Botulinum Toxin and Dynamic Splint Restore Grasping Function after Stroke: A Case Report
Abstract
1. Introduction
- Will the applied treatment and rehabilitation program using the SaeboFlex® dynamic splint improve the motor functions of the upper extremity based on the Fugl-Meyer Upper Extremity Assessment scale?
- Will local treatment of spasticity with BoNT and exercise with SaeboFlex reduce pain? Will the applied treatment and rehabilitation program with the use of the SaeboFlex orthosis affect the normalization of torso muscle tone?
- Is it possible to achieve self-grip following local treatment of spasticity with BoNT and exercise with the SaeboFlex® dynamic splint?
2. Case Description
2.1. Patient
2.2. Screening and Justification of the Selection of a Research Participant
2.3. Methods
2.4. Tests and Measures
2.4.1. Functions/Structure
- Assessment of the spasticity of selected muscle groups was performed using MAS [25].
- Pain sensation was scored on a standard Numerical Rating Scale (NRS) [26] from 0 (no pain) to 10 (worst pain imaginable), at rest and during the activity of reaching for an object placed at a height of 60 cm above the floor (patient in a standing position).
- Recording of natural muscle oscillations with the MyotonPRO 2013 device [27] (Myoton AS, Tallinn, Estonia) included an acceleration signal and determination of voltage state parameters, as well as biomechanical and viscoelastic properties of soft tissues. The following muscles were assessed: biceps brachii, latissimus dorsi, trapezius pars descendens, flexor carpi radialis, flexor pollicis longus, flexor carpi ulnaris, flexor digitorum superficialis and pronator teres. Measured with MyotonPro, the oscillation frequency f [Hz] of a muscle in a relaxed state (at rest, without volitional stimulation of the muscle) indicates intramuscular pressure and resting muscle tone. At very high f values for a given muscle, blood flow in the muscles may be limited, which may result in, for e.g., faster fatigue. Stiffness is a biomechanical property of a tissue that represents the resistance of a muscle (tissue) to contraction or to a deformation force s [N/m], in this case, to the force with which the MyotonPro probe hits/presses against the muscle [28].
2.4.2. Activity and Participation
- Unilateral dexterity and coordination of fine motor skills were checked using the Box and Block Test [31]. The test enables assessing functional grip and its use in the activity. The test uses a wooden box, divided by a partition into two chambers and 150 blocks of the same size. The patient’s task is to move the maximum number of blocks one by one from one compartment of the box to another within 60 s.
2.4.3. Visual Assessment
2.4.4. Minimal Clinically Important Difference
2.5. Therapeutic Intervention
- Repeated exercises for a single muscle group using the splint (e.g., biceps brachii during lifting the hand towards the mouth); improvement of strength and neuromuscular control in a single muscle group, through the use of concentric, isometric and eccentric muscle contraction.
- Repetitive exercises involving multiple muscle groups using the splint (e.g., pectoralis major/triceps brachii during reaching and retrieving the upper extremity); improvement of the strength and neuromuscular control of agonist and antagonist muscles through concentric, isometric and eccentric muscle contraction. Reaching exercises were carried out both in sitting and standing positions. The patient’s task was to reach for an object (a ball) on the table and put it in another place. The height of the table was variable, which was aimed to diversify the activity. Recreation/creation of new movement engrams by repeating the same tasks.
- Repetitive grasp-release exercises of objects using the splint; improvement of volitional motor control of the finger flexor muscles through the use of a phenomenon called “agonist retraining”. The use of resistance imposed by a spring system on the fingers and thumb, which results in the patient performing voluntary muscle contraction and relaxation of the flexor muscles of the fingers and thumb. During the exercises, the type of objects and their location were changed.
- Repetitive grasp-release exercises without the splint; objective: to consolidate the upper limb functions obtained with the splint by repeated grasping and releasing tasks of various objects placed in different locations.
