Pollution Risk Prediction for Cadmium in Soil from an Abandoned Mine Based on Random Forest Model
Abstract
1. Introduction
2. Materials and Methods
2.1. Study Area
2.2. Sampling and Analysis
2.3. Modeling of Random Forest
3. Results and Discussion
3.1. Pollution Characteristics of Toxic Metal(loid)s in the Mine Soil
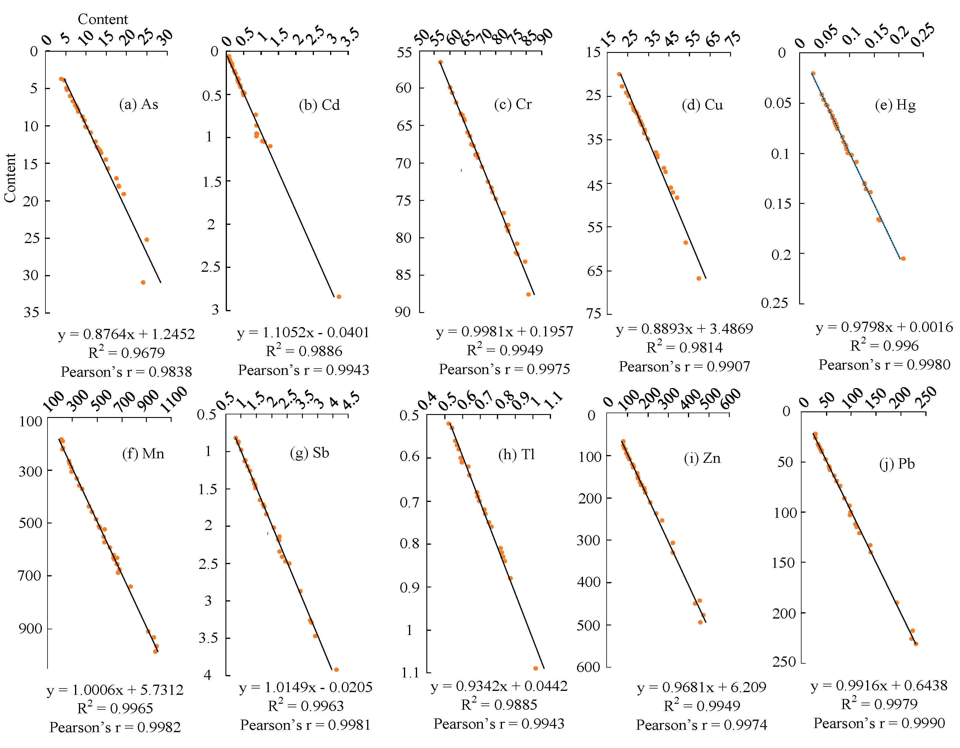
3.2. Validation of Random Forest Model
3.3. Spatial Risk Prediction of Cadmium Pollution in the Mine Soil
3.4. Validation of Spatial Pollution Risk Prediction for Cadmium
4. Conclusions
Author Contributions
Funding
Institutional Review Board Statement
Informed Consent Statement
Data Availability Statement
Conflicts of Interest
References
- Küçüksümbül, A.; Akar, A.T.; Tarcan, G. Source, degree and potential health risk of metal(loid)s contamination on the water and soil in the Söke Basin, Western Anatolia, Turkey. Environ. Monit. Assess. 2022, 194, 6. [Google Scholar] [CrossRef]
- Dinis, M.d.L.; Fiúza, A.; Futuro, A.; Leite, A.; Martins, D.; Figueiredo, J.; Góis, J.; Vila, M.C. Characterization of a mine legacy site: An approach for environmental management and metals recovery. Environ. Sci. Pollut. Res. 2020, 27, 10103–10114. [Google Scholar] [CrossRef]
- Barlow, N.L.; Bradberry, S.M. Investigation and monitoring of heavy metal poisoning. J. Clin. Pathol. 2023, 76, 82–97. [Google Scholar] [CrossRef]
- Tian, H.; Huang, C.; Wang, P.; Wei, J.; Li, X.; Zhang, R.; Ling, D.; Feng, C.; Liu, H.; Wang, M.; et al. Enhanced elimination of Cr(VI) from aqueous media by polyethyleneimine modified corn straw biochar supported sulfide nanoscale zero valent iron: Performance and mechanism. Bioresour. Technol. 2023, 369, 128452. [Google Scholar] [CrossRef]
- Huang, C.; Zeng, G.; Huang, D.; Lai, C.; Xu, P.; Zhang, C.; Cheng, M.; Wan, J.; Hu, L.; Zhang, Y. Effect of Phanerochaete chrysosporium inoculation on bacterial community and metal stabilization in lead-contaminated agricultural waste composting. Bioresour. Technol. 2017, 243, 294–303. [Google Scholar] [CrossRef]
- Shi, J.; Du, P.; Luo, H.; Wu, H.; Zhang, Y.; Chen, J.; Wu, M.; Xu, G.; Gao, H. Soil contamination with cadmium and potential risk around various mines in China during 2000–2020. J. Environ. Manag. 2022, 310, 114509. [Google Scholar] [CrossRef]
- Qi, M.; Wu, Y.; Zhang, S.; Li, G.; An, T. Pollution Profiles, Source Identification and Health Risk Assessment of Heavy Metals in Soil near a Non-Ferrous Metal Smelting Plant. Int. J. Environ. Res. Public Health 2023, 20, 1004. [Google Scholar] [CrossRef]
- Xiao, L.; Zhou, Y.; Huang, H.; Liu, Y.J.; Li, K.; Li, M.Y.; Tian, Y.; Wu, F. Application of Geostatistical Analysis and Random Forest for Source Analysis and Human Health Risk Assessment of Potentially Toxic Elements (PTEs) in Arable Land Soil. Int. J. Environ. Res. Public Health 2020, 17, 9296. [Google Scholar] [CrossRef]
