-MB), adverse outcome in patients with AKI does not seem to be attributable to larger infarct sizes. Third, increased risk of bleeding in the group with decreasing GFR could be attributed to the significantly more common use of aspirin prior to admission. Furthermore, prescription of aspirin might indicate patients with more complex cardiovascular diseases and therefore an adverse risk profile.

Strengths and limitations of the study

The main strengths of our study are its prospective design, sizable patient population and the independent adjudication of events. Patients were prospectively recruited in a large tertiary centre, and the diversity of the cohort reflected current day real-world practice. A further strength is the relatively long observation period of 12 months for adverse events, which enabled proper statistical power for the analysis of renal function and longer-term outcomes.
Limitations are the single-centre design and lack of information about renal function prior to hospitalisation, preventing standardised AKI classification of acute renal insufficiency. On the other hand, the AKI classification has not been validated in the cardiac setting. We therefore decided to classify deterioration in GFR according to CKD criteria. These limitations may reduce the generalisability of our results, although prior studies have reached similar conclusions.

Conclusion

Acute kidney injury during the first 24 hours after admission for ACS is related to a higher incidence of cardiovascular and bleeding events at both 30 days and 1 year. Further studies are needed to ascertain the underlying pathomechanisms and to reach a consensus for the definition of AKI in the cardiac setting.

Funding

The authors received support from the Swiss National Science Foundation (SPUM 33CM30-124112); the Swiss Heart Foundation; the Foundation Leducq and the Foundation for Cardiovascular Research – Zurich Heart House, Zurich. The SPUM consortium was also supported in part by AstraZeneca, Zug, Medtronic, Münchenbuchsee, Merck Sharpe & Dome (MSD), Lucerne, Sanofi-Aventis, Vernier and St. Jude Medical, Zurich (all Switzerland) as well as Eli Lilly, Indianapolis (USA). SO was supported by a donation of H.H. Sheikh Khalifa Bin Hamad Al Thani to the Foundation of Cardiovascular Research – Zurich Heart House, Switzerland.

Acknowledgments

We appreciate the work of the clinical events committee for SPUM-ACS: Matthias Pfisterer, MD, University of Basel (chair), Tiziano Moccetti, MD, CardioCentro Lugano, Lukas Kappenberger, MD, University of Lausanne, all Switzerland. We thank the study nurses at the University Hospital Zurich (Anika Adma, Andrea Thesenwitz, Christine Hager), the core lab technicians, the central data monitors, the electronic data capturing system (2mt GmbH Ulm, Germany) and the members of the local team in the Andreas-Grüntzig-Cathterization Laboratory for their invaluable work. This study was supported by the Clinical Trial Unit of the University of Bern; the authors would like to specifically acknowledge the help of Dik Heg, Sven Trelle and Peter Jüni (now University of Toronto, Canada).

Conflicts of Interest

FM has received research grants to the institution from Amgen, AstraZeneca, Boston Scientific, Biotronik, Medtronic, MSD, Eli Lilly and St. Jude Medical, including speaker or consultant fees. MR received institutional research grants from Biotronik, Medronic, Boston Scientific, Terumo and Abbott Vascular outside the submitted work. SW has received research grants to the institution from Abbott, Boston Scientific, Biosensors, Biotronik, the Medicines Company, Medtronic, and St. Jude Medical and honoraria from Abbott, Astra Zeneca, Eli Lilly, Boston Scientific, Biosensors, Biotronik, Medtronic, and Edwards. CMM received research grants to the institution from Eli Lilly, AstraZeneca, Roche, Amgen and MSD, including speaker or consultant fees. SW has received research and educational grants to the institution from Abbott, Amgen, Biotronik, Boston Scientific, Bayer, BMS, CSL Behring, Edwards Lifesciences, Medtronic, Polares and Sinomed. TFL received research grants to the institution from AstraZeneca, Bayer Healthcare, Biosensors, Biotronik, Boston Scientific, Eli Lilly, Medtronic, MSD, Merck, Roche and Servier, including speaker fees by some of them. The other authors have nothing to disclose.

