Physical, Psychiatric, and Social Comorbidities of Individuals with Schizophrenia Living in the Community in Japan
Abstract
1. Introduction
2. Materials and Methods
2.1. Study Design and Participants
2.2. Study Variables
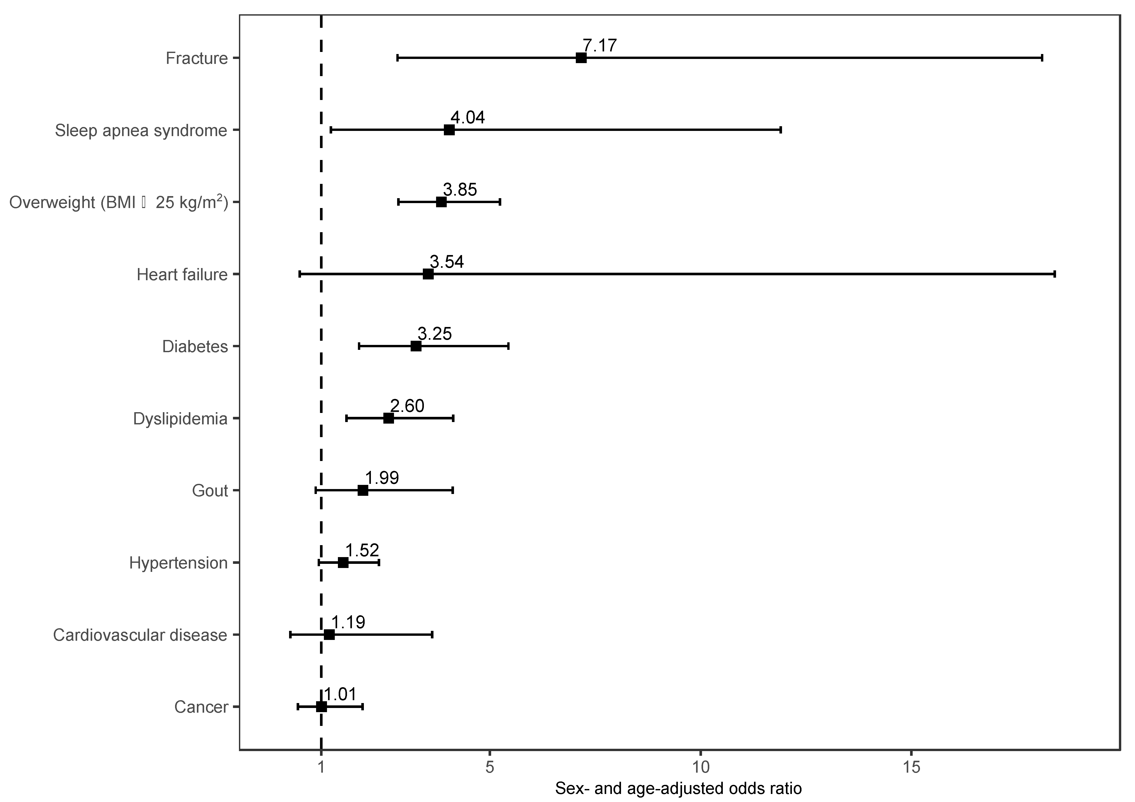
- Restriction in functional capacity.To evaluate functional capacity restrictions, we used the Scale of Independence in Daily Living for the Disabled Elderly published by the Ministry of Health, Labour and Welfare, Japan [28]. The term ”restrictions in functional capacity” refers to a multidimensional concept that involves sensory loss, impaired mobility, vascular disorders, gait impairments, problems with activities of daily living (ADLs), and changes in body systems [29]. Participants self-assessed restrictions by choosing one of the following options: (1) “I have no physical disabilities,” (2) “I go out alone, using transportation,” (3) “I can only go out alone in my neighborhood,” (4) “I go out with help and live mostly out of bed during the day,” (5) “I can go out with help, but I go out infrequently, and I spend most of the daytime sleeping on and off in bed,” (6) “I can ride in a wheelchair by myself and eat and toilet away from the bed,” (7) “I can ride in a wheelchair with assistance.,” (8) “I can roll over in bed,” and (9) “I cannot roll over in bed.” Participants who chose options other than option (1) were regarded as having restrictions in functional capacity. Participants who chose option (1), (2), or (3) were regarded as going out alone.
- Self-rated health status (SRHS).SRHS is a self-reported measure of health status that incorporates a person’s biological, mental, social, and functional aspects, including individual and cultural beliefs and health behaviors. It is a strong predictor of all-cause mortality in general populations [30]. Participants responded to the question “What do you think of your general health status during the previous month?” by choosing one of the following options: “great,” “pretty good,” “good,” “not so good,” and “bad.” Participants who answered “not so good” or “bad” were defined as bad SRHS.
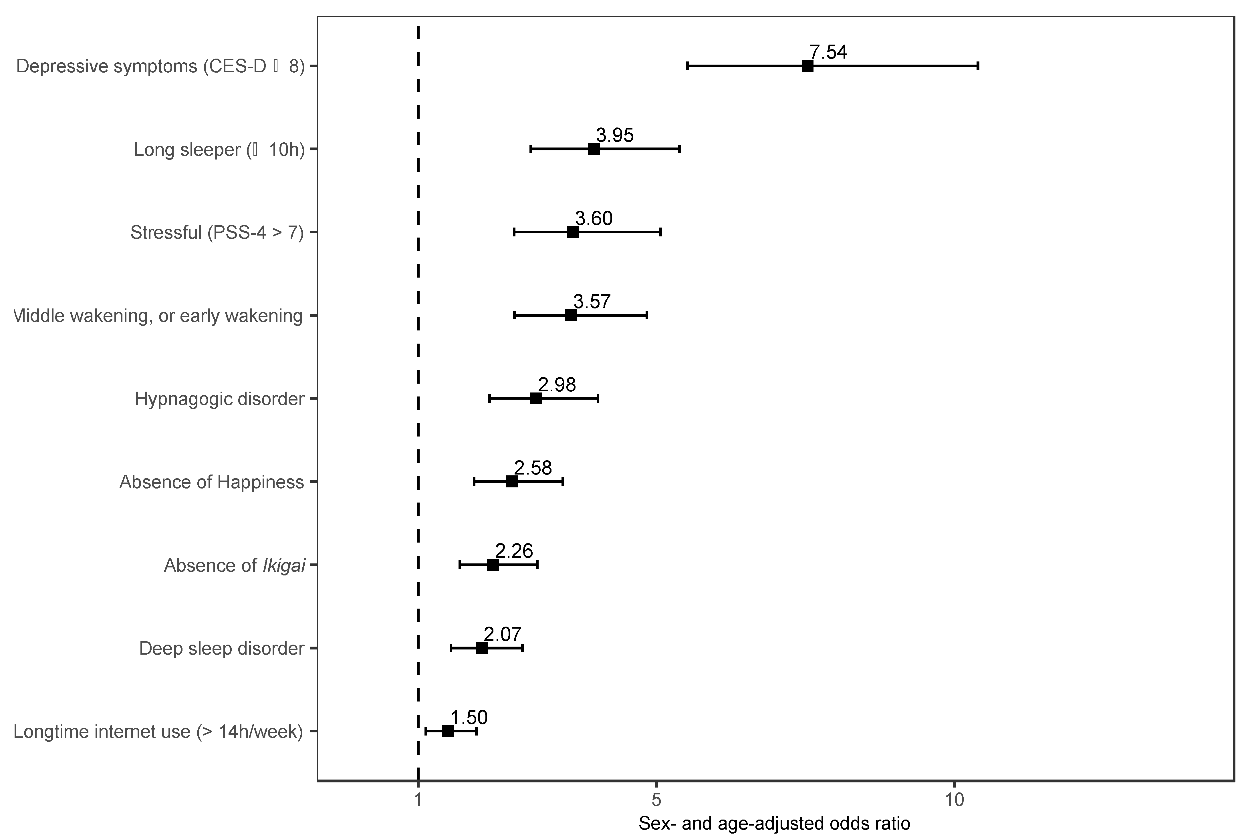
- Depressive symptoms (CES-D).
