Abstract
This study aimed to investigate the effects of eccentric cycling (ECCCYC) training on performance, physiological, and morphological parameters in comparison to concentric cycling (CONCYC) training. Searches were conducted using PubMed, Embase, and ScienceDirect. Studies comparing the effect of ECCCYC and CONCYC training regimens on performance, physiological, and/or morphological parameters were included. Bayesian multilevel meta-analysis models were used to estimate the population’s mean difference between chronic responses from ECCCYC and CONCYC training protocols. Group levels and meta-regression were used to evaluate the specific effects of subjects and study characteristics. Fourteen studies were included in this review. The meta-analyses showed that ECCCYC training was more effective in increasing knee extensor strength, vastus lateralis fiber cross-sectional area, and six-minute walking distance compared to CONCYC. Moreover, ECCCYC was as effective as CONCYC in decreasing body fat percentage. CONCYC was more effective in increasing and peak power output attained during concentric incremental tests. However, group-level analyses revealed that ECCCYC was more effective than CONCYC in improving in patients with cardiopulmonary diseases. ECCCYC is a viable modality for exercise interventions aiming to improve parameters of muscle strength, hypertrophy, functional capacity, aerobic power, and body composition, with more advantages than CONCYC training in improving neuromuscular variables.
1. Introduction
Over the last decades, sports scientists and physiologists have advanced our knowledge of the mechanisms and applications of eccentric (i.e., lengthening) muscle contractions. Given its distinctive characteristics, eccentric contractions may induce different morphological, neuromuscular, and metabolic adaptations compared to isometric and concentric muscle actions [1,2]. Evidence from isokinetic exercise indicates that eccentric contractions are more effective in increasing muscle strength than concentric contractions [3]. Additionally, there is robust evidence supporting the utilization of eccentric exercise for the treatment of tendinopathies [4,5,6] and injury prevention and rehabilitation [7,8,9,10,11]. Recently, there has been a growing interest in the utilization of eccentric exercises in the treatment of individuals with poor exercise tolerance, such as elderly individuals and patients with cardiopulmonary diseases [12,13].
In fact, the low-energy cost associated with eccentric muscle work makes eccentric exercises a feasible alternative to counteract sarcopenia and declines in the functional capacity of older individuals, especially those with clinical conditions, since eccentric exercises may provide sufficient stimulus to trigger neuromuscular adaptations without imposing severe cardiovascular and/or respiratory burden [13,14,15,16]. In this context, eccentric exercise via motorized cycle ergometers, named eccentric cycling (ECCCYC), comprises a safe way to exercise eccentrically, avoiding impact on lower limb joints and falls, as well as allowing appropriate quantification of negative work absorbed during exercise bouts. ECCCYC can be categorized as a moderate-load eccentric exercise [12] consisting of submaximal eccentric exercise performed continuously for long periods (i.e., 10–30 min). In practice, pedaling eccentrically consists in resisting (i.e., attempting to brake) the motor-driven backward movement of the pedals. Thus, during ECCCYC sessions, one must produce a large number of eccentric contractions with the locomotor muscles, mainly the knee and hip extensor muscles [17], in a coordinated manner, trying to maintain the level of resistive force prescribed, usually displayed on a screen connected to the cycle ergometer.
Interestingly, in addition to the known potent stimulus of eccentric exercises for muscle strength development, chronic ECCCYC interventions can confer improvements in aerobic power, exercise tolerance, and body composition parameters [14,18,19,20,21]. Hence, ECCCYC has the potential to improve distinctive performance and physiological/morphological parameters by inducing both energetic/metabolic and tensional adaptive stimuli within the same session, characterizing a time-effective modality [22]. However, some studies only indicate neuromuscular and morphological muscle adaptations following ECCCYC interventions [23,24,25,26], and there is evidence suggesting that eccentric endurance exercises may not have an impact on aerobic metabolism [27].
These disagreements in the chronic responses to ECCCYC may be related to the lack of information regarding the eccentric exercise intensity continuum, which makes the prescription of ECCCYC load based on a specific level of homeostasis disturbance related to a targeted adaptation difficult. Additionally, the fitness level of the individuals submitted to ECCCYC interventions could explain, in part, the controversial results of ECCCYC adaptations since the moderate intensity-like behavior (for details, please see Barreto et al. [22]) of the physiological responses to ECCCYC may be insufficient to promote aerobic/metabolic adaptations in healthy active and highly trained individuals. Therefore, the present systematic review aimed to determine the effectiveness of ECCCYC interventions in improving different performance, physiological, and morphological parameters, as well as investigating the impact of the intervention and population characteristics on these training outcomes. We choose to compare ECCCYC with concentric cycling (CONCYC) interventions since CONCYC protocols are widely used for exercise treatment in clinical populations [28,29] and to improve aerobic and body composition parameters in the general population [30].
2. Materials and Methods
The present review is part of a larger systematic review project that aims to investigate the acute and chronic physiological responses to ECCCYC compared to CONCYC. The original protocol was prospectively registered within the Open Science Framework (https://osf.io/sa6g3, accessed on 1 December 2022). The search strategy and selection of studies included both transversal and longitudinal studies that investigated the responses to ECCCYC bouts and training protocols, respectively. The present review followed the Preferred Reporting Items for Systematic Reviews and Meta-Analyses (PRISMA) guidelines [31].
2.1. Study Eligibility
The PICO framework (Population, Intervention, Comparator, and Outcome) was used to establish the eligibility criteria. The population included male and female human subjects without restrictions on age, health condition, or level of physical fitness. The exercise intervention must have comprised ECCCYC training protocols lasting at least one week. The comparator consisted of CONCYC training of the same duration. Investigations that reported outcomes related to neuromuscular function, aerobic power, functional capacity, and body composition before and after ECCCYC and CONCYC training protocols were considered for inclusion. Only original investigations published in peer-reviewed outlets and written in English were considered eligible. Studies that investigated the responses to single-leg ECCCYC training or ECCCYC performed with the upper limbs were excluded.
2.2. Information Sources
The searches were conducted until February 2021 and updated in November 2021 using the online electronic databases PubMed, ScienceDirect, and Embase. Studies meeting the inclusion criteria identified in the reference lists of the included articles were also included in the present review. Missing data and/or information from the selected studies were requested via electronic mailing to the authors.
2.3. Search Strategy
The search strategy was designed to track all possible studies on the topic of “eccentric cycling”. Five target studies on this topic were used to formulate the search strategy [24,32,33,34,35]. The title and abstract of the records were examined for the identification of possible search terms using the word frequency analysis tool of the PubMed database.
The search strategy was verified by identifying the recognized relevant studies in the results of preliminary searches and by identifying new relevant studies obtained through changing search terms. Hence, we adopted the following search strategy through titles and abstracts of indexed documents: (“eccentric” OR “eccentrically” OR “negative work”) AND (“cycling” OR “bicycle” OR “pedaling” OR “pedalling” OR “ergometer” OR “ergometry”). No temporal clipping was established.
2.4. Study Selection
Two authors (R.V.B. and L.C.R.L.) carried out the selection of studies independently, using a freely available software—Rayyan QCRI (https://www.rayyan.ai/, accessed on 1 December 2022) [36]. Following the exclusion of duplicates, the titles and abstracts were screened, and irrelevant records were removed. Subsequently, the full-text articles were reviewed and assessed for eligibility.
2.5. Data Extraction
The data of each study included in this review were extracted separately by two authors (R.V.B. and L.C.R.L) into an Excel spreadsheet (Microsoft, Redmond, WA, USA). The same authors then compared their spreadsheets and addressed the inconsistencies through discussion. When necessary, data were extracted from figures using the freely available software Web Plot Digitizer (https://automeris.io/WebPlotDigitizer, accessed on 1 December 2022).
2.6. Data Items
Information about the publication (i.e., author, year, journal, and digital object identifier—DOI), study design (e.g., randomized or quasi-randomized), population (i.e., sample size, age, height, body mass, maximal oxygen uptake (), and health condition), intervention (i.e., intensity, duration, and type of the sessions, number of sessions per week, pedal cadence, and duration of the ECCCYC training protocol), comparator (i.e., intensity, duration, and type of the sessions, number of sessions per week, pedal cadence, and duration of the CONCYC training protocol), and outcomes (i.e., mean and standard deviation (SD) of the performance, physiological, and/or morphological parameter assessed before and after CONCYC and ECCCYC training period and the inferential statistics parameters) was extracted from all studies included in this review.
The terms and PPO were used to represent measures of maximal and peak oxygen consumption and maximal and peak power output, respectively, obtained from an incremental CONCYC test performed until exhaustion or a symptom-limited incremental CONCYC test.
2.7. Study Quality Assessment
The methodological quality of the selected reports was rated using the Physiotherapy Evidence-Based Database (PEDro) scale [37]. The PEDro scale comprises 11 criteria related to the external (item 1) and internal (items 2–9) validity of the study, as well as the statistical procedures (items 10–11). Except for the first item, which was not utilized to generate the PEDro score, the report receives one point for each satisfying item. Therefore, the higher the study score (with 10 being the highest), the higher the study’s quality [37]. Two authors (R.V.B. and L.C.R.L.) assessed the quality of the included studies independently, and discrepancies were handled by a third author (B.S.D.).
2.8. Effect Sizes Calculation
Three different effect sizes were calculated for each variable: (1) the mean percent difference between pre- and post-ECCCYC training, (2) the mean percent difference between pre- and post-CONCYC training, and (3) the net effect between training modalities (i.e., the mean difference between pre-to-post ECCCYC and pre-to-post CONCYC). Thus, a negative net effect means that the change induced by ECCCYC training in the analyzed variable was % greater than the change induced by CONCYC training and vice versa.
The precision of each effect size was determined by the standard error (SE) of the pre-to-post change for CONCYC and ECCCYC conditions. The SE of the change for each condition (i.e., CONCYC and ECCCYC) was calculated by dividing the SD of the pre-to-post change by the square root of the sample size. The SE of the net difference between CONCYC and ECCCYC was calculated as the sum of the pre-to-post SE of each condition via their variances as follows:
Note that SE of net difference was derived to present to the reader the “observed” effect sizes in the studies; the net mean difference between the conditions was determined during the statistical analysis, as detailed below. Within the meta-analytic model, the weight of each effect size was set by the inverse of the squared SE (1/SE2). Thus, effects derived from studies with less variability in responses and/or a greater number of participants exerted greater weight on meta-analyzed effect size. The SD of the pre-to-post change was determined using the exact p-values via t-statistics, confidence intervals, F-values [38], and raw data, or was determined from data extracted from figures. When it was not possible, the SD of the change was inputted by the mean correlation coefficient (r) derived from pre-to-post scores of the studies in which the inferential statistics deemed its determination possible [38]. A moderate correlation coefficient (r = 0.50) was adopted for the imputation of SD of the change when none of the alternatives described above was possible.
Pre-to-post effect sizes and their respective SE were converted to percentage units by dividing by the mean of CONCYC and ECCCYC conditions, respectively, and multiplying it by 100.