Abbreviations

ACSacute coronary syndromes
AKIacute kidney injury
BARCBleeding Academic Research Consortium
BMIbody mass index
CABGcoronary artery bypass grafting
CADcoronary artery disease
CKDchronic kidney disease
CKD-EPIChronic Kidney Disease Epidemiology Collaboration
CK-MBcreatine kinase muscle-brain fraction
CVEcerebrovascular event
ECGelectrocardiography
GFRglomerular filtration rate
GRACEGlobal Registry of Acute Coronary Events
GUSTOGlobal Utilization of Streptokinase and tPA for Occluded Coronary Arteries
HsTnThigh-sensitivity troponin T
KDIGOKidney Disease: Improving Global Outcomes
MACEmajor adverse cardiac event
MACCEmajor adverse cardiac and cerebrovascular event
MDRDModification of Diet in Renal Disease
MImyocardial infarction
NACEnet adverse clinical events
NSTEMInon-ST segment elevation myocardial infarction
PADperipheral artery disease
PCIpercutaneous coronary intervention
STEMIST segment elevation myocardial infarction
TIAtransient ischaemic attack
TIMIThrombolysis in Myocardial Infarction
V/CrClvolume-to-creatinine clearance ratio

Appendix A. Definitions used and supplementary data

Definitions

Acute coronary syndromes:
  • Symptoms compatible with angina pectoris (chest pain, breathlessness)
  • ≥1 of the following 3 features:
    Elevation or depression of the ST segment, inverted T waves or dynamic changes in the repolarisation phase
    Positive troponin
    Known coronary artery disease (history of MI, CABG or angiographically documented CAD)
Unstable angina:
  • Unstable angina
  • Time period between chest pain onset and T1 ≤ 5 days, with T1 prior to any PCI
    3a Patients with known CAD (history of MI, CABG or angiographically documented CAD)
    OR
    3b Patients without known CAD, but clinically relevant CAD in the current angiography (in this case, T1 has to be obtained between diagnostic and therapeutic angiography)

Medication

Baseline medication of the study population (n = 724) is shown in Table S1 below.
Table S2 shows the number of patients who were newly treated with either aspirin, clopidogrel, prasugrel or ticagrelor during the procedure and continued being treated with it afterwards. Patients in whom the agent was not established, were either already on it, on another antithrombotic medication or were not treated for another reason.
As shown in the table, patients who were newly treated with clopidogrel or prasugrel were significantly more likely to have a stable GFR. The data for ticagrelor should be treated cautiously because there are a relevant number of missing values. Ticagrelor was established at the end of 2012 and therefore not used in many patients.

GFR classification

Distribution of GFR classes at timepoint T1 and T2 are shown in Tables S3 and S4, respectively.

Creatinine vs GFR classification

Table S5 shows a juxtaposition of patients with and without change in creatinine ≥0.3 mg/dl or < 0.3 mg/dl with those who showed stable or decreasing GFR classification.