- Hypnagogic disorder.Participants were asked, “In the past month, have you had trouble falling asleep within 30 min of getting to bed?” and answered the question from six options: “almost never,” “less than once a week,” “1–2 times per week,” “3–4 times per week,” “5–6 times a week,” or “almost every day.” Participants who answered “3–4 times per week,” “5–6 times a week,” or “almost every day” were defined as having hypnagogic disorder.
- Deep sleep disorder.Participants were asked, “In the past month, have you felt terribly tired when you woke up in the morning?” and answered the question from six options: “almost never,” “less than once a week,” “1–2 times per week,” “3–4 times per week,” “5–6 times a week,” or “almost every day.” Participants who answered “3–4 times per week,” “5–6 times a week,” or “almost every day” were defined as having deep sleep disorder.
- Perceived stress (PSS-4).We assessed perceived stress with a 4-item Perceived Stress Scale (PSS-4) [33]. Scores are on a 16-point scale, with higher total scores indicating more severe perceived stress. Perceived stress was defined as being present when the score was higher than 7, the median of the PSS-4 scores for participants without schizophrenia.
- Ikigai.The Japanese term “Ikigai” is a positive reason for living [34]. Participants were asked, “Do you have any positive reasons to live?” and answered the question from four options: “very much so,” “yes,” “no,” or “not at all.” Participants who answered “no” or “not at all” were defined as the absence of ikigai.
- Happiness.Participants were asked, “How happy do you feel about your life?” and answered the question from four options: “very happy,” “happy,” “neither happy nor unhappy,” and “unhappy.” Participants who answered “neither happy nor unhappy” or “unhappy” were defined as the absence of happiness.
- Internet use time.Internet use time per week was calculated from the hours of use per day and the frequency of use per week. We defined longtime internet use as more than 14 h, a median of participants without schizophrenia.
- Non-regular employment.A regular employee in Japan is a term used to refer to an employee who does not have a set term of employment, works during scheduled hours, and is employed directly by his or her employer. A non-regular employee in Japan is an employee who does not meet one of the conditions for regular employment. In other words, non-regular employment falls within one or more fixed-term, part-time, or indirect employment.
- Social support.Social support was assessed using the ENRICHD Social Support Instrument (ESSI), which is a well-validated and widely used self-report questionnaire designed to assess the availability of social support [35,36]. The ESSI consists of 7 items that assess the perceived availability of social support in different domains, including emotional, instrumental, informational, and appraisal support. The 7 items of ESSI are as follows: (1) “Is there someone available you can count on to listen to you when you need to talk?,” (2) “Is there someone available to you to give you good advice about a problem?,” (3) “Is there someone available to you who shows you love and affection?,” (4) “Is there someone available to help with daily chores?,” (5) “Can you count on anyone to provide you with emotional support (for instance, talking over problems or helping you make a difficult decision)?,” (6) “Do you have as much contact as you would like with someone you feel close to and you can trust and confide in?,” and (7) “Are you living with your spouse or partner?” For the first six items, participants selected one of the following options: “none (score = 1),” “a little (score = 2),” “some (score = 3),” “most (score = 4),” and “all of the time (score = 5).” For item 7, participants who lived with their spouse or partner received a score of 4 and those who did not received a score of 2. Total scores ranged from 8 to 34, with higher scores indicating higher availability of social support.In the present study, we defined social support as low when the total score on the ESSI was less than 17, which corresponds to the first quartile of the ESSI scores for participants without schizophrenia.
- Social capital.Social capital was assessed using the Integrated Questionnaire for the Measurement of Social Capital (SC-IQ) [37], which is a comprehensive and multidimensional self-report questionnaire designed to measure different aspects of social capital, typically described as assets such as social networks, social participation, trust, and reciprocity. In the present study, we focused on cognitive and structural social capital using specific items from the SC-IQ [38]. For cognitive social capital, we used the following three items: (1) “Can most people be trusted?”; (2) “Does one have to be alert or is someone likely to take advantage of you?”; (3) “Are most people willing to help if you need it?” Responses were selected from four categories: “strongly disagree,” “disagree,” “agree,” and “strongly agree.” For the three questions, cognitive social capital was defined as high when there were two or more responses of “agree” or “strongly agree” to question (1), “disagree” or “strongly disagree” to question (2), and “agree” or “strongly agree” to question (3). For structural social capital, we used the following item from the SC-IQ: “How often do you participate in community organizations, self-help groups, charities, volunteer groups, or religious gatherings?” The response was selected from four categories: “not at all/very seldom,” “sometimes,” “less than once a week,” and “more than once a week.” Structural social capital was defined as high when the response was “more than once a week.”
2.3. Statistical Analysis
3. Results
4. Discussion
5. Conclusions
Author Contributions
Funding
Institutional Review Board Statement
Informed Consent Statement
Data Availability Statement
Acknowledgments
Conflicts of Interest
References
- He, Y.; Tanaka, A.; Kishi, T.; Li, Y.; Matsunaga, M.; Tanihara, S.; Iwata, N.; Ota, A. Recent findings on subjective well-being and physical, psychiatric, and social comorbidities in individuals with schizophrenia: A literature review. Neuropsychopharmacol. Rep. 2022. online ahead of print. [Google Scholar] [CrossRef]
- The Ministry of Health, Labour and Welfare. The Patient Survey in Japan, 2017. 2017. Available online: https://www.mhlw.go.jp/toukei/saikin/hw/kanja/17/index.html (accessed on 23 February 2023). (In Japanese).
- The Ministry of Health, Labour and Welfare. The Vision for Reforming Mental Health Care and Welfare. 2004. Available online: https://www.mhlw.go.jp/topics/2004/09/dl/tp0902-1a.pdf (accessed on 23 February 2023). (In Japanese).
