Abstract
The objective of this study was to improve the comprehensive rate of utilization of rapeseed (Brassica napus subsp. napus L.), Myriophyllum (Myriophyllum spicatum L.) spicatum and alfalfa (Medicago sativa L.), reduce resource waste and environmental pollution. In this experiment, the effects of different proportions of the mixed silage of rapeseed and alfalfa or M. spicatum on the fermentation and nutritional quality were analyzed and further improved the quality of mixed silage using molasses and urea. Rapeseed was separately silaged with alfalfa and M. spicatum based on the ratios of 3:7, 5:5 and 7:3. After 60 days of mixed silage, the fermentation index and nutrient contents were measured to explore the appropriate ratio of mixed silage. The mixing ratio of rapeseed and alfalfa was better at 3:7: The contents of NH3-N/TN (4.61%), lactic acid (96.46 g·kg−1 dry matter [DM]) were significantly higher (p < 0.05). The crude protein content (118.20 g·kg−1 DM) was the highest (p < 0.05), while the pH (4.56) was the lowest when the mixing ratio of rapeseed and M. spicatum was 7:3. Considering the fermentation and nutrition quality, it is suggested that rapeseed and alfalfa should be mixed as silage at a ratio of 3:7 with 3% molasses and 0.3% urea, and rapeseed and M. spicatum should be mixed as silage at a ratio of 7:3 with 3% molasses.
1. Introduction
China produces nearly 5 billion tons of agricultural waste each year [1]. The problem of agricultural pollution caused by the irrational use of agricultural wastes has become increasingly prominent. It not only causes serious water, soil and air pollution, but also poses a threat to human health and the sustainable development of agriculture [2]. However, as an important biomass resource, the utilization of agricultural waste has enormous potential and value [3].
Mixed silage, as a common agricultural waste feed technology, can comprehensively utilize agricultural wastes and obtain high quality silage [4]. The optimization of silage technology can enhance resource efficiency and feed quality, which has recently been widely researched. Molasses and urea are commonly used as nutritional additives in silage. For some feeds with low carbohydrate content, molasses is often added to effectively compensate for the lack of silage fermentation substrate and improve the silage quality [5], while feeds with low protein content often use urea to provide a nitrogen source for the feed and improve its nutritional value [6].
Rapeseed and myriophyllum spicatum are typical agricultural wastes with high nutritional value, while lacking in studies on their utilization.
As the largest oil crop in the world, rapeseed (Brassica napus subsp. napus L.) has a large planting area and wide distribution throughout the world. The European Economic Community (EEC) reported that the global production of rapeseed was expected to be as high as 68 million tons from 2021 to 2022, with China accounting for 19.34%. Extracting edible oil after cutting and harvesting seeds is the most traditional mode of utilizing rapeseed [7], while the rate of utilization of the rapeseed straw is relatively low (<10%), and the straw is often discarded or directly burned, which causes substantial resource waste and environmental pollution [8,9]. A substantial amount of research has shown that the whole rapeseed plant is a worthwhile source of roughage. The whole plant is a forage resource worth developing [10], and its straw contains 5.24% crude protein (CP), which is higher than those of corn (Zea mays L.) straw (5%) and wheat (Triticum aestivum L.) straw (3.6%) [11]. Current research on rapeseed is primarily focused on cultivation techniques and compositional analysis, with less research on the use of rape as fodder.
Myriophyllum (Myriophyllum spicatum L.) is a perennial submerged herb, which grows so quickly and reproduces very effectively [12] that it threatens the original animals and plants. Therefore, most myriophyllum spicatum have often been discarded directly after harvesting to restrain their wanton growth, which causes a serious waste of agricultural resources. However, Koyama and Gallegos found that these plants have a high content of CP, and they also contain a variety of amino acids and trace elements, which can be exploited as a functional product for use as feed [12,13]. However, there have been few studies on the use of M. spicatum in feed preparation at this stage, and ample research is needed on this aspect of their use.
In addition to the above two plants, the utilization potential of alfalfa is also worth attention. Alfalfa (Medicago sativa L.) is known as the “king of pasture” because it is rich in vitamins, minerals, protein and other nutrients, and it also has high yields, good palatability and high digestibility (70~80%) [14]. In recent years, the urgent need for the development of the dairy industry has accelerated the promotion and planting of alfalfa [15]. The traditional use of alfalfa is to make hay, but climate factors have led to the loss of nutrients in alfalfa during the process of drying, which leads to lower feed value and a waste of resources [16]. Silage is less affected by climate, but it is not easy to silage alfalfa alone because of its high protein content, high buffer energy value and low content of soluble carbohydrate [17]. Research has shown that alfalfa can improve the success rate of silage and nutritional value through mixed silage technology [15,18].
This experiment investigated the effects of mixing different ratios of rapeseed with alfalfa and M. spicatum on their nutrition and fermentation quality, and the appropriate parameters for the proportions of mixed silage were screened out, respectively. Simultaneously, molasses and urea were further used to regulate the quality of the two groups of mixed silage under their optimal proportions.
2. Materials and Methods
2.1. Silage Material Treatment
Rapeseed (variety: Zhongyou 19) and alfalfa (variety: Aurora) were planted in the experimental field of the National Field Scientific Observation and Research Station of Agricultural Ecosystem in Dali, Yunnan Province, China (100°7′50′ E°49′47′ N°25°49′47′ N). The rapeseed plants were harvested after the seeds had been collected, while the alfalfa was harvested during its full flowering period. M. spicatum grows in ponds near the Erhai River basin and was cut during the mature period. After cutting, the three silage materials were naturally air-dried (1~2 days) to an appropriate moisture content and then cut into pieces (1~2 cm) with a hay cutter before silage. The silage was prepared on 3 April 2022, and the primary chemical components of the material were determined before silage. The chemical composition of the raw materials is shown in Table 1.
Table 1.
Chemical composition of silage raw materials.
2.2. Experimental Design
Test 1: Three control groups were established, and 500 g of chopped rapeseed, alfalfa and M. spicatum were placed in polyethylene cans (diameter × cover height: 95 mm × 100 mm) for silage. The crops were designated SY for rapeseed, SX for alfalfa and SZ for M. spicatum. Six experimental groups were established. Chopped rapeseed and alfalfa were evenly mixed (fresh weight) at a ratio of 3:7 (M1), 5:5 (M2) and 7:3 (M3); mix chopped rapeseed and M. spicatum at a ratio of 3:7 (M4), 5:5 (M5) and 7:3 (M6) (fresh weight). The total weight of each treatment was 500 g, which was fully and evenly mixed, and then packed into polyethylene green storage tanks for compaction (density ≥ 500 kg/m3), covered inside and outside, sealed, stored in darkness, and fermented at a constant temperature room for 60 days. There were nine treatments in total, and each treatment was conducted in triplicate. The experimental design is shown in Table 2.
Table 2.
Treatments of test 1.
