The Influence of Shallow Peatland Water Quality on Characteristics of the Occurrence of Selected Herb Species in the Peatlands of Eastern Poland
Abstract
1. Introduction
- Peatland groundwater quality determines the occurrence of peatland species of herbs in different ways.
- In conditions assumed to be natural (in protected natural areas), can the effect of human impact be observed in the hydro-chemical characteristics of habitats?
- Are the hydro-chemical characteristics of the sites of plant species occurrence a reflection of their habitat preferences?
- If the habitat characteristics associated with the preferences of a given species are maintained, are there hydro-chemical factors differentiating their occurrence?
- Can the characteristics of the occurrence of a given plant species be used as an indicator of progressive changes in habitat conditions?
2. Material and Methods
Study Area and Methods
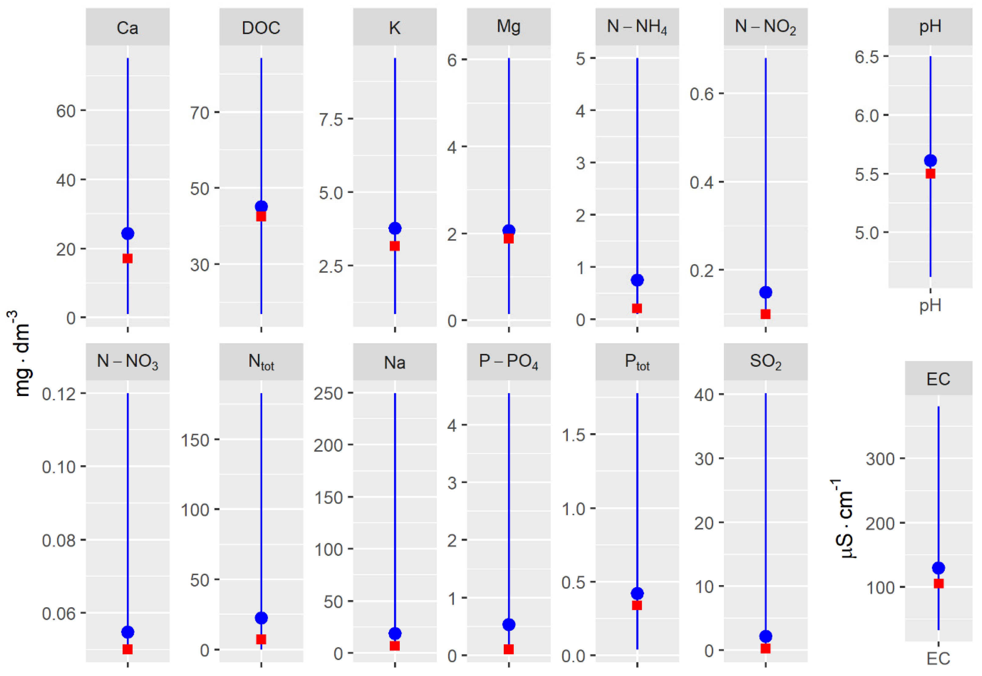
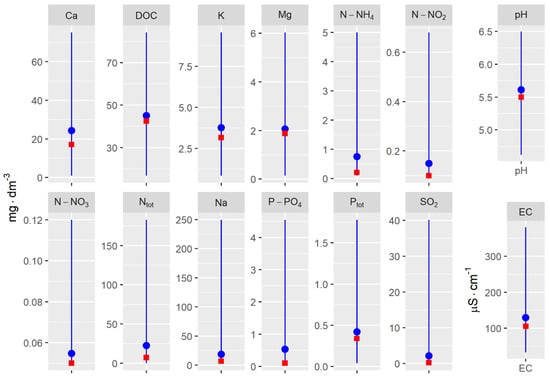
3. Results
4. Discussion
5. Conclusions
Author Contributions
Funding
Institutional Review Board Statement
Informed Consent Statement
Data Availability Statement
Conflicts of Interest
References
- Grzywna, A. Chemical Water Quality Indicators in Basin Forest Parczew. Ecol. Eng. Environ. Technol. 2014, 2014, 120–127. [Google Scholar] [CrossRef]
- Kowalik, T.; Kanownik, W.; Bogdał, A. Wpływ Zmian Użytkowania Zlewni Wyżynnej Na Kształtowanie Jakości Wody Powierzchniowej. Effect of Change of Small Upland Catchment Use on Surface Water Quality Course. Rocz. Ochr. Środowiska. Annu. Set Environ. Prot. 2014, 16, 223–238. [Google Scholar]
- Serafin, A.; Pogorzelec, M.; Bronowicka-Mielniczuk, U. Effect of the Quality of Shallow Groundwaters on the Occurrence of Selected Relic Plant Species of Peatlands in the Łęczna-Włodawa Lakeland. J. Water L. Dev. 2020, 45, 133–142. [Google Scholar] [CrossRef]
- Szafranski, C.; Fiedler, M.; Stasik, R. Czasowo-Przestrzenna Zmiennosc Chemizmu Wod Gruntowych Na Pojezierzu Gnieznienskim Na Przykladzie Obiektu Mokronosy. Przegląd Nauk. Wydz. Melior. i Inżynierii Środowiska 1998, 16, 262–269. [Google Scholar]
- Orzepowski, W.; Paruch, A.M.; Pulikowski, K.; Kowalczyk, T.; Pokładek, R. Quantitative and Qualitative Assessment of Agricultural Water Resources under Variable Climatic Conditions of Silesian Lowlands (Southwest Poland). Agric. Water Manag. 2014, 138, 45–54. [Google Scholar] [CrossRef]