- Maki, S.; Nagai, K.; Ando, S.; Tamakoshi, K. Structure and predictors of in-hospital nursing care leading to reduction in early readmission among patients with schizophrenia in Japan: A cross-sectional study. PLoS ONE 2021, 16, e0250771. [Google Scholar] [CrossRef]
- Šprah, L.; Dernovšek, M.Z.; Wahlbeck, K.; Haaramo, P. Psychiatric readmissions and their association with physical comorbidity: A systematic literature review. BMC Psychiatry 2017, 17, 2. [Google Scholar] [CrossRef]
- Kessler, T.; Lev-Ran, S. The association between comorbid psychiatric diagnoses and hospitalization-related factors among individuals with schizophrenia. Compr. Psychiatry 2019, 89, 7–15. [Google Scholar] [CrossRef]
- Suzuki, Y.; Yasumura, S.; Fukao, A.; Otani, K. Associated factors of rehospitalization among schizophrenic patients. Psychiatry Clin. Neurosci. 2003, 57, 555–561. [Google Scholar] [CrossRef]
- Mitchell, A.J.; Vancampfort, D.; Sweers, K.; van Winkel, R.; Yu, W.; De Hert, M. Prevalence of Metabolic Syndrome and Metabolic Abnormalities in Schizophrenia and Related Disorders—A Systematic Review and Meta-Analysis. Schizophr. Bull. 2013, 39, 306–318. [Google Scholar] [CrossRef]
- Mamakou, V.; Thanopoulou, A.; Gonidakis, F.; Tentolouris, N.; Kontaxakis, V. Schizophrenia and type 2 diabetes mellitus. Psychiatriki 2018, 29, 64–73. [Google Scholar] [CrossRef]
- Etchecopar-Etchart, D.; Korchia, T.; Loundou, A.; Llorca, P.-M.; Auquier, P.; Lançon, C.; Boyer, L.; Fond, G. Comorbid Major Depressive Disorder in Schizophrenia: A Systematic Review and Meta-Analysis. Schizophr. Bull. 2021, 47, 298–308. [Google Scholar] [CrossRef]
- Wulff, K.; Dijk, D.-J.; Middleton, B.; Foster, R.G.; Joyce, E.M. Sleep and circadian rhythm disruption in schizophrenia. Br. J. Psychiatry 2012, 200, 308–316. [Google Scholar] [CrossRef]
- Crespo-Facorro, B.; Such, P.; Nylander, A.-G.; Madera, J.; Resemann, H.K.; Worthington, E.; O’Connor, M.; Drane, E.; Steeves, S.; Newton, R. The burden of disease in early schizophrenia—A systematic literature review. Curr. Med. Res. Opin. 2021, 37, 109–121. [Google Scholar] [CrossRef]
- Green, M.F.; Kern, R.S.; Braff, D.L.; Mintz, J. Neurocognitive deficits and functional outcome in schizophrenia: Are we measuring the “right stuff”? Schizophr. Bull. 2000, 26, 119–136. [Google Scholar] [CrossRef]
- Sugai, T.; Suzuki, Y.; Yamazaki, M.; Shimoda, K.; Mori, T.; Ozeki, Y.; Matsuda, H.; Sugawara, N.; Yasui-Furukori, N.; Minami, Y.; et al. High Prevalence of Obesity, Hypertension, Hyperlipidemia, and Diabetes Mellitus in Japanese Outpatients with Schizophrenia: A Nationwide Survey. PLoS ONE 2016, 11, e0166429. [Google Scholar] [CrossRef]
- Baba, K.; Guo, W.; Chen, Y.; Nosaka, T.; Kato, T. Burden of schizophrenia among Japanese patients: A cross-sectional national health and wellness survey. BMC Psychiatry 2022, 22, 410. [Google Scholar] [CrossRef]
- Leucht, S.; Burkard, T.; Henderson, J.; Maj, M.; Sartorius, N. Physical illness and schizophrenia: A review of the literature. Acta Psychiatr. Scand. 2007, 116, 317–333. [Google Scholar] [CrossRef]
- Buckley, P.F.; Miller, B.J.; Lehrer, D.S.; Castle, D.J. Psychiatric comorbidities and schizophrenia. Schizophr. Bull. 2009, 35, 383–402. [Google Scholar] [CrossRef]
- Mueser, K.T.; McGurk, S.R. Schizophrenia. Lancet 2004, 363, 2063–2072. [Google Scholar] [CrossRef]
- Schoepf, D.; Uppal, H.; Potluri, R.; Heun, R. Physical comorbidity and its relevance on mortality in schizophrenia: A naturalistic 12-year follow-up in General Hospital admissions. Eur. Arch. Psychiatry Clin. Neurosci. 2014, 264, 3–28. [Google Scholar] [CrossRef]
- Abdullah, H.M.; Shahul, H.A.; Hwang, M.Y.; Ferrando, S. Comorbidity in Schizophrenia: Conceptual Issues and Clinical Management. Focus Am. Psychiatr. Publ. 2020, 18, 386–390. [Google Scholar] [CrossRef]
- Evensen, S.; Wisløff, T.; Lystad, J.U.; Bull, H.; Ueland, T.; Falkum, E. Prevalence, Employment Rate, and Cost of Schizophrenia in a High-Income Welfare Society: A Population-Based Study Using Comprehensive Health and Welfare Registers. Schizophr.Bull. 2016, 42, 476–483. [Google Scholar] [CrossRef]
- Lin, D.; Kim, H.; Wada, K.; Aboumrad, M.; Powell, E.; Zwain, G.; Benson, C.; Near, A.M. Unemployment, homelessness, and other societal outcomes in patients with schizophrenia: A real-world retrospective cohort study of the United States Veterans Health Administration database: Societal burden of schizophrenia among US veterans. BMC Psychiatry 2022, 22, 458. [Google Scholar] [CrossRef]
- Bouwmans, C.; de Sonneville, C.; Mulder, C.L.; Hakkaart-van Roijen, L. Employment and the associated impact on quality of life in people diagnosed with Schizophrenia. Neuropsychiatr. Dis. Treat. 2015, 11, 2125–2142. [Google Scholar]
- Tabuchi, T.; Shinozaki, T.; Kunugita, N.; Nakamura, M.; Tsuji, I. Study Profile: The Japan “Society and New Tobacco” Internet Survey (JASTIS): A Longitudinal Internet Cohort Study of Heat-Not-Burn Tobacco Products, Electronic Cigarettes, and Conventional Tobacco Products in Japan. J. Epidemiol. 2019, 29, 444–450. [Google Scholar] [CrossRef] [PubMed]
- Kusama, T.; Kiuchi, S.; Takeuchi, K.; Ikeda, T.; Nakazawa, N.; Kinugawa, A.; Osaka, K.; Tabuchi, T. Information Usage and Compliance with Preventive Behaviors for COVID-19: A Longitudinal Study with Data from the JACSIS 2020/JASTIS 2021. Healthcare 2022, 10, 521. [Google Scholar] [CrossRef]
- Wakabayashi, M.; Sugiyama, Y.; Takada, M.; Kinjo, A.; Iso, H.; Tabuchi, T. Loneliness and Increased Hazardous Alcohol Use: Data from a Nationwide Internet Survey with 1-Year Follow-Up. Int. J. Environ. Res. Public Health 2022, 19, 12086. [Google Scholar] [CrossRef]
- Sasaki, R.; Ota, A.; Yatsuya, H.; Tabuchi, T. Gender Difference in Fear and Anxiety about and Perceived Susceptibility to COVID-19 in the Third Wave of Pandemic among the Japanese General Population: A Nationwide Web-Based Cross-Sectional Survey. Int. J. Environ. Res. Public Health 2022, 19, 16239. [Google Scholar] [CrossRef]
- The Ministry of Health, Labour and Welfare. The Standards for the Degree of Independent Living for Elderly and Disabled People. 1991. Available online: https://www.mhlw.go.jp/file/06-Seisakujouhou-12300000-Roukenkyoku/0000077382.pdf (accessed on 23 February 2023). (In Japanese).