Test 2: In test 1, the mixed silage groups of rapeseed and alfalfa, rapeseed, and M. spicatum had relatively good fermentation quality, at ratios of 3:7 and 7:3, respectively (data support validation in this paper). The second experiment was conducted to improve the quality of mixed silage based on the results of the first experiment. The treatments included a rapeseed and alfalfa (3:7) test group, a control group (C1), a 0.3% urea treatment group (U1), a 3% molasses treatment group (M1) and a 0.3% urea + 3% molasses mixed treatment group (UM1). The rapeseed and M. spicatum (7:3) test group included the control group (C2), 0.3% urea treatment group (U2), 3% molasses treatment group (M2) and the 0.3% urea + 3% molasses mixed treatment group (UM2). There were 9 treatments in total, and each treatment was conducted in triplicate. The experimental design is shown in Table 3.
Table 3.
Treatments of test 2.
2.3. Measurement Index and Method
The sensory evaluation of silage was conducted after 60 days of fermentation using the sensory evaluation method developed by the German National Agricultural Association that used humans to evaluate the smell, structure and color of the silage [19].
One fermentation sample was utilized to determine the primary nutritional indicators. The DM content was measured by oven drying and dried to a constant weight at 65 °C for 48 h; the water soluble carbohydrate (WSC) content was determined by the anthrone-sulfuric acid method [20]. The contents of neutral detergent fiber (NDF) and acid detergent fiber (ADF) were determined as described by Van Soest [21]. The content of total nitrogen (TN) was determined by the Kjeldahl method [22], and the content of CP = TN × 6.25.
Another fermentation sample was added with distilled water for mixing and pulping based on a material-liquid ratio of 1:9 (mass-volume ratio), then centrifuged for 10 min at 10,000 rpm, and then passed through four layers of gauze. The supernatant was filtered to obtain the fermentation extract, which was used to determine the fermentation indices. The pH of the extraction solution was determined with an acidimeter. The contents of lactic acid (LA), acetic acid (AA), propionic acid (PA) and butyric acid (BA) were determined by high-performance liquid chromatography (HPLC) with an injection volume of 10 μL, a column temperature of 0 °C and a wavelength of 210 nm. The mobile phase was 0.2% phosphoric acid with a flow rate of 1 mL·min−1 [23]. The content of ammonia nitrogen (NH3-N) was determined as described by Broderick [24]. To evaluate the quality of mixed silage after 60 days, this experiment scored the fermentation quality of mixed silage using the V-Score scoring system formulated by the Japan Grassland Livestock Association [25]. Simultaneously, the fuzzy membership function method was used to comprehensively evaluate the nutrition and fermentation quality of silage [26].
2.4. Statistical Analysis
All the data were presented as an average of the replicate tests and analyzed by one-way and two-way analyses of variance (ANOVA) using SPSS 20.0 (IBM, Inc., Armonk, NY, USA); Origin2021 (OriginLab, Northampton, MA, USA) was used for drawing. In addition, the least significant difference (LSD) tests were at p < 0.05 using the SAS program version 9.1 (SAS Institute, Cary, NC, USA). All the symbols mentioned in this study and their description are presented in Table 4.
Table 4.
Abbreviations.
3. Results
3.1. Chemical Composition of the Raw Materials for Sileage
The chemical composition of the three raw materials for silage is shown in Table 1. Rapeseed had the lowest contents of DM and CP(p < 0.05), which were 274.03 g·kg−1 FM and 51.15 g·kg−1 DM. The contents of DM, CP and WSC in alfalfa were significantly higher than the other treatments (p < 0.05), with CP reaching 551.63 g·kg−1. Compared with that in alfalfa and rapeseed, the content of WSC (149.70 g·kg−1 DM) in M. spicatum was lower, but the contents of DM and CP of M. spicatum were significantly higher than those of rapeseed (p < 0.05). The contents of ADF and DNF of M. spicatum were significantly lower than those of rapeseed and alfalfa (p < 0.05).
3.2. Sensory Evaluation of Silage
Samples were taken after 60 days of silage fermentation at different mixing ratios of rapeseed and alfalfa or M. spicatum, and the sensory quality of different treatments varied (Figure 1). The sensory score and rating results are shown in Table 5.
Figure 1.
The sensory changes of mixed silage after the cans were opened. Note: SY-Rapeseed silage; SX-Alfalfa silage; SZ-M. spicatum silage; M1-Rapeseed × Alfalfa (3:7); M2-Rapeseed × Alfalfa (5:5); M3- Rapeseed × Alfalfa (7:3); M4-Rapeseed × M. spicatum (3:7); M5-Rapeseed × M. spicatum (3:7); M6-Rapeseed × M. spicatum (7:3). The same below.
Table 5.
Sensory evaluation of mixed silage after the cans were opened.
3.3. Analysis of the Nutritional Quality of the Mixed Silage
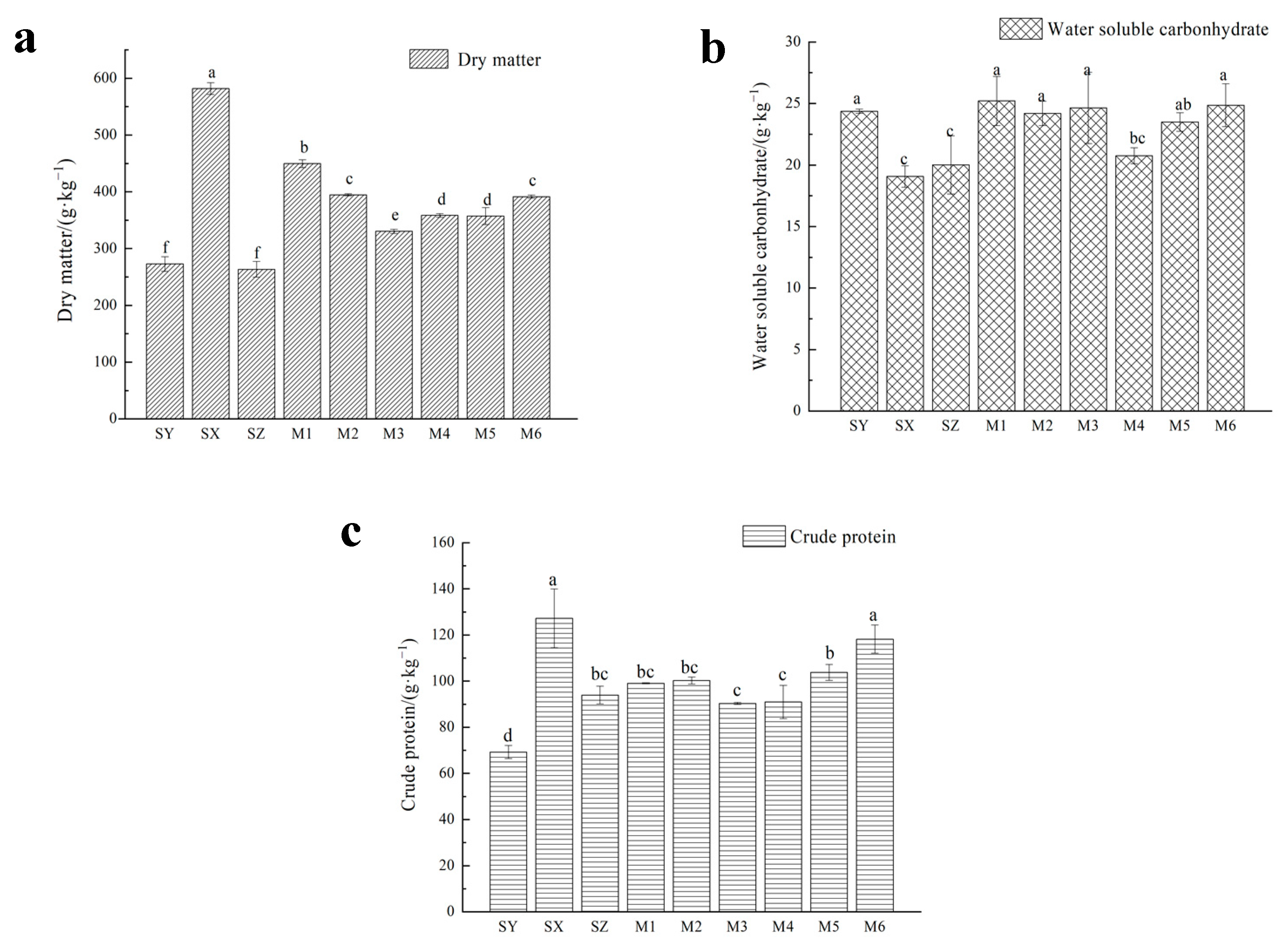
As shown in Figure 2a, the content of DM in SY and SZ were significantly lower at the end of silage (272.97 and 263.50 g·kg−1 FM) (p < 0.05). After mixed silage, the content of DM of M1, M2 and M3 reached 449.70, 394.65 and 330.45 g·kg−1 DM, respectively, which were significantly higher than that of SY (p < 0.05). When rapeseed and M. spicatum were mixed at a 3:7 ratio (M6), the content of DM was 127.95 g·kg−1 FM higher than that in SZ, which was significantly higher than those in M4 and M5 (p < 0.05).