3. Results
4. Discussion
5. Conclusions
Author Contributions
Funding
Institutional Review Board Statement
Informed Consent Statement
Data Availability Statement
Conflicts of Interest
References
- Kuo, C.-L.; Hu, G.-C. Post-stroke Spasticity: A Review of Epidemiology, Pathophysiology, and Treatments. Int. J. Gerontol. 2018, 12, 280–284. [Google Scholar] [CrossRef]
- Schiemanck, S.K.; Kwakkel, G.; Post, M.W.; Kappelle, L.J.; Prevo, A.J. Predicting long-term independency in activities of daily living after middle cerebral artery stroke: Does information from MRI have added predictive value compared with clinical information? Stroke 2006, 37, 1050–1054. [Google Scholar] [CrossRef] [PubMed]
- Krakauer, J.W. Motor learning: Its relevance to stroke recovery and neurorehabilitation. Curr. Opin. Neurol. 2006, 19, 84–90. [Google Scholar] [CrossRef] [PubMed]
- Marzke, M.W. Evolutionary development of the human thumb. Hand Clin. 1992, 8, 1–8. [Google Scholar] [CrossRef]
- Fernández, P.J.; Mongle, C.S.; Leakey, L.; Proctor, D.J.; Orr, C.M.; Patel, B.A.; Almécija, S.; Tocheri, M.W.; Jungers, W.L. Evolution and function of the hominin forefoot. Proc. Natl. Acad. Sci. USA 2018, 115, 8746–8751. [Google Scholar] [CrossRef] [PubMed]
- Nakayama, H.; Jørgensen, H.S.; Raaschou, H.O.; Olsen, T.S. Recovery of upper extremity function in stroke patients: The Copenhagen Stroke Study. Arch. Phys. Med. Rehabil. 1994, 75, 394–398. [Google Scholar] [CrossRef] [PubMed]
- Esquenazi, A.; Albanese, A.; Chancellor, M.B.; Elovic, E.; Segal, K.R.; Simpson, D.M.; Smith, C.P.; Ward, A.B. Evidence-based review and assessment of botulinum neurotoxin for the treatment of adult spasticity in the upper motor neuron syndrome. Toxicon 2013, 67, 115–128. [Google Scholar] [CrossRef]
- Demetrios, M.; Khan, F.; Turner-Stokes, L.; Brand, C.; McSweeney, S. Multidisciplinary rehabilitation following botulinum toxin and other focal intramuscular treatment for post-stroke spasticity. Cochrane Database Syst. Rev. 2013, CD009689. [Google Scholar] [CrossRef]
- van der Lee, J.H.; Wagenaar, R.C.; Lankhorst, G.J.; Vogelaar, T.W.; Devillé, W.L.; Bouter, L.M. Forced use of the upper extremity in chronic stroke patients: Results from a single-blind randomized clinical trial. Stroke 1999, 30, 2369–2375. [Google Scholar] [CrossRef]
- Hoffman, H.B.; Blakey, G.L. New design of dynamic orthoses for neurological conditions. NeuroRehabilitation 2011, 28, 55–61. [Google Scholar] [CrossRef]
- Bütefisch, C.; Hummelsheim, H.; Denzler, P.; Mauritz, K.H. Repetitive training of isolated movements improves the outcome of motor rehabilitation of the centrally paretic hand. J. Neurol. Sci. 1995, 130, 59–68. [Google Scholar] [CrossRef] [PubMed]
- Eroğlu, M.; Karapolat, H.; Atamaz, F.; Tanıgör, G.; Kirazlı, Y. Occupational therapy assessment and treatment approach in patients with subacute and chronic stroke: A single-blind, prospective, randomized clinical trial. Turk. J. Phys. Med. Rehabil. 2020, 66, 316–328. [Google Scholar] [CrossRef] [PubMed]
- Sun, Y.; Ledwell, N.M.H.; Boyd, L.A.; Zehr, E.P. Unilateral wrist extension training after stroke improves strength and neural plasticity in both arms. Exp. Brain Res. 2018, 236, 2009–2021. [Google Scholar] [CrossRef] [PubMed]
- Daly, J.J.; McCabe, J.P.; Holcomb, J.; Monkiewicz, M.; Gansen, J.; Pundik, S. Long-Dose Intensive Therapy Is Necessary for Strong, Clinically Significant, Upper Limb Functional Gains and Retained Gains in Severe/Moderate Chronic Stroke. Neurorehabil. Neural Repair 2019, 33, 523–537. [Google Scholar] [CrossRef] [PubMed]
- Pooyania, S.; Semenko, B. Botulinum toxin type-A (BoNTA) and dynamic wrist-hand orthoses versus orthoses alone for the treatment of spastic-paretic upper extremity in chronic stroke patients. Open J. Ther. Rehabil. 2014, 2, 12–18. [Google Scholar] [CrossRef][Green Version]
- Mahoney, F.I.; Barthel, D.W. Functional evaluation: The Barthel Index. Md. State Med. J. 1965, 14, 61–65. [Google Scholar]
- Katoozian, L.; Tahan, N.; Zoghi, M.; Bakhshayesh, B. The Onset and Frequency of Spasticity After First Ever Stroke. J. Natl. Med. Assoc. 2018, 110, 547–552. [Google Scholar] [CrossRef]
- Lundström, E.; Smits, A.; Terént, A.; Borg, J. Time-course and determinants of spasticity during the first six months following first-ever stroke. J. Rehabil. Med. 2010, 42, 296–301. [Google Scholar] [CrossRef]
- Burke, D.; Wissel, J.; Donnan, G.A. Pathophysiology of spasticity in stroke. Neurology 2013, 80, S20–S26. [Google Scholar] [CrossRef]
- Brashear, A.; Zafonte, R.; Corcoran, M.; Galvez-Jimenez, N.; Gracies, J.-M.; Gordon, M.F.; McAfee, A.; Ruffing, K.; Thompson, B.; Williams, M.; et al. Inter- and intrarater reliability of the Ashworth Scale and the Disability Assessment Scale in patients with upper-limb poststroke spasticity. Arch. Phys. Med. Rehabil. 2002, 83, 1349–1354. [Google Scholar] [CrossRef]
- SaeboFlex. Available online: https://uk.saebo.com/shop/saeboflex/ (accessed on 15 November 2022).
