Next Article in Journal
Maternal Differentiation of Self and Toddlers’ Sleep: The Mediating Role of Nighttime Involvement
Next Article in Special Issue
Origin and Enrichment Mechanisms of Salinity and Fluoride in Sedimentary Aquifers of Datong Basin, Northern China
Previous Article in Journal
Cumulative Ecological Risk and Academic Burnout in Chinese College Students: A Moderated Mediation Model
Previous Article in Special Issue
Effects of Sulfide Input on Arsenate Bioreduction and Its Reduction Product Formation in Sulfidic Groundwater
 
 
Font Type:
Arial Georgia Verdana
Font Size:
Aa Aa Aa
Line Spacing:
Column Width:
Background:
Article

Polycyclic Aromatic Hydrocarbons (PAHs) Contamination in Chrysichthys nigrodigitatus Lacépède, 1803 from Lake Togo-Lagoon of Aného, Togo: Possible Human Health Risk Suitable to Their Consumption

by
Kamilou Ouro-Sama
1,2,*,
Gnon Tanouayi
1,
Hodabalo Dheoulaba Solitoke
1,
Narcis Barsan
2,*,
Emilian Mosnegutu
2,
Tchaa Esso-Essinam Badassan
1,
Sadikou Agbere
1,
Koudjo Adje
1,
Valentin Nedeff
2,3 and
Kissao Gnandi
1
1
Laboratoire de Gestion, Traitement et Valorisation des Déchets, Faculté des Sciences, Département de Géologie et Environnement, Université de Lomé, Lomé BP 1515, Togo
2
Faculty of Engineering, “Vasile Alecsandri” University of Bacau, 157 Calea Marasesti, 600115 Bacau, Romania
3
“Gheorghe Ionescu Sisesti” Academy of Agricultural and Forestry Sciences, 6 Marasti Blvd., 011464 Bucharest, Romania
*
Authors to whom correspondence should be addressed.
Int. J. Environ. Res. Public Health 2023, 20(3), 1666; https://doi.org/10.3390/ijerph20031666
Submission received: 6 December 2022 / Revised: 10 January 2023 / Accepted: 13 January 2023 / Published: 17 January 2023
(This article belongs to the Special Issue Ecotoxicological Effects and Risk Assessment of Pollutants)

Abstract

The Lake Togo-Lagoon of Aného is located in the coastal zone where phosphorite mining is carried out. This mining discharges all kinds of waste such as fuel oil into the surrounding environment without prior treatment. Moreover, the hydrosystem receives runoff and river inputs after having crossed and leached from mining and urban soils. This study aims to determine the polycyclic aromatic hydrocarbons (PAHs) contamination in commercially consumed fish species (Chrysichthys nigrodigitatus) from that hydrosystem and the associated health risks for consumers. For that, fish sample collection was performed during the dry season. Afterwards, their muscles, gills, and livers were cut and 12 PAHs were analyzed using gas chromatography coupled with a mass spectrometer (GC-MS). The total PAHs (tPAHs) concentrations in fish tissues ranged from 5.24 to 48.40 µg/kg with average concentration of 14.51 ± 8.95 µg/kg in muscles, from 5.90 to 28.20 µg/kg averaging 14.90 ± 5.19 µg/kg in gills, and from 43.20 to 149.00 µg/kg with an average of 80.74 ± 27.08 µg/kg in livers. The average concentrations of low molecular weight PAHs (LMW PAHs) were 10.82 ± 9.61 µg/kg in muscles, 8.25 ± 5.43 µg/kg in gills, and 47.97 ± 22.56 µg/kg in livers whereas those of high molecular weight of PAHs (HMW PAHs) were 4.10 ± 2.14 µg/kg in muscles, 7.98 ± 3.96 µg/kg in gills, and 32.77 ± 8.66 µg/kg in livers. An overall trend of decreasing concentrations with increasing fish size classes was observed for some PAHs (Naphtalene, Pyrene in muscles, for Pyrene, Benzo(a)Anthracene, Chrysene in gills and for Naphtalene, Phenanthrene in livers). The PAHs in these fish might have pyrogenic and petrogenic sources, with the dominance of pyrogenic, and all of the total hazard quotients (THQ) are less than 1. This situation must not be neglected for better planning sustainable management of the target ecosystem.