Figure 2.
Contents of DM (a), WSC (b) and CP (c) after mixed silage of rapeseed with alfalfa or Myriophyllum spicatum in different proportions. Note: Different lowercase letters indicate significant difference between different treatment groups (p < 0.05). The same below.
It is apparent in Figure 2b that after 60 days of fermentation, the content of WSC of the mixed silage with rapeseed and alfalfa significantly increased (p < 0.05), and the content of WSC of M3 increased by 6.14% compared with that of the SX. The content of WSC of the rapeseed silage with 30% M. spicatum (M6) was 24.86 g·kg−1 DM, which was significantly higher than that of SZ (p < 0.05), but did not significantly differ from those of M1, M2 and M3 (p > 0.05).
Figure 2c shows that the content of CP in M1, M2 and M3 was 24.66, 30.97 and 21.07 g·kg−1 DM higher than that in SY, respectively. The content of CP reached 118.20 g·kg−1 DM when rapeseed and M. spicatum were mixed at 7:3 (M6), which was significantly higher than those of SY and SZ, and the rapeseed and alfalfa mixed silage groups (p < 0.05).
As shown in Figure 3a, the contents of NDF of M1 and M3 in the mixed rapeseed and alfalfa silage decreased to 47.63% and 51.80%. Compared with SY, the content of NDF of rapeseed silage with the addition of M. spicatum (M4, M5 and M6) decreased by 15.50%, 21.58% and 15.90%, respectively.
Figure 3.
Contents of NDF (a) and ADF (b) after mixed silage of rapeseed with alfalfa or Myriophyllum spicatum in different proportions. Note: Different lowercase letters indicate significant difference between different treatment groups (p < 0.05).
Figure 3b shows that the content of ADF in M1, M2 and M3 was 33.87%, 27.35% and 27.43%, respectively, they were significantly lower than those of SY and SZ (44.95% and 46.27%) (p < 0.05). The content of ADF after the silage of rapeseed and M. spicatum at 7:3 (M6) was 52.65%, which was 10.28% lower than that of SZ, but significantly higher than that of M2 (p < 0.05).
3.4. Analysis of the Fermentation Quality of Mixed Silage
The organic acid, pH and NH3-N/TN contents of the silage were determined after 60 days of fermentation, and the results are shown in Table 6. The silage materials (p < 0.01) had a significant effect on the content of DM in feed. The pH of YX decreased with the increase in the ratio of alfalfa added. When the mixing ratio was 3:7, the pH was 3.95, which was significantly lower than that in the 5:5 and 7:3 mixed silage groups (p < 0.05). The pH in YZ showed an upward trend with the increase in amount of M. spicatum added. The content of NH3-N/TN was affected by the silage materials (p < 0.01), mixing ratio (p < 0.01) and their interaction (p < 0.01). The content of NH3-N/TN in SY was the highest (7.89%). When mixed with alfalfa (YX) or M. spicatum (YZ), the content decreased to varying degrees. The content of NH3-N/TN of YZ was significantly lower than that in the YX (6.77%) (p < 0.05). The silage material (p < 0.01), mixing ratio (p = 0.029) and their interaction (p < 0.01) affected the content of LA. The content of LA of YX was significantly higher than that of YZ (67.64 and 26.29 g·kg−1 DM) (p < 0.05). The content of LA of YX increased with the increase in addition of alfalfa, and the content was the highest (96.46 g·kg−1 DM) at a 3:7 mixing ratio (p < 0.05). The content of BA in SX and SZ was 1.79 and 1.34 g·kg−1 DM, after silage with rape, respectively. The content of BA in YX and YZ decreased to some extent, and the latter was significantly lower than the former (1.47 and 0.99 g·kg−1 DM) (p <0.05).
Table 6.
Fermentation quality of the mixed silage of rapeseed with alfalfa or Myriophyllum spicatum in different proportions.
3.5. Quality Evaluation of the V-Score in Different Treatment Groups
After the end of the silage period, the V-Score scoring system was used to evaluate the fermentation quality of the silage. As shown in Table 7, the silage quality score of each treatment group > 70, and the score of SZ in the single silage group was higher and reached 79.19. The mixed silage group of rapeseed and alfalfa showed a general performance. The scores of M2 and M3 were 75.43 and 73.66, respectively, and the score of M1 was higher than that of the others. The fermentation quality of the mixed silage group of rapeseed and M. spicatum had a higher fermentation quality. The scores of M5 and M6 reached 89.15 and 89.40, respectively, demonstrating good performance.
Table 7.
Quality evaluation of the V-Score in different treatment groups.
3.6. Comprehensive Evaluation of the Membership Function of Different Treatment Groups
The fuzzy membership function was used to calculate and analyze the nutrition and fermentation indices of the mixed silage of rapeseed and alfalfa or M. spicatum. A larger function value indicated a higher quality of the silage under the mixed ratio. As shown in Table 8, when the mixing ratio of rapeseed and alfalfa was 3:7, the function value reached its maximum (0.7068), which was 33.81% higher than that of M3 and 1.72 times that of SY. In the mixed silage group of rapeseed and M. spicatum, the trend was the opposite. The function value of M6 was the highest (0.7439), at 1.96- and 3.24-fold that of M4 and SZ, respectively. The subordinate function values of each group were ranked as follows: M6 > M1 > M5 > M2 > M3 > SX > M4 > SY > SZ.
Table 8.
Membership function value and comprehensive ranking.
