Chronic Adaptations to Eccentric Cycling Training: A Systematic Review and Meta-Analysis
Abstract
1. Introduction
2. Materials and Methods
2.1. Study Eligibility
2.2. Information Sources
2.3. Search Strategy
2.4. Study Selection
2.5. Data Extraction
2.6. Data Items
2.7. Study Quality Assessment
2.8. Effect Sizes Calculation
2.9. Statistical Analysis
3. Results
3.1. Study Selection
3.2. Study Characteristics
3.3. Quality Assessment
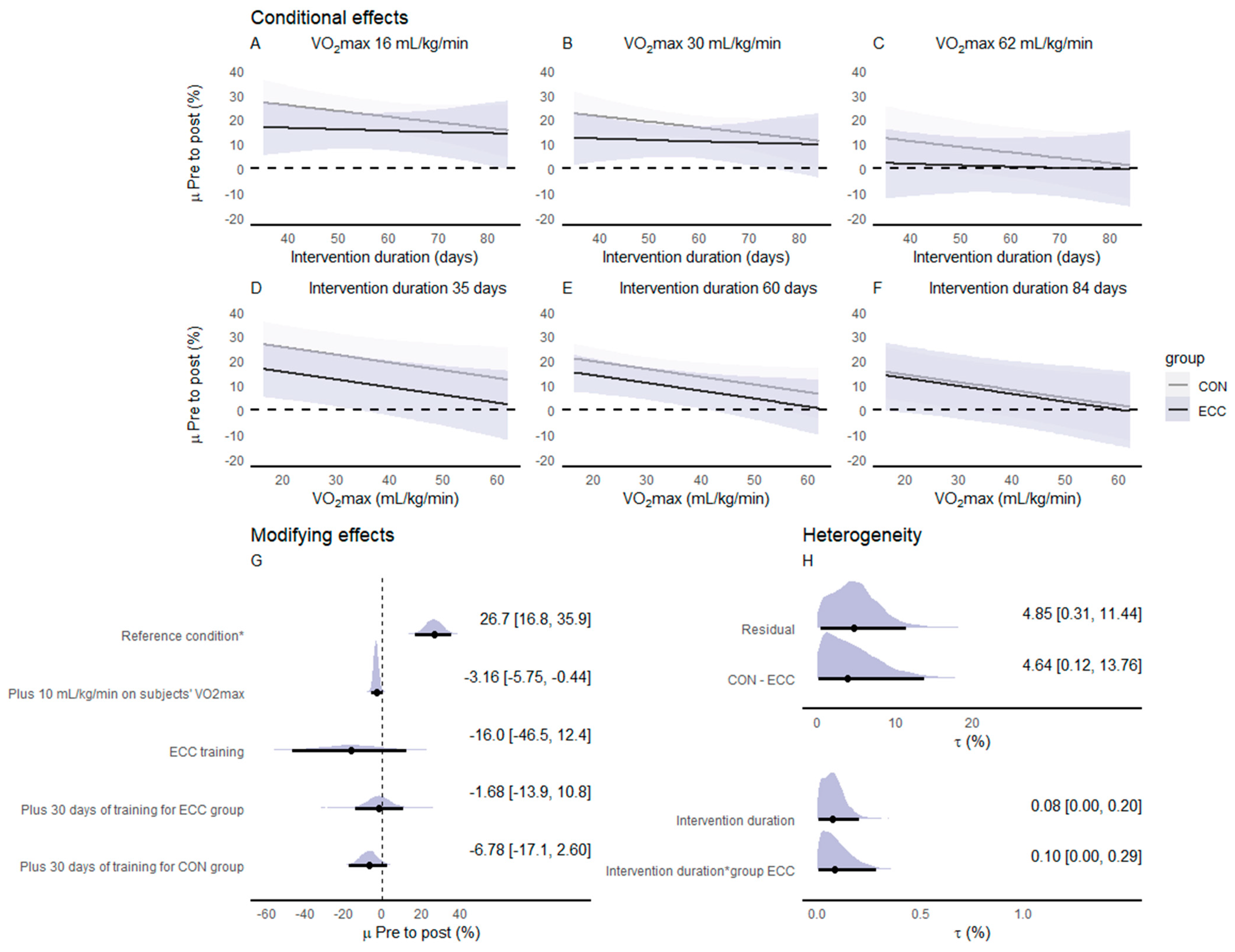
3.4. Meta-Analyses
3.4.1. Isometric Peak Torque (IPT)
3.4.2. Isokinetic Concentric Peak Torque (ICPT)
3.4.3. Isokinetic Eccentric Peak Torque (IEPT)
3.4.4. Vastus Lateralis Fiber Cross-Sectional Area (f-CSA)
3.4.5. Peak Power Output (PPO)
3.4.6. Maximal Oxygen Uptake ()
3.4.7. Six-Minute Walking Distance (6MWD)
3.4.8. Body Fat Percentage (BF%)
4. Discussion
5. Limitations
6. Future Perspectives
7. Conclusions
Supplementary Materials
Author Contributions
Funding
Institutional Review Board Statement
Informed Consent Statement
Data Availability Statement
Conflicts of Interest
References
- Douglas, J.; Pearson, S.; Ross, A.; Mcguigan, M. Eccentric Exercise: Physiological Characteristics and Acute Responses. Sport. Med. 2017, 47, 663–675. [Google Scholar] [CrossRef] [PubMed]
- Hedayatpour, N.; Falla, D. Physiological and Neural Adaptations to Eccentric Exercise: Mechanisms and Considerations for Training. Biomed. Res. Int. 2015, 2015, 193741. [Google Scholar] [CrossRef]
- Roig, M.; O’brien, K.; Kirk, G.; Murray, R.; McKinnon, P.; Shadgan, B.; Reid, W.D. The effects of eccentric versus concentric resistance training on muscle strength and mass in healthy adults: A systematic review with meta-analysis. Br. J. Sport. Med. 2019, 43, 556–568. [Google Scholar] [CrossRef] [PubMed]
- Murphy, M.C.; Travers, M.J.; Chivers, P.; Debenham, J.R.; Docking, S.I.; Rio, E.K.; Gibson, W. Efficacy of heavy eccentric calf training for treating mid-portion Achilles tendinopathy: A systematic review and meta-analysis. Br. J. Sport. Med. 2019, 53, 1070–1077. [Google Scholar] [CrossRef] [PubMed]
- Yoon, S.Y.; Kim, Y.W.; Shin, I.S.; Kang, S.; Moon, H.I.; Lee, S.C. The Beneficial Effects of Eccentric Exercise in the Management of Lateral Elbow Tendinopathy: A Systematic Review and Meta-Analysis. J. Clin. Med. 2021, 10, 3968. [Google Scholar] [CrossRef] [PubMed]
- Yu, J.; Park, D.; Lee, G. Effect of eccentric strengthening on pain, muscle strength, endurance, and functional fitness factors in male patients with achilles tendinopathy. Am. J. Phys. Med. Rehabil. 2013, 92, 68–76. [Google Scholar] [CrossRef]
- Lepley, L.K.; Lepley, A.S.; Onate, J.A.; Grooms, D.R. Eccentric Exercise to Enhance Neuromuscular Control. Sport. Health 2017, 9, 333–340. [Google Scholar] [CrossRef]
- Al Attar, W.S.A.; Soomro, N.; Sinclair, P.J.; Pappas, E.; Sanders, R.H. Effect of Injury Prevention Programs that Include the Nordic Hamstring Exercise on Hamstring Injury Rates in Soccer Players: A Systematic Review and Meta-Analysis. Sport. Med. 2017, 47, 907–916. [Google Scholar] [CrossRef]