1. Introduction

Nowadays, the more vulnerability of the aquatic environment to several sources of pollutants is well known. It can be considered to be a veritable tank for most of the environmental contaminants which can accumulate in several compartments of the aquatic ecosystem, such as living beings [1,2,3]. Among these pollutants, there are polycyclic aromatic hydrocarbons (PAHs) which have several sources in the environment, such as anthropogenic sources, concerning the high temperature pyrolysis of fats and oils, or the combustion of organic compounds, e.g., tobacco, fossil fuel, grilled meat, waste, coal burning etc., often [4,5,6] from industries, automobile exhaust fumes, houses heating, combustion of biomass etc. [6,7,8]. Due to their relative chemical stability and non-biodegradability, PAHs are very persistent and ubiquitous in the environment and have a high tendency to accumulate in food chains, leading to human exposure. These characteristics classify them as very significant pollutants for environmental concern [6,9,10].
During recent decades, PAHs which are mutagenic and carcinogenic have been considered hazardous environmental pollutants. Consequently, they have received much attention due to their potential adverse on human health and ecosystem impacts [6,11,12]. Human exposure to these pollutants may cause toxic effects, such as mutagenesis, birth defects, and cancers etc. [6,13]. Malformations of embryo and larvae, growth reduction, DNA damage, endocrine alteration, and other toxic effects caused by PAHs have also been observed in marine organisms [6,14,15,16]. The major pathway of fish and other aquatic organisms’ exposure to PAHs would be the ingestion of contaminated food and diffusion phenomenon of the molecules present in the surrounding water through their gills and skin [10,17]. The fatty tissues of fish are the place of predilection for PAHs accumulation due to their lipophilic nature and high chemical stability [6,18]. Therefore, fishes are good indicators of pollution in aquatic ecosystems and have been widely used for environmental monitoring [19,20,21].
A large part of the world’s population depends on seafood, especially fish, to satisfy their nutritional requirements. Indeed, they are widely consumed as an important source of protein, energy, vitamins, polyunsaturated fatty acids, and minerals, which are known for their health benefits [1,22,23,24]. However, polluted aquatic organisms may pose significant risk to human health [1,25,26,27]. Food consumption has been identified as an important pathway for human exposure to many contaminants including PAHs. Thus, PAHs contamination of widely consumed fish species may have serious public health issues.
In Togo, the Lake Togo-Lagoon of Aného complex is a coastal located hydrosystem and in the phosphorite mining and treatment area. These activities discharge several kinds of waste into the coastal zone without any prior treatment. Thus, uncontrolled rejection of waste, such as the mismanagement of used oil from machinery maintenance and fuel used for furnace heating, can be noted. Furthermore, the hydrosystem receives runoff and river inputs after leaching from urban, agricultural, and mining soils as well as atmospheric deposition of particles from automobile exhaust gases. The species Chrysichthys nigrodigitatus is potentially exposed to the bioaccumulation of several kinds of pollutants due to its high trophic level, diet composition, and demersal habitat especially on the muddy bottom [28,29]. However, it has an important ecological role and presents valuable economic, nutritional and aquaculture interest in West African countries [30,31,32,33]. Like in other Sub-Saharan African countries, this species is very appreciated in Togo, where it contributes to the socio-economic well-being and food security for local populations who are mainly fishermen. However, there is no study regarding fish contamination by PAHs in Togo. Accordingly, there is no information on the health risks associated with the consumption of fish contaminated by PAHs in the country. The present study aims to determine PAH concentrations in commercially consumed fish species (Chrysichthys nigrodigitatus) from the Lake Togo-Lagoon of the Aného hydrosystem and to assess the associated human health risks for consumers.

2. Materials and Methods

2.1. Study Area

The Hydrosystem Lake Togo-Lagoon of Aného located between latitudes North 6°17′37″ and 6°14′38″ and longitudes East 1°23′33″ and 1°37′38″. It is composed of Lake Togo with an area of 46 km2, the lagoon of Togoville whose length and width are respectively 13 km and 150–900 m, and the Aného lagoon consisting of a narrow channel. The hydrosystem mainly receives inputs from Zio and Haho River [34]. The hydrosystem communicates with the sea at Aného (Figure 1). Phosphorite mining take place in its watershed with the discharge of several kinds of untreated mining waste. This watershed enjoys a subequatorial climate with two main seasons (rainy and dry) alternated by two small seasons (rainy and dry). The main economic activities of the populations around the hydrosystem are dominated by fishery. Other activities, e.g., agriculture and livestock cultivation, can be noted in the study area.