3.7. Effect of Additives on the Nutritional Quality of Mixed Silage
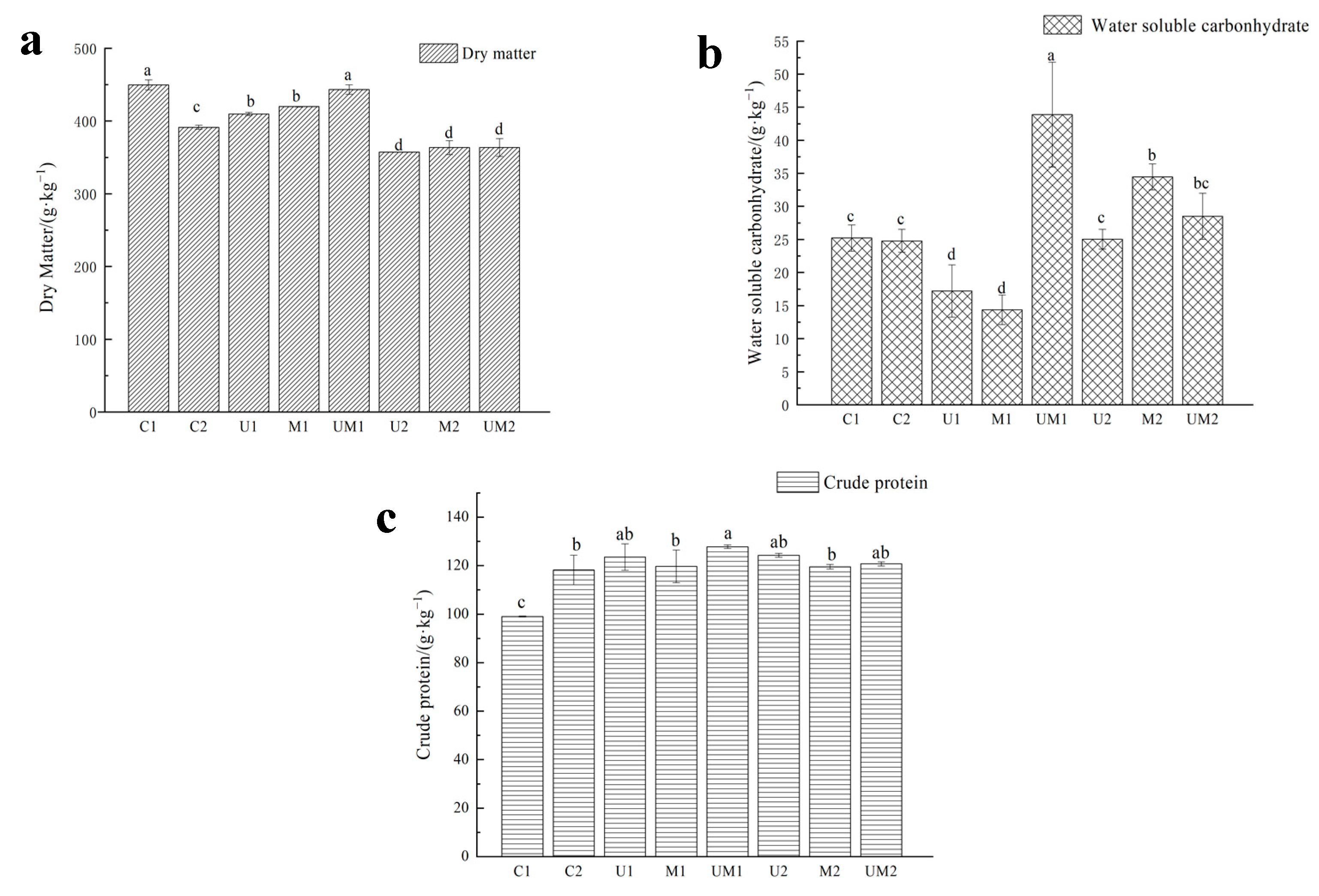
As shown in Figure 4a, compared with U1, the DM content of U1 and M1 decreased by 39.90 and 29.75 g·kg−1, respectively. The content of DM of U2, M2 and MU2 were significantly lower than that of C2 (391.45 g·kg−1) (p > 0.05).
Figure 4.
Effects of additives on DM (a), WSC (b) and CP (c) content in mixed silage. Note: C1-Rape × Alfalfa (3:7); C2-Rapeseed×M. spicatum (7:3); U1, M1 and MU1 indicate that 0.3% urea, 3% molasses, 0.3% urea and 3% molasses (all fresh weight) are successively added when rape and alfalfa (3:7) are mixed for silage. U2, M2 and MU2 indicate that 0.3% urea, 3% molasses, 0.3% urea and 3% molasses (all fresh weight) are successively added during the mixed silage of rapeseed and M. spicatum (7:3). The same below. Note: Different lowercase letters indicate significant difference between different treatment groups (p < 0.05).
Figure 4b shows that after 60 days of fermentation, the content of WSC of UM1 was 18.67 g·kg−1 DM higher than that of C1 (25.21 g·kg−1 DM). The content of WSC in M2 was 34.45 g·kg−1 DM, which was significantly higher than those in C2 and U2 (24.78 and 25.03 g·kg−1 DM) (p < 0.05).
As shown in Figure 4c, the content of CP of MU1 was significantly higher than that of the other treatments (p < 0.05), which was 28.76 g·kg−1 DM higher than that of C1. The CP content of UM2 and U2 slightly increased compared with that of C1, but there was no significant difference between the two treatments (p > 0.05).
As shown in Figure 5a, the content of NDF of M1 and UM1 decreased by 10.45% and 10.88% compared with that in C1 (47.63%), respectively. The content in U2 was significantly higher than that of C2 (54.48% and 41.73%) (p < 0.05).
Figure 5.
Effect of additives on the contents of NDF (a) and ADF (b) in mixed silage. Note: Different lowercase letters indicate significant difference between different treatment groups (p < 0.05).
It is apparent in Figure 5b that after the silage, the content of ADF in the rapeseed and alfalfa additive treatment groups (U1, M1 and MU1) had no significant difference with that of C1. In the mixed silage group of rapeseed and M. spicatum, the content of ADF of UM2 and U2 had no significant difference to C1, while the content of ADF of M2 decreased by 9.15%.
3.8. Effect of Additives on the Fermentation Quality of Mixed Silage
After 60 days of silage, the influence of additives on the fermentation quality of silage is shown in Table 9. The pH value of M1 was significantly the lowest (3.55) (p < 0.05), while the pH values of U1 and UM1 were significantly higher than those of C1 (3.95) (p < 0.05). The contents of NH3-N/TN in U1 and UM1 were significantly higher than that of C1 (p < 0.05). The NH3-N/TN of U2 was 10.82%, which was 7.65% higher than that of C2. The content of LA in UM1 was the highest (145.95 g·kg−1 DM) (p < 0.05), which was 49.49 g·kg−1 DM higher than that of C1. The content of LA in M2 (63.21 g·kg−1 DM) was significantly higher than those of U2 and UM2. C1 had the highest content of BA (1.41 g·kg−1 DM) (p < 0.05), and U1, M1 and UM2 all had lower levels compared with that of C1. There was no significant difference in the content of BA between UM2 and C2 (p > 0.05), but both groups were significantly higher than that of M2 (0.46 g·kg−1 DM) (p < 0.05). The content of LA/AA in UM1 was 4.32, which was significantly higher than that in C1 (2.54) (p < 0.05). The LA/AA of U2 was 1.81, which was significantly higher than that of UM2 and C2 (p < 0.05).