- Croisier, J.L.; Forthomme, B.; Namurois, M.H.; Vanderthommen, M.; Crielaard, J.M. Hamstring muscle strain recurrence and strength performance disorders. Am. J. Sport. Med. 2002, 30, 199–203. [Google Scholar] [CrossRef]
- Gerber, J.P.; Marcus, R.L.; Dibble, L.E.; Greis, P.E.; Burks, R.T.; LaStayo, P.C. Safety, feasibility, and efficacy of negative work exercise via eccentric muscle activity following anterior cruciate ligament reconstruction. J. Orthop. Sport. Phys. Ther. 2007, 37, 10–18. [Google Scholar] [CrossRef]
- Gerber, J.P.; Marcus, R.L.; Dibble, L.E.; Greis, P.E.; Burks, R.T.; LaStayo, P.C. Effects of early progressive eccentric exercise on muscle size and function after anterior cruciate ligament reconstruction: A 1-year follow-up study of a randomized clinical trial. Phys. Ther. 2009, 89, 51–59. [Google Scholar] [CrossRef] [PubMed]
- Hoppeler, H. Moderate load eccentric exercise: A distinct novel training modality. Front. Physiol. 2016, 7, 483. [Google Scholar] [CrossRef] [PubMed]
- LaStayo, P.; Marcus, R.; Dibble, L.; Frajacomo, F.; Lindstedt, S. Eccentric exercise in rehabilitation: Safety, feasibility, and application. J. Appl. Physiol. 2014, 116, 1426–1434. [Google Scholar] [CrossRef] [PubMed]
- Bourbeau, J.; De Sousa Sena, R.; Taivassalo, T.; Richard, R.; Jensen, D.; Baril, J.; Vieira, D.S.R.; Perrault, H. Eccentric versus conventional cycle training to improve muscle strength in advanced COPD: A randomized clinical trial. Respir. Physiol. Neurobiol. 2020, 276, 103414. [Google Scholar] [CrossRef] [PubMed]
- LaStayo, P.C.; Ewy, G.A.; Pierotti, D.D.; Johns, R.K.; Lindstedt, S. The positive effects of negative work: Increased muscle strength and decreased fall risk in a frail elderly population. J. Gerontol. A Biol. Sci. Med. Sci. 2003, 58, M419–M424. [Google Scholar] [CrossRef] [PubMed]
- Mueller, M.; Breil, F.A.; Vogt, M.; Steiner, R.; Lippuner, K.; Popp, A.; Klossner, S.; Hoppeler, H.; Däpp, C. Different response to eccentric and concentric training in older men and women. Eur. J. Appl. Physiol. 2009, 107, 145–153. [Google Scholar] [CrossRef] [PubMed]
- Elmer, S.J.; Madigan, M.L.; LaStayo, P.C.; Martin, C. Joint-specific power absorption during eccentric cycling. Clin. Biomech. 2010, 25, 154–158. [Google Scholar] [CrossRef]
- Besson, D.; Joussain, C.; Gremeaux, V.; Morisset, C.; Laurent, Y.; Casillas, J.-M.; Laroche, D. Eccentric training in chronic heart failure: Feasibility and functional effects. Results of a comparative study. Ann. Phys. Rehabil. Med. 2013, 56, 30–40. [Google Scholar] [CrossRef]
- Gremeaux, V.; Duclay, J.; Deley, G.; Philipp, J.; Laroche, D.; Pousson, M.; Casillas, J.-M. Does eccentric endurance training improve walking capacity in patients with coronary artery disease? A randomized controlled pilot study. Clin. Rehabil. 2010, 24, 590–599. [Google Scholar] [CrossRef]