2.9. Statistical Analysis
The meta-analyses were conducted within a Bayesian framework using multilevel models. Analyses were performed in the statistical software R (v4.0; R Core Team [2020], Vienna, Austria) in its graphical interface RStudio (v1.2.5; Boston, MA, USA). The brms package [39] was used for analyses, which allowed the adjustment of multilevel Bayesian models using Stan (i.e., a platform for statistical modeling and high-performance statistical computation) [40].
We derived the effects for each arm to verify the pre-to-post change for both CONCYC and ECCCYC interventions and evaluate the contrast effect between the two conditions. Hence, two analysis models were carried out for each outcome. The first model was composed of a linear meta-regression analysis, where the response variable was the effect sizes and the covariate (i.e., model fixed effect) was the ECCCYC and CONCYC conditions coded numerically as 0 and 1, respectively. Ergo, the intercept of the meta-regression provided the population (fixed effect) meta-analyzed average effect of the ECCCYC condition, and the slope of the regression provided the average net difference between ECCCYC and CONCYC conditions. The second model included only the pre-to-post effect sizes of CONCYC to derivate the population’s meta-analyzed average effect of this condition. Random effects in the first model included the intercept and slope of each study for each time point in the case of repeated measures (i.e., each pair of CONCYC and ECCCYC effect sizes for each time point), the intercept and slope of each health condition of the participants, and the duration of the interventions (i.e., specific group-levels). For the second model, random effects were set for each effect size, the health condition of the participants, and the duration of the intervention identities (intercepts).
When the outcome provided more than ten included studies, a meta-regression with more than the two conditions as covariates was carried out [38]. Fixed effects (i.e., covariates) included the conditions (ECCCYC and CONCYC), the duration of the intervention (linear as days), the interaction conditions × duration of the intervention, and participants’ (linear as mL/kg/min). Random effects included the intercept, slope of condition, slope of intervention duration, and slope interaction conditions × duration of the intervention.
Weakly-informative Student’s t prior distributions (df = 3, µ = 0, and σ = 10) were used for fixed-effects models, and half Student’s t-distributions (df = 3 and σ = 10) were used for between-group-level variance effects (i.e., τ values). Model fitting was performed using Markov Chain Monte Carlo (MCMC) methods, more specifically, the No-U-Turn sampler (NUTS) implemented in Stan. For each model, four chains were run in parallel with 4000 iterations and a warm-up of 1000 iterations. The convergence of the models was verified with Gelman–Rubin diagnostics (R) [41].
To deal with repeated measures in the meta-analyses of studies with more than one effect for the same participant, variance-covariance matrices were calculated. When the information provided in the studies was insufficient to determine the correlation between the dependent effect sizes to perform the matrix calculation, a moderate coefficient of correlation (r = 0.50) was assumed between the effects derived from the same participants. Furthermore, sensitivity analyzes were also performed using the values of r = 0.30 and 0.70 in the calculation of matrices (see Supplementary Material Figure S1, which presents the results of sensitivity analyses). For meta-regressions in which the covariate was missing, we input the data during model fitting using a multivariate model as described elsewhere [42].
Heterogeneity between the effects and group levels was presented as SD (tau-τ). All posterior data generated by MCMC were reported as medians with two-tailed 95% credible intervals (CrI). Furthermore, considering the complete posterior distributions, the probability (in %) of the effect being greater than zero (p > 0) was presented; that is, the area of the posterior distribution located above zero. The area of the posterior distribution of pre-to-post training effect sizes located above zero indicates the probability of the training modality (i.e., CONCYC or ECCCYC), inducing an increase in the variable from pre-training measures. The area of the posterior distribution of net effects between training modalities located above zero indicates the probability of the CONCYC inducing a greater increase in the variable and vice versa.
3. Results
3.1. Study Selection
The literature search yielded a total of 992 results. A total of 628 titles and abstracts were screened after duplicate removal, and 105 full-text articles were read and assessed for eligibility. Four additional articles were retrieved from reference lists. A total of 14 articles were included in this review (Figure 1).
Figure 1.
Flow diagram of the selection process of eligible studies. Abbreviations: CONCYC—concentric cycling; ECCCYC—eccentric cycling.
3.2. Study Characteristics
Table 1 summarizes the main characteristics of the included studies. Most of the studies (57%) included in this systematic review recruited patients with cardiopulmonary diseases. Specifically, three studies recruited coronary artery disease patients [19,34,43], two studies enrolled chronic heart failure patients [18,44], and three studies reported data from chronic obstructive pulmonary disease patients [14,35,45]. Among the remaining studies, two have investigated the effects of ECCCYC and CONCYC training in healthy individuals [24,46], two recruited sedentary participants [23,25], one evaluated amateur cyclists [26], and one evaluated obese adolescents [20].
Table 1.
Study characteristics.
The training period adopted in the included studies ranged from 5 to 12 weeks (mode = 8 weeks), with weekly frequencies varying between 2 and 5 sessions per week (mode = 3 sessions per week). The duration of training sessions ranged between 10 and 30 min (mode = 30 min). Except for two studies [26,45], which used interval training sessions, all others used fixed-intensity sessions performed continuously (i.e., without rest intervals).
The intensity of ECCCYC and CONCYC training sessions of the studies included in this review was prescribed based on individuals’ rate of perceived exertion (RPE), heart rate (HR) corresponding to the ventilatory threshold, percentage of PPO, , or HRmax attained during the CONCYC incremental test and percentage of age-predicted HRmax. In 14% of the included studies, the intensity of the sessions was defined so that the participants of the two groups (i.e., ECCCYC and CONCYC) exercised at the same PO [23,25]; in 22% of the studies, the training intensity was chosen to match VO2 during the ECCCYC and CONCYC sessions [20,34,46]; and 36% of the studies set the intensity of both training groups to elicit the same relative HR [14,19,24,35,43]. Only two studies (14%) matched ECCCYC and CONCYC training intensity with the same RPE [26,45], and two studies (14%) prescribed training intensities based on safe RPE and HR values for the investigated population without establishing equalization criteria between groups [18,44].
3.3. Quality Assessment
The scores on the PEDro scale ranged from 3 to 8 points (mode = 6 points; mean = 6 points) (Table 2). Most studies (79%) included in this review presented “good” (i.e., 6–8 points) methodological quality, while two studies (14%) presented “fair” (i.e., 4–5 points) methodological quality and one study (7%) was rated with “poor” methodological quality [47]. Most studies (86%) included in this review were randomized controlled clinical trials, except for two studies [25,45], which adopted a quasi-randomized design, where participants were allocated into groups according to their forced expiratory air volume in the first second (FEV1) and age [45], and maximal isometric voluntary force of the knee extensor muscles [25]. None of the studies scored on criteria 5 and 6 of the scale (i.e., criteria related to blinding of subjects and therapists who administered the intervention, respectively). Blinding of assessors was performed in five studies, which scored at criterion 7 [14,19,20,35,44].
Table 2.
Physiotherapy Evidence Database (PEDro) score.
3.4. Meta-Analyses
3.4.1. Isometric Peak Torque (IPT)
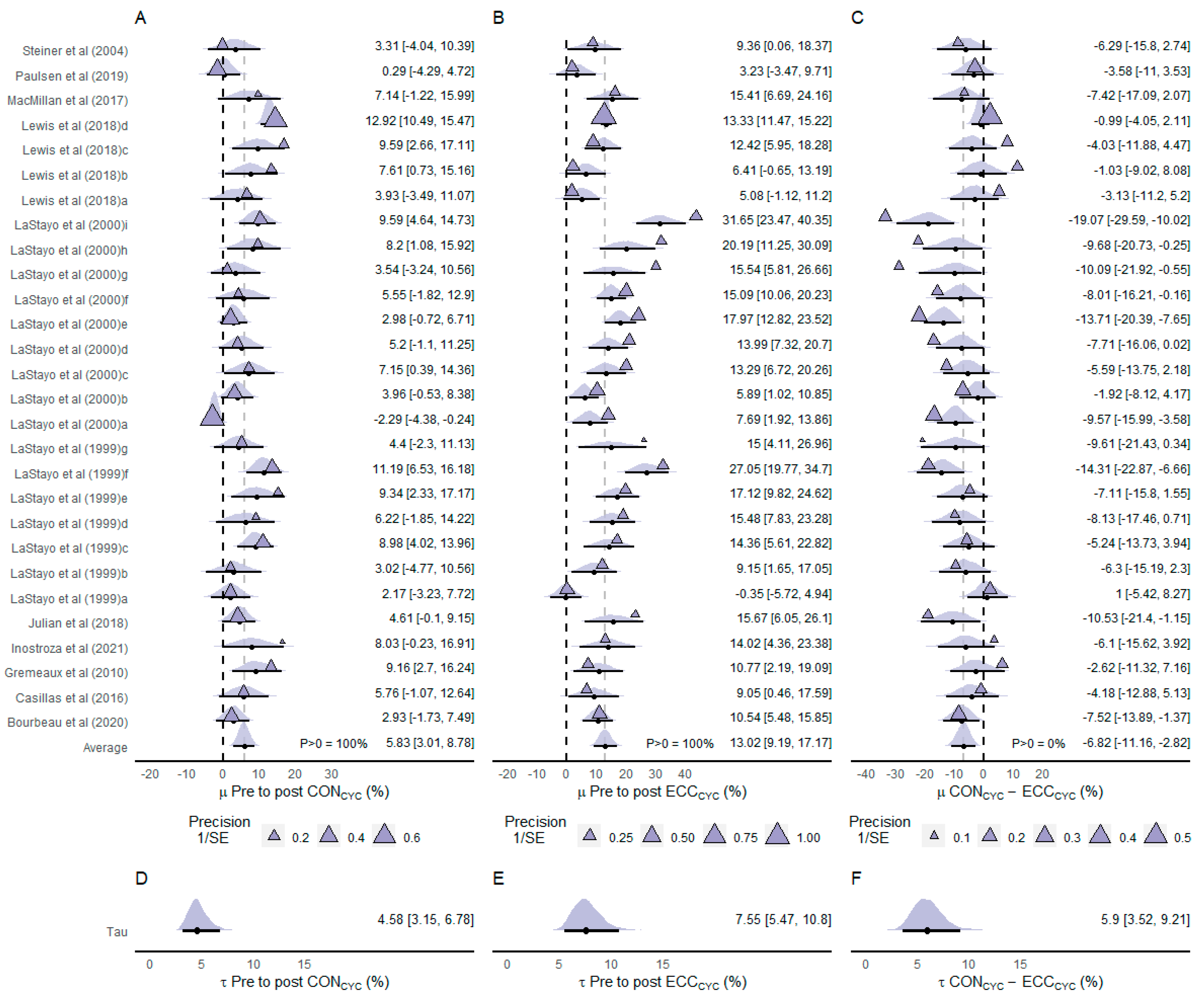
Eleven of the included studies assessed knee extensors IPT (n participants = 212) (Figure 2). The estimated average effect of the difference between pre- and post-CONCYC training IPT values showed that CONCYC was effective in improving IPT (µ = 5.83% [3.01%, 8.79%]; p > 0 = 100%) (Figure 2A). The estimated average effect of the difference between pre- and post-ECCCYC training also indicated that ECCCYC was effective in improving IPT (µ = 13.02% [9.19%, 17.17%]; p > 0 = 100%) (Figure 2B). The meta-analyzed net effect showed a more favorable effect of ECCCYC than CONCYC on IPT (µ = −6.82% [−11.16%, −2.82%]) (Figure 2C). The posterior density of the average net effect indicated no probability (p > 0 = 0%) of the CONCYC inducing greater improvements in IPT compared to ECCCYC training. The heterogeneity between CONCYC training effects was lower (τ = 4.58% [3.15%, 6.78%]; Figure 2D) than the heterogeneity between ECCCYC training effects (τ = 7.55% [5.47%, 10.8%]; Figure 2E) and heterogeneity between net effects (τ = 5.9% [3.52%, 9.21%]; Figure 2F).