- Seo, J.W.; Hong, Y.S. Comparative Evaluation of Heavy Metal Concentrations in Residents of Abandoned Metal Mines. Int. J. Environ. Res. Public Health 2020, 17, 6280. [Google Scholar] [CrossRef]
- Zhou, X.Y.; Wang, X.R. Impact of industrial activities on heavy metal contamination in soils in three major urban agglomerations of China. J. Clean. Prod. 2019, 230, 1–10. [Google Scholar] [CrossRef]
- Neeraj, A.; Hiranmai, R.Y.; Iqbal, K. Comprehensive assessment of pollution indices, sources apportionment and ecological risk mapping of heavy metals in agricultural soils of Raebareli District, Uttar Pradesh, India, employing a GIS approach. Land. Degrad. Dev. 2023, 34, 173–195. [Google Scholar] [CrossRef]
- Long, Z.; Zhu, H.; Bing, H.; Tian, X.; Wang, Z.; Wang, X.; Wu, Y. Contamination, sources and health risk of heavy metals in soil and dust from different functional areas in an industrial city of Panzhihua City, Southwest China. J. Hazard. Mater. 2021, 420, 126638. [Google Scholar] [CrossRef] [PubMed]
- Wang, H.; Zhang, H.; Xu, R.K. Heavy metal pollution characteristics and health evaluation of farmland soil in a gold mine slag area of Luoyang in China. Int. J. Agric. Biol. Eng. 2021, 14, 213–221. [Google Scholar] [CrossRef]
- Han, J.; Mammadov, Z.; Kim, M.; Mammadov, E.; Lee, S.; Park, J.; Mammadov, G.; Elovsat, G.; Ro, H.M. Spatial distribution of salinity and heavy metals in surface soils on the Mugan Plain, the Republic of Azerbaijan. Environ. Monit. Assess. 2021, 193, 95. [Google Scholar] [CrossRef]
- Taghizadeh-Mehrjardi, R.; Fathizad, H.; Ali Hakimzadeh Ardakani, M.; Sodaiezadeh, H.; Kerry, R.; Heung, B.; Scholten, T. Spatio-Temporal Analysis of Heavy Metals in Arid Soils at the Catchment Scale Using Digital Soil Assessment and a Random Forest Model. Remote Sens. 2021, 13, 1698. [Google Scholar] [CrossRef]
- Rashid, A.; Ayub, M.; Ullah, Z.; Ali, A.; Sardar, T.; Iqbal, J.; Gao, X.; Bundschuh, J.; Li, C.; Khattak, S.A.; et al. Groundwater Quality, Health Risk Assessment, and Source Distribution of Heavy Metals Contamination around Chromite Mines: Application of GIS, Sustainable Groundwater Management, Geostatistics, PCAMLR, and PMF Receptor Model. Int. J. Environ. Res. Public Health 2023, 20, 2113. [Google Scholar] [CrossRef]
- Yu, E.; Liu, H.; Dinis, F.; Zhang, Q.; Jing, P.; Liu, F.; Ju, X. Contamination Evaluation and Source Analysis of Heavy Metals in Karst Soil Using UNMIX Model and Pb-Cd Isotopes. Int. J. Environ. Res. Public Health 2022, 19, 12478. [Google Scholar] [CrossRef]