- Julian, V.; Thivel, D.; Miguet, M.; Pereira, B.; Costes, F.; Coudeyre, E.; Duclos, M.; Richard, R. Eccentric cycling is more efficient in reducing fat mass than concentric cycling in adolescents with obesity. Scand. J. Med. Sci. Sport. 2019, 29, 4–15. [Google Scholar] [CrossRef]
- Mueller, M.; Breil, F.A.; Lurman, G.; Klossner, S.; Flück, M.; Billeter, R.; Däpp, C.; Hoppeler, H. Different molecular and structural adaptations with eccentric and conventional strength training in elderly men and women. Gerontology 2011, 57, 528–538. [Google Scholar] [CrossRef] [PubMed]
- Barreto, R.V.; Lima, L.C.R.; Denadai, B.S. Moving forward with backward pedaling: A review on eccentric cycling. Eur. J. Appl. Physiol. 2020, 121, 381–407. [Google Scholar] [CrossRef] [PubMed]
- Huang, Y.C.; Cheng, M.L.; Tang, H.Y.; Huang, C.Y.; Chen, K.M.; Wang, J.S. Eccentric Cycling Training Improves Erythrocyte Antioxidant and Oxygen Releasing Capacity Associated with Enhanced Anaerobic Glycolysis and Intracellular Acidosis. Antioxidants 2021, 10, 285. [Google Scholar] [CrossRef] [PubMed]
- LaStayo, P.C.; Pierotti, D.J.; Pifer, J.; Hoppeler, H.; Lindstedt, S.L. Eccentric ergometry: Increases in locomotor muscle size and strength at low training intensities. Am. J. Physiol. Regul. Integr. Comp. Physiol. 2000, 278, R1282–R1288. [Google Scholar] [CrossRef]
- Lewis, M.C.; Peoples, G.E.; Groeller, H.; Brown, M.A. Eccentric cycling emphasising a low cardiopulmonary demand increases leg strength equivalent to workload matched concentric cycling in middle age sedentary males. J. Sci. Med. Sport 2018, 21, 1238–1243. [Google Scholar] [CrossRef]
- Paulsen, G.; Eidsheim, H.Ø.; Helland, C.; Seynnes, O.; Solberg, P.A.; Rønnestad, B.R. Eccentric cycling does not improve cycling performance in amateur cyclists. PLoS ONE 2019, 14, e0208452. [Google Scholar] [CrossRef]
- Touron, J.; Costes, F.; Coudeyre, E.; Perrault, H.; Richard, R. Aerobic Metabolic Adaptations in Endurance Eccentric Exercise and Training: From Whole Body to Mitochondria. Front. Physiol. 2021, 11, 596351. [Google Scholar] [CrossRef]
- Garvey, C.; Bayles, M.P.; Hamm, L.F.; Hill, K.; Holland, A.; Limberg, T.M.; Spruit, M.A. Pulmonary Rehabilitation Exercise Prescription in Chronic Obstructive Pulmonary Disease: Review of Selected Guidelines: An Official Statement from The American Association of Cardiovascular and Pulmonary Rehabilitation. J. Cardiopulm. Rehabil. Prev. 2016, 36, 75–83. [Google Scholar] [CrossRef]
- Vanhees, L.; Rauch, B.; Piepoli, M.; van Buuren, F.; Takken, T.; Börjesson, M.; Bjarnason-Wehrens, B.; Doherty, P.; Dugmore, D.; Halle, M.; et al. Importance of characteristics and modalities of physical activity and exercise in the management of cardiovascular health in individuals with cardiovascular disease (Part III). Eur. J. Prev. Cardiol. 2012, 19, 1333–1356. [Google Scholar] [CrossRef]