References

  1. Shah, R.; Wilkins, E.; Nichols, M.; Kelly, P.; El-Sadi, F.; Wright, F.L.; et al. Epidemiology report: trends in sex-specific cerebrovascular disease mortality in Europe based on WHO mortality data. Eur Heart J. 2019, 40, 755–764. [Google Scholar] [CrossRef] [PubMed]
  2. Lozano, R.; Naghavi, M.; Foreman, K.; Lim, S.; Shibuya, K.; Aboyans, V.; et al. Global and regional mortality from 235 causes of death for 20 age groups in 1990 and 2010: a systematic analysis for the Global Burden of Disease Study 2010. Lancet. 2012, 380, 2095–2128. [Google Scholar] [CrossRef] [PubMed]
  3. Timmis, A.; Townsend, N.; Gale, C.; Grobbee, R.; Maniadakis, N.; Flather, M.; et al.; ESC Scientific Document Group European Society of Cardiology: Cardiovascular Disease Statistics 2017. Eur Heart J. 2018, 39, 508–579. [Google Scholar] [CrossRef] [PubMed]
  4. Townsend, N.; Wilson, L.; Bhatnagar, P.; Wickramasinghe, K.; Rayner, M.; Nichols, M. Cardiovascular disease in Europe: epidemiological update 2016. Eur Heart J. 2016, 37, 3232–3245. [Google Scholar] [CrossRef] [PubMed]
  5. Jha, V.; Garcia-Garcia, G.; Iseki, K.; Li, Z.; Naicker, S.; Plattner, B.; et al. Chronic kidney disease: global dimension and perspectives. Lancet. 2013, 382, 260–272. [Google Scholar] [CrossRef] [PubMed]
  6. Sarnak, M.J.; Levey, A.S.; Schoolwerth, A.C.; Coresh, J.; Culleton, B.; Hamm, L.L.; et al.; American Heart Association Councils on Kidney in Cardiovascular Disease, High Blood Pressure Research, Clinical Cardiology, and Epidemiology and Prevention Kidney disease as a risk factor for development of cardiovascular disease: a statement from the American Heart Association Councils on Kidney in Cardiovascular Disease, High Blood Pressure Research, Clinical Cardiology, and Epidemiology and Prevention. Circulation. 2003, 108, 2154–2169. [Google Scholar] [CrossRef] [PubMed]
  7. Granger, C.B.; Goldberg, R.J.; Dabbous, O.; Pieper, K.S.; Eagle, K.A.; Cannon, C.P.; et al.; Global Registry of Acute Coronary Events Investigators Predictors of hospital mortality in the global registry of acute coronary events. Arch Intern Med. 2003, 163, 2345–2353. [Google Scholar] [CrossRef] [PubMed]
  8. Stone, G.W.; Witzenbichler, B.; Guagliumi, G.; Peruga, J.Z.; Brodie, B.R.; Dudek, D.; et al.; HORIZONS-AMI Trial Investigators Bivalirudin during primary PCI in acute myocardial infarction. N Engl J Med. 2008, 358, 2218–2230. [Google Scholar] [CrossRef] [PubMed]
  9. Mehran, R.; Rao, S.V.; Bhatt, D.L.; Gibson, C.M.; Caixeta, A.; Eikelboom, J.; et al. Standardized bleeding definitions for cardiovascular clinical trials: a consensus report from the Bleeding Academic Research Consortium. Circulation. 2011, 123, 2736–2747. [Google Scholar] [CrossRef] [PubMed]
  10. Kidney Disease: Improving Global Outcomes (KDIGO) Acute Kidney Injury Work Group. KDIGO Clinical Practice Guideline for Acute Kidney Injury. Kidney Int Suppl. 2012, 2, 1–138. [Google Scholar] [CrossRef]
  11. Thomas, M.E.; Blaine, C.; Dawnay, A.; Devonald, M.A.; Ftouh, S.; Laing, C.; et al. The definition of acute kidney injury and its use in practice. Kidney Int. 2015, 87, 62–73. [Google Scholar] [CrossRef] [PubMed]
  12. Waikar, S.S.; Bonventre, J.V. Creatinine kinetics and the definition of acute kidney injury. J Am Soc Nephrol. 2009, 20, 672–679. [Google Scholar] [CrossRef] [PubMed]
  13. Go, A.S.; Chertow, G.M.; Fan, D.; McCulloch, C.E.; Hsu, C.Y. Chronic kidney disease and the risks of death, cardiovascular events, and hospitalization. N Engl J Med. 2004, 351, 1296–1305. [Google Scholar] [CrossRef] [PubMed]
  14. Loncar, G.; Barthelemy, O.; Berman, E.; Kerneis, M.; Petroni, T.; Payot, L.; et al. Impact of renal failure on all-cause mortality and other outcomes in patients treated by percutaneous coronary intervention. Arch Cardiovasc Dis. 2015, 108, 554–562. [Google Scholar] [CrossRef] [PubMed]
  15. Goto, K.; Shiode, N.; Shirota, K.; Fukuda, Y.; Kitamura, F.; Tominaga, K.; et al. Impact of impaired renal function and diabetes on long-term prognosis in patients undergoing primary angioplasty for acute coronary syndrome. Intern Med. 2008, 47, 907–913. [Google Scholar] [CrossRef] [PubMed][Green Version]