- Kumar, P.; Dipti; Kumar, S.; Singh, R.P. Severe contamination of carcinogenic heavy metals and metalloid in agroecosystems and their associated health risk assessment. Environ. Pollut. 2022, 301, 118953. [Google Scholar] [CrossRef]
- Yaseen, Z.M. An insight into machine learning models era in simulating soil, water bodies and adsorption heavy metals: Review, challenges and solutions. Chemosphere 2021, 277, 130126. [Google Scholar] [CrossRef]
- Wang, H.; Yilihamu, Q.; Yuan, M.; Bai, H.; Xu, H.; Wu, J. Prediction models of soil heavy metal(loid)s concentration for agricultural land in Dongli: A comparison of regression and random forest. Ecol. Indic. 2020, 119, 106801. [Google Scholar] [CrossRef]
- Azizi, K.; Ayoubi, S.; Nabiollahi, K.; Garosi, Y.; Gislum, R. Predicting heavy metal contents by applying machine learning approaches and environmental covariates in west of Iran. J. Geochem. Explor. 2022, 233, 106921. [Google Scholar] [CrossRef]
- China National Environmental Monitoring Centre (CNEMC). The Element Background Values of Chinese Soil; Chinese Environmental Science Press: Beijing, China, 1990.
- Zhang, Y.; Guo, R.; Li, Y.; Qin, M.; Zhu, J.; Ma, Z.; Ren, Y. Concentrations, distribution, and risk assessment of endosulfan residues in the cotton fields of northern Xinjiang, China. Environ. Geochem. Health. 2022, 44, 4063–4075. [Google Scholar] [CrossRef] [PubMed]
- Cai, Z.; Lei, S.; Zhao, Y.; Gong, C.; Wang, W.; Du, C. Spatial Distribution and Migration Characteristics of Heavy Metals in Grassland Open-Pit Coal Mine Dump Soil Interface. Int. J. Environ. Res. Public Health 2022, 19, 4441. [Google Scholar] [CrossRef] [PubMed]
- Liao, H.W.; Jiang, Z.C.; Zhou, H.; Qin, X.Q.; Huang, Q.B.; Zhong, L.; Pu, Z.G. Dissolved Heavy Metal Pollution and Assessment of a Karst Basin around a Mine, Southwest China. Int. J. Environ. Res. Public Health 2022, 19, 14293. [Google Scholar] [CrossRef]
- Cao, J.; Xie, C.Y.; Hou, Z.R. Spatiotemporal distribution patterns and risk characteristics of heavy metal pollutants in the soil of lead–zinc mines. Environ. Sci. Eur. 2022, 34, 27. [Google Scholar] [CrossRef]
- Wang, Z.; Bing, H.; Zhu, H.; Wu, Y. Fractions, Contamination and Health Risk of Cadmium in Alpine Soils on the Gongga Mountain, Eastern Tibetan Plateau. Bull. Environ. Contam. Toxicol. 2021, 106, 86–91. [Google Scholar] [CrossRef] [PubMed]
- Cao, J.; Xie, C.Y.; Hou, Z.R. Ecological evaluation of heavy metal pollution in the soil of Pb-Zn mines. Ecotoxicology 2022, 31, 259–270. [Google Scholar] [CrossRef]
- Jia, X.L.; Fu, T.T.; Hu, B.F.; Shi, Z.; Zhou, L.Q.; Zhu, Y.W. Identification of the potential risk areas for soil heavy metal pollution based on the source-sink theory. J. Hazard. Mater. 2020, 393, 122424. [Google Scholar] [CrossRef]