- Serafin, A.; Pogorzelec, M.; Banach-Albińska, B.; Zalewska, E.; Bronowicka-Mielniczuk, U.; Arciszewski, M. The Importance of Groundwater Quality and Other Habitat Variables for Effective Active Protection of an Endangered Plant Species in Eastern Poland. Water 2022, 14, 1270. [Google Scholar] [CrossRef]
- Serafin, A.; Pogorzelec, M.; Bronowicka-Mielniczuk, U.; Spólna, K. Habitat Preferences of Comarum Palustre L. in the Peatlands of Eastern Poland. Mires Peat 2022, 28, 16. [Google Scholar] [CrossRef]
- Falińska, K. Ekologia Roślin; Wydawnictwo Naukowe PWN: Warszawa, Poland, 2004. [Google Scholar]
- Serafin, A.; Pogorzelec, M.; Bronowicka-Mielniczuk, U. Hierarchization of Abiotic Environmental Properties—Methodical Study for Research on the Ecology of Plants in Peat Bog Habitats. Appl. Ecol. Environ. Res. 2019, 17, 4081–4096. [Google Scholar] [CrossRef]
- Baker, J.T.; Allen, L.H. Assessment of the Impact of Rising Carbon Dioxide and Other Potential Climate Changes on Vegetation. Environ. Pollut. 1994, 83, 223–235. [Google Scholar] [CrossRef]
- Ceccarelli, S.; Grando, S.; Maatougui, M.; Michael, M.; Slash, M.; Haghparast, R.; Rahmanian, M.; Taheri, A.; Al-Yassin, A.; Benbelkacem, A.; et al. Plant Breeding and Climate Changes. J. Agric. Sci. 2010, 148, 627–637. [Google Scholar] [CrossRef]
- Bouras, E.; Jarlan, L.; Khabba, S.; Er-Raki, S.; Dezetter, A.; Sghir, F.; Tramblay, Y. Assessing the Impact of Global Climate Changes on Irrigated Wheat Yields and Water Requirements in a Semi-Arid Environment of Morocco. Sci. Rep. 2019, 9, 19142. [Google Scholar] [CrossRef]
- Kalbarczyk, R.; Ziemiańska, M.; Nieróbca, A.; Dobrzańska, J. The Impact of Climate Change and Strong Anthropopressure on the Annual Growth of Scots Pine (Pinus Sylvestris L.) Wood Growing in Eastern Poland. Forests 2018, 9, 661. [Google Scholar] [CrossRef]
- Wypych, A.; Sulikowska, A.; Ustrnul, Z.; Czekierda, D. Variability of Growing Degree Days in Poland in Response to Ongoing Climate Changes in Europe. Int. J. Biometeorol. 2017, 61, 49–59. [Google Scholar] [CrossRef]
- Kubiak-Wójcicka, K.; Machula, S. Influence of Climate Changes on the State of Water Resources in Poland and Their Usage. Geosciences 2020, 10, 312. [Google Scholar] [CrossRef]
- Soomers, H.; Karssenberg, D.; Verhoeven, J.T.A.; Verweij, P.A.; Wassen, M.J. The Effect of Habitat Fragmentation and Abiotic Factors on Fen Plant Occurrence. Biodivers. Conserv. 2013, 22, 405–424. [Google Scholar] [CrossRef]
- Pogorzelec, M. Downy Willow (Salix Lapponum L.) as a Component of Different Phytocoenoses in Polesie National Park. Acta Agrobot. 2009, 62, 107–116. [Google Scholar] [CrossRef]