  16. Marenzi, G.; Cabiati, A.; Bertoli, S.V.; Assanelli, E.; Marana, I.; De Metrio, M.; et al. Incidence and relevance of acute kidney injury in patients hospitalized with acute coronary syndromes. Am J Cardiol. 2013, 111, 816–822. [Google Scholar] [CrossRef] [PubMed]
  17. Chawla, L.S.; Amdur, R.L.; Shaw, A.D.; Faselis, C.; Palant, C.E.; Kimmel, P.L. Association between AKI and long-term renal and cardiovascular outcomes in United States veterans. Clin J Am Soc Nephrol. 2014, 9, 448–456. [Google Scholar] [CrossRef] [PubMed]
  18. Ragot, S.; Saulnier, P.-J.; Velho, G.; Gand, E.; de Hauteclocque, A.; Slaoui, Y.; et al.; SURDIAGENE and DIABHYCAR study groups Dynamic Changes in Renal Function Are Associated With Major Cardiovascular Events in Patients With Type 2 Diabetes. Diabetes Care. 2016, 39, 1259–1266. [Google Scholar] [CrossRef] [PubMed]
  19. Mehran, R.; Nikolsky, E. Contrast-induced nephropathy: definition, epidemiology, and patients at risk. Kidney Int Suppl. 2006, 69, S11–5. [Google Scholar] [CrossRef] [PubMed]
  20. Barbieri, L.; Verdoia, M.; Marino, P.; Suryapranata, H.; De Luca, G.; Novara Atherosclerosis Study Group. Contrast volume to creatinine clearance ratio for the prediction of contrast-induced nephropathy in patients undergoing coronary angiography or percutaneous intervention. Eur J Prev Cardiol. 2016, 23, 931–937. [Google Scholar] [CrossRef] [PubMed]
  21. Keaney, J.J.; Hannon, C.M.; Murray, P.T. Contrast-induced acute kidney injury: how much contrast is safe? Nephrol Dial Transplant. 2013, 28, 1376–1383. [Google Scholar] [CrossRef] [PubMed]
  22. Thiele, H.; Akin, I.; Sandri, M.; Fuernau, G.; de Waha, S.; Meyer-Saraei, R.; et al.; CULPRIT-SHOCK Investigators PCI Strategies in Patients with Acute Myocardial Infarction and Cardiogenic Shock. N Engl J Med. 2017, 377, 2419–2432. [Google Scholar] [CrossRef] [PubMed]
  23. Laskey, W.K.; Jenkins, C.; Selzer, F.; Marroquin, O.C.; Wilensky, R.L.; Glaser, R.; et al.; NHLBI Dynamic Registry Investigators Volume-to-creatinine clearance ratio: a pharmacokinetically based risk factor for prediction of early creatinine increase after percutaneous coronary intervention. J Am Coll Cardiol. 2007, 50, 584–590. [Google Scholar] [CrossRef] [PubMed]
  24. Keith, D.S.; Nichols, G.A.; Gullion, C.M.; Brown, J.B.; Smith, D.H. Longitudinal follow-up and outcomes among a population with chronic kidney disease in a large managed care organization. Arch Intern Med. 2004, 164, 659–663. [Google Scholar] [CrossRef] [PubMed]
  25. Paoletti, E.; Bellino, D.; Cassottana, P.; Rolla, D.; Cannella, G. Left ventricular hypertrophy in nondiabetic predialysis CKD. Am J Kidney Dis. 2005, 46, 320–327. [Google Scholar] [CrossRef] [PubMed]
  26. Bellomo, R.; Ronco, C.; Kellum, J.A.; Mehta, R.L. Palevsky, P.; Acute Dialysis Quality Initiative workgroup. Acute renal failure - definition, outcome measures, animal models, fluid therapy and information technology needs: the Second International Consensus Conference of the Acute Dialysis Quality Initiative (ADQI) Group. Crit Care. 2004, 8, R204–12. [Google Scholar] [CrossRef] [PubMed]
  27. Udell, J.A.; Koh, M.; Qiu, F.; Austin, P.C.; Wijeysundera, H.C.; Bagai, A.; et al. Outcomes of Women and Men With Acute Coronary Syndrome Treated With and Without Percutaneous Coronary Revascularization. J Am Heart Assoc. 2017, 6. [Google Scholar] [CrossRef] [PubMed]
  28. Lansky, A.J.; Pietras, C.; Costa, R.A.; Tsuchiya, Y.; Brodie, B.R.; Cox, D.A.; et al. Gender differences in outcomes after primary angioplasty versus primary stenting with and without abciximab for acute myocardial infarction: results of the Controlled Abciximab and Device Investigation to Lower Late Angioplasty Complications (CADILLAC) trial. Circulation. 2005, 111, 1611–1618. [Google Scholar] [CrossRef] [PubMed]
  29. Ghadri, J.R.; Sarcon, A.; Jaguszewski, M.; Diekmann, J.; Bataiosu, R.D.; Hellermann, J.; et al. Gender disparities in acute coronary syndrome: a closing gap in the short-term outcome. J Cardiovasc Med (Hagerstown). 2015, 16, 355–362. [Google Scholar] [CrossRef] [PubMed]