2.2. Sample Collection, Extraction and Cleanup

The fish samples were collected during the dry season in the hydrosystem at Dékpo and Agbodrafo in collaboration with the fishermen using passive collection method according to [35]. Indeed, fishes were cut using gillnets, single lines, longlines, and traps. They were individually wrapped with aluminum foil and put in polyethylene bags because of the photo-degradability of PAHs. These samples were then transported to the laboratory, in a cooler containing ice cubes, where they were washed with tap water and then rinsed with distilled water. After that, they were measured (total length), weighted (total weight) and dissected. The muscles, gills and livers that were taken and stored in the freezer at −20 °C [1,36]. A total of 30 composites of each fish organ (muscle, liver, gills) were made from groups of 4–6 fishes according to the method of Pascal et al. [37] which states that the smallest fish size in each group must not be less than 75% of the biggest one. The number of fish in each group varied according to the amount of organ necessary for analyses. Each composite sample of fish organs was ground and homogenized using a grinder (Retsch Grindomix GM 200), labelled, placed in amber glass vials, and stored at −20 °C.
The quick, effective, cheap, easy, rugged, safe (QuEChERS) methodology was used to extract PAHs from fish samples as it has been previously used by other authors for the analysis of PAHs [8,38]. Indeed, 10 g of ground and homogenized fresh samples were mixed with distilled water (15 mL) in QuEChERS tubes. After that, 15 mL of acetonitrile (CH3CN) and 0.1 mL of surrogate standard containing p-terphenyl-d14 (100 μg/mL), were added to each extraction tube and shaken for one-minute. Following that, 8 g of magnesium sulfate (MgSO4) and 2 g of sodium chloride (NaCl) were added to the QuEChERS tubes containing the previous mixtures. They were shaken vigorously for 1 min before centrifuging the extracts at 3500 rpm for 10 min in order to remove the upper layers.
One (1) mL of the CH3CN layers were transferred into the clean-up tubes containing 50 mg of primary-secondary amine and 150 mg of MgSO4. These tubes were shaken for 5 min and were centrifuged (8000 rpm) for 10 min. Portions of each tube upper layer (0.6 mL) were placed in vials for further analysis and 0.2 mL of deuterated internal standard mixture containing acenaphthene d10, chrysene, naphthalene, pyrene, and phenanthrene at 80 µg/mL were added. The reagents used for PAH extraction were from Sigma Aldrich and Merck. Twelve (12) PAHs from 16 priority PAHs (Naphthalene (Nap), Acenaphthylene (Acy), Acenaphthene (Ace), Anthracene (Ant), Phenanthrene (Phe), Fluoranthene (Flu), Pyrene (Pyr), Benzo(a)anthracene (BaA), Chrysene (Chr), Benzo(a)pyrene (BaP), Benzo(b)fluoranthene (BbF) and Benzo(k)fluoranthene (BkF)) were analyzed using a gas chromatograph-mass spectrometer (GC-MS); all of them from Agilent Technologies.
The gas chromatograph system was used in the selected ion monitoring mode based on the use of one ion. The identification of compounds was based on their qualifier ions’ times of retention. Chromatographic separations were conducted using a HP-5MS (5% Phenyl Methyl Siloxane) fused silica capillary column (30 m long × 0.25 mm internal diameter × 0.25μm film thickness). The operation temperature program of the GC oven started at 70 °C, which was held for 3 min and was increased to 240 °C with 20 °C/min, and then to 310 °C with 5 °C/min. The injector temperature was 300 °C while the transfer line temperature was 280 °C. Hence, 2.5 μL of acetonitrile extracts were injected in splitless mode. The carrier gas was helium (1.0 mL/min of flow rate). Ionization voltage of 70 eV, acquisition mass range of 40–560 and scan time of 0.32 s were the mass spectrometer conditions. Quantitative analysis was based on the corresponding quantifier ions of each PAH molecule and previously recorded retention times. The PAH calibration standards were prepared using a certified reference standard of 2000 µg/mL, containing the 12 analyzed PAHs.

2.3. Quality and Accuracy Control

The method’s quality and accuracy were checked by analyzing duplicates of selected sample and procedural blank reagent. These solutions were analyzed for each batch of 15 samples. The coefficients of variation of the average values of the duplicate sample were used to assess the accuracy and repeatability. The calculated coefficients of variation for analyzed pollutants were <5% and ranged between 0.11% for Pyr to 4.49% for Ant. The blank was analyzed to detect possible contamination during extraction. The PAHs molecules were not detectable in blank solutions. In addition, certified reference materials (IAEA-435; IAEA-406) were analyzed to verify the quality of the extraction procedure and reading precision. The recoveries of the 12 analyzed PAH concentrations ranged between 86.96% for Chrysene (Chr) and 107.14% for Benzo(k)fluoranthène (BkF).

2.4. Determination of Probable Sources of PAHs in Fish Organs

The determination of the potential origins of PAHs was carried out through several relationships between the concentrations of PAH molecules: Phe/Ant, Flu/Pyr, Ant/(Ant+Phe), Flu/(Flu+Pyr), BaA/(BaA+Chr), low molecular weight PAHs (LMW PAHs)/high molecular weight PAHs (HMW PAHs). The results are interpreted as follows: Phe/Ant and Flu/Pyr (>1: pyrogenic and <1: petrogenic), Ant/(Ant+Phe) (>0.1 pyrogenic and <0.1: petrogenic), Flu/(Flu+Pyr) (<0.4: petrogenic, 0.4–0.5: petrogenic + pyrogenic and >0.5: pyrogenic), BaA/(BaA+Chr) (<0.2 petrogenic, 0.2–0.35 petrogenic + pyrogenic and >0.35: pyrogenic) and LMW PAHs/HMW PAHs (<1: pyrogenic and >1: petrogenic) [39,40,41,42]. The LMW PAHs detected are composed of Nap, Ant, and Phe and the HMW PAHs are composed of Flu, Pyr, BaA, and Chr.

2.5. Statistical Analysis

Analysis of variance followed by the Newman–Keuls test were applied to the data to determine the variability in mean PAH levels between fish organs. Mean values are significantly different when p < 0.05. Spearman’s correlation test was performed to determine the relationship between total lengths and total weights of fish. In addition, Student’s t test was performed to compare the average contents of PAHs having low molecular weight (LMW PAHs) and high molecular weight (HMW PAHs). Principal component analysis (PCA) was performed to determine the overall interrelationships between individual PAHs and their distribution in organs. Statistical analyses were performed using STATISTICA 6.1 software.