- Serafin, A.; Pogorzelec, M.; Bronowicka-Mielniczuk, U. Habitat Preferences of Oxycoccus palustris Pers. On Peatlands in East Poland in the Perspective of Shaping the Conditions of Ecological Cultivation of the Species. Appl. Ecol. Environ. Res. 2018, 16, 4015–4028. [Google Scholar] [CrossRef]
- Serafin, A.; Pogorzelec, M.; Bronowicka-Mielniczuk, U. The Specificity of Natural Habitats of Menyanthes Trifoliata L. In Peat Bogs of the Central Part of Eastern Poland. Appl. Ecol. Environ. Res. 2017, 15, 849–859. [Google Scholar] [CrossRef]
- Sozinov, O.V.; Grummo, D.G. Ecologo-Coenotical and Resource Characteristics of Comarum Palustre (Rosaceae) in Sporovskoye Floodplain Mire (Belarus). Rastit. Resur. 2016, 52, 321–338. [Google Scholar]
- Kashchenko, N.I.; Chirikova, N.K.; Olennikov, D.N. Agrimoniin, an Active Ellagitannin from Comarum palustre Herb with Anti-α-Glucosidase and Antidiabetic Potential in Streptozotocin-Induced Diabetic Rats. Molecules 2017, 22, 73. [Google Scholar] [CrossRef] [PubMed]
- Olesen, I.; Warncke, E. Breeding System and Seasonal Variation in Seed Set in a Population of Potentilla Palustris. Nord. J. Bot. 1992, 12, 373–380. [Google Scholar] [CrossRef]
- Somme, L.; Raabova, J.; Jacquemart, A.L.; Raspe, O. Development and Multiplexing of Microsatellite Markers Using Pyrosequencing in the Clonal Plant Comarum Palustre (Rosaceae). Mol. Ecol. Resour. 2012, 12, 91–97. [Google Scholar] [CrossRef] [PubMed]
- Zarzycki, K.; Trzcińska-Tacik, H.; Różański, W.; Szaląg, Z.; Wołek, J.; Korzeniak, U. Ecological Indicator Values of Vascular Plants of Poland; Zarzycki, K., Korzeniak, U., Eds.; Inst. Botaniki PAN: Kraków, Poland, 2002. [Google Scholar]
- Michalska-Hejduk, D.; Kopeć, D. Szata Roślinna Torfowiska Żabieniec—Stan Obecny i Dynamika (The Vegetation of the Żabieniec Peat Bog—Current State and Dynamics). In Torfowisko Żabieniec: Warunki naturalne, rozwój i zapis zmian paleoekologicznych w jego osadach (Żabieniec Peat Bog: Natural Conditions, Development and Record of Palaeoecological Changes in its Sediments; Twardy, J., Żurek, S., Forysiak, J., Eds.; Bogucki Wydawnictwo Naukowe: Poznań, Poland, 2010; pp. 75–87. [Google Scholar]
- Ovodova, R.G.; Bushneva, O.A.; Shashkov, A.S.; Chizhov, A.O.; Ovodov, Y.S. Structural Studies on Pectin from Marsh Cinquefoil Comarum Palustre L. Biochemistry 2005, 70, 867–877. [Google Scholar] [CrossRef]
- Popov, S.; Popova, G.; Ovodova, R.G.; Ovodov, Y.S. Antiinflammatory Activity of the Pectic Polysaccharide from Comarum Palustre. Fitoterapia 2005, 76, 281–287. [Google Scholar] [CrossRef]