- International Classification of Functioning, Disability and Health (ICF). WHO. Available online: https://www.who.int/standards/classifications/international-classification-of-functioning-disability-and-health (accessed on 30 September 2022).
- Fugl-Meyer, A.R.; Jääskö, L.; Leyman, I.; Olsson, S.; Steglind, S. The post-stroke hemiplegic patient. 1. a method for evaluation of physical performance. Scand. J. Rehabil. Med. 1975, 7, 13–31. [Google Scholar] [PubMed]
- Sanford, J.; Moreland, J.; Swanson, L.R.; Stratford, P.W.; Gowland, C. Reliability of the Fugl-Meyer assessment for testing motor performance in patients following stroke. Phys. Ther. 1993, 73, 447–454. [Google Scholar] [CrossRef] [PubMed]
- Morris, S. Ashworth And Tardieu Scales: Their Clinical Relevance For Measuring Spasticity In Adult And Paediatric Neurological Populations. Phys. Ther. Rev. 2002, 7, 53–62. [Google Scholar] [CrossRef]
- Lundeberg, T.; Lund, I.; Dahlin, L.; Borg, E.; Gustafsson, C.; Sandin, L.; Rosén, A.; Kowalski, J.; Eriksson, S.V. Reliability and responsiveness of three different pain assessments. J. Rehabil. Med. 2001, 33, 279–283. [Google Scholar] [CrossRef] [PubMed]
- Ianieri, G.; Saggini, R.; Marvulli, R.; Tondi, G.; Aprile, A.; Ranieri, M.; Benedetto, G.; Altini, S.; Lancioni, G.E.; Goffredo, L.; et al. New approach in the assessment of the tone, elasticity and the muscular resistance: Nominal scales vs MYOTON. Int. J. Immunopathol. Pharm. 2009, 22, 21–24. [Google Scholar] [CrossRef] [PubMed]
- Jaskólska, A.; Jaskólski, A. Właściwości fizjologiczne i mechaniczne mięśni szkieletowych—Czy są takie same w różnych mięśniach i u wszystkich osób? Kosmos 2021, 69, 739–756. [Google Scholar] [CrossRef]
- Duncan, P.W.; Wallace, D.; Lai, S.M.; Johnson, D.; Embretson, S.; Laster, L.J. The stroke impact scale version 2.0. Evaluation of reliability, validity, and sensitivity to change. Stroke 1999, 30, 2131–2140. [Google Scholar] [CrossRef]
- Vellone, E.; Savini, S.; Fida, R.; Dickson, V.V.; Melkus, G.D.; Carod-Artal, F.J.; Rocco, G.; Alvaro, R. Psychometric evaluation of the Stroke Impact Scale 3.0. J. Cardiovasc. Nurs. 2015, 30, 229–241. [Google Scholar] [CrossRef]
- Desrosiers, J.; Bravo, G.; Hébert, R.; Dutil, E.; Mercier, L. Validation of the Box and Block Test as a measure of dexterity of elderly people: Reliability, validity, and norms studies. Arch. Phys. Med. Rehabil. 1994, 75, 751–755. [Google Scholar] [CrossRef]
- Hiragami, S.; Inoue, Y.; Harada, K. Minimal clinically important difference for the Fugl-Meyer assessment of the upper extremity in convalescent stroke patients with moderate to severe hemiparesis. J. Phys. Ther. Sci. 2019, 31, 917–921. [Google Scholar] [CrossRef]
- Meseguer-Henarejos, A.B.; Sánchez-Meca, J.; López-Pina, J.A.; Carles-Hernández, R. Inter- and intra-rater reliability of the Modified Ashworth Scale: A systematic review and meta-analysis. Eur. J. Phys. Rehabil. Med. 2018, 54, 576–590. [Google Scholar] [CrossRef] [PubMed]
- Salaffi, F.; Stancati, A.; Silvestri, C.A.; Ciapetti, A.; Grassi, W. Minimal clinically important changes in chronic musculoskeletal pain intensity measured on a numerical rating scale. Eur. J. Pain 2004, 8, 283–291. [Google Scholar] [CrossRef] [PubMed]