2.6. Human Health Risk Assessment

The dietary PAHs exposures for consumers were calculated using mean concentration of each PAHs in fish’s muscles and in all organs analyzed (muscle, gill, and liver). In addition, two types of peoples were considered (adults and children). The estimated daily intake (EDI) was determined according to the following equation [43,44]:
EDI = C × Q × F BW
where EDI = estimated daily intake (mg/kg/day); C = concentration of PAHs in fish’s tissues (mg/kg); Q = daily quantity of fish ingested (kg/day). These quantities are 166.75 g/day of wet weight (g/d ww) for adults and 110.25 g/d ww for children [45]; F = exposure frequency (day/year); BW = body weight (kg). The average body weights of the local population were 67.64 kg for adults of 22–60 years old and 29.40 kg for children of 3–16 years old [46,47]. The fish consumption frequency is considered as equal to one (365 days/year).
The risk of non-carcinogenic effects was expressed by the calculation of the hazard quotient (HQ). The HQ were calculated using the following equations [48,49]:
HQ = EDI × ED RfD o × T m
where RfDo is the oral reference dose (mg/kg/day). ED = exposure duration (year); Tm = total life duration (year). For non-carcinogenic effects, the ED is equal to Tm. If HQ < 1, toxic effect is less probable; if HQ > 1, toxic effect cannot be excluded. In order to determine the additive and/or iterative effects of PAHs, total hazard quotient (THQ) was calculated using the following equation [50,51]:
THQ = i = 1 n HQ i
The cancer risk (CR) is the probability of an individual to develop cancer, due to the exposure over a lifetime [52]. The cancer risk was calculated by the following formula [35,50]:
CR = EDI × CSF o × ED T m
where CSFo is the oral cancer slope factor (mg/kg/day)−1.
For carcinogen effects, the ED is defined as equal to 30 years and the Tm is 70 years according to USEPA (USEPA, 1991). The CR interpretation is as follow: CR < 10−6 is negligible; 10−6 < CR < 10−4 is acceptable et CR > 10−4 is unacceptable [50,53,54]. Oral reference doses (RfDo) and oral cancer slope factor (CSFo) are depicted in Table 1.

3. Results

3.1. Biometrics of Fish

The results of the biometric measurements of the fish (Figure 2a,b) show that the total lengths of the fish studied vary from 11.80 to 48.50 cm with an average of 25.87 ± 6.65 cm (Figure 2a). In addition, their total weights are between 15.95 and 870 g with an average of 156.20 ± 146.62 g (Figure 2b). Spearman’s correlation analysis between the two data sets showed that there is a strong and positive correlation between total lengths and total weights of fish (r = 0.92; p < 0.0001).

3.2. Polycyclic Aromatic Hydrocarbons (PAHs) in Fish Organs

Among the 12 priority PAHs analyzed, it can be noted from the results presented in Table 2 that only seven PAHs (Nap, Ant, Phe, Flu, Pyr, BaA, Chr) were detected in most of the samples. The remains of PAHs (Acy, Ace, BaP, BbF, BkF) were not detected in all samples analyzed. The mean concentrations of PAHs obtained in the muscles vary from 1.42 ± 0.37 µg/kg for fluoranthene (Flu) to 6.69 ± 4.15 µg/kg for naphthalene (Nap). Phenanthrene (Phe) exhibited the highest concentration of PAHs in muscles (30.7 µg/kg). In the gills, the average PAH contents vary from 1.43 ± 0.39 µg/kg for pyrene (Pyr) to 5.41 ± 3.91 µg/kg for Phe, which at the same time has the highest concentration PAHs in the gills (18 µg/kg). The average PAH levels in the liver are between 2.63 ± 0.90 µg/kg for Pyr and 41.71 ± 21.14 µg/kg for Nap, which also has the maximum value of the PAH levels recorded (94.7 µg/kg) in the liver.
The concentrations of total PAHs (tPAHs) vary from 5.24 to 48.4 µg/kg with an average of 14.51 ± 8.95 µg/kg in the muscles. In the gills, they are between 5.90 and 28.20 µg/kg with an average of 14.90 ± 5.19 µg/kg while in the livers, they vary from 43.20 to 149 µg/kg with an average of 80.74 ± 27.08 µg/kg. The increasing order of accumulation of tPAHs in C. nigrodigitatus organs is as follows: muscle < gill < liver (Table 1).
The concentrations of low molecular weight PAHs (LMW PAHs) vary from 2.4 to 47.1 µg/kg in the muscles, from 2.2 to 28.2 µg/kg in the gills and from 17.1 to 108.1 µg/kg in the livers. The concentrations of high molecular weight PAHs (HMW PAHs) are between nd and 7.8 µg/kg in muscles, between nd and 16.9 µg/kg in the gills and between 14.3 and 49.4 µg/kg in the livers. The t test indicates that the average concentrations of LMW PAHs (10.82 µg/kg) are significantly higher than those of HMW PAHs (4.10 µg/kg) for muscles (t = 3.55; p = 0.0008) and for livers (t = 3.45; p = 0.0011), the averages of which are respectively 47.97 µg/kg and 32.77 µg/kg. This difference is not significant (p > 0.05) for the gills. However, it is noted that the average concentration of LMW PAHs (8.25 µg/kg) is slightly higher than that of HMW PAHs (7.97 µg/kg) (Figure 3). The increasing order of accumulation of HMW PAHs in organs is as follows: muscle < gill < liver while that of LMW PAHs is as follows: gill < muscle < liver.
Although BaP molecules were not detected in all of the samples, the sum of the four PAHs (PAH4) composed of BaP, BaA, BbF, and Chr according to the European Commission evaluations ranged between 1.3 and 7.3 µg/kg for muscles, 2.3 and 13.9 µg/kg for gills, and 10.9 to 45 µg/kg for livers.
Analysis of variance (ANOVA) showed a significant variation (6.41 ≤ F ≤ 156.54; 0.00001 < p < 0.01) in PAH levels between organs except for anthracene and phenanthrene. The Newman–Keuls test indicates that the PAH contents of muscles and gills are globally homogeneous while the PAH contents obtained in the livers are for the most part different from and higher than those of the muscles and gills (Figure 4). The order of organ contamination is as follows: muscle < gills < liver for Flu, BaA, Chr and gills < muscle < liver for Nap, Ant, Phe, and Pyr (Figure 4).