- Kiosev, P.A. Comprehensive Catalogue of Medicinal Plants; EKSMO-Press: Moscow, Russia, 2001. (In Russian) [Google Scholar]
- Buzuk, G.N.; Lovkova, M.Y.; Ershik, O.A.; Sokolova, S.M. A New Source of Proanthocyanidins with Antiarthritic Activity: Purple Marshlocks (Comarum Palustre L.) Rhizome and Roots. Dokl. Biochem. Biophys. 2008, 421, 211–213. [Google Scholar] [CrossRef]
- Piękoś-Mirkowa, H.; Mirek, Z.; Musiał, L.; Nikel, A.; Paul, W.J.; Urbanik, J.; Wilk, Ł. Rośliny Chronione; MULTICO Oficyna: Wydawnicza, Poland, 2018; ISBN 9788377634530. [Google Scholar]
- Bacler-Żbikowska, B. Resources of Valuable Medicinal Plants of Włoszczowa District. Part 3—Bogbean Menyanthes Trifoliata L. Ann. Acad. Med. Silesiensis 2012, 66, 7–12. [Google Scholar]
- Kohlmunzer, S. Farmakognozja; PZWL Wydawnictwo Lekarskie: Warszawa, Poland, 2000; ISBN 9788320046519. [Google Scholar]
- Matławska, I. Farmakognozja; Matławska, I., Ed.; Wydawnictwo Naukowe Uniwersytetu Medycznego im. Karola Marcinkowskiego: Poznań, Poland, 2008; ISBN 978-83-7597-004-3. [Google Scholar]
- Lewkowicz-Mosiej, T. Leksykon Roślin Leczniczych; Świat Książki: Poland, 2003; ISBN 8373116443. [Google Scholar]
- Senderski, M.E. Prawie Wszystko o Ziołach i Ziołolecznictwie, 3rd ed.; Mateusz e. Senderski: Podkowa Leśna, Poland, 2017; ISBN 978-83-945-5401-9. [Google Scholar]
- Jacquemart, A.-L. Vaccinium Oxycoccos L. (Oxycoccus palustris Pers.) and Vaccinium Microcarpum (Turcz. Ex Rupr.) Schmalh. (Oxycoccus microcarpus Turcz. Ex Rupr.). J. Ecol. 1997, 85, 381–396. [Google Scholar] [CrossRef]
- Arnal, B.; Bureau, L.; Jeune, R.I. La Canneberge d’Amérique, Propriétés et Indications. Phytothérapie 2008, 6, 129–132. [Google Scholar] [CrossRef]
- Česonienė, L.; Daubaras, R.; Areškevičiūtė, J.; Viškelis, P. Evaluation of Morphological Peculiarities, Amount of Total Phenolics and Anthocyanins in Berries of European Cranberry (Oxycoccus palustris). Balt. For. 2006, 12, 59–63. [Google Scholar]
- Lyutikova, M.N.; Turov, Y.P. Chemical Constituents from Wild Oxycoccus palustris Fruit from North Tyumen Oblast. Chem. Nat. Compd. 2011, 6, 848–851. [Google Scholar] [CrossRef]
- Jepson, R.G.; Craig, J.C. Cranberries for Preventing Urinary Tract Infections. Cochrane Database Syst. Rev. 2008, 7, CD008449. [Google Scholar] [CrossRef]
- R Core Team. R: A Language and Environment for Statistical Computing. R Foundation for Statistical Computing 2022: Vienna, Austria. Available online: https://www.R-project.org/ (accessed on 28 October 2022).