  30. Benjamin, E.J.; Virani, S.S.; Callaway, C.W.; Chamberlain, A.M.; Chang, A.R.; Cheng, S.; et al.; American Heart Association Council on Epidemiology and Prevention Statistics Committee and Stroke Statistics Subcommittee Heart Disease and Stroke Statistics-2018 Update: A Report From the American Heart Association. Circulation. 2018, 137, e67–e492. [Google Scholar] [CrossRef] [PubMed]
Figure 1. GFR class (T1 vs T2) Changes in GFR class between timepoints T1 and T2.
Figure 1. GFR class (T1 vs T2) Changes in GFR class between timepoints T1 and T2.
Cardiovascmed 23 w02099 g001
Figure 2. Primary endpoints at 30 days Occurrence of primary endpoints at 30 days in the study population (n = 724), divided into patients with stable (blue) and decreasing (red) GFR. Y-axis, end-point definition; x-axis, quantity.
Figure 2. Primary endpoints at 30 days Occurrence of primary endpoints at 30 days in the study population (n = 724), divided into patients with stable (blue) and decreasing (red) GFR. Y-axis, end-point definition; x-axis, quantity.
Cardiovascmed 23 w02099 g002
Figure 3. Primary endpoints at 1 year Occurrence of primary end-points at 30 days in the study population (n = 724), based on the comparison between patients with stable (blue) and decreasing (red) GFR. Y-axis, endpoint definition; x-axis, quantity.
Figure 3. Primary endpoints at 1 year Occurrence of primary end-points at 30 days in the study population (n = 724), based on the comparison between patients with stable (blue) and decreasing (red) GFR. Y-axis, endpoint definition; x-axis, quantity.
Cardiovascmed 23 w02099 g003
Figure 4. Kaplan-Meier estimates for MACCE Survival from MAC-CE after 1 year for patients with (green) or without (blue) GFR reclassification.
Figure 4. Kaplan-Meier estimates for MACCE Survival from MAC-CE after 1 year for patients with (green) or without (blue) GFR reclassification.
Cardiovascmed 23 w02099 g004
Table 1. Changes in glomerular filtration rate (GFR) class and creatinine ≥0.3 mg/dl between timepoints T1 and T2.
Table 1. Changes in glomerular filtration rate (GFR) class and creatinine ≥0.3 mg/dl between timepoints T1 and T2.
Frequency (n = 724)Percent (%)
GFR classStable54569.3
Decreasing17922.7
Creatinine change<0.3 mg/dl66391.6
≥0.3 mg/dl618.4
Table 2. Demographics and cardiovascular risk factors at baseline − comparison of baseline cardiovascular risk factors of the study population (n = 724), based on the comparison between patients with stable and decreasing GFR.
Table 2. Demographics and cardiovascular risk factors at baseline − comparison of baseline cardiovascular risk factors of the study population (n = 724), based on the comparison between patients with stable and decreasing GFR.
Stable GFR (n = 545)Decreasing GFR (n = 179)p-value
Female, n (%)92 (16.9)56 (31.3)<0.00
Age (years), mean61.90369.181<0.00
BMI (kg/m2), mean27.31025.725<0.00
Smoking history (current), n (%)239 (43.9)55 (30.7)<0.00
Smoking history (former), n (%)167 (30.6)47 (26.3)<0.00
Systolic BP (mm Hg), mean (SD)131.806 (24.83)132.326 (23.18)0.80
Diastolic BP (mm Hg), mean (SD)78.596 (15.29)77.129 (14.97)0.27
LVEF before procedure, %52.1853.300.30
BMI = body mass index; BP =blood presuure; GFR = glomerular filtration rate; LVEF = left ventricular ejection fraction; SD = standard deviation A p-value of <0.05 was considered significant.
Table 3. Medical history at baseline − comparison of baseline medical history of the study population (n = 724), divided into patients with stable and decreasing GFR.
Table 3. Medical history at baseline − comparison of baseline medical history of the study population (n = 724), divided into patients with stable and decreasing GFR.
Stable GFR (n = 545)Decreasing GFR (n = 179)p-value
n (%)n (%)
Coronary artery disease139 (71.6)45 (69.3)0.26
Peripheral artery disease24 (4.4)19 (10.6)0.01
Hypertension325 (59.6)115 (64.2)0.29
Cholesterolaemia377 (69.3)117 (65.7)0.40
Valvular heart disease5 (0.9)2 (1.1)0.69
Congestive heart failure9 (1.7)5 (2.8)0.35
Myocardial infarction history74 (13.6)16 (8.9)0.12
PCI history87 (16)30 (16.8)0.82
CABG history28 (5.1)8 (4.5)0.84
Dialysis3 (0.6)0 (0.0)1.00