- Donnelly, J.E.; Blair, S.N.; Jakicic, J.M.; Manore, M.M.; Rankin, J.W.; Smith, B.K.; American College of Sports Medicine. American College of Sports Medicine Position Stand. Appropriate physical activity intervention strategies for weight loss and prevention of weight regain for adults. Med. Sci. Sport. Exerc. 2009, 41, 459–471. [Google Scholar] [CrossRef]
- Page, M.J.; McKenzie, J.E.; Bossuyt, P.M.; Boutron, I.; Hoffmann, T.C.; Mulrow, C.D.; Shamseer, L.; Tetzlaff, J.M.; Akl, E.A.; Brennan, S.E.; et al. The PRISMA 2020 statement: An updated guideline for reporting systematic reviews. BMJ 2021, 372, n71. [Google Scholar] [CrossRef] [PubMed]
- Dufour, S.P.; Doutreleau, S.; Lonsdorfer-Wolf, E.; Lampert, E.; Hirth, C.; Piquard, F.; Lonsdorfer, J.; Geny, B.; Mettauer, B.; Richard, R. Deciphering the metabolic and mechanical contributions to the exercise-induced circulatory response: Insights from eccentric cycling. Am. J. Physiol. Regul. Integr. Comp. Physiol. 2007, 292, R1641–R1648. [Google Scholar] [CrossRef]
- Perrey, S.; Betik, A.; Candau, R.; Rouillon, J.D.; Hughson, R.L. Comparison of oxygen uptake kinetics during concentric and eccentric cycle exercise. J. Appl. Physiol. 2001, 91, 2135–2142. [Google Scholar] [CrossRef] [PubMed]
- Steiner, R.; Meyer, K.; Lippuner, K.; Schmid, J.P.; Saner, H.; Hoppeler, H. Eccentric endurance training in subjects with coronary artery disease: A novel exercise paradigm in cardiac rehabilitation? Eur. J. Appl. Physiol. 2004, 91, 572–578. [Google Scholar] [CrossRef]
- MacMillan, N.J.; Kapchinsky, S.; Konokhova, Y.; Gouspillou, G.; Sena, R.D.S.; Jagoe, R.T.; Baril, J.; Carver, T.E.; Andersen, R.E.; Richard, R.; et al. Eccentric Ergometer Training Promotes Locomotor Muscle Strength but Not Mitochondrial Adaptation in Patients with Severe Chronic Obstructive Pulmonary Disease. Front. Physiol. 2017, 8, 114. [Google Scholar] [CrossRef] [PubMed]
- Ouzzani, M.; Hammady, H.; Fedorowicz, Z.; Elmagarmid, A. Rayyan—A web and mobile app for systematic reviews. Syst. Rev. 2016, 5, 210. [Google Scholar] [CrossRef] [PubMed]
- Maher, C.G.; Sherrington, C.; Herbert, R.D.; Moseley, A.M.; Elkins, M. Reliability of the PEDro scale for rating quality of randomized controlled trials. Phys. Ther. 2003, 83, 713–721. [Google Scholar] [CrossRef] [PubMed]
- Higgins, J.P.T.; Thomas, J. Cochrane Handbook for Systematic Reviews of Interventions, 2nd ed.; John Wiley & Sons: London, UK, 2021. [Google Scholar]
- Bürkner, P.C. brms: An R package for Bayesian multilevel models using Stan. J. Stat. Softw. 2017, 80, 1–28. [Google Scholar] [CrossRef]
- Gelman, A.; Lee, D.; Guo, J. Stan. J. Educ. Behav. Stat. 2015, 40, 530–543. [Google Scholar] [CrossRef]
- Gelman, A.; Rubin, D.B. Inference from iterative simulation using multiple sequences. Stat. Sci. 1992, 7, 457–472. [Google Scholar] [CrossRef]