- Smits, A.J.M.; Cals, M.J.R.; Drost, H.J. Evolution of European River Basin Management. In Proceedings of the River restoration in Europe: Practical Approaches: Conference on River Restoration, Wageningen, The Netherlands, May 2000; Nijland, H.J., Cals, M.J.R., Eds.; Institute for Inland Water Management and Waste Water Treatment RIZA: Arnhem, Lelystad, 2001; pp. 41–48. [Google Scholar]
- Ilnicki, P. Torfowiska i Torf; Wyd. Akademii Rolniczej im. Augusta Cieszkowskiego: Poznań, Polska, 2002. [Google Scholar]
- Dembek, W.; Kuś, J.; Wiatkowski, M.; Żurek, G. (Eds.) Innowacyjne Metody Gospodarowania Zasobami Wody w Rolnictwie. Innovative Methods of Water Resources Management in Agriculture; Wyd. Centrum Doradztwa Rolniczego w Brwinowie: Brwinów, Poland, 2016. [Google Scholar]
- Banaszuk, P.; Kamocki, A.K. Statyczny Jakościowy Bilans Wodny Jako Podstawa Renaturyzacji Ekosystemów Hydrogenicznych w Dolinie Górnej Biebrzy. Inżynieria Ekol. 2016, 48, 96–106. [Google Scholar] [CrossRef]
- Geertsema, W.; Opdam, P.; Kropff, M.J. Plant Strategies and Agricultural Landscapes: Survival in Spatially and Temporally Fragmented Habitat. Landsc. Ecol. 2002, 17, 263–279. [Google Scholar] [CrossRef]
- Misztal, M.; Smal, H.; Górniak, A. Ground Water Inflow of Nutrients to a Lake from Differently Utilized Catchments. Water Res. 1992, 26, 1237–1242. [Google Scholar] [CrossRef]
- Serafin, A.; Pogorzelec, M. Changes in the Flora of the Eastern and Southern Parts of Lake Piaseczno Embankment in the Years 2003–2010. Acta Agrobot. 2011, 64, 141–150. [Google Scholar] [CrossRef]
- Kujawa, K.; Orczewska, A.; Kras, M.; Kujawa, A.; Nyka, M.; Bohdan, M. Znaczenie Drzew i Krzewów Na Terenach Nieleśnych; Wydawnictwo Instytut Środowiska Rolniczego i Leśnego PAN: Poznań, Poland, 2017; ISBN 9788393837915. [Google Scholar]
- Jonas, A.; Jan, W.; Czubała, A.; Smoleń, T. Marketing Usług; PWN Seria Akademicka; Wolters Kluwer: Alphen aan den Rijn, The Netherlands, 2012; ISBN 9788326416194. [Google Scholar]
- Wilgat, T.; Michalczyk, Z.; Turczyński, M.; Wojciechowski, K.H. Jeziora Łęczyńsko-Włodawskie. Stud. Ośrod. Dok. Fizjogr. 1991, 19, 23–140. [Google Scholar]
- Janiec, B. Naturalna i Antropogeniczna Ewolucja Właściwości Wód Jezior w Zachodniej Części Pojezierza Łęczyńsko-Włodawskiego; Przewodnik Ogólnopolskiego Zjazdu PTG: Lublin, Polska, 1984. [Google Scholar]
- Michalczyk, Z. Aktualny Stan Środowiska w Rejonie Kanału Wieprz-Krzna i Propozycje Ekologicznego Zagospodarowania Tego Terenu; Wydawnictwo Hydrotrust: Warszawa, Poland, 1992. [Google Scholar]
- Serafin, A.; Pogorzelec, M.; Banach, B.; Szczurowska, A.; Mielniczuk, J. Physico-Chemical Groundwater Conditions at Salix Lapponum Stands in Eastern Poland. Dendrobiology 2015, 73, 65–74. [Google Scholar] [CrossRef]