Figure 2.
Forest plot of effect sizes (% mean difference) of CONCYC training (A), ECCCYC training (B), and net effect between training modalities (C) on isometric peak torque. Heterogeneity between effects of CONCYC training (D), ECCCYC training (E), and net effects (F). The densities represent model estimates (i.e., the posterior distribution). Black dots and whiskers are the posterior effect size median and 95% credible interval, respectively. The triangles are the studies’ observed mean effect sizes, and their sizes represent the precision of the effect, presented as the inverse of the standard error (1/SE), i.e., the larger the size of the triangle, the smaller the standard error. The letters a, b, c, and d in Lewis et al. (2018) [25] indicate assessments performed at different time points (after 3, 5, 7, and 8 weeks, respectively). The letters a, b, c, d, e, f, g, h, and i in LaStayo et al. (2000) [24] indicate assessments performed at different time points (after 1, 2, 3, 4, 5, 6, 7, 8, and 10 weeks, respectively). The letters a, b, c, d, e, f, and g in LaStayo et al. (1999) [46] indicate assessments performed at different time points (after 1, 2, 3, 4, 5, 6, and 7 weeks, respectively). Abbreviations: CONCYC—concentric cycling; ECCCYC—eccentric cycling. References: [14,19,20,24,25,26,34,35,44,45,46].
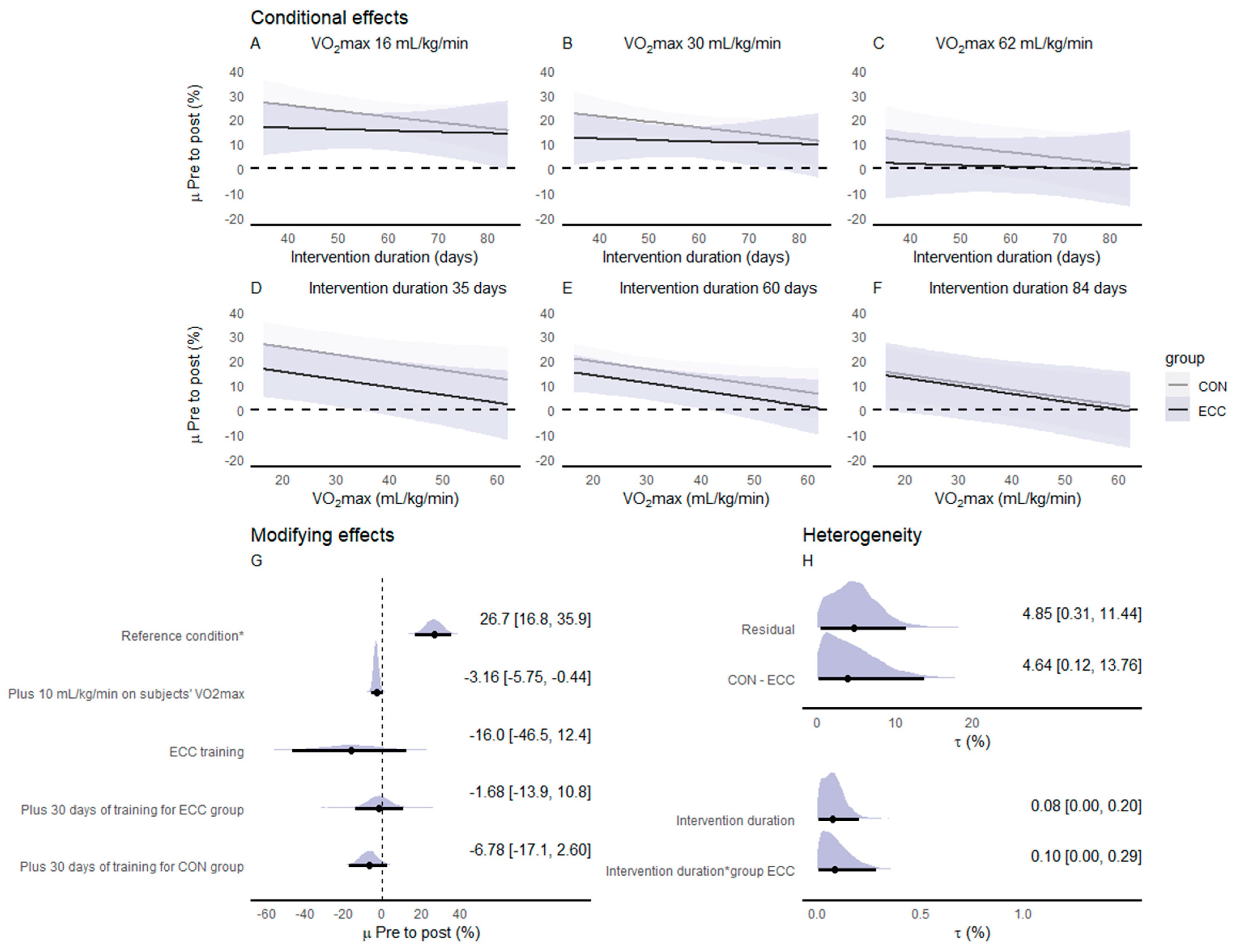
Figure 3 presents the conditional effects, the modifying effects, and the residual heterogeneity derived from the meta-regression. The effects on knee extensors IPT were modified mainly by the duration of the intervention. The meta-regression revealed that the difference between ECCCYC and CONCYC training effects on IPT becomes greater as the intervention duration increases. The aerobic fitness expressed as the relative (i.e., mL/kg/min) showed no important modification to the changes in IPT following the two types of cycling training. Small to moderate heterogeneity was observed in the meta-regression-derived effects.
Figure 3.
Meta-regression derived changes pre-to-post on CONCYC and ECCCYC conditions for isometric peak torque. Posterior medians with 95% credible intervals for conditional effects regarding the duration of the intervention adjusted for the minimum (A), mean (B), and maximum (C) values of . observed on subjects of included studies and for adjusted to the minimum (D), mean (E), and maximum (F) values of intervention duration observed in the included studies. Modifying effects (posterior median [95% credible intervals]) in relation to the reference condition * (G). Heterogeneity as standard deviations (tau) values for random effects included in the meta-regression (H). Abbreviations: CONCYC—concentric cycling; ECCCYC—eccentric cycling; —maximal oxygen uptake. * Reference condition adjusted to CONCYC, with 7 days of intervention, and subjects of 16 mL/kg/min.
3.4.2. Isokinetic Concentric Peak Torque (ICPT)
Four studies investigated the effects of ECCCYC and CONCYC training on knee extensors ICPT (n participants = 82) (see Supplementary Material Figure S2). The meta-analyzed average effect of pre-to-post CONCYC training effects indicated that CONCYC did not affect ICPT (µ = −0.92% [−9.42%, 6.51%]; p > 0 = 39.63%). On the other hand, the estimated average effect of pre-to-post ECCCYC training effects showed that ECCCYC was effective in improving ICPT (µ = 8.82% [−11.49%, 29.72%]; p > 0 = 83.33%). The meta-analyzed net effect showed a more favorable effect of ECCCYC than CONCYC training on ICPT (µ = −9.85% [−38.42%, 15.93%]). The posterior density of the average net effect indicated a low probability (p > 0 = 18.2%) of the CONCYC, inducing greater improvements in ICPT compared to ECCCYC training. The heterogeneity between pre-to-post CONCYC training effects was lower (τ = 3.62% [0.2%, 12.4%]) compared to heterogeneity between pre-to-post ECCCYC training effects (τ = 7.56% [0.35%, 27.8%]) and heterogeneity between net effects (τ = 6.79% [0.25%, 27.2%]).
Group-level effects of intervention duration indicated that CONCYC training protocols lasting 1 to 2 months impaired ICPT (µ = −2.13% [−13.6%, 6.1%]; p > 0 = 29.98%), while protocols lasting longer than 2 months did not affect ICPT (µ = −0.004% [−7.2%, 7.51%]; p > 0 = 49.9%). Group-level analysis of intervention duration indicated similar positive effects between ECCCYC training protocols lasting 1 to 2 months (µ = 8.8% [−12.5%, 31.3%]; p > 0 = 82.75%) and protocols lasting longer than 2 months (µ = 8.21% [−10.8%, 27.0%]; p > 0 = 85.23%). Considering the effect of intervention duration on the net effect between training modalities, the superiority in improving the ICPT of ECCCYC compared to CONCYC was pronounced in the studies with training protocols lasting 1 to 2 months (µ = −13.0% [−36.6%, 10.4%]; p > 0 = 10.53%) compared to those using protocols lasting longer than 2 months (µ = −6.74% [−27.2%, 11.8%]; p > 0 = 17.4%). There was low heterogeneity between group-level pre-to-post CONCYC effects of intervention duration (τ = 3.18% [0.16%, 14.2%]) and considerable heterogeneity between group-level pre-to-post ECCCYC effects (τ = 6.52% [0.35%, 33.2%]) and between group-level net effects (τ = 8.81% [0.33%, 38.4%]).
Group-level effects of the population showed that CONCYC training was similarly ineffective in improving the ICPT of obese adolescents (µ = −0.42% [−10.5%, 9.56%]; p > 0 = 45.63%) and patients with cardiopulmonary diseases (µ = −0.16% [−8.72%, 8.37%]; p > 0 = 47.6%), and may have been prejudicial to amateur cyclists (µ = −2.43% [−12.4%, 5.86%]; p > 0 = 27.08%). Moreover, the group-level analysis indicated similar positive effects of ECCCYC training in obese adolescents (µ = 12.7% [−9.23%, 34.0%]; p > 0 = 90.0%) and patients with cardiopulmonary diseases (µ = 13.0% [−7.15%, 32.8%]; p > 0 = 92.98%), while the estimated group-level effect for amateur cyclists indicated that ECCCYC training was ineffective in increasing ICPT (µ = −0.58% [−20.4%, 25.5%]; p > 0 = 47.85%). Group-level net effects of the population indicated that ECCCYC was more effective in improving ICPT than CONCYC training for all sub-groups, but the differences between training modalities were more pronounced in obese adolescents (µ = −12.3% [−40.7%, 13.7%]; p > 0 = 12.58%) and patients with cardiopulmonary diseases (µ = −12.4% [−38.2%, 13.2%]; p > 0 = 11.48%) compared to amateur cyclists (µ = −4.79% [−33.5%, 21.6%]; p > 0 = 32.1%). Low heterogeneity was found between group-level pre-to-post CONCYC effects of the population (τ = 3% [0.12%, 11.9%]), while considerable heterogeneity was found between group-level pre-to-post ECCCYC effects (τ = 10.6% [0.74%, 34.6%]) and between group-level net effects (τ = 7.53% [0.4%, 30%]).