3.3. Principal Components Analysis of PAHs Concentrations in Fish

The eigenvalues, the total variances expressed, and the correlation coefficients between the variables and the factorial axes are presented in Table 3. This table shows that the first three factors represent 77.36% of the total variance, including F1: 43.53 %, F2: 20.78%, and F3: 13.05% (Table 2). The F1 axis is negatively defined by BaA, Chr, Nap, and Flu according to the correlation coefficients presented in Table 3 and the projection of the variables in the F1xF2 plane. This axis shows, from right to left, an increasing gradient of contamination in PAHs of high molecular weight for the most part (Figure 5a). The F2 axis is strongly defined in its negative part by Phe (−0.84) and Ant (−0.74) representing, from top to bottom, an increasing gradient of contamination in Phe and Ant which are LMW PAHs (Table 3; Figure 5a). The F3 axis is strongly determined (0.90) in its positive part by Pyr (Table 3).
The projection of observations (organs) in the F1xF2 plane made it possible to discriminate two groups of organs according to their level of contamination. The group (P1), composed of muscles and gills is characterized by a lower contamination of PAHs with the exception of samples M25 (muscle 25) and G14 (gills 14) for phenanthrene and anthracene. The second group (P2) is composed of livers which are generally characterized by a higher concentration of PAHs. The result is an increasing gradient in the accumulation of PAHs from the muscles to the livers (Figure 5b).
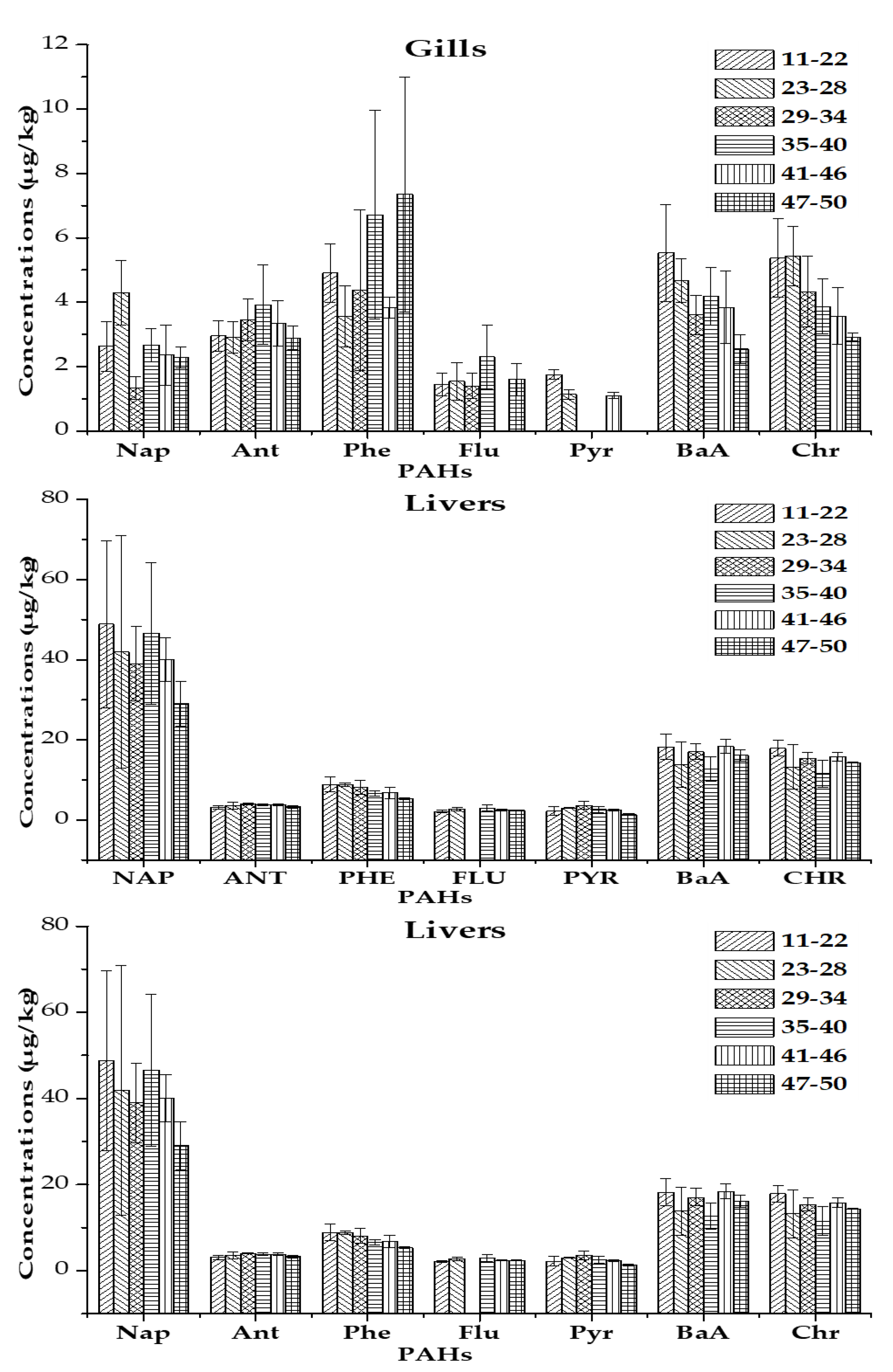
The PAH contents of the organs varied irregularly according to the size classes. However, an overall trend of decreasing levels was observed with increasing fish size classes for Nap and Pyr in muscles, for Pyr, BaA, and Chr in gills, and for Nap and Phe in livers (Figure 6).