- Bürkner, P.C. Handle Missing Values with brms. In The Comprehensive R Archive Network. 2021. Available online: https://cran.r-project.org/web/packages/brms/vignettes/brms_missings.html (accessed on 12 May 2022).
- Meyer, K.; Steiner, R.; Lastayo, P.; Lippuner, K.; Allemann, Y.; Eberli, F.; Schmid, J.; Saner, H.; Hoppeler, H. Eccentric exercise in coronary patients: Central hemodynamic and metabolic responses. Med. Sci. Sport. Exerc. 2003, 35, 1076–1082. [Google Scholar] [CrossRef] [PubMed]
- Casillas, J.M.; Besson, D.; Hannequin, A.; Gremeaux, V.; Morisset, C.; Tordi, N.; Laurent, Y.; Laroche, D. Effects of an eccentric training personalized by a low rate of perceived exertion on the maximal capacities in chronic heart failure: A randomized controlled trial. Eur. J. Phys. Rehabil. Med. 2016, 52, 159–168. [Google Scholar] [PubMed]
- Inostroza, M.; Valdés, O.; Tapia, G.; Núñez, O.; Kompen, M.J.; Nosaka, K.; Peñailillo, L. Effects of eccentric vs. concentric cycling training on patients with moderate COPD. Eur. J. Appl. Physiol. 2022, 122, 489–502. [Google Scholar] [CrossRef] [PubMed]
- LaStayo, P.C.; Reich, T.E.; Urquhart, M.; Hoppeler, H.; Lindstedt, S.L. Chronic eccentric exercise: Improvements in muscle strength can occur with little demand for oxygen. Am. J. Physiol. 1999, 276, R611–R615. [Google Scholar] [CrossRef] [PubMed]
- Cashin, A.G.; McAuley, J.H. Clinimetrics: Physiotherapy Evidence Database (PEDro) Scale. J. Physiother. 2020, 66, 59. [Google Scholar] [CrossRef] [PubMed]
- Reeves, N.D.; Maganaris, C.N.; Longo, S.; Narici, M.V. Differential adaptations to eccentric versus conventional resistance training in older humans. Exp. Physiol. 2009, 94, 825–833. [Google Scholar] [CrossRef] [PubMed]
- Blazevich, A.J.; Cannavan, D.; Coleman, D.R.; Horne, S. Influence of concentric and eccentric resistance training on architectural adaptation in human quadriceps muscles. J. Appl. Physiol. 2007, 103, 1565–1575. [Google Scholar] [CrossRef]
- Roig, M.; Macintyre, D.L.; Eng, J.J.; Narici, M.V.; Maganaris, C.N.; Reid, W.D. Preservation of eccentric strength in older adults: Evidence, mechanisms and implications for training and rehabilitation. Exp. Gerontol. 2010, 45, 400–409. [Google Scholar] [CrossRef]
- Schoenfeld, B.J.; Ogborn, D.I.; Vigotsky, A.D.; Franchi, M.V.; Krieger, J.W. Hypertrophic Effects of Concentric vs. Eccentric Muscle Actions: A Systematic Review and Meta-analysis. J. Strength Cond. Res. 2017, 31, 2599–2608. [Google Scholar] [CrossRef]
- Franchi, M.V.; Reeves, N.D.; Narici, M.V. Skeletal Muscle Remodeling in Response to Eccentric vs. Concentric Loading: Morphological, Molecular, and Metabolic Adaptations. Front. Physiol. 2017, 8, 447. [Google Scholar] [CrossRef]
- Yu, J.G.; Fürst, D.O.; Thornell, L.E. The mode of myofibril remodelling in human skeletal muscle affected by DOMS induced by eccentric contractions. Histochem. Cell. Biol. 2003, 119, 383–393. [Google Scholar] [CrossRef] [PubMed]