- Maciak, F. Ocena Aktywności Biologicznej Murszów i Torfów Na Podstawie Mineralizacji Związków Węgla i Azotu. Rocz. Glebozn. 1995, 46, 19–28. [Google Scholar]
- Kiryluk, A.; Wiater, J. Stężenie Składników Pokarmowych w Wodach Odpływajacych z Ekstensywnych Ekosystemów Łąkowych. Concentration of Nutrients in Water Flowing from Extensive Meadow Ecosystems. Woda-Środowisko-Obszary Wiej. 2004, 4, 445–453. [Google Scholar]
- Sapek, B. Nagromadzanie i Uwalnianie Fosforu w Glebach—Źródła, Procesy, Przyczyny. Woda-Środowisko-Obszary Wiej. Water-Environment-Rural Areas 2014, 14, 77–100. [Google Scholar]
- Stumm, W.; Morgan, J.J. Aquatic Chemistry: An Introduction Emphasizing Chemical Equilibria in Natural Waters; Wiley: Hoboken, NJ, USA, 1981; ISBN 0471091731. [Google Scholar]
- Brysiewicz, A.; Wesołowski, P.; Rawicki, K. Porównanie Stężenia Składników Chemicznych w Wodzie Ze Śródpolnego Oczka Wodnego Oraz w Wodzie Gruntowej z Przylegających Terenów Rolniczych. Concentrations of Chemical Components in Water from Midfield Pond and in Ground Water from Adjacent Agricultural. Woda-Środowisko-Obszary Wiej. 2013, 13, 17–31. [Google Scholar]
- Wojciechowski, I. Funkcjonowanie Ekosystemów Torfowiskowych. The Functioning of Peat-Bog Ecosystem; Autor’s publishing: Lublin, Poland, 1997. [Google Scholar]
- Ligęza, S.; Smal, H. Odczyn, Przewodnictwo Właściwe Oraz Stężenie Pierwiastków Zasadowych w Roztworach Glebowych Gleb Użytkowanych Jako Wybiegi Na Fermach Gęsi. Ann. UMCS, Sec. E 2004, 59, 1613–1619. [Google Scholar]
- Stolarczyk, M.; Gus, M. Zmiany We Właściwościach Chemicznych Gleb Torfowych Wskutek Odwodnienia Na Przykładzie Tarnawy Wyżnej Changes in the Chemical Properties of Peat Soils as a Result of Drainage on the Example of Tarnawa Wyżna (Western Bieszczady Mts.). Rocz. Bieszczadzkie 2017, 25, 387–402. [Google Scholar]
- Pokładek, R.; Kowalczyk, T.; Orzepowski, W.; Pulikowski, K. Na, K, Ca and Mg Concentrations in Effluent Water Drained from Agricultural Catchment Basins in Lower Silesia. J. Elem. 2011, 16, 467–479. [Google Scholar] [CrossRef]
- Orzepowski, W.; Pulikowski, K. Magnesium, Calcium, Potassium and Sodium Content in Groundwater and Surface Water in Arable Lands in the Commune [Gmina] of Katy Wroclawskie. J. Elem. 2008, 13, 605–614. [Google Scholar]
- Górniak, A. Substancje Humusowe i Ich Rola w Funkcjonowaniu Ekosystemów Słodkowodnych; Dział Wydawnictw FUW: Białystok, Poland, 1996. [Google Scholar]
- Drozd, J. Wczoraj i Dziś Ziołolecznictwa. Phytotherapy Yesterday and Today; Przegląd Medyczny Uniwersytetu Rzeszowskiego i Narodowego Instytutu Leków w Warszawie: Rzeszów, Poland, 2012. [Google Scholar]