3.4. Probable Source of PAHs in Fish Organs

The results of the different average ratios (Table 4) indicate that the PAHs present in the organs of fish come from two sources (pyrogenic and petrogenic). Although the mean ratio (LMW PAHs/HMW PAHs) is greater than 1 in the gills, indicating a petrogenic source, 64% of individuals presented ratios lower than 1. These PAHs are therefore mainly of pyrogenic origin linked to the combustion of organic matter of origin, fossil or synthetic (fuel, fuel, plastic, rubber, vegetation etc.).

3.5. Human Health Risks Assessment Associated with Fish Consumption

The hazard quotients (HQ) calculated for adults and children as a function of two forms of consumption are presented in Table 5. The results show that these HQ are all less than 1 for both groups of exposure and two possible forms of fish consumption. In addition, all of the total hazard quotients (THQ) are less than 1 and range from 1.63 × 10−3 for the consumption of muscle alone in adults to 4.50 × 10−3 for the consumption of all three organs in children. However, it has been shown that children are more exposed than adults with HQ that are higher than those of adults regardless of the exposure scenario.
The cancer risk (CR) results for non-threshold or carcinogenic effects are presented in Table 6. This indicates that CR are mostly negligible (<10−6) and acceptable (10−6 < CR <10−4) for a few. The latter vary from 1.29 × 10−6 in children for the consumption of muscles alone to 3.28 × 10−6 in children for the consumption of the combined three organs.