3.4.3. Isokinetic Eccentric Peak Torque (IEPT)
Three of the included studies investigated the effects of ECCCYC and CONCYC training on knee extensors IEPT (n participants = 58) (see Supplementary Material Figure S3). The estimated average effect of the difference between pre- and post-CONCYC training IEPT values showed that CONCYC increased IEPT (µ = 2.26% [−1.55%, 5.83%]; p > 0 = 91.28%). The meta-analyzed average effect of the difference between pre- and post-ECCCYC training IEPT values also showed a positive effect of ECCCYC on IEPT (µ = 9.91% [4.47%, 14.66%]; p > 0 = 99.9%). The estimated net effect indicated that ECCCYC was more effective in increasing IEPT than CONCYC (µ = −9.17% [−16.33%, −2.16%]). Moreover, the posterior distribution of the average net effect showed a very low probability (p > 0 = 1.1%) of CONCYC inducing greater improvements in IEPT than ECCCYC training. The heterogeneity was low and similar between pre-to-post CONCYC training effects (τ = 1.19% [0.05%, 5.02%]), pre-to-post ECCCYC training effects (τ = 1.44% [0.06%, 5.83%]), and net effects (τ = 1.45% [0.08%, 6.75%]).
Group-level effects of intervention duration showed similar effects between CONCYC training protocols lasting 1 to 2 months (µ = 2.26% [−2.34%, 6.65%]; p > 0 = 86.93%) and protocols lasting longer than 2 months (µ = 2.25% [−1.27%, 5.45%]; p > 0 = 90.98%) on IEPT. Group-level analysis of intervention duration also indicated similar effects between ECCCYC training protocols lasting 1 to 2 months (µ = 9.64% [2.89%, 14.8%]; p > 0 = 99.55%) and protocols lasting longer than 2 months (µ = 11.1% [6.62%, 15.5%]; p > 0 = 100%). Similarly, group-level analysis of intervention duration indicated equivalent net effects between investigations using training protocols lasting 1 to 2 months (µ = −8.73% [−15.0%, −0.91%]; p > 0 = 1.68%) and protocols lasting longer than 2 months (µ = −9.26% [−14.9%, −3.81%]; p > 0 = 0.23%). The heterogeneity was low and similar between pre-to-post CONCYC training effects (τ = 1.32% [0.06%, 5.8%]), pre-to-post ECCCYC training effects (τ = 1.83% [0.09%, 7.24%]), and net effects (τ = 1.72% [0.08%, 7.59%]).
3.4.4. Vastus Lateralis Fiber Cross-Sectional Area (f-CSA)
Three of the included studies investigated the effects of ECCCYC and CONCYC training on f-CSA (n participants = 40) (see Supplementary Material Figure S4). The meta-analyzed average effect of the difference between pre- and post-CONCYC training f-CSA values indicated that CONCYC was effective in increasing f-CSA (µ = 14.54% [4.56%, 24.43%]; p > 0 = 99.48%). The estimated average effect of the difference between pre- and post-ECCCYC training also indicated that ECCCYC was effective in increasing f-CSA (µ = 13.87% [−9.5%, 38.18%]; p > 0 = 90.33%). The meta-analyzed net effect showed a more favorable effect of ECCCYC than CONCYC on f-CSA (µ = −2.55% [−38.51%, 32.68%]). The posterior density of the average net effect showed a slightly smaller probability (p > 0 = 43.7%) of CONCYC inducing greater increases in f-CSA compared to ECCCYC training. The heterogeneity between CONCYC training effects was lower (τ = 3.48% [0.18%, 14.0%]) compared to the heterogeneity between ECCCYC training effects (τ = 15.3% [2.58%, 38.1%]) and heterogeneity between net effects (τ = 16.7% [1.76%, 43.8%]), which were considerably high.
The estimated group-level effects of intervention duration indicated similar effects of CONCYC training protocols lasting 1 to 2 months (µ = 14.0% [2.99%, 24.8%]; p > 0 = 99.05%) and protocols lasting longer than 2 months (µ = 14.5% [1.46%, 28.1%]; p > 0 = 98.3%) on f-CSA. Moreover, group-level analyses showed greater increases in f-CSA following ECCCYC training protocols lasting 1 to 2 months (µ = 16.3% [−5.8%, 39.3%]; p > 0 = 93.78%) than following protocols lasting longer than 2 months (µ = 12.3% [−12.7%, 37.8%]; p > 0 = 86.53%). Group-level analyses of net effects indicated that investigations using training protocols lasting 1 to 2 months presented more favorable effects following ECCCYC than CONCYC (µ = −3.83% [−34.4%, 26.0%]; p > 0 = 38.43%), while those using protocols lasting longer than 2 months presented no difference between ECCCYC and CONCYC (µ = −0.43% [−35.8%, 34.6%]; p > 0 = 49.05%). The heterogeneity between group-level pre-to-post CONCYC effects was lower (τ = 3.54% [0.14%, 15.5%]) than the heterogeneity between ECCCYC training effects (τ = 7.13% [0.26%, 30.7%]) and the heterogeneity between net effects (τ = 8.13% [0.41%, 35.6%]).
3.4.5. Peak Power Output (PPO)
Ten of the included studies investigated the effects of ECCCYC and CONCYC training on PPO (n participants = 215) (Figure 4). The estimated average effect of the difference between pre- and post-CONCYC training PPO values indicated that CONCYC was effective in increasing PPO (µ = 16.8% [11.43%, 23.13%]; p > 0 = 100%) (Figure 4A). The average effect of the difference between pre- and post-ECCCYC training also indicated that ECCCYC was effective in increasing PPO (µ = 10.51% [5.36%, 16.12%]; p > 0 = 100%) (Figure 4B). The meta-analyzed net effect showed a more favorable effect of CONCYC than ECCCYC training on PPO (µ = 6.88% [2.34%, 11.02%]) (Figure 4C). The posterior distribution of the average net effect showed a greater probability (p > 0 = 99.55%) of the CONCYC inducing greater increases in PPO compared to ECCCYC training. There was considerable heterogeneity between CONCYC training effects (τ = 8.03% [4.92%, 14.0%]; Figure 4D) and between ECCCYC training effects (τ = 7.41% [4.71%, 13.0%]; Figure 4E) and moderate heterogeneity between net effects (τ = 4.44% [0.88%, 10.1%]; Figure 4F).
Figure 4.
Forest plot of effect sizes (% mean difference) of CONCYC training (A), ECCCYC training (B), and net effect between training modalities (C) on peak power output. Heterogeneity between effects of CONCYC training (D), ECCCYC training (E), and net effects (F). The densities represent model estimates (i.e., the posterior distribution). Black dots and whiskers are the posterior effect size median and 95% credible interval, respectively. The triangles are the studies’ observed mean effect sizes, and their sizes represent the precision of the effect, presented as the inverse of the standard error (1/SE), i.e., the larger the size of the triangle, the smaller the standard error. Abbreviations: CONCYC—concentric cycling; ECCCYC—eccentric cycling. References: [14,19,20,23,25,26,35,43,44,45].
Figure 5 presents the conditional effects, the modifying effects, and the residual heterogeneity derived from the meta-regression. The effects on PPO were modified mainly by the duration of the intervention and the subjects’ aerobic fitness expressed as the relative . The meta-regression revealed that the difference between ECCCYC and CONCYC effects on PPO becomes smaller as the intervention duration increases. Moreover, PPO changes following both training modalities were greater in subjects with lower relative values. Small to moderate heterogeneity was observed in the meta-regression-derived effects.
Figure 5.
Meta-regression-derived changes pre-to-post on CONCYC and ECCCYC conditions for the peak power output of an incremental test. Posterior medians with 95% credible intervals for conditional effects regarding the duration of the intervention adjusted for the minimum (A), mean (B), and maximum (C) values of . observed on subjects of the included studies and for adjusted to the minimum (D), mean (E), and maximum (F) values of intervention duration observed in the included studies. Modifying effects (posterior median [95% credible intervals]) in relation to the reference condition * (G). Heterogeneity as standard deviations (tau) values for random effects included in the meta-regression (H). Abbreviations: CONCYC—concentric cycling; ECCCYC—eccentric cycling; —maximal oxygen uptake. * Reference condition adjusted to CONCYC, with 35 days of intervention, and subjects of 16 mL/kg/min.
3.4.6. Maximal Oxygen Uptake ()
Nine of the included studies investigated the effects of ECCCYC and CONCYC training on (n participants = 189) (Figure 6). The meta-analyzed average effect of the difference between pre- and post-CONCYC training values indicated that CONCYC was effective in increasing (µ = 6.51% [0.52%, 12.34%]; p > 0 = 98.13%) (Figure 6A). Similarly, the estimated average effect of the difference between pre- and post-ECCCYC training values indicated that ECCCYC was effective in increasing (µ = 4.06% [−7.44%, 14.68%]; p > 0 = 79.5%) (Figure 6B). The meta-analyzed net effect showed that CONCYC was more effective in increasing than ECCCYC (µ = 1.64% [−11.6%, 13.51%]) (Figure 6C). The posterior distribution of the average net effect indicated a greater probability (p > 0 = 62.53%) of the CONCYC inducing greater improvements in compared to ECCCYC training. The heterogeneity was similar between pre-to-post CONCYC training effects (τ = 3.27% [0.23%, 8.61%]; Figure 6D), pre-to-post ECCCYC training effects (τ = 2.82% [0.13%, 10.8%]; Figure 6E), and net effects (τ = 2.99% [0.16%, 9.65%]; Figure 6F).
Figure 6.
Forest plot of effect sizes (% mean difference) of CONCYC training (A), ECCCYC training (B), and net effect between training modalities (C) on maximal oxygen uptake. Heterogeneity between effects of CONCYC training (D), ECCCYC training (E), and net effects (F). Group-level effects of intervention duration of CONCYC training (G), ECCCYC training (H), and net effect between training modalities (I) on maximal oxygen uptake. Heterogeneity between group-level effects of intervention duration of CONCYC training (J), ECCCYC training (K), and net effects (L). Group-level effects of the population of CONCYC training (M), ECCCYC training (N), and net effect between training modalities (O) on maximal oxygen uptake. Heterogeneity between group-level effects of the population of CONCYC training (P), ECCCYC training (Q), and net effects (R). The densities represent model estimates (i.e., the posterior distribution). Black dots and whiskers are the posterior effect size median and 95% credible interval, respectively. The triangles are the studies’ observed mean effect sizes, and, in panels a, b, and c, their sizes represent the precision of the effect, presented as the inverse of the standard error (1/SE), i.e., the larger the size of the triangle, the smaller the standard error. Abbreviations: CONCYC—concentric cycling; ECCCYC—eccentric cycling. References: [19,20,23,24,25,26,43,44,45].