- Foebel, A.D.; Pedersen, N.L. Genetic Influences on Functional Capacities in Aging. Gerontologist 2016, 56 (Suppl. S2), S218–S229. [Google Scholar] [CrossRef]
- DeSalvo, K.B.; Bloser, N.; Reynolds, K.; He, J.; Muntner, P. Mortality prediction with a single general self-rated health question. J. Gen. Intern. Med. 2006, 21, 267. [Google Scholar] [CrossRef]
- Radloff, L.S. The CES-D Scale: A Self-Report Depression Scale for Research in the General Population. Appl. Psychol. Meas. 1977, 1, 385–401. [Google Scholar] [CrossRef]
- Kohout, F.J.; Berkman, L.F.; Evans, D.A.; Cornoni-Huntley, J. Two shorter forms of the CES-D (Center for Epidemiological Studies Depression) depression symptoms index. J. Aging Health 1993, 5, 179–193. [Google Scholar] [CrossRef]
- Warttig, S.L.; Forshaw, M.J.; South, J.; White, A.K. New, normative, English-sample data for the short form perceived stress scale (PSS-4). J. Health Psychol. 2013, 18, 1617–1628. [Google Scholar] [CrossRef]
- García, H.; Miralles, F. Ikigai: The Japanese Secret to a Long and Happy Life; Penguin Books: New York, NY, USA, 2017. [Google Scholar]
- The ENRICHD Investigators. Enhancing Recovery in Coronary Heart Disease (ENRICHD) study intervention: Rationale and design. Psychosom. Med. 2001, 63, 747–755. [Google Scholar]
- The ENRICHD Investigators. Enhancing recovery in coronary heart disease patients (ENRICHD): Study design and methods. Am. Heart J. 2000, 139, 1–9. [Google Scholar] [CrossRef] [PubMed]
- Grootaert, C.; Narayan, D.; Jones, V.N.; Woolcock, M. Measuring Social Capital: An Integrated Questionnaire; The World Bank: Washington, DC, USA, 2004. [Google Scholar]
- Murayama, H.; Fujiwara, Y.; Kawachi, I. Social capital and health: A review of prospective multilevel studies. J. Epidemiol. 2012, 22, 3. [Google Scholar] [CrossRef] [PubMed]
- The Ministry of Internal Affairs and Communications. White Paper 2021 on Information and Communications in Japan. 2021. Available online: https://www.soumu.go.jp/johotsusintokei/whitepaper/ja/r03/html/nd242120.html (accessed on 23 February 2023). (In Japanese).
- Hjorthøj, C.; Stürup, A.E.; McGrath, J.J.; Nordentoft, M. Years of potential life lost and life expectancy in schizophrenia: A systematic review and meta-analysis. Lancet Psychiatry 2017, 4, 295–301. [Google Scholar] [CrossRef]
- Brown, S.; Kim, M.; Mitchell, C.; Inskip, H. Twenty-five year mortality of a community cohort with schizophrenia. Br. J. Psychiatry 2010, 196, 116–121. [Google Scholar] [CrossRef] [PubMed]
- Virtanen, T.; Eskelinen, S.; Sailas, E.; Suvisaari, J. Dyspepsia and constipation in patients with schizophrenia spectrum disorders. Nord. J. Psychiatry 2017, 71, 48–54. [Google Scholar] [CrossRef]
- Koizumi, T.; Uchida, H.; Suzuki, T.; Sakurai, H.; Tsunoda, K.; Nishimoto, M.; Ishigaki, T.; Goto, A.; Mimura, M. Oversight of constipation in inpatients with schizophrenia: A cross-sectional study. Gen. Hosp. Psychiatry 2013, 35, 649–652. [Google Scholar] [CrossRef]
- Xu, Y.; Amdanee, N.; Zhang, X. Antipsychotic-Induced Constipation: A Review of the Pathogenesis, Clinical Diagnosis, and Treatment. CNS Drugs 2021, 35, 1265–1274. [Google Scholar] [CrossRef]
- Deng, C. Effects of antipsychotic medications on appetite, weight, and insulin resistance. Endocrinol. Metab. Clin. N. Am. 2013, 42, 545–563. [Google Scholar] [CrossRef]
- Sankaranarayanan, A.; Johnson, K.; Mammen, S.J.; Wilding, H.E.; Vasani, D.; Murali, V.; Mitchison, D.; Castle, D.J.; Hay, P. Disordered Eating among People with Schizophrenia Spectrum Disorders: A Systematic Review. Nutrients 2021, 13, 3820. [Google Scholar] [CrossRef]
- Otsuka, R.; Tamakoshi, K.; Yatsuya, H.; Murata, C.; Sekiya, A.; Wada, K.; Zhang, H.M.; Matsushita, K.; Sugiura, K.; Takefuji, S.; et al. Eating fast leads to obesity: Findings based on self-administered questionnaires among middle-aged Japanese men and women. J. Epidemiol. 2006, 16, 117–124. [Google Scholar] [CrossRef] [PubMed]
- Ohi, K.; Shimada, T.; Kuwata, A.; Kataoka, Y.; Okubo, H.; Kimura, K.; Yasuyama, T.; Uehara, T.; Kawasaki, Y. Smoking Rates and Number of Cigarettes Smoked per Day in Schizophrenia: A Large Cohort Meta-Analysis in a Japanese Population. Int. J. Neuropsychopharmacol. 2019, 22, 19–27. [Google Scholar] [CrossRef] [PubMed]
- The Ministry of Health, Labour and Welfare. The National Health and Nutrition Survey in Japan, 2019. 2019. Available online: https://www.mhlw.go.jp/stf/seisakunitsuite/bunya/kenkou_iryou/kenkou/eiyou/r1-houkoku_00002.html (accessed on 23 February 2023). (In Japanese).
- Stubbs, B.; Gaughran, F.; Mitchell, A.J.; De Hert, M.; Farmer, R.; Soundy, A.; Rosenbaum, S.; Vancampfort, D. Schizophrenia and the risk of fractures: A systematic review and comparative meta-analysis. Gen. Hosp. Psychiatry 2015, 37, 126–133. [Google Scholar] [CrossRef] [PubMed]
- Stubbs, B.; Mueller, C.; Gaughran, F.; Lally, J.; Vancampfort, D.; Lamb, S.E.; Koyanagi, A.; Sharma, S.; Stewart, R.; Perera, G. Predictors of falls and fractures leading to hospitalization in people with schizophrenia spectrum disorder: A large representative cohort study. Schizophr. Res. 2018, 201, 70–78. [Google Scholar] [CrossRef]
- Kishimoto, T.; De Hert, M.; Carlson, H.E.; Manu, P.; Correll, C.U. Osteoporosis and fracture risk in people with schizophrenia. Curr. Opin. Psychiatry 2012, 25, 415–429. [Google Scholar] [CrossRef]
- Stubbs, B.; Vancampfort, D.; Veronese, N.; Solmi, M.; Gaughran, F.; Manu, P.; Rosenbaum, S.; De Hert, M.; Fornaro, M. The prevalence and predictors of obstructive sleep apnea in major depressive disorder, bipolar disorder and schizophrenia: A systematic review and meta-analysis. J. Affect. Disord. 2016, 197, 259–267. [Google Scholar] [CrossRef]