| Species | Variable | Abundance of Study Sites | N | Sum of Ranks | Mann-Whitney U Test Results | p-Value |
|---|---|---|---|---|---|---|
| Comarum palustre | Ntot | Abundant | 21 | 371 | ||
| Not abundant | 19 | 449 | 140 | 0.110 | ||
| N-NO2 | Abundant | 21 | 406 | |||
| Not abundant | 19 | 415 | 174.5 | 0.507 | ||
| N-NO3 | Abundant | 21 | 407 | |||
| Not abundant | 19 | 414 | 175.5 | 0.524 | ||
| N-NH4 | Abundant | 18 | 231 | |||
| Not abundant | 17 | 399 | 60 | 0.002 | ||
| Ptot | Abundant | 21 | 376 | |||
| Not abundant | 19 | 444 | 145 | 0.144 | ||
| P-PO4 | Abundant | 21 | 420 | |||
| Not abundant | 19 | 400 | 189 | 0.787 | ||
| SO2 | Abundant | 20 | 381 | |||
| Not abundant | 19 | 399 | 171 | 0.603 | ||
| Ca | Abundant | 15 | 170 | |||
| Not abundant | 16 | 326 | 50 | 0.006 | ||
| Mg | Abundant | 15 | 191 | |||
| Not abundant | 16 | 305 | 71 | 0.055 | ||
| Na | Abundant | 15 | 222 | |||
| Not abundant | 16 | 275 | 101.5 | 0.477 | ||
| K | Abundant | 15 | 238 | |||
| Not abundant | 16 | 258 | 118 | 0.953 | ||
| DOC | Abundant | 21 | 349 | |||
| Not abundant | 19 | 471 | 118 | 0.028 | ||
| EC | Abundant | 21 | 359 | |||
| Not abundant | 20 | 502 | 128 | 0.033 | ||
| pH | Abundant | 21 | 360 | |||
| Not abundant | 19 | 460 | 129 | 0.058 | ||
| Menyanthes trifoliata | Ntot | Abundant | 21 | 517 | ||
| Not abundant | 19 | 303 | 113 | 0.019 | ||
| N-NO2 | Abundant | 21 | 446 | |||
| Not abundant | 19 | 374 | 184 | 0.685 | ||
| N-NO3 | Abundant | 21 | 429 | |||
| Not abundant | 19 | 391 | 198 | 0.978 | ||
| N-NH4 | Abundant | 18 | 368 | |||
| Not abundant | 17 | 262 | 109 | 0.151 | ||
| Ptot | Abundant | 21 | 488 | |||
| Not abundant | 19 | 332 | 142 | 0.123 | ||
| P-PO4 | Abundant | 21 | 448 | |||
| Not abundant | 19 | 372 | 182 | 0.645 | ||
| SO2 | Abundant | 20 | 367 | |||
| Not abundant | 19 | 413 | 157 | 0.361 | ||
| Ca | Abundant | 15 | 172 | |||
| Not abundant | 16 | 324 | 52 | 0.007 | ||
| Mg | Abundant | 15 | 214 | |||
| Not abundant | 16 | 282 | 94 | 0.313 | ||
| Na | Abundant | 15 | 248 | |||
| Not abundant | 16 | 249 | 112.5 | 0.782 | ||
| K | Abundant | 15 | 263 | |||
| Not abundant | 16 | 233 | 97 | 0.374 | ||
| DOC | Abundant | 21 | 443 | |||
| Not abundant | 19 | 377 | 187 | 0.745 | ||
| EC | Abundant | 21 | 316 | |||
| Not abundant | 20 | 545 | 85 | 0.001 | ||
| pH | Abundant | 21 | 283 | |||
| Not abundant | 19 | 537 | 52 | 0.000 | ||
| Oxycoccus palustris | Ntot | Abundant | 27 | 514 | ||
| Not abundant | 13 | 306 | 136 | 0.260 | ||
| N-NO2 | Abundant | 27 | 567 | |||
| Not abundant | 13 | 253 | 162 | 0.707 | ||
| N-NO3 | Abundant | 27 | 549 | |||
| Not abundant | 13 | 272 | 170.5 | 0.897 | ||
| N-NH4 | Abundant | 24 | 445 | |||
| Not abundant | 11 | 185 | 119 | 0.657 | ||