Group-level effects of intervention duration showed similar effects of CONCYC training protocols lasting 1 to 2 months (µ = 6.86% [1.15%, 11.4%]; p > 0 = 98.8%) and protocols lasting longer than 2 months (µ = 5.91% [−1.06%, 11.4%]; p > 0 = 95.75%) on (Figure 6G). Group-level analysis showed similar effects of ECCCYC training protocols lasting 1 to 2 months (µ = 4.43% [−4.69%, 14.8%]; p > 0 = 84.23%) and protocols lasting longer than 2 months (µ = 3.30% [−7.49%, 13.0%]; p > 0 = 74.93%) (Figure 6H). Interestingly, group-level analysis of net effects showed that investigations using training protocols lasting 1 to 2 months presented more favorable effects following CONCYC than ECCCYC (µ = 2.98% [−5.91%, 11.2%]; p > 0 = 77%), but those using protocols lasting longer than 2 months presented no difference between cycling modalities (µ = −0.06% [−9.97%, 9.22%]; p > 0 = 49.5%) (Figure 6I). Small to moderate heterogeneity was found between pre-to-post CONCYC training effects (τ = 2.27% [0.09%, 10.40%]; Figure 6J), pre-to-post ECCCYC training effects (τ = 3.56% [0.15%, 18.0%]; Figure 6K), and net effects (τ = 4.46% [0.26%, 20.5%]; Figure 6L).
Group-level effects of the population showed that CONCYC training was effective in improving in sedentary individuals (µ = 8.77% [1.71%, 16.1%]; p > 0 = 99.1%), obese adolescents (µ = 8.39% [1.2%, 17.9%]; p > 0 = 98.8%), healthy individuals (µ = 2.36% [−12.6%, 10.7%]; p > 0 = 63.83%), patients with cardiopulmonary diseases (µ = 6.82% [0.29%, 12.9%]; p > 0 = 97.83%), and amateur cyclists (µ = 5.73% [−1.28%, 13.5%]; p > 0 = 95.3%), with sedentary and obese adolescents presenting the greatest improvements (Figure 6M). Group-level analysis indicated that ECCCYC training was effective in improving in obese adolescents (µ = 13.0% [−0.44%, 25.6%]; p > 0 = 97.2%), patients with cardiopulmonary diseases (µ = 8.26% [−2.39%, 17.0%]; p > 0 = 94.98%), and amateur cyclists (µ = 4.67% [−4.9%, 15.5%]; p > 0 = 86.6%), but was ineffective in sedentary (µ = −0.71% [−12.2%, 10.2%]; p > 0 = 42.75%) and may have prejudicial effects in healthy individuals (µ = −8.23% [−21.9%, 8.27%]; p > 0 = 16.68%) (Figure 6N). Group-level net effects on the population indicated that CONCYC was more effective in improving than ECCCYC training in sedentary participants (µ = 8.17% [−6.27%, 19.8%]; p > 0 = 89.58%), healthy individuals (µ = 1.68% [−14.4%, 15.8%]; p > 0 = 60.05%), and amateur cyclists (µ = 1.45% [−10.2%, 14.0%]; p > 0 = 62.45%). However, group-level net effects of the population indicated that ECCCYC was more effective in improving than CONCYC training in obese adolescents (µ = −1.10% [−14.9%, 12.2%]; p > 0 = 42.48%) and patients with cardiopulmonary diseases (µ = −2.17% [−15.6%, 8.85%]; p > 0 = 30.8%) (Figure 6O). There was moderate heterogeneity between pre-to-post CONCYC training effects (τ = 3.81% [0.18%, 11.5%]; Figure 6P) and considerable heterogeneity between pre-to-post ECCCYC training effects (τ = 9.12% [1.16%, 20.9%]; Figure 6Q) and net effects (τ = 5.98% [1.03%, 15.3%]; Figure 6R).
3.4.7. Six-Minute Walking Distance (6MWD)
Five of the included studies investigated the effects of ECCCYC and CONCYC training on 6MWD (n participants = 130) (Figure 7). The average effect of the pre-to-post training effects showed that both cycling modalities were effective in increasing 6MWD (CONCYC: µ = 8.21% [4.77%, 11.59%]; p > 0 = 99.95%, and ECCCYC: µ = 10.59% [6.88%, 14.72%]; p > 0 = 100%) (Figure 7A,B). The estimate net effect showed that ECCCYC was more effective in increasing 6MWD than CONCYC (µ = −1.98% [−7.82%, 4.09%]) (Figure 7C). The posterior density of the average net effect indicated a low probability (p > 0 = 22.5%) of the CONCYC inducing greater increases in 6MWD than ECCCYC training. The heterogeneity was similar between pre-to-post CONCYC training effects (τ = 1.06% [0.05%, 4.22%]; Figure 7D), pre-to-post ECCCYC training effects (τ = 1.18% [0.06%, 4.72%]; Figure 7E), and net effects (τ = 1.27% [0.06%, 5.49%]; Figure 7F).
Figure 7.
Forest plot of effect sizes (% mean difference) of CONCYC training (A), ECCCYC training (B), and net effect between training modalities (C) on six-minute walking distance. Heterogeneity between the effects of CONCYC training (D), ECCCYC training (E), and net effects (F). Group-level effects of intervention duration of CONCYC training (G), ECCCYC training (H), and net effect between training modalities (I) on six-minute walking distance. Heterogeneity between group-level effects of intervention duration of CONCYC training (J), ECCCYC training (K), and net effects (L). The densities represent model estimates (i.e., the posterior distribution). Black dots and whiskers are the posterior effect size median and 95% credible interval, respectively. The triangles are the studies’ observed mean effect sizes, and, in panels a, b, and c, their sizes represent the precision of the effect, presented as the inverse of the standard error (1/SE), i.e., the larger the size of the triangle, the smaller the standard error. Abbreviations: CONCYC—concentric cycling; ECCCYC—eccentric cycling. References: [14,18,19,44,45].
Group-level effects of intervention duration showed similar effects of CONCYC training protocols lasting 1 to 2 months (µ = 8.23% [5.48%, 10.9%]; p > 0 = 100%) and protocols lasting longer than 2 months (µ = 8.35% [4.11%, 13.0%]; p > 0 = 99.93%) on 6MWD (Figure 7G). Group-level analysis showed similar effects of ECCCYC training protocols lasting 1 to 2 months (µ = 10.6% [7.57%, 14.0%]; p > 0 = 100%) and protocols lasting longer than 2 months (µ = 10.4% [7.10%, 14.2%]; p > 0 = 100%) (Figure 7H). Group-level analysis of net effects showed that investigations using training protocols lasting 1 to 2 months presented a pronounced difference (µ = −2.14% [−6.40%, 1.96%]; p > 0 = 14.5%) between CONCYC and ECCCYC training responses compared to investigations using protocols lasting longer than 2 months (µ = −1.86% [−7.78%, 4.59%]; p > 0 = 26.45%) (Figure 7I). Small heterogeneity was observed between pre-to-post CONCYC training effects (τ = 1.31% [0.05%, 5.93%]; Figure 7J), pre-to-post ECCCYC training effects (τ = 1.39% [0.07%, 6.37%]; Figure 7K), and net effects (τ = 1.78% [0.09%, 8.15%]; Figure 7L).
3.4.8. Body Fat Percentage (BF%)
Three of the included studies investigated the effects of ECCCYC and CONCYC training on BF% (n participants = 50) (see Supplementary Material Figure S5). The estimated average effect of the pre-to-post training effects showed that CONCYC was effective in decreasing BF% (µ = −1.11% [−3.91%, 1.52%]; p > 0 = 13.58%), and also ECCCYC training (µ = −1.29% [−5.38%, 2.22%]; p > 0 = 20.18%). The meta-analyzed net effect indicated that CONCYC and ECCCYC training were similarly effective in decreasing BF% (µ = −0.11% [−4.14%, 4.88%]; p > 0 = 47.28%). The heterogeneity between pre-to-post ECCCYC training effects (τ = 2.23% [0.17%, 6.67%]) was slightly greater than the heterogeneity between pre-to-post CONCYC training effects (τ = 1.14% [0.06%, 4.49%]) and net effects (τ = 1.26% [0.05%, 5.14%]).
Group-level effects of intervention duration showed similar effects of CONCYC training protocols lasting 1 to 2 months (µ = −1.10% [−4.02%, 1.33%]; p > 0 = 11.65%) and protocols lasting longer than 2 months (µ = −1.13% [−3.92%, 0.81%]; p > 0 = 7.25%) on BF%. Group-level analysis indicated that ECCCYC training protocols lasting longer than 2 months (µ = −1.91% [−6.0%, 1.52%]; p > 0 = 9.48%) were more effective in decreasing BF% than protocols lasting 1 to 2 months (µ = −0.59% [−5.41%, 3.2%]; p > 0 = 35.78%). Group-level analysis of net effects showed that investigations using training protocols lasting 1 to 2 months presented more favorable effects following CONCYC than ECCCYC (µ = −0.85% [−3.73%, 3.19%]; p > 0 = 26.65%), but those using protocols lasting longer than 2 months presented more favorable effects following ECCCYC than CONCYC (µ = 0.44% [−2.51%, 3.60%]; p > 0 = 65.7%). Small heterogeneity was observed between pre-to-post CONCYC training effects (τ = 0.91% [0.05%, 4.96%]), pre-to-post ECCCYC training effects (τ = 1.50% [0.09%, 6.14%]), and net effects (τ = 1.50% [0.10%, 6.18%]).
4. Discussion
The main aim of the present systematic review was to provide accurate estimates of the differences between ECCCYC and CONCYC training effects on performance, physiological, and morphological parameters. The meta-analytic results showed that ECCCYC training was more effective in increasing IPT (µ = −7% [95% CrI −11%, −3%]), ICPT (µ = −10% [95% CrI −38%, 16%]), IEPT (µ = −9% [95% CrI −16%, −2%]), f-CSA (µ = −3% [95% CrI −39%, 33%]), and 6MWD (µ = −2% [95% CrI −8%, 4%]), similarly effective in decreasing BF% (µ = 0% [95% CrI −4%, 5%]), and less effective in increasing PPO (µ = 7% [95% CrI 2%, 11%]) and (µ = 2% [95% CrI −12%, 14%]) compared to CONCYC training. Despite similar or lesser effectiveness of ECCCYC compared to CONCYC in improving a few variables analyzed in this review, the posterior densities of ECCCYC training effects revealed high probabilities (80–100%) of this modality affecting all the investigated variables positively. Hence, ECCCYC training can be considered a feasible exercise modality for improving parameters related to muscle strength and hypertrophy, aerobic power, exercise tolerance, and body fat content, with advantages in improving strength variables compared to CONCYC.