Table 9.
Effect of additives on the fermentation quality of mixed silage.
4. Discussion
4.1. Chemical Composition of Materials
The moisture and sugar content of silage materials are important factors that affect the success of silage [27]. Zhang et al. [15] proposed that the silage raw materials should have a sufficient content of DM (approximately 350~500 g·kg−1 fresh matter [FM]). In this study, the content of DM of alfalfa was high (551. 63 g·kg−1 FM), while those of rapeseed and M. spicatum had a lower content of DM (274.03 and 281.27 g·kg−1 FM). To solve the problem of unsuitable material moisture, air drying before silage or mixed silage can be used to regulate the content of water in the materials [28]. Dunière et al. [29] concluded that the initial content of WSC should be more than 70 g·kg−1 DM, which facilitates the production of organic acids during the fermentation process. Alfalfa and M. spicatum did not have enough WSC (63.14 and 54.15 g·kg−1 DM), but the nutrient complementation and balance could be achieved after mixed silage with rapeseed (WSC: 114.48 g·kg−1 DM), which was similar to the research of Zhang et al. [30].
4.2. Effect of Mixed Silage of Rapeseed and Alfalfa or M. spicatum on Silage Quality
When rapeseed was mixed with alfalfa or M. spicatum, the content of dry matter (DM) in silage was effectively regulated. Rezende et al. [31] also proved that silage materials with high moisture content should not be silaged alone, and mixed silage with crops with a high content of DM can regulate the content of water. After 60 days, the content of WSC of the three silage materials decreased to differing degrees because WSC, as the primary fermentation substrate of silage, promoted the LA bacteria to produce LA from sugar in the feed during fermentation [32]. In this experiment, the content of WSC in rapeseed was relatively high. Adding rapeseed to alfalfa and M. spicatum can increase the content of WSC, which indicates that the mixed silage complements the carbohydrate, and reduces the consumption of WSC. This was similar to the results of Wang et al. [33] on the mixed silage of alfalfa, Stylosanthus and spicy wood leaves. CP is an important reference index to evaluate the nutritional quality of silage. A higher content indicates a higher nutritional value and vice versa [34]. After fermentation, the loss of content of CP in the mixed group of rapeseed and alfalfa increased with the increase in proportion of rapeseed, which could be because the fermentation environment with a high content of rapeseed facilitated the survival and reproduction of undesirable bacteria, resulting more protein degradation during fermentation. This was similar to the results of Li et al. [35]. The addition of a certain amount of alfalfa and M. spicatum can increase the content of CP in the silage. Similar to this study, the content of CP in forage increased when leguminous forage was silaged with corn and sorghum (Sorghum bicolor L.) [36]. Kung et al. suggested that the formation of ammonia nitrogen was related to the degradation of CP, and NH3-N/TN in the silage revealed the degree of degradation of the CP in silage. A higher ratio indicates that more protein is degraded [37]. The content of NH3-N/TN of the high-quality silage should be lower than 10% [38]. In this study, the content of NH3-N/TN in each treatment group was lower than 10%, indicating that there was extensive protein hydrolysis. In addition, Valente et al. [39] concluded that the concentration of NH3-N was consistent with the degree of BA fermentation. The hydrolysis of more protein indicated a concentration of higher butyric acid, demonstrating that the quality of silage for fermentation was poor. The content of BA in M5 and M6 was significantly the lowest, which was consistent with the lower NH3-N/TN of the two groups. This showed that 30% and 50% of M. spicatum added to rapeseed silage could improve the fermentation quality of the feed. The pH is the simplest and most direct index to measure the fermentation quality of silage. It is generally believed that the pH of high-quality silage is between 3.8 and 4.2 [40], and the decrease in pH in the silage is negatively related to the accumulation of LA [38]. In this study, the high pH (5.66) of SZ indicated that silage alone is not suitable to preserve the M. spicatum feed, which could be owing to the insufficient fermentation substrate of M. spicatum (a low content of WSC), resulting in the low production of lactic acid. The pH increased with the increase in the proportion of M. spicatum, which could occur because relatively high amounts of rapeseed provide sufficient fermentation substrate for the silage process. Gallego et al. found similar results when they used Elodea and wheat straw for mixed silage [13]. When rapeseed and alfalfa were mixed at a ratio of 3:7 for 60 days, the pH decreased to 3.95, and the content of LA reached 96.46 g·kg−1 DM. This could be because the content of WSC in the mixed silage was optimally complementary at this ratio, which provided sufficient fermentation substrate for the growth and reproduction of LA bacteria, thereby increasing the content of LA in the silage and ultimately reducing the pH. This result was consistent with the findings of Jiménez-Calderón et al. [41].
ADF and NDF are used as conventional indices to evaluate the quality of fiber. Falkner et al. [42] concluded that the content of NDF would affect the palatability of feed and the rate of animal feeding. A study by Kaplan [43] showed that the contents of ADF and NDF in the alfalfa and sorghum mixed silage were lower than that in a single silage group. In this study, the content of NDF in M1 of the rapeseed and alfalfa mixed silage group was relatively low, which could be because the concentrations of structural carbohydrates in the cell wall of alfalfa was lower than that of rape, and the mixed silage improved the digestibility of silage [44]. Compared with the mixed silage group, the higher ADF content in the single silage group could be related to the increase in temperature during microbial respiration [45], which leads to the combination of reducing sugars and amino compounds, a process called the “Maillard reaction.” A higher temperature is an important factor that promotes the Maillard reaction, thus affecting the ADF content and ultimately damaging the nutritional value of the feed [46].
4.3. Effect of Additives on the Quality of Mixed Silage of Rapeseed and Alfalfa or M. spicatum
Chen et al. [47] concluded that the addition of molasses could improve the sugar required for the growth of LA bacteria during the fermentation process, provide more fermentation substrate and make the reaction closer to a homolactic acid fermentation. Researchers found that adding molasses could increase the content of dry matter, lactic acid and water-soluble carbohydrate in silage, reduce the pH, inhibit butyric acid fermentation and improve the fermentation quality of silage [48,49]. In this experiment, compared with the control group (C1 and C2), the content of LA of the groups added with 3% molasses alone (M1 and M2) increased, and LA/AA was high, which indicated that homolactic acid fermentation was dominant during silage after adding molasses [49]. However, the contents of NH3-N/TN of M2 and M1 were slightly higher than those of the control group, which could be related to the decomposition of a small amount of crude protein (mostly nonprotein nitrogen), which is contained in molasses [38]. Simultaneously, we found that the contents of DM and CP in M1 and M2 had no significant change, or even slightly decreased, compared with the control group. This could be owing to some adverse effects of molasses, such as the increase in exudate loss during silage, particularly the loss of nutrient quality under high moisture conditions [50]. Arbabi et al. [48] concluded that molasses could promote the degradation of structural carbohydrates. The content of NDF in the molasses addition group (M1 and M2) in this test was significantly lower than that in the control group, which was consistent with this viewpoint.