- Lin, K.C.; Fu, T.; Wu, C.Y.; Wang, Y.H.; Liu, J.S.; Hsieh, C.J.; Lin, S.F. Minimal detectable change and clinically important difference of the Stroke Impact Scale in stroke patients. Neurorehabil. Neural Repair 2010, 24, 486–492. [Google Scholar] [CrossRef] [PubMed]
- Butler, A.; Blanton, S.; Rowe, V.; Wolf, S. Attempting to improve function and quality of life using the FTM Protocol: Case report. J. Neurol. Phys. Ther. 2006, 30, 148–156. [Google Scholar] [CrossRef] [PubMed]
- Stuck, R.A.; Marshall, L.M.; Sivakumar, R. Feasibility of SaeboFlex upper-limb training in acute stroke rehabilitation: A clinical case series. Occup. Ther. Int. 2014, 21, 108–114. [Google Scholar] [CrossRef]
- Walawender, I.; Roczniak, W.; Nowak, D.; Skowron, M.; Waliczek, M.; Rogalska, A.; Nowak, P.G. Applicability of the Numeric Scale for Anxiety Evaluation in Patients Undergoing Dental Treatment. Dent. Med. Probl. 2015, 52, 205–214. [Google Scholar]
- Andriske, L.; Verikios, D.; Hitch, D. Patient and Therapist Experiences of the SaeboFlex: A Pilot Study. Occup. Ther. Int. 2017, 2017, 5462078. [Google Scholar] [CrossRef]
- Chau, C.; Barbeau, H.; Rossignol, S. Early locomotor training with clonidine in spinal cats. J. Neurophysiol. 1998, 79, 392–409. [Google Scholar] [CrossRef]
- Kimberley, T.J.; Samargia, S.; Moore, L.G.; Shakya, J.K.; Lang, C.E. Comparison of amounts and types of practice during rehabilitation for traumatic brain injury and stroke. J. Rehabil. Res. Dev. 2010, 47, 851–862. [Google Scholar] [CrossRef]
- de Sousa, D.G.; Harvey, L.A.; Dorsch, S.; Glinsky, J.V. Interventions involving repetitive practice improve strength after stroke: A systematic review. J. Physiother. 2018, 64, 210–221. [Google Scholar] [CrossRef]
- Scrivener, K.; Sherrington, C.; Schurr, K.; Treacy, D. Many participants in inpatient rehabilitation can quantify their exercise dosage accurately: An observational study. J. Physiother. 2011, 57, 117–122. [Google Scholar] [CrossRef]
- Veerbeek, J.M.; van Wegen, E.; van Peppen, R.; van der Wees, P.J.; Hendriks, E.; Rietberg, M.; Kwakkel, G. What is the evidence for physical therapy poststroke? A systematic review and meta-analysis. PLoS ONE 2014, 9, e87987. [Google Scholar] [CrossRef] [PubMed]
- Lang, C.E.; Macdonald, J.R.; Reisman, D.S.; Boyd, L.; Jacobson Kimberley, T.; Schindler-Ivens, S.M.; Hornby, T.G.; Ross, S.A.; Scheets, P.L. Observation of amounts of movement practice provided during stroke rehabilitation. Arch. Phys. Med. Rehabil. 2009, 90, 1692–1698. [Google Scholar] [CrossRef] [PubMed]
- Wade, D.T. Stroke: Rehabilitation and long-term care. Lancet 1992, 339, 791–793. [Google Scholar] [CrossRef]
- Nasb, M.; Li, Z.; S A Youssef, A.; Dayoub, L.; Chen, H. Comparison of the effects of modified constraint-induced movement therapy and intensive conventional therapy with a botulinum-a toxin injection on upper limb motor function recovery in patients with stroke. Libyan J. Med. 2019, 14, 1609304. [Google Scholar] [CrossRef] [PubMed]
- Maier, M.; Ballester, B.R.; Verschure, P. Principles of Neurorehabilitation After Stroke Based on Motor Learning and Brain Plasticity Mechanisms. Front. Syst. Neurosci. 2019, 13, 74. [Google Scholar] [CrossRef] [PubMed]