- Guleria, A.; Singh, R.; Chakma, S.; Birke, V. Ecological and human health risk assessment of chromite ore processing residue (COPR) dumpsites in Northern India: A multi–pathways based probabilistic risk approach. Process. Saf. Environ. 2022, 163, 405–420. [Google Scholar] [CrossRef]
- Zhou, W.; Yang, H.; Xie, L.J.; Li, H.R.; Huang, L.; Zhao, Y.P.; Yue, T.X. Hyperspectral inversion of soil heavy metals in Three-River Source Region based on random forest model. Catena 2021, 202, 105222. [Google Scholar] [CrossRef]
- Guo, F.; Xu, Z.; Ma, H.H.; Liu, X.J.; Yang, Z.; Tang, S.Q. A Comparative Study of the Hyperspectral Inversion Models Based on the PCA for Retrieving the Cd Content in the Soil. Spectrosc. Spect. Anal. 2021, 41, 1625. [Google Scholar] [CrossRef]
- Jia, X.; Cao, Y.; O’Connor, D.; Zhu, J.; Tsang, D.C.W.; Zou, B.; Hou, D. Mapping soil pollution by using drone image recognition and machine learning at an arsenic-contaminated agricultural area. Environ. Pollut. 2021, 270, 116281. [Google Scholar] [CrossRef] [PubMed]
- Huang, S.; Shao, G.F.; Wang, L.Y.; Tang, L.N. Spatial Distribution and Potential Sources of Five Heavy Metals and One Metalloid in the Soils of Xiamen City, China. Bull. Environ. Contam. Toxicol. 2019, 103, 308–315. [Google Scholar] [CrossRef]
- Liu, G.; Zhou, X.; Li, Q.; Shi, Y.; Guo, G.L.; Zhao, L.; Wang, J.; Su, Y.Q.; Zhang, C. Spatial distribution prediction of soil As in a large-scale arsenic slag contaminated area based on an integrated model and multi-source environmental data. Environ. Pollut. 2020, 267, 115631. [Google Scholar] [CrossRef]
- Shi, X.; Ren, B. Predict three-dimensional soil manganese transport by HYDRUS-1D and spatial interpolation in Xiangtan manganese mine. J. Clean. Prod. 2021, 292, 125879. [Google Scholar] [CrossRef]
- Guo, Z.H.; Zhang, Y.X.; Xu, R.; Xie, H.M.; Xiao, X.Y.; Peng, C. Contamination vertical distribution and key factors identification of metal(loid)s in site soil from an abandoned Pb/Zn smelter using machine learning. Sci. Total Environ. 2023, 856, 159264. [Google Scholar] [CrossRef] [PubMed]
- Li, X.Y.; Geng, T.; Shen, W.J.; Zhang, J.R.; Zhou, Y.Z. Quantifying the influencing factors and multi-factor interactions affecting cadmium accumulation in limestone-derived agricultural soil using random forest (RF) approach. Ecotox. Environ. Safe. 2021, 209, 111773. [Google Scholar] [CrossRef] [PubMed]
- Liu, X.; Shi, H.; Bai, Z.; Zhou, W.; Liu, K.; Wang, M.; He, Y. Heavy metal concentrations of soils near the large opencast coal mine pits in China. Chemosphere 2020, 244, 125360. [Google Scholar] [CrossRef] [PubMed]






| Metal(loid)s | Minimum | Median | Maximum | Mean | SD a | CV b (%) | BV c |
|---|---|---|---|---|---|---|---|