Urea is a nutritional additive that is commonly used in silage technology, which can increase the crude protein of silage. Santos et al. found that the appropriate amount of urea (0.1756~1.4048%) positively correlated with the content of CP in sorghum silage fermentation materials [51]. In this experiment, the content of CP in the groups added with 0.3% urea alone (U1 and U2) was significantly higher than that of the control groups (C1 and C2), which was consistent with the viewpoint described above. However, we found that U1 and U2 lost DM, and there were higher levels of pH and NH3-N/TN, which led to poor fermentation quality; this was consistent with the research of Yunus et al. [6]. This is because the OH– generated from dissolution of urea combines with H+ in the environmental medium, which hinders the decrease in pH and ultimately inhibits the activity of lactic acid bacteria, leading to the decrease in content of LA [52]. Alternatively, Cesareo et al. [53] found that urease can promote the decomposition of urea in a higher pH environment. In this study, the higher pH of U1 and U2 provided conditions for the decomposition of urea. This result was consistent with the result of higher NH3-N/TN in U1 and U2 in Table 9. Urea also affects the fiber quality of silage. Wanapat and Phesatcha found that adding urea can reduce the contents of ADF and NDF and improve the quality of silage [54,55]. However, in this experiment, the contents of ADF and NDF in U2 were higher than those in C2, which could be owing to the enhanced activity of harmful microorganisms in the high pH (5.56) environment, which results in the large decomposition of nutrients (primarily soluble carbohydrate) in silage, and finally resulting in a relatively high content of structural carbohydrates. However, the mechanism of the role of urea in the degradation of NDF and ADF has not been confirmed.
In this study, 3% molasses and 0.3% urea compound additive groups (UM1 and UM2) were simultaneously established. The pH, NH3-N/TN and content of BA of the rapeseed and alfalfa compound additive group (UM1) were lower than those of U1, indicating that adding molasses was an effective measure to counteract the adverse effects of urea. It could alleviate the increase in pH and inhibit the decomposition of urea by urease. Compared with U2, the pH and contents of NH3-N/TN and BA of UM2 were decreased, but were significantly higher than those of M2, and the lactic acid content: M2 > UM2 > U2, which indicated that adding 3% molasses alone could effectively improve the fermentation quality of mixed silage of rapeseed and M. spicatum. However, the mechanism and potential role of the mixed addition of molasses and urea in improving the quality of silage merits further study.
5. Conclusions
In conclusion, the V-Score and membership function value were higher when rapeseed and alfalfa or M. spicatum were silaged at 3:7 and 7:3, respectively. Simultaneously, adding a compound additive (3% molasses + 0.3% urea) to the mixed silage of rapeseed and alfalfa (3:7) and adding 3% molasses to the mixed silage of rapeseed and M. spicatum (7:3) can more effectively improve the nutrition and fermentation quality of mixed silage.
This study provides a promising method to make the three biomass raw materials fully converted and utilized, reducing agricultural resource waste.
Author Contributions
Conceptualization and methodology, S.C. and S.S.; experiments, S.C. and C.W.; data curation, S.C.; writing—original draft preparation, S.C.; writing—review and editing, S.S.; Project Administration, K.Z., F.W. and Y.M. All authors have read and agreed to the published version of the manuscript.
Funding
This research was funded by professor Keqiang Zhang. And this research received founding from the Academician Expert Workstation of Yunnan Province (202105AF150075), the Major Science and Technology Project of Yunnan Province (202102AE090011), the Modern Agricultural Industry Technology System-National Dairy Cow Industry Technology System (CARS-36), and the Youth Foundation for Basic Research of Yunnan Province (2019FD120).
Institutional Review Board Statement
Not applicable for studies not involving humans or animals.
Informed Consent Statement
Not applicable.
Data Availability Statement
All data generated or analysed during the study are included in this published article. The datasets used and/or analysed during the present study are available from the corresponding author upon reasonable request.
Acknowledgments
We would like to thank Dali National Field Science Observation and Research Station for providing oilseed rape, alfalfa and other silage materials, experimental facilities and sites for this experiment.
Conflicts of Interest
The authors declare no conflict of interest.
References
- National Bureau of Statistics of China (NBS). China Statistical Yearbook of 2019; China Statistics Press: Beijing, China, 2019.
- Canales-Flores, R.A.; Prieto-García, F. Activation Methods of Carbonaceous Materials Obtained from Agricultural Waste. Chem. Biodivers. 2016, 13, 261–268. [Google Scholar] [CrossRef]
- Chang, C.C.; Li, R. Agricultural Waste. Water Environ. Res. 2019, 91, 1150–1167. [Google Scholar] [CrossRef]
- Larsen, S.U.; Hjort-Gregersen, K.; Vazifehkhoran, A.H.; Triolo, J.M. Co-Ensiling of Straw with Sugar Beet Leaves Increases the Methane Yield from Straw. Bioresour. Technol. 2017, 245, 106–115. [Google Scholar] [CrossRef]
- Yokota, H.; Kim, J.H.; Okajima, T.; Ohshima, M. Nutritional Quality of Wilted Napier Grass (Pennisetum Purpureum Schum.) Ensiled with or without Molasses. Asian-Australas. J. Anim. Sci. 1992, 5, 673–679. [Google Scholar] [CrossRef]
- Yunus, M.; Ohba, N.; Tobisa, M.; Shimojo, M.; Masuda, Y. Effect of Glucose and Formic Acid on the Quality of Napiergrass Silage after Treatment with Urea. Asian-Australas. J. Anim. Sci. 2001, 14, 211–215. [Google Scholar] [CrossRef]
- Maxin, G.; Ouellet, D.R.; Lapierre, H. Effect of Substitution of Soybean Meal by Canola Meal or Distillers Grains in Dairy Rations on Amino Acid and Glucose Availability. J. Dairy Sci. 2013, 96, 7806–7817. [Google Scholar] [CrossRef]