4. Discussion

The average length (25.87 cm) obtained indicates that the C. nigrodigitatus individuals studied are mostly mature [61,62,63]. These sizes are broadly similar to those observed in C. nogrodigitatus individuals in the West African sub-region [64,65,66,67]. However, these sizes are larger than those reported by Atobatele and Ugwumba [68] in Aiba Reservoir in Nigeria (9.8–25.6 cm) while longer individuals have been observed by Andem et al. [69] under the Itu bridge in Nigeria (9–109 cm). In addition, the strong and positive correlation obtained between the lengths and the weights of the fish is in agreement with the results obtained by Lawal et al. [67] in the same species in the Epe lagoon in Nigeria (r = 0.868) and in Chrysichthys furcatus from the Cross River in Nigeria (r = 0.97) by Irom et al. [70].
The different routes of exposure of fish to contaminants in aquatic environments are mainly the direct bioconcentration of molecules dissolved in water through their gills and skin, as well as the ingestion of contaminated food and sediment particles. The rate of bioaccumulation may depend on the food preferences, habitats, and the trophic level of fish [10,71,72]. The comparison of the results with other work is presented in Table 7. Indeed, the concentrations of tPAHs observed in this study are lower than those obtained in fish from the Ghanaian coast [73] and from Ogun and Eleyele Rivers in Nigeria [19]. In addition, the PAH concentrations recorded in the muscles of fish from the coastal waters of Benin are generally higher than those of the present study [74]. However, the results from this study are higher than those obtained in Tilapia guineensis and Liza falcipinnis in Nigeria [72] and in catfish from Hong Kong markets [71] (Table 7).
The maximal levels of PAHs set and reviewed by European Commission (Commission Regulation 1255/2020) in fish concern individual BaP molecule (5 µg/kg) as the main marker for PAHs in food and the sum of four PAHs molecules (PAH4) composed of BaP, BaA, BbF, and Chr (30 µg/kg) [77]. In the present study, BaP molecules were not detected in all of the samples analyzed. However, 67% of the analyzed liver samples presented PAH4 concentrations higher than the permissible level.
The highest average concentrations of PAHs having low molecular weight (LMW PAHs) recorded in the three fish organs are in agreement with other studies [1,26,74,76,78]. This strong accumulation of LMW PAHs may be due to their high solubility in water, their high bioavailability, and a high metabolism of HMW PAHs [1,26]. The high average Nap (LMW PAHs) concentrations observed in muscles (6.69 µg/kg) and livers (41.71 µg/kg) could be explained by the high solubility of Nap in water and its high bioavailability rendering it strongly absorbed in the water environment [1,79]. Indeed, due to their high solubility, LMW PAHs have an accumulation rate three times higher than HMW PAHs one in aquatic organisms [80]. These results agree with those obtained in other previous studies [1,73,79]. However, bioaccumulation is controlled by several factors, such as the duration of exposure, the quality and mode of feeding, the species, the nature of the molecule, the physicochemical quality of the medium (temperature, salinity, pH, etc.), as well as the absorption and removal rates of contaminants [79]. The abundance of Nap and Phe could be linked to the release of used fuel and motor oils into the wild from the phosphate processing plant and quarry machinery. In addition, automobile exhaust gases can be noted as a result of atmospheric depositions. Indeed, it is known that PAHs with two and three aromatic rings, such as Nap and Phe, are characteristic of PAHs of petrogenic origin [71,81]. This abundance of Nap and Phe has also been observed in other studies [1,71,73].
The double pyrogenic origin of PAHs observed in this study is in agreement with other studies. This may be due to the complexity of the parameters that influence the PAHs distribution in the environment [39,40]. However, attention should be paid to the petrogenic origin of PAHs in fish. Indeed, the high concentrations of LMW PAHs observed could be linked to their high solubility in water. This renders them more bioavailable, associated to the fact that HMW PAHs can be easily removed from fishes [73,82]. In addition, it is known that in tropical environments, Nap and Phe can also have a biological source [83]. The main entry routes for PAHs into the lagoon complex can be marine intrusion, especially during low water and high tides, runoff, and rivers after leaching of mining and urban soils, as well as atmospheric depositions.
The average concentrations of tPAHs and HMW PAHs in the muscles are generally lower than those obtained in the internal organs (gill, liver). These high concentrations of HMW PAHs in the gills are thought to be due to the fact that they are better bound to particulate matter naturally retained by the gills [73]. The strong accumulation of PAHs in livers could be explained by the important physiological role that play livers in fish’s metabolism [84,85,86]. This strong accumulation by internal organs is consistent with results obtained by other studies [73,76,87]. In addition, these differences in PAHs contents in organs can be controlled by the physicochemical parameters of PAHs, lipid contents, and the metabolic capacity of each organ [76]. The overall decrease in organic pollutant content with increasing biological parameters has also been observed in other studies [1,88].
Decreases in concentrations with increasing fish sizes observed for some PAH molecules could be due to the dilution of concentrations during fish growth and low accumulation rate in old individuals. In fact, Douben [89] indicated that the accumulation of contaminants could reach a stable state after a certain age in fish. So, any further growth would dilute the existing concentrations. In addition, the oldest individuals have a more developed enzymatic system and elimination pathways (excretion or reproduction) than the youngest [45,90]. It can also be mentioned that the changes in fish diets with increasing fish sizes [29] may contribute to these decreases of concentrations since accumulation of contaminants is also linked to the composition of diet. Thus, adults that feed on less contaminated preys may be less exposed to contaminant accumulation.
The HQ and CR indicate that consumption of the fish studied does not present a risk related to PAHs on the health of consumers according to the exposure scenarios of the present study. However, increasing ingested quantities may increase risks related to PAH. These results are consistent with those obtained in some fishery products from the Persian Gulf [1]. However, the values of HQ and CR in children are always higher than in adults. This observation may be due to their low body weight, their physiological predisposition, the fragility of their organism, and their less developed enzymatic system [91,92].

5. Conclusions

This study provided information on the contamination of C. nigrodigitatus in the Lake Togo-Lagoon Aného complex. In fact, not insignificant levels were observed in the organs of fish with the highest concentrations recorded in the liver for Nap (13.5–94.7 µg/kg) and total PAH (43.20–149 µg/kg). These levels vary irregularly with the size of the fish. However, overall decreases in concentrations with increasing fish length were observed for some PAH molecules (Nap, Pyr, BaA, Phe). The PAHs present in these fish come mainly from pyrogenic sources, such as the combustion of vegetation, wood, plastics, rubbers, coals, and fossil fuels. It emerges that the consumption of these fish does not present any health dangers if the exposure scenarios of this study are respected (HQ < 1 and CR < 10−4). However, it is urgent to take measures for the efficient management of these resources in order to limit or avoid any public health problem.

Author Contributions

Conceptualization, K.O.-S. and K.G.; methodology, K.O.-S. and G.T.; validation, K.G., N.B. and V.N.; formal analysis, K.O.-S., H.D.S. and E.M.; investigation, K.O.-S.; resources, S.A., G.T. and K.A.; writing—original draft preparation, K.O.-S. and H.D.S.; writing—review and editing, K.O.-S., N.B. and T.E.-E.B.; visualization, N.B. and E.M.; supervision, V.N. and K.G.; funding acquisition, K.O-S. All authors have read and agreed to the published version of the manuscript.

Funding

This research was co-funded by the International Foundation for Science (IFS) in Sweden and the Organization for the Prohibition of Chemical Weapons (OPCW) in The Netherlands (Grant number I-2-A-6056-1).

Institutional Review Board Statement

Not applicable.

Informed Consent Statement

Not applicable.

Data Availability Statement

Not applicable.