- Pincheira, P.A.; Boswell, M.A.; Franchi, M.V.; Delp, S.L.; Lichtwark, G.A. Biceps femoris long head sarcomere and fascicle length adaptations after 3 weeks of eccentric exercise training. J. Sport Health Sci. 2022, 11, 43–49. [Google Scholar] [CrossRef] [PubMed]
- Fridén, J.; Seger, J.; Sjöström, M.; Ekblom, B. Adaptive response in human skeletal muscle subjected to prolonged eccentric training. Int. J. Sport. Med. 1983, 4, 177–183. [Google Scholar] [CrossRef] [PubMed]
- Allen, D.G. Eccentric muscle damage: Mechanisms of early reduction of force. Acta Physiol. Scand. 2001, 171, 311–319. [Google Scholar] [CrossRef] [PubMed]
- Leong, C.H.; McDermott, W.J.; Elmer, S.J.; Martin, J.C. Chronic eccentric cycling improves quadriceps muscle structure and maximum cycling power. Int. J. Sport. Med. 2014, 35, 559–565. [Google Scholar] [CrossRef] [PubMed]
- Proske, U.; Morgan, D.L. Muscle damage from eccentric exercise: Mechanism, mechanical signs, adaptation and clinical applications. J. Physiol. 2001, 537, 333–345. [Google Scholar] [CrossRef]
- Rasekaba, T.; Lee, A.L.; Naughton, M.T.; Williams, T.J.; Holland, A.E. The six-minute walk test: A useful metric for the cardiopulmonary patient. Intern. Med. J. 2009, 39, 495–501. [Google Scholar] [CrossRef]
- Ferguson, B. ACSM’s Guidelines for Exercise Testing and Prescription 9th Ed. 2014. J. Can. Chiropr. Assoc. 2014, 58, 328. [Google Scholar]
- Peñailillo, L.; Blazevich, A.; Nosaka, K. Energy expenditure and substrate oxidation during and after eccentric cycling. Eur. J. Appl. Physiol. 2014, 114, 805–814. [Google Scholar] [CrossRef]
- Isacco, L.; Ritter, O.; Tordi, N.; Laroche, D.; Degano, B.; Bouhaddi, M.; Rakobowchuk, M.; Mourot, L. Similar substrate oxidation rates in concentric and eccentric cycling matched for aerobic power output. Appl. Physiol. Nutr. Metab. 2016, 41, 1204–1207. [Google Scholar] [CrossRef]
- Borenstein, M.; Rothstein, H.R.; Hedges, L.V.; Higgins, J. Introduction to Meta-Analysis; Wiley: West Sussex, UK, 2009. [Google Scholar]







| Study | Population | Intervention | Training Outcomes | |||
|---|---|---|---|---|---|---|
| Training Period | Weekly Frequency | Session Duration | Intensity (ECCCYC/CONCYC) | |||
| Besson et al. [18] | CHF | 7 weeks | 3 sessions | 25 min | RPE between 9–11 on Borg scale/HR corresponding to VT | 6MWT distance and the HR and VO2 during 6MWT |
| patients | ||||||
| (n = 30) | ||||||
| Bourbeau et al. [14] | COPD | 10 weeks | 3 sessions | 30 min | Four times the PO corresponding to 60–80% PPO/60–80% PPO | Knee extensors IPT, ICPT, IEPT, and EPP, PPO, endurance time to CONCYC at 75% PPO, and 6MWT distance |
| patients | ||||||
| (n = 24) | ||||||
| Casillas et al. [44] | CHF | 7 weeks | 3 sessions | 25 min | RPE between 9–11 on Borg scale/HR corresponding to VT | Knee extensors and plantar flexors IPT, PPO, , HRmax, VT, and 6MWT distance |