| Ptot | Abundant | 27 | 394 | |||
| Not abundant | 13 | 427 | 15.5 | 0.000 | ||
| P-PO4 | Abundant | 27 | 397 | |||
| Not abundant | 13 | 424 | 18.5 | 0.000 | ||
| SO2 | Abundant | 27 | 549 | |||
| Not abundant | 12 | 231 | 153 | 0.796 | ||
| Ca | Abundant | 21 | 366 | |||
| Not abundant | 10 | 130 | 75 | 0.213 | ||
| Mg | Abundant | 21 | 326 | |||
| Not abundant | 10 | 170 | 95 | 0.688 | ||
| Na | Abundant | 21 | 323 | |||
| Not abundant | 10 | 173 | 92 | 0.597 | ||
| K | Abundant | 21 | 311 | |||
| Not abundant | 10 | 185 | 80 | 0.301 | ||
| DOC | Abundant | 27 | 488 | |||
| Not abundant | 13 | 332 | 110 | 0.061 | ||
| EC | Abundant | 27 | 570 | |||
| Not abundant | 14 | 291 | 186 | 0.945 | ||
| pH | Abundant | 27 | 562 | |||
| Not abundant | 13 | 259 | 167.5 | 0.829 |
Disclaimer/Publisher’s Note: The statements, opinions and data contained in all publications are solely those of the individual author(s) and contributor(s) and not of MDPI and/or the editor(s). MDPI and/or the editor(s) disclaim responsibility for any injury to people or property resulting from any ideas, methods, instructions or products referred to in the content. |
© 2023 by the authors. Licensee MDPI, Basel, Switzerland. This article is an open access article distributed under the terms and conditions of the Creative Commons Attribution (CC BY) license (https://creativecommons.org/licenses/by/4.0/).
Share and Cite
Serafin, A.; Pogorzelec, M.; Bronowicka-Mielniczuk, U. The Influence of Shallow Peatland Water Quality on Characteristics of the Occurrence of Selected Herb Species in the Peatlands of Eastern Poland. Int. J. Environ. Res. Public Health 2023, 20, 2788. https://doi.org/10.3390/ijerph20042788
Serafin A, Pogorzelec M, Bronowicka-Mielniczuk U. The Influence of Shallow Peatland Water Quality on Characteristics of the Occurrence of Selected Herb Species in the Peatlands of Eastern Poland. International Journal of Environmental Research and Public Health. 2023; 20(4):2788. https://doi.org/10.3390/ijerph20042788
Chicago/Turabian StyleSerafin, Artur, Magdalena Pogorzelec, and Urszula Bronowicka-Mielniczuk. 2023. "The Influence of Shallow Peatland Water Quality on Characteristics of the Occurrence of Selected Herb Species in the Peatlands of Eastern Poland" International Journal of Environmental Research and Public Health 20, no. 4: 2788. https://doi.org/10.3390/ijerph20042788
APA StyleSerafin, A., Pogorzelec, M., & Bronowicka-Mielniczuk, U. (2023). The Influence of Shallow Peatland Water Quality on Characteristics of the Occurrence of Selected Herb Species in the Peatlands of Eastern Poland. International Journal of Environmental Research and Public Health, 20(4), 2788. https://doi.org/10.3390/ijerph20042788