It is well established that the high levels of force produced during eccentric contractions constitute an optimal stimulus for muscle strength development [3,48]. Moreover, evidence suggests that strength gains induced by eccentric exercises are very specific to the type of contraction as well as the movement velocity produced during training sessions [3]. In the meta-analysis published by Roig et al. [3], they compared the effects of eccentric and concentric training on muscle strength, and it was found that eccentric training was more effective in improving total strength (i.e., an average of isometric, concentric, and eccentric maximal force) and eccentric strength, but not concentric and isometric strength. Our results corroborate with previous literature reporting strength adaptations following eccentric and concentric training and showing greater effectiveness of ECCCYC compared to CONCYC in increasing muscle strength. It is important to emphasize that, in most of the studies included in the meta-analyses of strength variables, the workload used during ECCCYC was greater than that used during CONCYC training sessions, which may explain the superior strength gains observed for ECCCYC compared to CONCYC [1,3]. Furthermore, we found greater effectiveness of ECCCYC in improving muscle strength from all modes of contraction (i.e., isometric, concentric, and eccentric), which contradicts previous results suggesting poor transferability of strength gains induced by eccentric exercises to different types of contraction [3,49,50]. Nevertheless, the posterior distribution of average net effects on IPT, ICPT, and IEPT indicated probabilities of 82% to 100% of ECCCYC inducing greater improvements in muscle strength than CONCYC training. Moreover, there was evidence that the superiority of ECCCYC in increasing IPT compared to CONCYC training becomes greater as intervention duration increases. Therefore, the existing data indicate that the prescription of ECCCYC aiming to develop locomotor muscle strength is more advantageous in comparison to CONCYC training.
Previous systematic reviews indicated that eccentric exercise might generate greater muscle hypertrophy than concentric exercise due to the greater mechanical tension imposed on muscle fibers during eccentric actions [3,51]. Accordingly, the present results showed that ECCCYC was more effective than CONCYC training in increasing f-CSA. It is important to note that the estimated average effect showed a small difference (µ = −3%) between changes induced by ECCCYC and CONCYC and similar probabilities for each modality to induce greater changes than the other (i.e., 44% of probability of the CONCYC being more effective and 56% of probability of the ECCCYC being more effective). A possible explanation for the discrepancy observed between the results of the present study (which indicate a small difference between muscle hypertrophy induced by ECCCYC vs. CONCYC training), and the current literature (which suggests the superiority of eccentric contractions in producing muscle hypertrophy) could be the distinctive characteristics of muscle remodeling to eccentric and concentric muscle overloading [52]. It has been shown that changes in muscle size are associated with changes in f-CSA following concentric exercises, but muscle growth may occur without significant changes in f-CSA following eccentric exercises. Instead, muscle hypertrophy following eccentric exercises may occur through increased sarcomere length and/or the addition of sarcomeres in series [21,52,53,54]. Unfortunately, the only measurement of muscle hypertrophy that was possible to meta-analyze was f-CSA due to the lack of use of more reliable methods to evaluate muscle size (e.g., magnetic resonance image, computerized tomography, or ultrasonography) in investigations assessing muscle hypertrophy following ECCCYC and CONCYC. Hence, more studies are needed to establish the effectiveness of ECCCYC in inducing muscle hypertrophy in comparison to CONCYC.
Unlike most eccentric exercise modalities, ECCCYC is performed at submaximal intensities, with large muscles working continuously for long periods (~10 to 30 min) [12]. Hence, in addition to the potent adaptive stimulus provided by lengthening contractions to the neuromuscular system [1], it has been suggested that ECCCYC may also induce aerobic adaptations [16,22,55]. Our study provides novel information showing that the difference between ECCCYC and CONCYC training effects (i.e., net effect) on is small (µ = 2%), with CONCYC being slightly more effective than ECCCYC. The meta-analysis of pre-to-post training effects showed 7% [95% CrI 0.5%, 12%] and 4% [95% CrI −7%, 15%] average increases in following CONCYC and ECCCYC training, respectively, which suggests that ECCCYC can also positively affect aerobic fitness. Indeed, we found that enhancement is quite likely (80% of probability) following ECCCYC training. Interestingly, group-level analysis of the population revealed greater probabilities of patients with cardiopulmonary disease (p < 0 = 69%) and obese adolescents (p < 0 = 58%) to benefit from greater increases in following ECCCYC compared to CONCYC training, while the estimated posterior densities for healthy individuals, amateur cyclists and sedentary participants showed smaller probabilities of greater increases in following ECCCYC compared to CONCYC training (p < 0 = 40%, 38%, and 10%, respectively). It is important to note that ECCCYC and CONCYC training protocols adopted in studies using sedentary participants were performed at the same PO [23,25], whereas the remaining sub-groups of group-level analysis of the population used ECCCYC and CONCYC training protocols performed at the same relative HR [19,24], at the same VO2 [20,43], or similar RPE [26,44,45]. Thus, as previously discussed in the literature [22], ECCCYC sessions performed at the same PO as CONCYC sessions may produce an insufficient stimulus to improve the aerobic capacity of some populations since ECCCYC would be performed at a lower metabolic demand in such a condition.
The only meta-analyzed variable in this study for which CONCYC training induced considerably greater increases compared to ECCCYC was PPO. The results showed that the changes in PPO induced by CONCYC were 7% [95% CrI 2%, 11%] greater than the changes induced by ECCCYC training. Moreover, the posterior distribution of the estimated average effect indicated a 100% of probability of the CONCYC being more effective than ECCCYC in improving PPO. However, the meta-analysis of pre-to-post training effects showed an average increase of 11% [95% CrI 5%, 16%] following ECCCYC training, with a posterior probability of 100% of ECCCYC inducing a positive effect on PPO. Moreover, the meta-regression of conditional effects on PPO revealed an important effect of intervention duration in the difference between training modalities, which decreases as intervention duration increases. In other words, the effectiveness of the modalities in improving PPO tends to be similar as intervention duration increases. This may be associated with long-lasting muscle remodeling and delayed manifestation of gains in concentric muscle power following eccentric training regimens [56,57,58]. Nevertheless, the results obtained in the present study indicate that ECCCYC can increase PPO achieved during a CONCYC incremental test, but it is less effective than CONCYC training in increasing this variable.
One of the most discussed applications of ECCCYC is its implementation into exercise programs for special populations (i.e., frail individuals and patients with chronic diseases) [12,13]. In this context, the improvement in functional capacity is one of the main objectives of the exercise intervention. The distance covered in the six-minute walking test is an important measure of functional capacity and is associated with quality of life and longevity in older individuals and patients with chronic diseases [59]. The obtained data indicate that ECCCYC training induces greater increases of 6MWD compared to CONCYC training. Although the estimated difference between changes induced by ECCCYC and CONCYC on 6MWD was small (µ = 2%), the posterior distribution of the average population effect revealed a higher probability (p < 0 = 78%) of ECCCYC training inducing a greater increase in 6MWD compared to CONCYC. The meta-analyses of pre-to-post training effects showed an average increase in 6MWD of 11% [95% CrI 7%, 15%] versus 8% [95% CrI 5%, 12%] following ECCCYC and CONCYC training, respectively, with both modalities presenting high probabilities of being effective in increasing 6MWD. However, most studies included in the meta-analysis of 6MWD effects reported lower cardiovascular burden [18,44,45] and lower sensation of dyspnea [14,45] during ECCCYC compared to CONCYC training sessions. This can be considered an important advantage of ECCCYC interventions for exercise treatment of clinical populations. Importantly, all studies included in the meta-analysis of 6MWD effects involved patients with cardiopulmonary diseases. Therefore, the present evidence supports the utilization of ECCCYC training for the development of functional capacity in patients with cardiopulmonary diseases.
The reduction in body fat content is an important outcome in the treatment of chronic diseases and obesity [60]. For this purpose, aerobic exercises such as running and CONCYC are widely utilized [30]. The results of this study showed that ECCCYC training may be as effective as CONCYC training in reducing body fat percentage. The pre-to-post training average effects showed that both cycling modes induced ~1% reductions in BF%. The studies included in the meta-analysis of BF% effects were conducted with obese adolescents [20] and patients with cardiopulmonary diseases [34,35]. Thus, it is still unknown if ECCCYC is effective in decreasing BF% in healthy, active individuals. It has been suggested that metabolic substrate utilization during eccentric exercise differs from concentric exercise, with increased fat oxidation rate and reduced glucose utilization during eccentric modalities [61]. Conversely, there is evidence showing similar utilization of energetic substrate between ECCCYC and CONCYC sessions when performed at the same VO2 [62]. The studies included in the analysis of BF% changes involved ECCCYC and CONCYC interventions performed with similar metabolic demands (i.e., VO2), which may be an important factor influencing the magnitude of BF% changes following ECCCYC [22]. To date, it is unclear whether ECCCYC is effective in decreasing BF% of all types of the population, but the present data support its utilization, at least for obese adolescents and patients with cardiopulmonary diseases.
5. Limitations
Some limitations should be considered when interpreting the current findings. The number of studies included in the meta-analysis of ICPT, IEPT, f-CSA, and BF% effects was small (4, 3, 3, and 3 studies, respectively), which may have affected the accuracy of the estimates of combined effects (i.e., average population effect) [63]. Moreover, the studies included in this review were conducted with different populations and training protocols. Thus, meta-regressions and group-level analyses were conducted to verify the impact of the population and intervention characteristics on effect sizes. However, meta-regression analyses were only possible for two variables (i.e., IPT and PPO), with and intervention duration as covariates, and group-level analyses were conducted considering the healthy condition of the participants and intervention duration as random effects. Hence, it was not possible to verify the impact of other populations and intervention characteristics in the chronic adaptations to ECCCYC compared to CONCYC, such as the sex of the participants or the intensity used during training. Due to scarce evidence on the mechanisms underpinning the chronic adaptations to ECCCYC, it was necessary to interpret and discuss some of our results in light of evidence from other eccentric exercise modalities. Additionally, there is a lack of studies investigating the chronic effects of ECCCYC in trained athletes and healthy, active individuals.
6. Future Perspectives
Currently, the positive benefits of eccentric exercise modalities in improving strength and muscle mass in different populations are widely recognized [2,3,10,12,51]. The present data extend our knowledge on the possible applications of eccentric muscle work, indicating that ECCCYC training may be used as a time-effective modality to improve distinctive performance, physiological, and morphological parameters. The results of this study also indicate that the effectiveness of ECCCYC training in inducing different adaptations, such as improving neuromuscular function and aerobic power at the same time, may be influenced by the fitness level of the participants and the intensity of the exercise sessions. Due to the unique force production-to-energy demand relationship of ECCCYC, the metabolic disturbances during low-demanding ECCCYC sessions (e.g., ECCCYC sessions performed at the same PO of CONCYC) may not be sufficient to trigger aerobic adaptations in sedentary individuals [25]. On the other hand, ECCCYC prescribed at a metabolic load similar to that elicited by CONCYC training was effective in improving both neuromuscular function and aerobic power parameters in clinical patients [19,43,45]. Future investigations should address the impact of different training intensities in the adaptations promoted by ECCCYC training in distinct populations to optimize ECCCYC prescription and individualization.