- Abdelrahman, M.; Wang, W.; Lv, H.M.; Di, Z.; An, Z.; Lijun, W.; Shaukat, A.; Bo, W.; Guangsheng, Z.; Liguo, Y.; et al. Evaluating the Effect of Forage Rape (Brassica Napus) Ensiling Kinetics on Degradability and Milk Performance as Non-Conventional Forage for Dairy Buffalo. Front. Vet. Sci. 2022, 9, 926906. [Google Scholar] [CrossRef]
- Wang, X.; Yang, Z.; Liu, X.; Huang, G.; Xiao, W.; Han, L. The Composition Characteristics of Different Crop Straw Types and Their Multivariate Analysis and Comparison. Waste Manag. 2020, 110, 87–97. [Google Scholar] [CrossRef]
- Zhou, D.; Abdelrahman, M.; Zhang, X.; Yang, S.; Yuan, J.; An, Z.; Niu, K.; Gao, Y.; Li, J.; Wang, B.; et al. Milk Production Responses and Digestibility of Dairy Buffaloes (Bubalus Bubalis) Partially Supplemented with Forage Rape (Brassica Napus) Silage Replacing Corn Silage. Animals 2021, 11, 2931. [Google Scholar] [CrossRef]
- Barry, T.N. The Feeding Value of Forage Brassica Plants for Grazing Ruminant Livestock. Anim. Feed Sci. Technol. 2013, 181, 15–25. [Google Scholar] [CrossRef]
- Koyama, M.; Yamamoto, S.; Ishikawa, K.; Ban, S.; Toda, T. Anaerobic Digestion of Submerged Macrophytes: Chemical Composition and Anaerobic Digestibility. Ecol. Eng. 2014, 69, 304–309. [Google Scholar] [CrossRef]
- Gallegos, D.; Wedwitschka, H.; Moeller, L.; Weinrich, S.; Zehnsdorf, A.; Nelles, M.; Stinner, W. Mixed Silage of Elodea and Wheat Straw as a Substrate for Energy Production in Anaerobic Digestion Plants. Energy Sustain. Soc. 2018, 8, 7. [Google Scholar] [CrossRef]
- Wen, A.Y.; Yuan, X.J.; Wang, J.; Desta, S.T.; Shao, T. Effects of Four Short-Chain Fatty Acids or Salts on Dynamics of Fermentation and Microbial Characteristics of Alfalfa Silage. Anim. Feed Sci. Technol. 2017, 223, 141–148. [Google Scholar] [CrossRef]
- Zhang, Q.; Zhao, M.; Wang, X.; Yu, Z.; Na, R. Ensiling Alfalfa with Whole Crop Corn Improves the Silage Quality and in Vitro Digestibility of the Silage Mixtures. Grassl. Sci. 2017, 63, 211–217. [Google Scholar] [CrossRef]
- Muck, R.E. Factors Influencing Silage Quality and Their Implications for Management1. J. Dairy Sci. 1988, 71, 2992–3002. [Google Scholar] [CrossRef]
- Wang, M.; Wang, L.; Yu, Z. Fermentation Dynamics and Bacterial Diversity of Mixed Lucerne and Sweet Corn Stalk Silage Ensiled at Six Ratios. Grass Forage Sci. 2019, 74, 264–273. [Google Scholar] [CrossRef]
- Wang, J.; Yang, B.Y.; Zhang, S.J.; Amar, A.; Chaudhry, A.S.; Cheng, L.; Abbasi, I.H.R.; Al-Mamun, M.; Guo, X.F.; Shan, A.S. Using Mixed Silages of Sweet Sorghum and Alfalfa in Total Mixed Rations to Improve Growth Performance, Nutrient Digestibility, Carcass Traits and Meat Quality of Sheep. Animal 2021, 15, 100246. [Google Scholar] [CrossRef]
- Zhu, Y.; Nishino, N.; Kishida, Y.; Uchida, S. Ensiling Characteristics and Ruminal Degradation of Italian Ryegrass and Lucerne Silages Treated with Cell Wall-Degrading Enzymes. J. Sci. Food Agric. 1999, 79, 1987–1992. [Google Scholar] [CrossRef]
- Thomas, T.A. An Automated Procedure for the Determination of Soluble Carbohydrates in Herbage. J. Sci. Food Agric. 1977, 28, 639–642. [Google Scholar] [CrossRef]
- van Soest, P.J.; Robertson, J.B.; Lewis, B.A. Methods for Dietary Fiber, Neutral Detergent Fiber, and Nonstarch Polysaccharides in Relation to Animal Nutrition. J. Dairy Sci. 1991, 74, 3583–3597. [Google Scholar] [CrossRef]
- Baur, F.J.; Ensminger, L.G. The Association of Official Analytical Chemists (AOAC). J. Am. Oil Chem. Soc. 1977, 54, 171–172. [Google Scholar] [CrossRef]
- Zeng, T.; Li, X.; Guan, H.; Yang, W.; Liu, W.; Liu, J.; Du, Z.; Li, X.; Xiao, Q.; Wang, X.; et al. Dynamic Microbial Diversity and Fermentation Quality of the Mixed Silage of Corn and Soybean Grown in Strip Intercropping System. Bioresour. Technol. 2020, 313, 123655. [Google Scholar] [CrossRef]
- Broderick, G.A.; Kang, J.H. Automated Simultaneous Determination of Ammonia and Total Amino Acids in Ruminal Fluid and In Vitro Media. J. Dairy Sci. 1980, 63, 64–75. [Google Scholar] [CrossRef]
- Japan Grassland Farming Forage Seed Association (JGFFSA). Guide Book for Quality Evaluation of Forage; Japan Sociaty of Grassland Science: Tokyo, Japan, 1994; pp. 82–87. [Google Scholar]
- Yan, C.; Song, S.; Wang, W.; Wang, C.; Li, H.; Wang, F.; Li, S.; Sun, X. Screening Diverse Soybean Genotypes for Drought Tolerance by Membership Function Value Based on Multiple Traits and Drought-Tolerant Coefficient of Yield. BMC Plant Biol. 2020, 20, 321. [Google Scholar] [CrossRef]
- Ennahar, S.; Cai, Y.; Fujita, Y. Phylogenetic Diversity of Lactic Acid Bacteria Associated with Paddy Rice Silage as Determined by 16S Ribosomal DNA Analysis. Appl. Environ. Microbiol. 2003, 69, 444–451. [Google Scholar] [CrossRef]
- Santos, M.C.; Kung, L. Short Communication: The Effects of Dry Matter and Length of Storage on the Composition and Nutritive Value of Alfalfa Silage. J. Dairy Sci. 2016, 99, 5466–5469. [Google Scholar] [CrossRef]
- Dunière, L.; Sindou, J.; Chaucheyras-Durand, F.; Chevallier, I.; Thévenot-Sergentet, D. Silage Processing and Strategies to Prevent Persistence of Undesirable Microorganisms. Anim. Feed Sci. Technol. 2013, 182, 1–15. [Google Scholar] [CrossRef]
- Zhang, J.G.; Kawamoto, H.; Cai, Y.M. Relationships between the Addition Rates of Cellulase or Glucose and Silage Fermentation at Different Temperatures. Anim. Sci. J. 2010, 81, 325–330. [Google Scholar] [CrossRef]
- de Rezende, A.V.; Rabelo, C.H.S.; da Silva, M.R.M.; Härter, C.J.; Veiga, R.M. Wasted Cabbage (Brassica Oleracea) Silages Treated with Different Levels of Ground Corn and Silage Inoculant. R. Bras. Zootec. 2015, 44, 296–302. [Google Scholar] [CrossRef]
- Ni, K.; Wang, F.; Zhu, B.; Yang, J.; Zhou, G.; Pan, Y.; Tao, Y.; Zhong, J. Effects of Lactic Acid Bacteria and Molasses Additives on the Microbial Community and Fermentation Quality of Soybean Silage. Bioresour. Technol. 2017, 238, 706–715. [Google Scholar] [CrossRef]