Diabetes101 (18.5)33 (18.4)1.00
– Insulin-dependent diabetes23 (4.2)13 (7.3)0.11
Stroke history16 (2.9)5 (2.8)1.00
TIA history6 (1.1)3 (1.7)0.70
Malignancy48 (8.8)14 (7.8)0.76
Lung disease26 (4.8)7 (3.9)0.84
Inflammatory disease16 (2.9)8 (4.5)0.34
Gastrointestinal bleeding10 (1.8)6 (3.4)0.24
Liver disease5 (0.9)1 (0.6)1.00
CABG = coronary artery bypass graft; GFR = glomerular filtration rate; PCI = percutansous coronary intervention; TIA = transient ischaemic attack A p-value of <0.05 was considered significant.
Table 4. Laboratory parameters at T1 and T2 − comparison of laboratory parameters of the study population (n = 724), divided into patients with stable and decreasing GFR.
Table 4. Laboratory parameters at T1 and T2 − comparison of laboratory parameters of the study population (n = 724), divided into patients with stable and decreasing GFR.
Stable GFR (n = 545)Decreasing GFR (n = 179)p-value
Creatinine (mg/dl)T186.292 (SD 57.35)85.497 (SD 28.59)0.86
T293.174 (SD 60.82)116.067 (SD 59.84)0.00
HsTnT (μg/l)T10.218 (SD 4.36)0.305 (SD 0.84)0.62
T21.970 (SD 5.53)2.660 (SD 7.05)0.10
CK (U/l)T1272.000 (IR 512.0)239.000 (IR 437.5)0.40
T2823.000 (SD 1771.25)968.000 (SD 2027.75)0.06
CK-MB (U/l)T134.000 (IR 57.5)32.000 (IR 71.0)0.91
T2104.000 (IR 196.5)105.000 (IR 246.0)0.11
Haemoglobin (g/dl)T113.950 (SD 1.9)13.369 (SD 1.7)0.00
CK = creatine kinase; CK-MB = creatine kinase muscle-brain fraction; GFR = glomerular filtration rate; HsTnT = high sensitivity troponin T A p-value of <0.05 was considered significant.
Table 5. Primary endpoints at 30 days in the study population (n = 724), divided into patients with stable and decreasing GFR.
Table 5. Primary endpoints at 30 days in the study population (n = 724), divided into patients with stable and decreasing GFR.
Total patients (n = 724)Stable GFR (n = 545)Decreasing GFR (n = 179)p-value
n (%)n (%)n (%)
MACCE31 (4.3)17 (3.1)14 (7.8)0.01
– Cardiac death14 (1.9)5 (0.9)9 (5)0.00
– MI7 (1)5 (0.9)2 (1.1)0.69
– Revascularisation16 (2.2)11 (2.0)5 (2.8)0.56
– CVE1 (0.1)1 (0.2)0 (0)1.00
BARC 3/4/529 (4)16 (2.9)13 (7.3)0.02
GUSTO
– Mild27 (3.7)18 (3.3)9 (5.0)0.36
– Moderate6 (0.8)2 (0.4)4 (2.2)0.04
– Severe11 (1.5)6 (1.1)5 (2.8)0.15
TIMI
– Minimal14 (1.9)10 (1.8)4 (2.2)0.76
– Minor18 (2.5)12 (2.2)6 (3.4)0.41
– Major12 (1.7)4 (0.7)8 (4.5)0.00
NACE71 (9.8)40 (7.3)31 (17.3)<0.00
Noncardiac death1 (0.1)1 (0.2)0 (0)1.00
BARC = Bleeding Academic Research Consortium; CVE = cerebrovascular event; GFR = glomerular filtration rate; GUSTO = Global Utilization of Streptokinase and tPA for Occluded Coronary Arteries; MACCE = major adverse cardiac and cerebrovascular event; MI = myocardial infarction; NACE = net adverse clinical events; TIMI = Thrombolysis in Myocardial Infarction A p-value of <0.05 was considered significant.
Table 6. Primary endpoints at 1 year: Presence of primary endpoints at 1 year in the study population (n = 724), divided into patients with stable and decreasing GFR.
Table 6. Primary endpoints at 1 year: Presence of primary endpoints at 1 year in the study population (n = 724), divided into patients with stable and decreasing GFR.
Total patients (n = 724)Stable GFR (n = 545)Decreasing GFR (n = 179)p-value
n (%)n (%)n (%)
MACCE65 (9)41 (7.5)24 (13.4)0.02
– Cardiac death20 (2.8)9 (1.7)11 (6.1)0.00
– MI20 (2.8)16 (2.9)4 (2.2)0.76
– Revascularisation42 (5.8)29 (5.3)13 (7.3)0.36
– CVE4 (0.6)3 (0.6)1 (0.6)1.00
BARC 3/4/539 (5.4)20 (3.7)19 (10.6)0.00
GUSTO
– Mild45 (6.2)27 (5)18 (10.1)0.02
– Moderate13 (1.8)5 (0.9)8 (4.5)0.01
– Severe16 (2.2)10 (1.8)6 (3.4)0.24
TIMI
– Minimal33 (4.6)21 (3.9)12 (6.7)0.15
– Minor20 (2.8)12 (2.2)8 (4.5)0.12
– Major21 (2.9)9 (1.7)12 (6.7)0.00
NACE123 (17)74 (13.6)49 (27.4)<0.00
Noncardiac death28 (3.9)15 (2.8)13 (7.3)0.01
BARC = Bleeding Academic Research Consortium; CVE = cerebrovascular event; GFR = glomerular filtration rate; GUSTO = Global Utilization of Streptokinase and tPA for Occluded Coronary Arteries; MACCE = major adverse cardiac and cerebrovascular event; MI = myocardial infarction; NACE = net adverse clinical events; TIMI = Thrombolysis in Myocardial Infarction A p-value of <0.05 was considered significant.