- Takahashi, K.I.; Shimizu, T.; Sugita, T.; Saito, Y.; Takahashi, Y.; Hishikawa, Y. Prevalence of sleep-related respiratory disorders in 101 schizophrenic inpatients. Psychiatry Clin. Neurosci. 1998, 52, 229–231. [Google Scholar] [CrossRef]
- Leung, R.S.; Bradley, T.D. Sleep apnea and cardiovascular disease. Am. J. Respir. Crit. Care Med. 2001, 164, 2147–2165. [Google Scholar] [CrossRef]
- Rossom, R.C.; Hooker, S.A.; O’Connor, P.J.; Crain, A.L.; Sperl-Hillen, J.M. Cardiovascular Risk for Patients with and without Schizophrenia, Schizoaffective Disorder, or Bipolar Disorder. J. Am. Heart Assoc. 2022, 11, e021444. [Google Scholar] [CrossRef]
- Polcwiartek, C.; Loewenstein, D.; Friedman, D.J.; Johansson, K.G.; Graff, C.; Sørensen, P.L.; Nielsen, R.E.; Kragholm, K.; Torp-Pedersen, C.; Søgaard, P.; et al. Clinical Heart Failure Among Patients with and without Severe Mental Illness and the Association with Long-Term Outcomes. Circ. Heart Fail. 2021, 14, e008364. [Google Scholar] [CrossRef]
- He, Q.; You, Y.; Yu, L.; Yao, L.; Lu, H.; Zhou, X.; Wu, S.; Chen, L.; Chen, Y.; Zhao, X. Uric acid levels in subjects with schizophrenia: A systematic review and meta-analysis. Psychiatry Res. 2020, 292, 113305. [Google Scholar] [CrossRef] [PubMed]
- Zhuo, C.; Triplett, P.T. Association of Schizophrenia with the Risk of Breast Cancer Incidence: A Meta-analysis. JAMA Psychiatry 2018, 75, 363–369. [Google Scholar] [CrossRef]
- Chou, F.H.-C.; Tsai, K.-Y.; Wu, H.-C.; Shen, S.-P. Cancer in patients with schizophrenia: What is the next step? Psychiatry Clin. Neurosci. 2016, 70, 473–848. [Google Scholar] [CrossRef] [PubMed]
- Conley, R.R.; Ascher-Svanum, H.; Zhu, B.; Faries, D.E.; Kinon, B.J. The Burden of Depressive Symptoms in the Long-Term Treatment of Patients with Schizophrenia. Schizophr. Res. 2007, 90, 186–197. [Google Scholar] [CrossRef] [PubMed]
- Hawton, K.; Sutton, L.; Haw, C.; Sinclair, J.; Deeks, J.J. Schizophrenia and suicide: Systematic review of risk factors. Br. J. Psychiatry 2005, 187, 9–20. [Google Scholar] [CrossRef] [PubMed]
- Kaskie, R.E.; Graziano, B.; Ferrarelli, F. Schizophrenia and sleep disorders: Links, risks, and management challenges. Nat. Sci. Sleep 2017, 9, 227–239. [Google Scholar] [CrossRef]
- Hacimusalar, Y.; Karaaslan, O.; Misir, E.; Amuk, O.C.; Hacimusalar, G. Sleep quality impairments in schizophrenia and bipolar affective disorder patients continue during periods of remission: A case-controlled study. Sleep Sci. 2022, 15, 47–54. [Google Scholar] [CrossRef]
- Hou, C.-L.; Li, Y.; Cai, M.-Y.; Ma, X.-R.; Zang, Y.; Jia, F.-J.; Lin, Y.-Q.; Ungvari, G.S.; Chiu, H.F.K.; Ng, C.H.; et al. Prevalence of Insomnia and Clinical and Quality of Life Correlates in Chinese Patients with Schizophrenia Treated in Primary Care. Perspect. Psychiatr. Care 2017, 53, 80–86. [Google Scholar] [CrossRef]
- Nugent, K.L.; Chiappelli, J.; Rowland, L.M.; Hong, L.E. Cumulative Stress Pathophysiology in Schizophrenia as Indexed by Allostatic Load. Psychoneuroendocrinology 2015, 60, 120–129. [Google Scholar] [CrossRef]
- Gutiérrez-Rojas, L.; González-Domenech, P.J.; Junquera, G.; Halverson, T.F.; Lahera, G. Functioning and Happiness in People with Schizophrenia: Analyzing the Role of Cognitive Impairment. Int. J. Environ. Res. Public Health 2021, 18, 7706. [Google Scholar] [CrossRef]
- Holubova, M.; Prasko, J.; Hruby, R.; Kamaradova, D.; Ociskova, M.; Latalova, K.; Grambal, A. Coping strategies and quality of life in schizophrenia: Cross-sectional study. Neuropsychiatr. Dis. Treat. 2015, 11, 3041–3048. [Google Scholar] [PubMed]
- Fervaha, G.; Agid, O.; Takeuchi, H.; Foussias, G.; Remington, G. Life satisfaction and happiness among young adults with schizophrenia. Psychiatry Res. 2016, 242, 174–179. [Google Scholar] [CrossRef] [PubMed]
- Sakai, I.; Mizuno, E. Purpose of life of people with mental illness living in the community. J. Jpn. Acad. Nurs. Sci. 2011, 31, 32–41. [Google Scholar] [CrossRef] [PubMed]
- Lee, J.-Y.; Chung, Y.-C.; Song, J.-H.; Lee, Y.-H.; Kim, J.-M.; Shin, I.-S.; Yoon, J.-S.; Kim, S.-W. Contribution of stress and coping strategies to problematic Internet use in patients with schizophrenia spectrum disorders. Compr. Psychiatry 2018, 87, 89–94. [Google Scholar] [CrossRef] [PubMed]
- Kim, S.-W.; Park, W.-Y.; Jhon, M.; Kim, M.; Lee, J.-Y.; Kim, S.-Y.; Kim, J.-M.; Shin, I.-S.; Yoon, J.-S. Physical Health Literacy and Health-related Behaviors in Patients with Psychosis. Clin. Psychopharmacol. Neurosci. 2019, 17, 279–287. [Google Scholar] [CrossRef] [PubMed]
- Burns, J.K.; Tomita, A.; Kapadia, A.S. Income inequality and schizophrenia: Increased schizophrenia incidence in countries with high levels of income inequality. Int. J. Soc. Psychiatry 2014, 60, 185–196. [Google Scholar] [CrossRef]
- Tanihara, S.; Tsuji, M.; Kawazoe, M.; Yamanokuchi, T.; Shimura, H. Comparison of the number of claims per population in each large classification of disease. J. Health Welf. Stat. 2017, 64, 1–8. (In Japanese) [Google Scholar]
- The National Federation of Associations of Families with The Mental Illness in Japan. National Survey Report on the Promotion of Independent Community Living for Persons with Mental Disabilities and Effective Family Support and Other Measures to Ensure Peace of Mind for Families in 2017. Available online: https://fields.canpan.info/report/detail/21126 (accessed on 23 February 2023). (In Japanese).