| As | 1.31 | 10.00 | 37.5 | 11.23 | 6.61 | 58.89 | 13.6 |
| Cd | 0.039 | 0.49 | 5.98 | 0.91 | 1.22 | 133.32 | 0.081 |
| Cr | 29.8 | 70.00 | 220 | 72.37 | 17.47 | 24.13 | 71.4 |
| Cu | 4.9 | 33.00 | 204 | 40.91 | 28.13 | 68.76 | 25.4 |
| Hg | 0.012 | 0.082 | 0.52 | 0.11 | 0.09 | 79.97 | 0.087 |
| Mn | 148 | 484.00 | 2230 | 528.53 | 287.40 | 54.38 | / |
| Sb | 0.23 | 1.54 | 6.73 | 1.80 | 1.09 | 60.94 | 1.58 |
| Tl | 0.47 | 0.72 | 2.15 | 0.77 | 0.24 | 31.88 | 0.61 |
| Zn | 49.8 | 180.00 | 1320 | 269.69 | 241.52 | 89.56 | 88.6 |
| Pb | ND d | 56.7 | 289.00 | 77.12 | 62.75 | 81.37 | 27.3 |
| ID | 1 | 2 | 3 | 4 | 5 | 6 | 7 | 8 | 9 |
| Practical value | 1.48 | 3.35 | 5.64 | 0.94 | 2.95 | 2.49 | 1.18 | 0.63 | 0.89 |
| Theoretical value | 1.47 | 3.63 | 4.34 | 1.2 | 2.4 | 2.41 | 1.8 | 1 | 1.18 |
| ID | 10 | 11 | 12 | 13 | 14 | 15 | 16 | 17 | |
| Practical value | 2.37 | 1.67 | 1.72 | 1.07 | 3.49 | 0.64 | 5.54 | 0.53 | |
| Theoretical value | 2.67 | 1.86 | 1.8 | 1.41 | 2.81 | 1.12 | 4.49 | 1.23 |
Disclaimer/Publisher’s Note: The statements, opinions and data contained in all publications are solely those of the individual author(s) and contributor(s) and not of MDPI and/or the editor(s). MDPI and/or the editor(s) disclaim responsibility for any injury to people or property resulting from any ideas, methods, instructions or products referred to in the content. |
© 2023 by the authors. Licensee MDPI, Basel, Switzerland. This article is an open access article distributed under the terms and conditions of the Creative Commons Attribution (CC BY) license (https://creativecommons.org/licenses/by/4.0/).
Share and Cite
Cao, J.; Guo, Z.; Lv, Y.; Xu, M.; Huang, C.; Liang, H. Pollution Risk Prediction for Cadmium in Soil from an Abandoned Mine Based on Random Forest Model. Int. J. Environ. Res. Public Health 2023, 20, 5097. https://doi.org/10.3390/ijerph20065097
Cao J, Guo Z, Lv Y, Xu M, Huang C, Liang H. Pollution Risk Prediction for Cadmium in Soil from an Abandoned Mine Based on Random Forest Model. International Journal of Environmental Research and Public Health. 2023; 20(6):5097. https://doi.org/10.3390/ijerph20065097
Chicago/Turabian StyleCao, Jie, Zhaohui Guo, Yongjun Lv, Man Xu, Chiyue Huang, and Huizhi Liang. 2023. "Pollution Risk Prediction for Cadmium in Soil from an Abandoned Mine Based on Random Forest Model" International Journal of Environmental Research and Public Health 20, no. 6: 5097. https://doi.org/10.3390/ijerph20065097
APA StyleCao, J., Guo, Z., Lv, Y., Xu, M., Huang, C., & Liang, H. (2023). Pollution Risk Prediction for Cadmium in Soil from an Abandoned Mine Based on Random Forest Model. International Journal of Environmental Research and Public Health, 20(6), 5097. https://doi.org/10.3390/ijerph20065097