- Wang, C.; He, L.; Xing, Y.; Zhou, W.; Yang, F.; Chen, X.; Zhang, Q. Fermentation Quality and Microbial Community of Alfalfa and Stylo Silage Mixed with Moringa Oleifera Leaves. Bioresour. Technol. 2019, 284, 240–247. [Google Scholar] [CrossRef]
- Park, S.; Jeong, H.Y.; Kim, H.S.; Yang, M.S.; Chae, K.S. Enhanced Production of Aspergillus Ficuum Endoinulinase in Saccharomyces Cerevisiae by Using the SUC2-Deletion Mutation. Enzyme Microb. Technol. 2001, 29, 107–110. [Google Scholar] [CrossRef]
- Li, H.; Zeng, T.; Du, Z.; Dong, X.; Xin, Y.; Wu, Y.; Huang, L.; Liu, L.; Kang, B.; Jiang, D.; et al. Assessment on the Fermentation Quality and Bacterial Community of Mixed Silage of Faba Bean With Forage Wheat or Oat. Front. Microbiol. 2022, 13, 875819. [Google Scholar] [CrossRef]
- Contreras-Govea, F.; Marsalis, M.; Angadi, S.; Smith, G.; Lauriault, L.M.; Vanleeuwen, D. Fermentabilîty and Nutritive Value of Corn and Forage Sorghum Silage When in Mixture with Lablab Bean. Crop Sci. 2011, 51, 1307–1313. [Google Scholar] [CrossRef]
- Kung, L.; Myers, C.L.; Neylon, J.M.; Taylor, C.C.; Lazartic, J.; Mills, J.A.; Whiter, A.G. The Effects of Buffered Propionic Acid-Based Additives Alone or Combined with Microbial Inoculation on the Fermentation of High Moisture Corn and Whole-Crop Barley. J. Dairy Sci. 2004, 87, 1310–1316. [Google Scholar] [CrossRef]
- McDonald, P.; Henderson, N.; Heron, S. The Biochemistry of Silage; Chalcombe: Marlow, UK, 1991. [Google Scholar]
- Valente, M.E.; Borreani, G.; Caredda, S.; Cavallarin, L.; Sulas, L. Ensiling Forage Garland (Chrysanthemum Coronarium L.) at Two Stages of Maturity and at Different Wilting Levels. Anim. Feed Sci. Technol. 2003, 108, 181–190. [Google Scholar] [CrossRef]
- Wang, Y.; He, L.; Xing, Y.; Zhou, W.; Pian, R.; Yang, F.; Chen, X.; Zhang, Q. Bacterial Diversity and Fermentation Quality of Moringa Oleifera Leaves Silage Prepared with Lactic Acid Bacteria Inoculants and Stored at Different Temperatures. Bioresour. Technol. 2019, 284, 349–358. [Google Scholar] [CrossRef]
- Jiménez-Calderón, J.D.; Martínez-Fernández, A.; Soldado, A.; González, A.; Vicente, F. Faba Bean-Rapeseed Silage as Substitute for Italian Ryegrass Silage: Effects on Performance and Milk Quality of Grazing Dairy Cows. Anim. Prod. Sci. 2020, 60, 913–922. [Google Scholar] [CrossRef]
- Falkner, L.K.; Casler, M.D. Preference for Smooth Bromegrass Clones Is Affected by Divergent Selection for Nutritive Value. Crop Sci. 1998, 38, 690–695. [Google Scholar] [CrossRef]
- Kaplan, M. Effect of Ensiling of Alfalfa with Sorghum on the Chemical Composition and Nutritive Value of Silage Mixtures. J. Anim. Vet. Adv. 2011, 10, 2368–2371. [Google Scholar]
- Van Soest, P.J. Nutritional Ecology of the Ruminant, 2nd ed.; Cornell University Press: New York, NY, USA, 1994. [Google Scholar]
- Muck, R.E.; Moser, L.E.; Pitt, R.E. Postharvest Factors Affecting Ensiling. In Silage Science and Technology; John Wiley & Sons, Ltd.: Hoboken, NJ, USA, 2003; pp. 251–304. [Google Scholar]
- Bureenok, S.; Sisaath, K.; Yuangklang, C.; Vasupen, K.; Schonewille, J.T. Ensiling Characteristics of Silages of Stylo Legume (Stylosanthes Guianensis), Guinea Grass (Panicum Maximum) and Their Mixture, Treated with Fermented Juice of Lactic Bacteria, and Feed Intake and Digestibility in Goats of Rations Based on These Silages. Small Rumin. Res. 2016, 134, 84–89. [Google Scholar] [CrossRef]
- Chen, L.; Guo, G.; Yuan, X.; Shimojo, M.; Yu, C.; Shao, T. Effect of Applying Molasses and Propionic Acid on Fermentation Quality and Aerobic Stability of Total Mixed Ration Silage Prepared with Whole-Plant Corn in Tibet. Asian-Australas. J. Anim. Sci. 2014, 27, 349–356. [Google Scholar] [CrossRef]
- Arbabi, S.; Ghoorchi, T. The Effect of Different Levels of Molasses as Silage Additives on Fermentation Quality of Foxtail Millet (Setaria Italica) Silage. Asian J. Anim. Sci. 2008, 2, 43–50. [Google Scholar] [CrossRef]
- Kung, L.; Taylor, C.C.; Lynch, M.P.; Neylon, J.M. The Effect of Treating Alfalfa with Lactobacillus Buchneri 40788 on Silage Fermentation, Aerobic Stability, and Nutritive Value for Lactating Dairy Cows. J. Dairy Sci. 2003, 86, 336–343. [Google Scholar] [CrossRef]
- Woolford, M.K. The Silage Fermentation; Marcel Dekker Inc.: New York, NY, USA, 1984. [Google Scholar]
- Santos, A.P.M.D.; Santos, E.M.; Oliveira, J.S.D.; Ribeiro, O.L.; Perazzo, A.F.; Martins Araújo Pinho, R.; Macêdo, A.J.D.S.; Pereira, G.A. Effects of Urea Addition on the Fermentation of Sorghum (Sorghum Bicolor) Silage. Afr. J. Range Forage Sci. 2018, 35, 55–62. [Google Scholar] [CrossRef]
- Kung, L.; Robinson, J.R.; Ranjit, N.K.; Chen, J.H.; Golt, C.M.; Pesek, J.D. Microbial Populations, Fermentation End-Products, and Aerobic Stability of Corn Silage Treated with Ammonia or a Propionic Acid-Based Preservative. J. Dairy Sci. 2000, 83, 1479–1486. [Google Scholar] [CrossRef]
- Cesareo, S.D.; Langton, S.R. Kinetic Properties of Helicobacter Pylori Urease Compared with Jack Bean Urease. FEMS Microbiol. Lett. 1992, 99, 15–22. [Google Scholar] [CrossRef]
- Wanapat, M.; Kang, S.; Khejornsart, P.; Pilajun, R. Improvement of Whole Crop Rice Silage Nutritive Value and Rumen Degradability by Molasses and Urea Supplementation. Trop. Anim. Health Prod. 2013, 45, 1777–1781. [Google Scholar] [CrossRef]
- Phesatcha, K.; Wanapat, M. Improvement of Nutritive Value and in Vitro Ruminal Fermentation of Leucaena Silage by Molasses and Urea Supplementation. Asian-Australas. J. Anim. Sci. 2016, 29, 1136–1144. [Google Scholar] [CrossRef]
Disclaimer/Publisher’s Note: The statements, opinions and data contained in all publications are solely those of the individual author(s) and contributor(s) and not of MDPI and/or the editor(s). MDPI and/or the editor(s) disclaim responsibility for any injury to people or property resulting from any ideas, methods, instructions or products referred to in the content. |
© 2023 by the authors. Licensee MDPI, Basel, Switzerland. This article is an open access article distributed under the terms and conditions of the Creative Commons Attribution (CC BY) license (https://creativecommons.org/licenses/by/4.0/).