Share and Cite

MDPI and ACS Style

Canbek, A.; Obeid, S.; Mach, F.; Roffi, M.; Windecker, S.; Olivier, M.; Matter, C.M.; Templin, C.; Stähli, B.E.; Lüscher, T.F. Acute Decrease in Kidney Function After Acute Coronary Syndromes Predicts Future Bleeding and Cardiac Death. Cardiovasc. Med. 2020, 23, w02099. https://doi.org/10.4414/cvm.2020.02099

AMA Style

Canbek A, Obeid S, Mach F, Roffi M, Windecker S, Olivier M, Matter CM, Templin C, Stähli BE, Lüscher TF. Acute Decrease in Kidney Function After Acute Coronary Syndromes Predicts Future Bleeding and Cardiac Death. Cardiovascular Medicine. 2020; 23(2):w02099. https://doi.org/10.4414/cvm.2020.02099

Chicago/Turabian Style

Canbek, Aylin, Slayman Obeid, François Mach, Marco Roffi, Stephan Windecker, Mueller Olivier, Christian M. Matter, Christian Templin, Barbara E. Stähli, and Thomas F. Lüscher. 2020. "Acute Decrease in Kidney Function After Acute Coronary Syndromes Predicts Future Bleeding and Cardiac Death" Cardiovascular Medicine 23, no. 2: w02099. https://doi.org/10.4414/cvm.2020.02099

APA Style

Canbek, A., Obeid, S., Mach, F., Roffi, M., Windecker, S., Olivier, M., Matter, C. M., Templin, C., Stähli, B. E., & Lüscher, T. F. (2020). Acute Decrease in Kidney Function After Acute Coronary Syndromes Predicts Future Bleeding and Cardiac Death. Cardiovascular Medicine, 23(2), w02099. https://doi.org/10.4414/cvm.2020.02099

Article Metrics

Back to TopTop