- Sławek, J. (Ed.) Zastosowanie toksyny botulinowej w leczeniu spastyczności kończyny górnej u dorosłych. In Spastyczność—Od Patofizjologii do Leczenia, 2nd ed.; Via Medica: Gdańsk, Poland, 2013; pp. 181–194. [Google Scholar]
- Park, J.; Chung, M.E. Botulinum Toxin for Central Neuropathic Pain. Toxins 2018, 10, 224. [Google Scholar] [CrossRef]
- Marchesi, G.; Ballardini, G.; Barone, L.; Giannoni, P.; Lentino, C.; De Luca, A.; Casadio, M. Modified Functional Reach Test: Upper-Body Kinematics and Muscular Activity in Chronic Stroke Survivors. Sensors 2021, 22, 230. [Google Scholar] [CrossRef]
- Cabanas-Valdés, R.; Bagur-Calafat, C.; Girabent-Farrés, M.; Caballero-Gómez, F.M.; Hernández-Valiño, M.; Urrútia Cuchí, G. The effect of additional core stability exercises on improving dynamic sitting balance and trunk control for subacute stroke patients: A randomized controlled trial. Clin. Rehabil. 2016, 30, 1024–1033. [Google Scholar] [CrossRef]
- Dean, C.; Shepherd, R.; Adams, R. Sitting balance I: Trunk-arm coordination and the contribution of the lower limbs during self-paced reaching in sitting. Gait Posture 1999, 10, 135–146. [Google Scholar] [CrossRef]
- Chern, J.S.; Lo, C.Y.; Wu, C.Y.; Chen, C.L.; Yang, S.; Tang, F.T. Dynamic postural control during trunk bending and reaching in healthy adults and stroke patients. Am. J. Phys. Med. Rehabil. 2010, 89, 186–197. [Google Scholar] [CrossRef] [PubMed]
- De Baets, L.; Van Deun, S.; Monari, D.; Jaspers, E. Three-dimensional kinematics of the scapula and trunk, and associated scapular muscle timing in individuals with stroke. Hum. Mov. Sci. 2016, 48, 82–90. [Google Scholar] [CrossRef] [PubMed]
- Hartley, T.; Burger, M.; Inglis-Jassiem, G. Post stroke health-related quality of life, stroke severity and function: A longitudinal cohort study. Afr. J. Disabil. 2022, 11, 947. [Google Scholar] [CrossRef] [PubMed]




| Test | Examination I | Examination II | Examination III | Examination IV |
|---|---|---|---|---|
| Structure/function measurements | ||||
| Fugl-Meyer Upper Extremity Assessment (A–D, max 66) | 21/31.8% | 24/36.4% | 33/50% | 34/51.5% |
| Upper extremity (max 36) | 18 | 21 | 25 | 25 |
| Wrist (max 10) | 0 | 0 | 1 | 2 |
| Hand (max 14) | 3 | 3 | 6 | 6 |
| Coordination/velocity (max 6) | 0 | 0 | 1 | 1 |
| Pain sensation (max 12) | 8 | 8 | 8 | 9 |
| Passive range of motion (max 24) | 12 | 13 | 15 | 16 |
| Arthralgia (max 24) | 6 | 9 | 9 | 9 |
| Modified Ashworth Scale | ||||
| Elbow flexors | 3 | 1 | 1+ | 1+ |
| Elbow extensors | 2 | 0 | 1 | 1 |
| Wrist flexors | 1 | 0 | 1 | 1+ |
| Finger flexors | 2 | 1 | 1 | 1+ |
| Thumb flexors | 2 | 1 | 1 | 1 |
| Numerical Rating Scale | ||||
| At rest (max 10) | 8 | 7 | 7 | 7 |
| During activity (max 10) | 9 | 8 | 8 | 8 |
| Oscillation frequency [Hz] and stiffness [N/m] of selected muscles | ||||
| 1. Pronator teres | ||||
| Oscillation frequency | 14 | 10.7 | 10.9 | 11.5 |
| Stiffness | 229 | 119 | 124 | 188 |
| 2. Flexor carpi ulnaris | ||||
| Oscillation frequency | 19 | 15.5 | 16.5 | 16.9 |
| Stiffness | 403 | 294 | 310 | 329 |
| 3. Flexor carpi radialis | ||||
| Oscillation frequency | 13.5 | 10.7 | 12.4 | 12.6 |