- Hendryx, M.; Green, C.A.; Perrin, N.A. Social support, activities, and recovery from serious mental illness: STARS Study Findings. J. Behav. Health Serv. Res. 2009, 36, 320–329. [Google Scholar] [CrossRef]
- De Silva, M.J.; McKenzie, K.; Harpham, T.; Huttly, S.R.A. Social capital and mental illness: A systematic review. J. Epidemiol. Community Health 2005, 59, 619–627. [Google Scholar] [CrossRef]
- APA. Diagnostic and Statistical Manual of Mental Disorders, Fifth Edition (DSM-5); American Psychiatric Association: Washington, DC, USA, 2013. [Google Scholar]
- Waters, F.; Woodward, T.; Allen, P.; Aleman, A.; Sommer, I. Self-recognition deficits in schizophrenia patients with auditory hallucinations: A Meta-analysis of the literature. Schizophr. Bull. 2012, 38, 741–750. [Google Scholar] [CrossRef]



| Characteristic | Men | Women | ||||
|---|---|---|---|---|---|---|
| Schizophrenic Participants, N = 115 | Non-Schizophrenic Participants, N = 801 | p-Value | Schizophrenic Participants, N = 108 | Non-Schizophrenic Participants, N = 975 | p-Value | |
| Age | 48 (9) | 48 (13) | 0.651 | 44 (10) | 42 (13) | 0.014 |
| Body mass index (kg/m2) | <0.001 | <0.001 | ||||
| ≥25 | 61 (53%) | 222 (28%) | 42 (39%) | 91 (9.3%) | ||
| 18.5–24.9 | 52 (45%) | 539 (67%) | 56 (52%) | 691 (71%) | ||
| <18.5 | 2 (1.7%) | 40 (5.0%) | 10 (9.3%) | 193 (20%) | ||
| Smoking | 0.699 | <0.001 | ||||
| Current | 32 (28%) | 231 (29%) | 21 (19%) | 73 (7.5%) | ||
| Never | 52 (45%) | 383 (48%) | 76 (70%) | 802 (82%) | ||
| Past | 31 (27%) | 187 (23%) | 11 (10%) | 100 (10%) | ||
| Reason for quitting smoking of past smoker | 0.041 | 0.231 | ||||
| Bad for health | 12 (39%) | 113 (60%) | 5 (45%) | 55 (55%) | ||
| Illness | 3 (9.7%) | 19 (10%) | 2 (18%) | 5 (5.0%) | ||
| Other (e.g., financial reasons) | 16 (52%) | 55 (29%) | 4 (36%) | 40 (40%) | ||
| Alcohol | <0.001 | 0.052 | ||||
| Never drinker | 53 (46%) | 338 (42%) | 68 (63%) | 599 (61%) | ||
| Ex-drinker | 32 (28%) | 40 (5.0%) | 22 (20%) | 123 (13%) | ||
| Current drinker (<23 ethanol g/day) | 17 (15%) | 190 (24%) | 11 (10%) | 171 (18%) | ||
| Current drinker (≥23 ethanol g/day) | 13 (11%) | 233 (29%) | 7 (6.5%) | 82 (8.4%) | ||
| Reason for quitting drinking of Ex-drinker | 0.502 | 0.008 | ||||
| Bad for health | 12 (38%) | 20 (50%) | 6 (27%) | 46 (37%) | ||
| Illness | 8 (25%) | 6 (15%) | 6 (27%) | 6 (4.9%) | ||
| Other (e.g., financial reasons) | 12 (38%) | 14 (35%) | 10 (45%) | 71 (58%) | ||
| Sports | 0.072 | 0.918 | ||||
| <1 times per week | 70 (61%) | 413 (52%) | 62 (57%) | 568 (58%) | ||
| ≥1 times per week | 45 (39%) | 388 (48%) | 46 (43%) | 407 (42%) | ||
| Tendency to overeat | 66 (57%) | 406 (51%) | 0.195 | 74 (69%) | 569 (58%) | 0.049 |
| Eating speed | <0.001 | 0.005 | ||||
| Fast | 82 (71%) | 404 (50%) | 62 (57%) | 399 (41%) | ||
| Normal | 19 (17%) | 318 (40%) | 32 (30%) | 419 (43%) | ||
| Slow | 14 (12%) | 79 (9.9%) | 14 (13%) | 157 (16%) | ||
| Eating instant foods | 0.191 | 0.206 | ||||
| <1 times per week | 57 (50%) | 459 (57%) | 72 (67%) | 672 (69%) | ||
| 1–4 times per week | 49 (43%) | 302 (38%) | 30 (28%) | 279 (29%) | ||
| ≥5 times per week | 9 (7.8%) | 40 (5.0%) | 6 (5.6%) | 24 (2.5%) | ||
| Bowel motion | 0.190 | 0.037 | ||||
| <3 times per week | 10 (8.7%) | 47 (5.9%) | 11 (10%) | 118 (12%) | ||
| 3–7 times per week | 79 (69%) | 608 (76%) | 83 (77%) | 798 (82%) | ||
| ≥2 times per day | 26 (23%) | 146 (18%) | 14 (13%) | 59 (6.1%) | ||
| Stool | <0.001 | <0.001 | ||||
| Soft | 39 (34%) | 145 (18%) | 25 (23%) | 86 (8.8%) | ||
| Normal | 59 (51%) | 575 (72%) | 63 (58%) | 726 (74%) | ||
| Hard | 12 (10%) | 64 (8.0%) | 13 (12%) | 131 (13%) | ||
| Recurrent diarrhea and constipation | 5 (4.3%) | 17 (2.1%) | 7 (6.5%) | 32 (3.3%) | ||
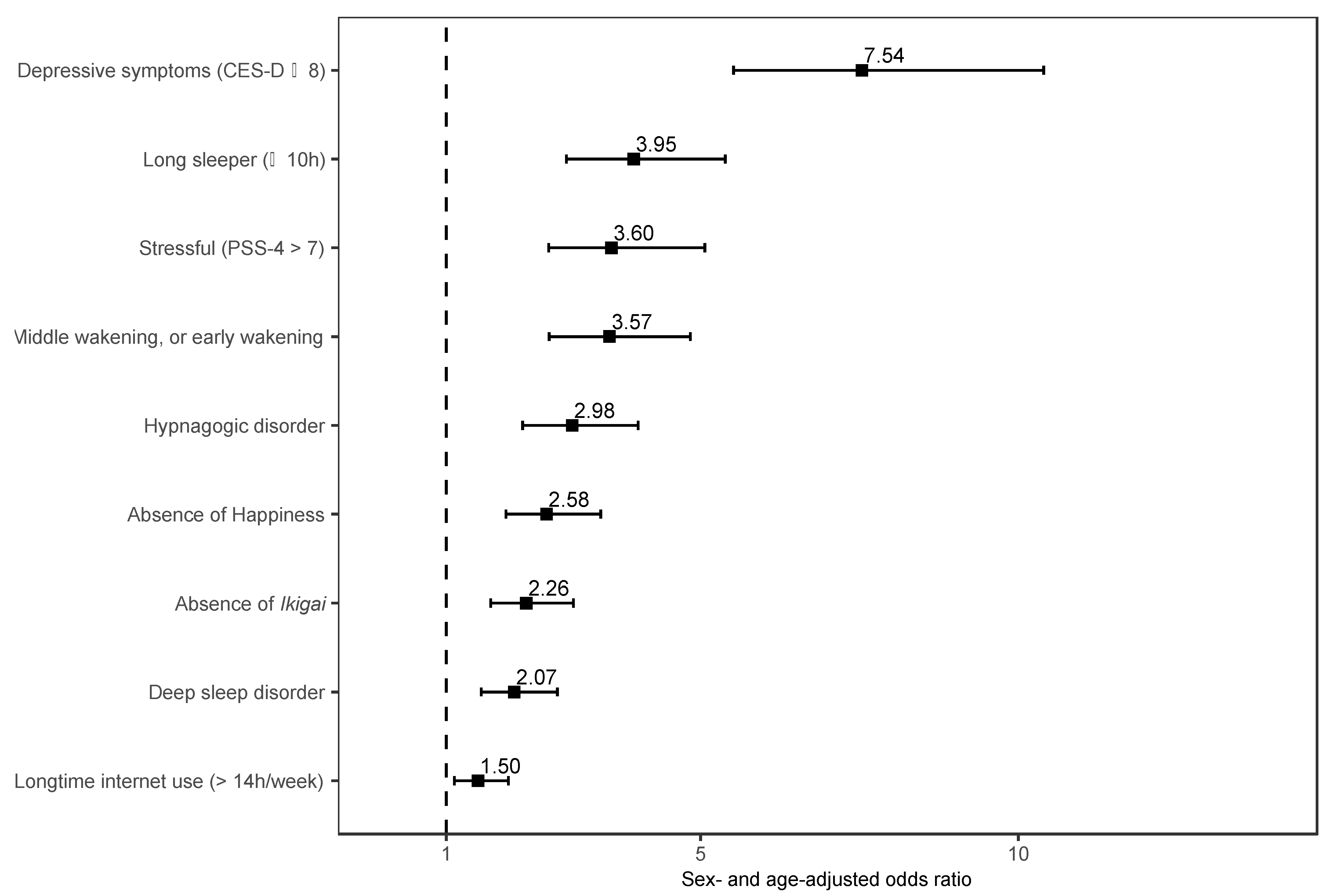