| patients | ||||||
| (n = 42) | ||||||
| Gremeaux et al. [19] | CAD | 5 weeks | 3 sessions | 30 min | HR corresponding to VT/HR corresponding to VT | Knee extensors and plantar flexors IPT, PPO, , 6MWT distance, and 200-m fast walk test |
| patients | ||||||
| (n = 14) | ||||||
| Huang et al. [23] | Sedentary individuals | 6 weeks | 5 sessions | 30 min | 45–70% PPO/45–70% PPO | PPO, , erythrocyte metabolic characteristics, and O2 release capacity |
| (n = 24) | ||||||
| Inostroza et al. [45] | COPD | 12 weeks | 2–3 sessions | 2–3 × 10–15 min | RPE between 11–13 on Borg scale/RPE between 11–13 on Borg scale | Knee extensors IPT and RTD, body composition, , 6MWT distance, timed up-and-go test, stairs ascending and descending walking time, and quality of life |
| patients | ||||||
| (n = 20) | ||||||
| Julian et al. [20] | Obese adolecents | 12 weeks | 3 sessions | 30 min | 20–70% /20–70% | Knee extensors IPT, ICPT, and IEPT, PPO, , body composition, glycemia, insulinemia, and plasma levels of cholesterols and triglycerides |
| (n = 23) | ||||||
| LaStayo et al. [46] | Healthy individuals | 6 weeks | 2–5 sessions | 10–30 min | 100–300W during the first 3 wk, and then, PO was adjusted to match VO2 between modes/50–100W during the first 3 wk and then, PO was adjusted to match VO2 between modes | Knee extensors IPT |
| (n = 9) | ||||||
| LaStayo et al. [24] | Healthy individuals | 8 weeks | 2–5 sessions | 15–30 min | 54–65% HRage/54–65% HRage | Knee extensors IPT, , HRmax, f-CSA and ultrastructure characteristics, capilary-to-fiber ratio, and density |
| (n = 13) | ||||||
| Lewis et al. [25] | Sedentary individuals | 8 weeks | 2 sessions | 20 min | 60% PPO/60% PPO | Knee extensors IPT, leg press 6RM, PPO, , HRmax, and blood pressure |
| (n = 17) | ||||||
| MacMillan et al. [35] | COPD | 10 weeks | 3 sessions | 30 min | Four times the PO corresponding to 60–80% PPO/60–80% PPO | Knee extensors IPT, PPO, body composition, f-CSA, mitochondrial function, and adaptation markers |
| patients | ||||||
| (n = 15) | ||||||
| Meyer et al. [43] | CAD | 8 weeks | 3 sessions | 30 min | 60% and/or 85% HRmax/60% and/or 85% HRmax | PPO, , and central hemodynamic characteristics during ECCCYC and CONCYC sessions |
| patients | ||||||
| (n = 13) | ||||||
| Paulsen et al. [26] | Amateur | 10 weeks | 2 sessions | 5–8 × 2 min | RPE between 12–17 on Borg scale/RPE between 12–17 on Borg scale | Knee extensors IPT, ICPT, and IEPT, muscle thickness, PPO, , LT, 20-min CONCYC time trial, CONCYC Wingate test, and pedaling characteristics |
| cyclists | ||||||
| (n = 23) | ||||||
| Steiner et al. [34] | CAD | 8 weeks | 3 sessions | 30 min | 60% /60% | Knee extensors IPT, ICPT, and IEPT, body composition, and f-CSA |
| patients | ||||||
| (n = 12) | ||||||
| Study | PEDro Scale | Total Score | ||||||||||
|---|---|---|---|---|---|---|---|---|---|---|---|---|