7. Conclusions
The current evidence indicates that ECCCYC is a feasible modality for exercise interventions aiming to improve parameters of muscle strength, hypertrophy, functional capacity, aerobic power, as well as body composition, with greater effectiveness than CONCYC training in improving strength-related variables. Additionally, ECCCYC may be more advantageous than CONCYC training in improving the aerobic power of patients with cardiopulmonary diseases. Therefore, ECCCYC training can be integrated as a time-effective modality in exercise interventions aiming to improve key physical/physiological parameters associated with good quality of life and healthy aging, such as leg muscle strength, aerobic power, and whole-body fat content. Furthermore, ECCCYC constitutes a feasible alternative to CONCYC for exercise treatment of patients with cardiopulmonary disease given its tolerability and greater effectiveness.
Supplementary Materials
The following supporting information can be downloaded at: https://www.mdpi.com/article/10.3390/ijerph20042861/s1, Figure S1: Sensitivity analyses; Figure S2: Forest plot of effect sizes on isokinetic concentric torque; Figure S3: Forest plot of effect sizes on isokinetic eccentric torque; Figure S4: Forest plot of effect sizes on fiber cross-sectional area; Figure S5: Forest plot of effect sizes on body fat percentage.
Author Contributions
R.V.B. had the idea for the article. R.V.B. and L.C.R.d.L. performed the literature search. F.K.B. conducted the data analyses. R.V.B., L.C.R.d.L., F.K.B., R.D.d.L. and B.S.D. drafted and critically revised the work. All authors have read and agreed to the published version of the manuscript.
Funding
This study was financed in part by the Coordenação de Aperfeiçoamento de Pessoal de Nível Superior—Brasil (CAPES)—Finance Code 001.
Institutional Review Board Statement
Not applicable.
Informed Consent Statement
Not applicable.
Data Availability Statement
The data that support the findings of this study are available from the corresponding author upon reasonable request.
Conflicts of Interest
The authors declare no conflict of interest.
References
- Douglas, J.; Pearson, S.; Ross, A.; Mcguigan, M. Eccentric Exercise: Physiological Characteristics and Acute Responses. Sport. Med. 2017, 47, 663–675. [Google Scholar] [CrossRef] [PubMed]
- Hedayatpour, N.; Falla, D. Physiological and Neural Adaptations to Eccentric Exercise: Mechanisms and Considerations for Training. Biomed. Res. Int. 2015, 2015, 193741. [Google Scholar] [CrossRef]
- Roig, M.; O’brien, K.; Kirk, G.; Murray, R.; McKinnon, P.; Shadgan, B.; Reid, W.D. The effects of eccentric versus concentric resistance training on muscle strength and mass in healthy adults: A systematic review with meta-analysis. Br. J. Sport. Med. 2019, 43, 556–568. [Google Scholar] [CrossRef] [PubMed]
- Murphy, M.C.; Travers, M.J.; Chivers, P.; Debenham, J.R.; Docking, S.I.; Rio, E.K.; Gibson, W. Efficacy of heavy eccentric calf training for treating mid-portion Achilles tendinopathy: A systematic review and meta-analysis. Br. J. Sport. Med. 2019, 53, 1070–1077. [Google Scholar] [CrossRef] [PubMed]
- Yoon, S.Y.; Kim, Y.W.; Shin, I.S.; Kang, S.; Moon, H.I.; Lee, S.C. The Beneficial Effects of Eccentric Exercise in the Management of Lateral Elbow Tendinopathy: A Systematic Review and Meta-Analysis. J. Clin. Med. 2021, 10, 3968. [Google Scholar] [CrossRef] [PubMed]
- Yu, J.; Park, D.; Lee, G. Effect of eccentric strengthening on pain, muscle strength, endurance, and functional fitness factors in male patients with achilles tendinopathy. Am. J. Phys. Med. Rehabil. 2013, 92, 68–76. [Google Scholar] [CrossRef]
- Lepley, L.K.; Lepley, A.S.; Onate, J.A.; Grooms, D.R. Eccentric Exercise to Enhance Neuromuscular Control. Sport. Health 2017, 9, 333–340. [Google Scholar] [CrossRef]
- Al Attar, W.S.A.; Soomro, N.; Sinclair, P.J.; Pappas, E.; Sanders, R.H. Effect of Injury Prevention Programs that Include the Nordic Hamstring Exercise on Hamstring Injury Rates in Soccer Players: A Systematic Review and Meta-Analysis. Sport. Med. 2017, 47, 907–916. [Google Scholar] [CrossRef]
- Croisier, J.L.; Forthomme, B.; Namurois, M.H.; Vanderthommen, M.; Crielaard, J.M. Hamstring muscle strain recurrence and strength performance disorders. Am. J. Sport. Med. 2002, 30, 199–203. [Google Scholar] [CrossRef]
- Gerber, J.P.; Marcus, R.L.; Dibble, L.E.; Greis, P.E.; Burks, R.T.; LaStayo, P.C. Safety, feasibility, and efficacy of negative work exercise via eccentric muscle activity following anterior cruciate ligament reconstruction. J. Orthop. Sport. Phys. Ther. 2007, 37, 10–18. [Google Scholar] [CrossRef]
- Gerber, J.P.; Marcus, R.L.; Dibble, L.E.; Greis, P.E.; Burks, R.T.; LaStayo, P.C. Effects of early progressive eccentric exercise on muscle size and function after anterior cruciate ligament reconstruction: A 1-year follow-up study of a randomized clinical trial. Phys. Ther. 2009, 89, 51–59. [Google Scholar] [CrossRef] [PubMed]
- Hoppeler, H. Moderate load eccentric exercise: A distinct novel training modality. Front. Physiol. 2016, 7, 483. [Google Scholar] [CrossRef] [PubMed]
- LaStayo, P.; Marcus, R.; Dibble, L.; Frajacomo, F.; Lindstedt, S. Eccentric exercise in rehabilitation: Safety, feasibility, and application. J. Appl. Physiol. 2014, 116, 1426–1434. [Google Scholar] [CrossRef] [PubMed]
- Bourbeau, J.; De Sousa Sena, R.; Taivassalo, T.; Richard, R.; Jensen, D.; Baril, J.; Vieira, D.S.R.; Perrault, H. Eccentric versus conventional cycle training to improve muscle strength in advanced COPD: A randomized clinical trial. Respir. Physiol. Neurobiol. 2020, 276, 103414. [Google Scholar] [CrossRef] [PubMed]
- LaStayo, P.C.; Ewy, G.A.; Pierotti, D.D.; Johns, R.K.; Lindstedt, S. The positive effects of negative work: Increased muscle strength and decreased fall risk in a frail elderly population. J. Gerontol. A Biol. Sci. Med. Sci. 2003, 58, M419–M424. [Google Scholar] [CrossRef] [PubMed]
- Mueller, M.; Breil, F.A.; Vogt, M.; Steiner, R.; Lippuner, K.; Popp, A.; Klossner, S.; Hoppeler, H.; Däpp, C. Different response to eccentric and concentric training in older men and women. Eur. J. Appl. Physiol. 2009, 107, 145–153. [Google Scholar] [CrossRef] [PubMed]
- Elmer, S.J.; Madigan, M.L.; LaStayo, P.C.; Martin, C. Joint-specific power absorption during eccentric cycling. Clin. Biomech. 2010, 25, 154–158. [Google Scholar] [CrossRef]
- Besson, D.; Joussain, C.; Gremeaux, V.; Morisset, C.; Laurent, Y.; Casillas, J.-M.; Laroche, D. Eccentric training in chronic heart failure: Feasibility and functional effects. Results of a comparative study. Ann. Phys. Rehabil. Med. 2013, 56, 30–40. [Google Scholar] [CrossRef]
- Gremeaux, V.; Duclay, J.; Deley, G.; Philipp, J.; Laroche, D.; Pousson, M.; Casillas, J.-M. Does eccentric endurance training improve walking capacity in patients with coronary artery disease? A randomized controlled pilot study. Clin. Rehabil. 2010, 24, 590–599. [Google Scholar] [CrossRef]
- Julian, V.; Thivel, D.; Miguet, M.; Pereira, B.; Costes, F.; Coudeyre, E.; Duclos, M.; Richard, R. Eccentric cycling is more efficient in reducing fat mass than concentric cycling in adolescents with obesity. Scand. J. Med. Sci. Sport. 2019, 29, 4–15. [Google Scholar] [CrossRef]
- Mueller, M.; Breil, F.A.; Lurman, G.; Klossner, S.; Flück, M.; Billeter, R.; Däpp, C.; Hoppeler, H. Different molecular and structural adaptations with eccentric and conventional strength training in elderly men and women. Gerontology 2011, 57, 528–538. [Google Scholar] [CrossRef] [PubMed]
- Barreto, R.V.; Lima, L.C.R.; Denadai, B.S. Moving forward with backward pedaling: A review on eccentric cycling. Eur. J. Appl. Physiol. 2020, 121, 381–407. [Google Scholar] [CrossRef] [PubMed]
- Huang, Y.C.; Cheng, M.L.; Tang, H.Y.; Huang, C.Y.; Chen, K.M.; Wang, J.S. Eccentric Cycling Training Improves Erythrocyte Antioxidant and Oxygen Releasing Capacity Associated with Enhanced Anaerobic Glycolysis and Intracellular Acidosis. Antioxidants 2021, 10, 285. [Google Scholar] [CrossRef] [PubMed]
- LaStayo, P.C.; Pierotti, D.J.; Pifer, J.; Hoppeler, H.; Lindstedt, S.L. Eccentric ergometry: Increases in locomotor muscle size and strength at low training intensities. Am. J. Physiol. Regul. Integr. Comp. Physiol. 2000, 278, R1282–R1288. [Google Scholar] [CrossRef]
- Lewis, M.C.; Peoples, G.E.; Groeller, H.; Brown, M.A. Eccentric cycling emphasising a low cardiopulmonary demand increases leg strength equivalent to workload matched concentric cycling in middle age sedentary males. J. Sci. Med. Sport 2018, 21, 1238–1243. [Google Scholar] [CrossRef]
- Paulsen, G.; Eidsheim, H.Ø.; Helland, C.; Seynnes, O.; Solberg, P.A.; Rønnestad, B.R. Eccentric cycling does not improve cycling performance in amateur cyclists. PLoS ONE 2019, 14, e0208452. [Google Scholar] [CrossRef]
- Touron, J.; Costes, F.; Coudeyre, E.; Perrault, H.; Richard, R. Aerobic Metabolic Adaptations in Endurance Eccentric Exercise and Training: From Whole Body to Mitochondria. Front. Physiol. 2021, 11, 596351. [Google Scholar] [CrossRef]