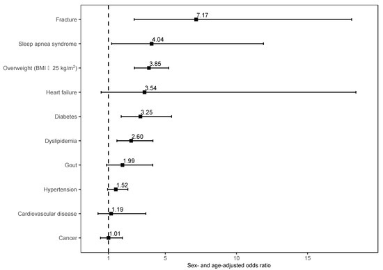
| Restrictions in functional capacity | 45 (39%) | 59 (7.4%) | <0.001 | 44 (41%) | 45 (4.6%) | <0.001 |
| Self-rated health status | <0.001 | <0.001 | ||||
| Bad | 51 (44%) | 136 (17%) | 57 (53%) | 142 (15%) | ||
| Not bad | 64 (56%) | 665 (83%) | 51 (47%) | 833 (85%) |
| Characteristic | Men | Women | ||||
|---|---|---|---|---|---|---|
| Schizophrenic Participants, N = 115 | Non-Schizophrenic Participants, N = 801 | p-Value | Schizophrenic Participants, N = 108 | Non-Schizophrenic Participants, N = 975 | p-Value | |
| Cancer | 2 (1.7%) | 30 (3.7%) | 0.415 | 7 (6.5%) | 36 (3.7%) | 0.187 |
| Cardiovascular disease | 3 (2.6%) | 13 (1.6%) | 0.440 | 0 (0%) | 4 (0.4%) | >0.999 |
| Heart failure | 1 (0.9%) | 3 (0.4%) | 0.416 | 1 (0.9%) | 1 (0.1%) | 0.190 |
| Hypertension | 21 (18%) | 112 (14%) | 0.256 | 8 (7.4%) | 32 (3.3%) | 0.052 |
| Diabetes | 16 (14%) | 47 (5.9%) | 0.005 | 7 (6.5%) | 9 (0.9%) | <0.001 |
| Dyslipidemia | 15 (13%) | 51 (6.4%) | 0.018 | 12 (11%) | 34 (3.5%) | 0.001 |
| Gout | 6 (5.2%) | 32 (4.0%) | 0.462 | 3 (2.8%) | 0 (0%) | <0.001 |
| Sleep apnea syndrome | 4 (3.5%) | 7 (0.9%) | 0.039 | 1 (0.9%) | 2 (0.2%) | 0.271 |
| Fracture | 3 (2.6%) | 6 (0.7%) | 0.092 | 6 (5.6%) | 4 (0.4%) | <0.001 |
| Characteristic | Men | Women | ||||
|---|---|---|---|---|---|---|
| Schizophrenic Participants, N = 115 | Non-Schizophrenic Participants, N = 801 | p-Value | Schizophrenic Participants, N = 108 | Non-Schizophrenic Participants, N = 975 | p-Value | |
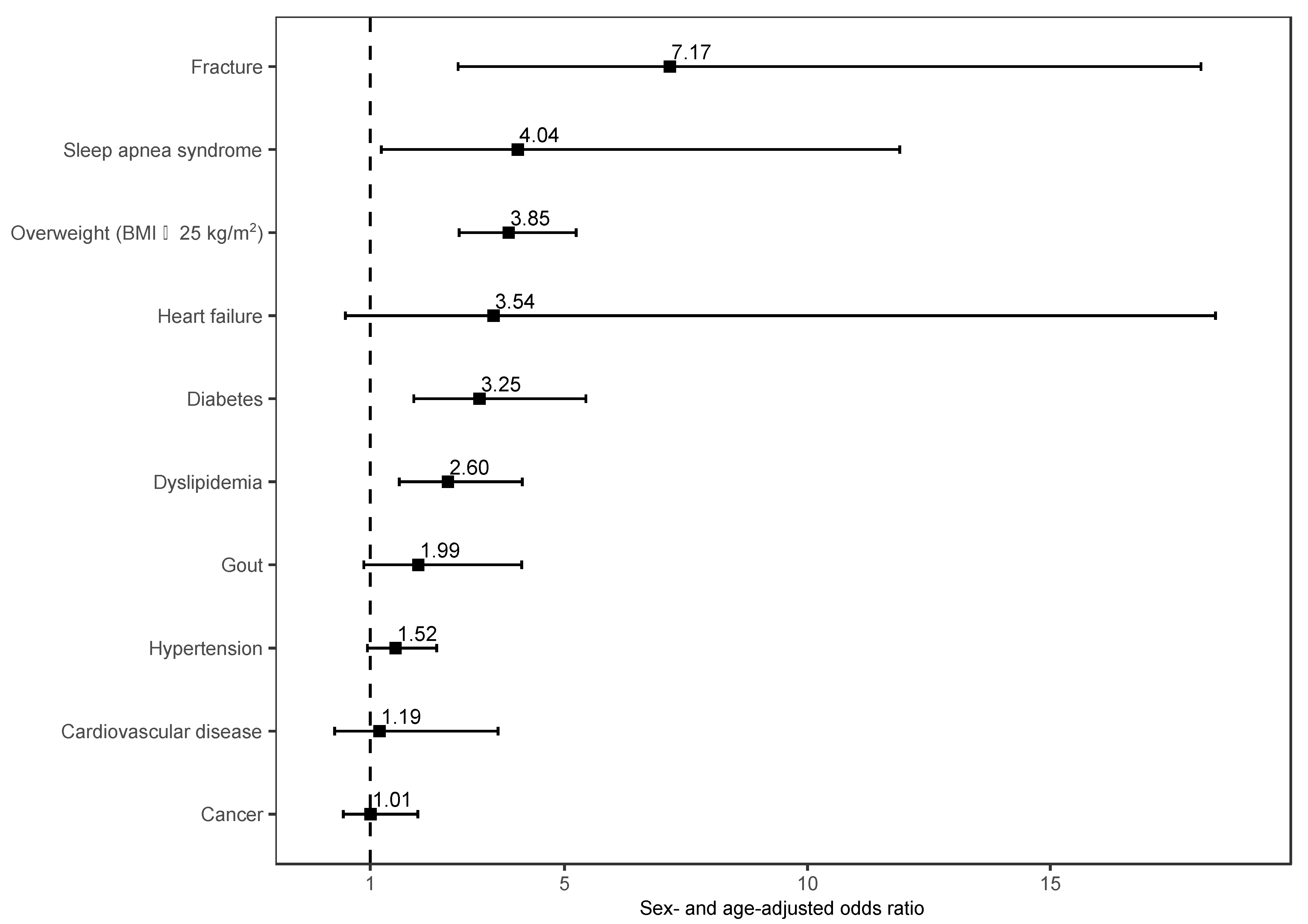
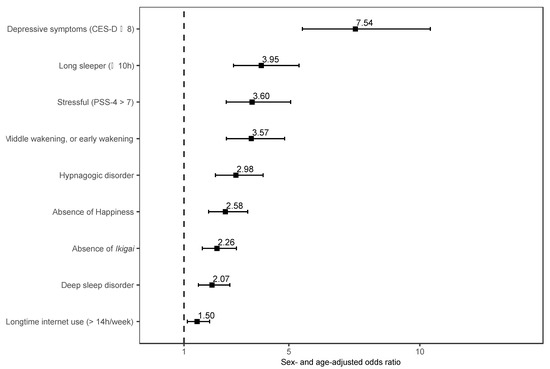
| Depressive symptoms (CES-D ≥ 8) | <0.001 | <0.001 | ||||
| Absent | 42 (37%) | 618 (77%) | 25 (23%) | 691 (71%) | ||
| Present | 73 (63%) | 183 (23%) | 83 (77%) | 284 (29%) | ||
| Sleep time | <0.001 | <0.001 | ||||
| <5 h | 10 (8.7%) | 87 (11%) | 15 (14%) | 113 (12%) | ||
| 6–7 h | 59 (51%) | 594 (74%) | 50 (46%) | 704 (72%) | ||
| 8–9 h | 33 (29%) | 111 (14%) | 33 (31%) | 150 (15%) | ||
| ≥10 h | 13 (11%) | 9 (1.1%) | 10 (9.3%) | 8 (0.8%) | ||
| Hypnagogic disorder | <0.001 | <0.001 | ||||
| <3 times per week | 75 (65%) | 688 (86%) | 66 (61%) | 787 (81%) | ||
| ≥3 times per week | 40 (35%) | 113 (14%) | 42 (39%) | 188 (19%) | ||
| Deep sleep disorder | <0.001 | 0.005 | ||||
| <3 times per week | 52 (45%) | 532 (66%) | 60 (56%) | 675 (69%) | ||
| ≥3 times per week | 63 (55%) | 269 (34%) | 48 (44%) | 300 (31%) | ||
| Middle wakening, or early wakening | <0.001 | <0.001 | ||||
| <3 times per week | 78 (68%) | 703 (88%) | 62 (57%) | 802 (82%) | ||
| ≥3 times per week | 37 (32%) | 98 (12%) | 46 (43%) | 173 (18%) | ||
| Perceived stress (PSS-4) | 9.6 (3.2) | 7.1 (2.8) | <0.001 | 9.9 (3.0) | 7.3 (2.8) | <0.001 |
| Ikigai | <0.001 | <0.001 | ||||
| Present | 49 (43%) | 500 (62%) | 48 (44%) | 628 (64%) | ||
| Absent | 66 (57%) | 301 (38%) | 60 (56%) | 347 (36%) | ||
| Happiness | <0.001 | <0.001 | ||||
| Present | 42 (37%) | 494 (62%) | 56 (52%) | 697 (71%) | ||
| Absent | 73 (63%) | 307 (38%) | 52 (48%) | 278 (29%) | ||
| Internet use time per week (h) | 26 (24) | 21 (21) | 0.035 | 20 (22) | 17 (19) | 0.147 |
| Characteristic | Men | Women | ||||
|---|---|---|---|---|---|---|
| Schizophrenic Participants, N = 115 | Non-Schizophrenic Participants, N = 801 | p-Value | Schizophrenic Participants, N = 108 | Non-Schizophrenic Participants, N = 975 | p-Value | |
| Taking regular medical checkups | 52 (45%) | 536 (67%) | <0.001 | 43 (40%) | 527 (54%) | 0.006 |
| Educational background | <0.001 | 0.003 | ||||
| Junior/senior high school | 51 (44%) | 220 (27%) | 43 (40%) | 251 (26%) | ||
| University, junior college, vocational school | 64 (56%) | 581 (73%) | 65 (60%) | 724 (74%) | ||
| Occupation | <0.001 | <0.001 | ||||
| Unemployed | 58 (50%) | 119 (15%) | 36 (33%) | 66 (6.8%) | ||