| 1 | 2 | 3 | 4 | 5 | 6 | 7 | 8 | 9 | 10 | 11 | ||
| Besson et al. [18] | 1 | 1 | 0 | 1 | 0 | 0 | 0 | 1 | 0 | 1 | 1 | 5 |
| Bourbeau et al. [14] | 1 | 1 | 1 | 1 | 0 | 0 | 1 | 1 | 1 | 1 | 1 | 8 |
| Casillas et al. [44] | 1 | 1 | 1 | 1 | 0 | 0 | 1 | 0 | 1 | 1 | 1 | 7 |
| Gremeaux et al. [19] | 1 | 1 | 0 | 1 | 0 | 0 | 1 | 1 | 1 | 1 | 1 | 7 |
| Huang et al. [23] | 1 | 1 | 0 | 1 | 0 | 0 | 0 | 1 | 1 | 1 | 1 | 6 |
| Inostroza et al. [45] | 1 | 0 | 0 | 1 | 0 | 0 | 0 | 1 | 1 | 1 | 1 | 5 |
| Julian et al. [20] | 1 | 1 | 0 | 1 | 0 | 0 | 1 | 1 | 1 | 1 | 1 | 7 |
| LaStayo et al. [46] | 0 | 1 | 0 | 1 | 0 | 0 | 0 | 1 | 1 | 1 | 1 | 6 |
| LaStayo et al. [24] | 0 | 1 | 0 | 1 | 0 | 0 | 0 | 1 | 1 | 1 | 1 | 6 |
| Lewis et al. [25] | 1 | 0 | 0 | 1 | 0 | 0 | 0 | 0 | 0 | 1 | 1 | 3 |
| MacMillan et al. [35] | 1 | 1 | 0 | 1 | 0 | 0 | 1 | 1 | 0 | 1 | 1 | 6 |
| Meyer et al. [43] | 1 | 1 | 0 | 1 | 0 | 0 | 0 | 1 | 1 | 1 | 1 | 6 |
| Paulsen et al. [26] | 0 | 1 | 0 | 1 | 0 | 0 | 0 | 1 | 1 | 1 | 1 | 6 |
| Steiner et al. [34] | 0 | 1 | 0 | 1 | 0 | 0 | 0 | 1 | 1 | 1 | 1 | 6 |
Disclaimer/Publisher’s Note: The statements, opinions and data contained in all publications are solely those of the individual author(s) and contributor(s) and not of MDPI and/or the editor(s). MDPI and/or the editor(s) disclaim responsibility for any injury to people or property resulting from any ideas, methods, instructions or products referred to in the content. |
© 2023 by the authors. Licensee MDPI, Basel, Switzerland. This article is an open access article distributed under the terms and conditions of the Creative Commons Attribution (CC BY) license (https://creativecommons.org/licenses/by/4.0/).
Share and Cite
Barreto, R.V.; de Lima, L.C.R.; Borszcz, F.K.; de Lucas, R.D.; Denadai, B.S. Chronic Adaptations to Eccentric Cycling Training: A Systematic Review and Meta-Analysis. Int. J. Environ. Res. Public Health 2023, 20, 2861. https://doi.org/10.3390/ijerph20042861
Barreto RV, de Lima LCR, Borszcz FK, de Lucas RD, Denadai BS. Chronic Adaptations to Eccentric Cycling Training: A Systematic Review and Meta-Analysis. International Journal of Environmental Research and Public Health. 2023; 20(4):2861. https://doi.org/10.3390/ijerph20042861
Chicago/Turabian StyleBarreto, Renan Vieira, Leonardo Coelho Rabello de Lima, Fernando Klitzke Borszcz, Ricardo Dantas de Lucas, and Benedito Sérgio Denadai. 2023. "Chronic Adaptations to Eccentric Cycling Training: A Systematic Review and Meta-Analysis" International Journal of Environmental Research and Public Health 20, no. 4: 2861. https://doi.org/10.3390/ijerph20042861
APA StyleBarreto, R. V., de Lima, L. C. R., Borszcz, F. K., de Lucas, R. D., & Denadai, B. S. (2023). Chronic Adaptations to Eccentric Cycling Training: A Systematic Review and Meta-Analysis. International Journal of Environmental Research and Public Health, 20(4), 2861. https://doi.org/10.3390/ijerph20042861