| Stiffness | 218 | 124 | 190 | 198 |
| 4. Flexor pollicis longus | ||||
| Oscillation frequency | 17 | 15.2 | 16 | 16.3 |
| Stiffness | 316 | 227 | 296 | 301 |
| 5. Flexor digitorum superficialis | ||||
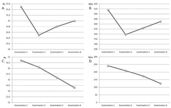
| Oscillation frequency | 15.5 | 14.5 | 14.8 | 15 |
| Stiffness | 308 | 259 | 272 | 285 |
| 6. Biceps brachii | ||||
| Oscillation frequency | 16.2 | 14.8 | 15.2 | 15.5 |
| Stiffness | 295 | 259 | 265 | 270 |
| 7. Latissimus dorsi | ||||
| Oscillation frequency | 15.8 | 14.4 | 13.5 | 12.4 |
| Stiffness | 305 | 249 | 199 | 129 |
| 8. Trapezius, descending part | ||||
| Oscillation frequency | 15.5 | 13.6 | 12.9 | 12.8 |
| Stiffness | 291 | 247 | 240 | 251 |
| 9. Latissimus dorsi (standing position) | ||||
| Oscillation frequency | 16.7 | 16.1 | 15.2 | 14.3 |
| Stiffness | 241 | 209 | 174 | 125 |
| 10. Trapezius, descending part (standing position) | ||||
| Oscillation frequency | 19 | 18.3 | 18.3 | 17.9 |
| Stiffness | 375 | 352 | 328 | 377 |
| Activity and participation | ||||
| Stroke Impact Scale (0–100%) | ||||
| Strength | 40 | 40 | 48 | 52 |
| Memory and thinking | 62 | 91 | 91 | 91 |
| Emotions | 42 | 71 | 71 | 76 |
| Communication | 86 | 94 | 97 | 97 |
| ADL/IADL | 54 | 70 | 74 | 76 |
| Mobility | 78 | 82 | 82 | 84 |
| Hand function | 24 | 32 | 36 | 40 |
| Role and social function | 40 | 43 | 58 | 65 |
| Physical domain (1, 5, 6, 7) | 56 | 64 | 68 | 71 |
| Total (1–8) | 57 | 69 | 73 | 77 |
| Box and Block Test | 0 | 0 | 1 | 2 |
Disclaimer/Publisher’s Note: The statements, opinions and data contained in all publications are solely those of the individual author(s) and contributor(s) and not of MDPI and/or the editor(s). MDPI and/or the editor(s) disclaim responsibility for any injury to people or property resulting from any ideas, methods, instructions or products referred to in the content. |
© 2023 by the authors. Licensee MDPI, Basel, Switzerland. This article is an open access article distributed under the terms and conditions of the Creative Commons Attribution (CC BY) license (https://creativecommons.org/licenses/by/4.0/).
Share and Cite
Moskiewicz, D.; Mraz, M.; Chamela-Bilińska, D. Botulinum Toxin and Dynamic Splint Restore Grasping Function after Stroke: A Case Report. Int. J. Environ. Res. Public Health 2023, 20, 4873. https://doi.org/10.3390/ijerph20064873
Moskiewicz D, Mraz M, Chamela-Bilińska D. Botulinum Toxin and Dynamic Splint Restore Grasping Function after Stroke: A Case Report. International Journal of Environmental Research and Public Health. 2023; 20(6):4873. https://doi.org/10.3390/ijerph20064873
Chicago/Turabian StyleMoskiewicz, Denis, Małgorzata Mraz, and Dagmara Chamela-Bilińska. 2023. "Botulinum Toxin and Dynamic Splint Restore Grasping Function after Stroke: A Case Report" International Journal of Environmental Research and Public Health 20, no. 6: 4873. https://doi.org/10.3390/ijerph20064873
APA StyleMoskiewicz, D., Mraz, M., & Chamela-Bilińska, D. (2023). Botulinum Toxin and Dynamic Splint Restore Grasping Function after Stroke: A Case Report. International Journal of Environmental Research and Public Health, 20(6), 4873. https://doi.org/10.3390/ijerph20064873