| Homemaker | 3 (2.6%) | 5 (0.6%) | 29 (27%) | 257 (26%) | ||
| White-collar workers | 21 (18%) | 453 (57%) | 25 (23%) | 482 (49%) | ||
| Blue-collar workers | 33 (29%) | 224 (28%) | 18 (17%) | 170 (17%) | ||
| Type of employment | <0.001 | <0.001 | ||||
| Regular | 14 (26%) | 489 (72%) | 5 (12%) | 343 (53%) | ||
| Non-regular | 30 (56%) | 103 (15%) | 34 (79%) | 274 (42%) | ||
| Self-employed/business people | 10 (19%) | 85 (13%) | 4 (9.3%) | 35 (5.4%) | ||
| Household income (million Japanese yen) | <0.001 | <0.001 | ||||
| <3 | 61 (53%) | 148 (18%) | 47 (44%) | 211 (22%) | ||
| 3–6 | 40 (35%) | 280 (35%) | 40 (37%) | 375 (38%) | ||
| 6–9 | 12 (10%) | 197 (25%) | 16 (15%) | 231 (24%) | ||
| ≥9 | 2 (1.7%) | 176 (22%) | 5 (4.6%) | 158 (16%) | ||
| Marital status | <0.001 | 0.004 | ||||
| Unmarried | 88 (77%) | 286 (36%) | 48 (44%) | 371 (38%) | ||
| Married | 21 (18%) | 463 (58%) | 41 (38%) | 519 (53%) | ||
| Divorced | 6 (5.2%) | 37 (4.6%) | 14 (13%) | 67 (6.9%) | ||
| Widowed | 0 (0%) | 2 (0.2%) | 2 (1.9%) | 10 (1.0%) | ||
| Others | 0 (0%) | 13 (1.6%) | 3 (2.8%) | 8 (0.8%) | ||
| Family structure | ||||||
| Living alone | 22 (19%) | 177 (22%) | 0.546 | 11 (10%) | 191 (20%) | 0.018 |
| Living with parents | 73 (63%) | 194 (24%) | <0.001 | 50 (46%) | 229 (23%) | <0.001 |
| Living with spouse | 21 (18%) | 456 (57%) | <0.001 | 41 (38%) | 512 (53%) | 0.004 |
| Living with children | 15 (13%) | 257 (32%) | <0.001 | 32 (30%) | 348 (36%) | 0.243 |
| Living with other people | 27 (23%) | 50 (6.2%) | <0.001 | 17 (16%) | 91 (9.3%) | 0.042 |
| Social support (ESSI) | 21 (7) | 22 (8) | 0.262 | 22 (7) | 23 (7) | 0.007 |
| Social capital | 0.046 | 0.014 | ||||
| Less cognitive social capital | 70 (61%) | 404 (50%) | 58 (54%) | 400 (41%) | ||
| Less structural social capital | 99 (86%) | 678 (85%) | 90 (83%) | 858 (88%) |
Disclaimer/Publisher’s Note: The statements, opinions and data contained in all publications are solely those of the individual author(s) and contributor(s) and not of MDPI and/or the editor(s). MDPI and/or the editor(s) disclaim responsibility for any injury to people or property resulting from any ideas, methods, instructions or products referred to in the content. |
© 2023 by the authors. Licensee MDPI, Basel, Switzerland. This article is an open access article distributed under the terms and conditions of the Creative Commons Attribution (CC BY) license (https://creativecommons.org/licenses/by/4.0/).
Share and Cite
Matsunaga, M.; Li, Y.; He, Y.; Kishi, T.; Tanihara, S.; Iwata, N.; Tabuchi, T.; Ota, A. Physical, Psychiatric, and Social Comorbidities of Individuals with Schizophrenia Living in the Community in Japan. Int. J. Environ. Res. Public Health 2023, 20, 4336. https://doi.org/10.3390/ijerph20054336
Matsunaga M, Li Y, He Y, Kishi T, Tanihara S, Iwata N, Tabuchi T, Ota A. Physical, Psychiatric, and Social Comorbidities of Individuals with Schizophrenia Living in the Community in Japan. International Journal of Environmental Research and Public Health. 2023; 20(5):4336. https://doi.org/10.3390/ijerph20054336
Chicago/Turabian StyleMatsunaga, Masaaki, Yuanying Li, Yupeng He, Taro Kishi, Shinichi Tanihara, Nakao Iwata, Takahiro Tabuchi, and Atsuhiko Ota. 2023. "Physical, Psychiatric, and Social Comorbidities of Individuals with Schizophrenia Living in the Community in Japan" International Journal of Environmental Research and Public Health 20, no. 5: 4336. https://doi.org/10.3390/ijerph20054336
APA StyleMatsunaga, M., Li, Y., He, Y., Kishi, T., Tanihara, S., Iwata, N., Tabuchi, T., & Ota, A. (2023). Physical, Psychiatric, and Social Comorbidities of Individuals with Schizophrenia Living in the Community in Japan. International Journal of Environmental Research and Public Health, 20(5), 4336. https://doi.org/10.3390/ijerph20054336