- Garvey, C.; Bayles, M.P.; Hamm, L.F.; Hill, K.; Holland, A.; Limberg, T.M.; Spruit, M.A. Pulmonary Rehabilitation Exercise Prescription in Chronic Obstructive Pulmonary Disease: Review of Selected Guidelines: An Official Statement from The American Association of Cardiovascular and Pulmonary Rehabilitation. J. Cardiopulm. Rehabil. Prev. 2016, 36, 75–83. [Google Scholar] [CrossRef]
- Vanhees, L.; Rauch, B.; Piepoli, M.; van Buuren, F.; Takken, T.; Börjesson, M.; Bjarnason-Wehrens, B.; Doherty, P.; Dugmore, D.; Halle, M.; et al. Importance of characteristics and modalities of physical activity and exercise in the management of cardiovascular health in individuals with cardiovascular disease (Part III). Eur. J. Prev. Cardiol. 2012, 19, 1333–1356. [Google Scholar] [CrossRef]
- Donnelly, J.E.; Blair, S.N.; Jakicic, J.M.; Manore, M.M.; Rankin, J.W.; Smith, B.K.; American College of Sports Medicine. American College of Sports Medicine Position Stand. Appropriate physical activity intervention strategies for weight loss and prevention of weight regain for adults. Med. Sci. Sport. Exerc. 2009, 41, 459–471. [Google Scholar] [CrossRef]
- Page, M.J.; McKenzie, J.E.; Bossuyt, P.M.; Boutron, I.; Hoffmann, T.C.; Mulrow, C.D.; Shamseer, L.; Tetzlaff, J.M.; Akl, E.A.; Brennan, S.E.; et al. The PRISMA 2020 statement: An updated guideline for reporting systematic reviews. BMJ 2021, 372, n71. [Google Scholar] [CrossRef] [PubMed]
- Dufour, S.P.; Doutreleau, S.; Lonsdorfer-Wolf, E.; Lampert, E.; Hirth, C.; Piquard, F.; Lonsdorfer, J.; Geny, B.; Mettauer, B.; Richard, R. Deciphering the metabolic and mechanical contributions to the exercise-induced circulatory response: Insights from eccentric cycling. Am. J. Physiol. Regul. Integr. Comp. Physiol. 2007, 292, R1641–R1648. [Google Scholar] [CrossRef]
- Perrey, S.; Betik, A.; Candau, R.; Rouillon, J.D.; Hughson, R.L. Comparison of oxygen uptake kinetics during concentric and eccentric cycle exercise. J. Appl. Physiol. 2001, 91, 2135–2142. [Google Scholar] [CrossRef] [PubMed]
- Steiner, R.; Meyer, K.; Lippuner, K.; Schmid, J.P.; Saner, H.; Hoppeler, H. Eccentric endurance training in subjects with coronary artery disease: A novel exercise paradigm in cardiac rehabilitation? Eur. J. Appl. Physiol. 2004, 91, 572–578. [Google Scholar] [CrossRef]
- MacMillan, N.J.; Kapchinsky, S.; Konokhova, Y.; Gouspillou, G.; Sena, R.D.S.; Jagoe, R.T.; Baril, J.; Carver, T.E.; Andersen, R.E.; Richard, R.; et al. Eccentric Ergometer Training Promotes Locomotor Muscle Strength but Not Mitochondrial Adaptation in Patients with Severe Chronic Obstructive Pulmonary Disease. Front. Physiol. 2017, 8, 114. [Google Scholar] [CrossRef] [PubMed]
- Ouzzani, M.; Hammady, H.; Fedorowicz, Z.; Elmagarmid, A. Rayyan—A web and mobile app for systematic reviews. Syst. Rev. 2016, 5, 210. [Google Scholar] [CrossRef] [PubMed]
- Maher, C.G.; Sherrington, C.; Herbert, R.D.; Moseley, A.M.; Elkins, M. Reliability of the PEDro scale for rating quality of randomized controlled trials. Phys. Ther. 2003, 83, 713–721. [Google Scholar] [CrossRef] [PubMed]
- Higgins, J.P.T.; Thomas, J. Cochrane Handbook for Systematic Reviews of Interventions, 2nd ed.; John Wiley & Sons: London, UK, 2021. [Google Scholar]
- Bürkner, P.C. brms: An R package for Bayesian multilevel models using Stan. J. Stat. Softw. 2017, 80, 1–28. [Google Scholar] [CrossRef]
- Gelman, A.; Lee, D.; Guo, J. Stan. J. Educ. Behav. Stat. 2015, 40, 530–543. [Google Scholar] [CrossRef]
- Gelman, A.; Rubin, D.B. Inference from iterative simulation using multiple sequences. Stat. Sci. 1992, 7, 457–472. [Google Scholar] [CrossRef]
- Bürkner, P.C. Handle Missing Values with brms. In The Comprehensive R Archive Network. 2021. Available online: https://cran.r-project.org/web/packages/brms/vignettes/brms_missings.html (accessed on 12 May 2022).
- Meyer, K.; Steiner, R.; Lastayo, P.; Lippuner, K.; Allemann, Y.; Eberli, F.; Schmid, J.; Saner, H.; Hoppeler, H. Eccentric exercise in coronary patients: Central hemodynamic and metabolic responses. Med. Sci. Sport. Exerc. 2003, 35, 1076–1082. [Google Scholar] [CrossRef] [PubMed]
- Casillas, J.M.; Besson, D.; Hannequin, A.; Gremeaux, V.; Morisset, C.; Tordi, N.; Laurent, Y.; Laroche, D. Effects of an eccentric training personalized by a low rate of perceived exertion on the maximal capacities in chronic heart failure: A randomized controlled trial. Eur. J. Phys. Rehabil. Med. 2016, 52, 159–168. [Google Scholar] [PubMed]
- Inostroza, M.; Valdés, O.; Tapia, G.; Núñez, O.; Kompen, M.J.; Nosaka, K.; Peñailillo, L. Effects of eccentric vs. concentric cycling training on patients with moderate COPD. Eur. J. Appl. Physiol. 2022, 122, 489–502. [Google Scholar] [CrossRef] [PubMed]
- LaStayo, P.C.; Reich, T.E.; Urquhart, M.; Hoppeler, H.; Lindstedt, S.L. Chronic eccentric exercise: Improvements in muscle strength can occur with little demand for oxygen. Am. J. Physiol. 1999, 276, R611–R615. [Google Scholar] [CrossRef] [PubMed]
- Cashin, A.G.; McAuley, J.H. Clinimetrics: Physiotherapy Evidence Database (PEDro) Scale. J. Physiother. 2020, 66, 59. [Google Scholar] [CrossRef] [PubMed]
- Reeves, N.D.; Maganaris, C.N.; Longo, S.; Narici, M.V. Differential adaptations to eccentric versus conventional resistance training in older humans. Exp. Physiol. 2009, 94, 825–833. [Google Scholar] [CrossRef] [PubMed]
- Blazevich, A.J.; Cannavan, D.; Coleman, D.R.; Horne, S. Influence of concentric and eccentric resistance training on architectural adaptation in human quadriceps muscles. J. Appl. Physiol. 2007, 103, 1565–1575. [Google Scholar] [CrossRef]
- Roig, M.; Macintyre, D.L.; Eng, J.J.; Narici, M.V.; Maganaris, C.N.; Reid, W.D. Preservation of eccentric strength in older adults: Evidence, mechanisms and implications for training and rehabilitation. Exp. Gerontol. 2010, 45, 400–409. [Google Scholar] [CrossRef]
- Schoenfeld, B.J.; Ogborn, D.I.; Vigotsky, A.D.; Franchi, M.V.; Krieger, J.W. Hypertrophic Effects of Concentric vs. Eccentric Muscle Actions: A Systematic Review and Meta-analysis. J. Strength Cond. Res. 2017, 31, 2599–2608. [Google Scholar] [CrossRef]
- Franchi, M.V.; Reeves, N.D.; Narici, M.V. Skeletal Muscle Remodeling in Response to Eccentric vs. Concentric Loading: Morphological, Molecular, and Metabolic Adaptations. Front. Physiol. 2017, 8, 447. [Google Scholar] [CrossRef]
- Yu, J.G.; Fürst, D.O.; Thornell, L.E. The mode of myofibril remodelling in human skeletal muscle affected by DOMS induced by eccentric contractions. Histochem. Cell. Biol. 2003, 119, 383–393. [Google Scholar] [CrossRef] [PubMed]
- Pincheira, P.A.; Boswell, M.A.; Franchi, M.V.; Delp, S.L.; Lichtwark, G.A. Biceps femoris long head sarcomere and fascicle length adaptations after 3 weeks of eccentric exercise training. J. Sport Health Sci. 2022, 11, 43–49. [Google Scholar] [CrossRef] [PubMed]
- Fridén, J.; Seger, J.; Sjöström, M.; Ekblom, B. Adaptive response in human skeletal muscle subjected to prolonged eccentric training. Int. J. Sport. Med. 1983, 4, 177–183. [Google Scholar] [CrossRef] [PubMed]
- Allen, D.G. Eccentric muscle damage: Mechanisms of early reduction of force. Acta Physiol. Scand. 2001, 171, 311–319. [Google Scholar] [CrossRef] [PubMed]
- Leong, C.H.; McDermott, W.J.; Elmer, S.J.; Martin, J.C. Chronic eccentric cycling improves quadriceps muscle structure and maximum cycling power. Int. J. Sport. Med. 2014, 35, 559–565. [Google Scholar] [CrossRef] [PubMed]
- Proske, U.; Morgan, D.L. Muscle damage from eccentric exercise: Mechanism, mechanical signs, adaptation and clinical applications. J. Physiol. 2001, 537, 333–345. [Google Scholar] [CrossRef]
- Rasekaba, T.; Lee, A.L.; Naughton, M.T.; Williams, T.J.; Holland, A.E. The six-minute walk test: A useful metric for the cardiopulmonary patient. Intern. Med. J. 2009, 39, 495–501. [Google Scholar] [CrossRef]
- Ferguson, B. ACSM’s Guidelines for Exercise Testing and Prescription 9th Ed. 2014. J. Can. Chiropr. Assoc. 2014, 58, 328. [Google Scholar]
- Peñailillo, L.; Blazevich, A.; Nosaka, K. Energy expenditure and substrate oxidation during and after eccentric cycling. Eur. J. Appl. Physiol. 2014, 114, 805–814. [Google Scholar] [CrossRef]
- Isacco, L.; Ritter, O.; Tordi, N.; Laroche, D.; Degano, B.; Bouhaddi, M.; Rakobowchuk, M.; Mourot, L. Similar substrate oxidation rates in concentric and eccentric cycling matched for aerobic power output. Appl. Physiol. Nutr. Metab. 2016, 41, 1204–1207. [Google Scholar] [CrossRef]
- Borenstein, M.; Rothstein, H.R.; Hedges, L.V.; Higgins, J. Introduction to Meta-Analysis; Wiley: West Sussex, UK, 2009. [Google Scholar]
Disclaimer/Publisher’s Note: The statements, opinions and data contained in all publications are solely those of the individual author(s) and contributor(s) and not of MDPI and/or the editor(s). MDPI and/or the editor(s) disclaim responsibility for any injury to people or property resulting from any ideas, methods, instructions or products referred to in the content. |
© 2023 by the authors. Licensee MDPI, Basel, Switzerland. This article is an open access article distributed under the terms and conditions of the Creative Commons Attribution (CC BY) license (https://creativecommons.org/licenses/by/4.0/).