Acknowledgments

We thank the International Foundation for Science (IFS) and the Organization for the Prohibition of Chemical Weapons (OPCW) for having funded this research. We also wish to express our gratitude to the Laboratory of Management, Treatment and Valorization of Waste (Laboratoire Gestion, Traitement et Valorisation des Déchets) of the University of Lomé (Togo) and to the Department of Environmental Engineering and Mechanical Engineering of the “Vasile Alecsandri” University of Bacau (Romania).

Conflicts of Interest

The authors declare no conflict of interest.

References

  1. Akhbarizadeh, R.; Moore, F.; Keshavarzi, B. Polycyclic aromatic hydrocarbons and potentially toxic elements in seafood from the Persian Gulf: Presence, trophic transfer, and chronic intake risk assessment. Environ. Geochem. Health 2019, 41, 2803–2820. [Google Scholar] [CrossRef] [PubMed]
  2. Ju, Y.-R.; Chen, C.-F.; Wang, M.-H.; Chen, C.-W.; Dong, C.-D. Assessment of polycyclic aromatic hydrocarbons in seafood collected from coastal aquaculture ponds in Taiwan and human health risk assessment. J. Hazard. Mater. 2022, 421, 126708. [Google Scholar] [CrossRef] [PubMed]
  3. Zhao, P.; Sanganyado, E.; Wang, T.; Sun, Z.; Jiang, Z.; Zeng, M.; Huang, Z.; Li, Y.; Li, P.; Bi, R.; et al. Accumulation of nutrients and potentially toxic elements in plants and fishes in restored mangrove ecosystems in South China. Sci. Total Environ. 2022, 838, 155964. [Google Scholar] [CrossRef]
  4. Famiyeh, L.; Chen, K.; Xu, J.; Sun, Y.; Guo, Q.; Wang, C.; Lv, J.; Tang, Y.-T.; Yug, H.; Snape, C.; et al. A review on analysis methods, source identification, and cancer risk evaluation of atmospheric polycyclic aromatic hydrocarbons. Sci. Total Environ. 2021, 789, 147741. [Google Scholar] [CrossRef] [PubMed]
  5. Lima, A.L.C.; Farrington, J.W.; Reddy, C.M. Combustion-derived polycyclicaromatic hydrocarbons in the environment—A review. Environ. Forensics 2005, 6, 109–131. [Google Scholar] [CrossRef]
  6. Singh, S.; Ashesh, A.; Devi, N.L.; Yadav, I.C. A comprehensive review on occurrence, source, effect, and measurement techniques of polycyclic aromatic hydrocarbons in India. Microchem. J. 2022, 183, 108005. [Google Scholar] [CrossRef]
  7. Alagić, S.Č.; Maluckov, B.S.; Radojičić, V.B. How can plants manage polycyclic aromatic hydrocarbons? May these effects represent a useful tool for an effective soil remediation? A review. Clean Technol. Environ. Policy 2015, 17, 597–614. [Google Scholar] [CrossRef]
  8. Alagić, S.Č.J.V.P.; Jovanović, V.P.S.; Mitić, V.D.; Cvetković, J.S.; Petrović, G.M.; Stojanović, G.S. Bioaccumulation of HMW PAHs in the roots of wild blackberry from the Bor region (Serbia): Phytoremediation and biomonitoring aspect. Sci. Total Environ. 2016, 562, 561–570. [Google Scholar] [CrossRef]
  9. Havelcová, M.; Melegy, A.; Rapant, S. Geochemical distribution of polycyclic aromatic hydrocarbons in soils and sediments of El-Tabbin, Egypt. Chemosphere 2014, 95, 63–74. [Google Scholar] [CrossRef]
  10. Zhang, J.; Zhang, X.; Hu, T.; Xu, X.; Zhao, D.; Wang, X.; Li, L.; Yuan, X.; Song, C.; Zhao, S. Polycyclic aromatic hydrocarbons (PAHs) and antibiotics in oil-contaminated aquaculture areas: Bioaccumulation, influencing factors, and human health risks. J. Hazard. Mater. 2022, 437, 129365. [Google Scholar] [CrossRef]
  11. Bostrom, C.E.; Gerde, P.; Hanberg, A.; Jernstrom, B.; Johansson, C.; Kyrklund, T.; Rannug, A.; Tornqvist, M.; Victorin, K.; Westerholm, R. Cancer risk assessment, indicators, and guidelines for polycyclic aromatic hydrocarbons in theambient air. Environ. Health Perspect. 2002, 110, 451–488. [Google Scholar] [PubMed]
  12. Kim, K.H.; Jahan, S.A.; Kabir, E.; Brown, R.J. A review of airborne polycyclicaromatic hydrocarbons (PAHs) and their human health effects. Environ. Int. 2013, 60, 71–80. [Google Scholar] [CrossRef] [PubMed]
  13. Abdul, I.W.; Amoamah, M.O.; Abdallah, A. Determinants of polycyclic aromatic hydrocarbons in smoked bushmeat. Int. J. Nutr. Food Sci. 2014, 3, 1–6. [Google Scholar] [CrossRef]
  14. Carls, M.G.; Holland, L.; Larsen, M.; Collier, T.K.; Scholz, N.L.; Incardona, J.P. Fish embryos are damaged by dissolved PAHs, not oil Particles. Aquat. Toxicol. 2008, 88, 121–127. [Google Scholar] [CrossRef]
  15. Christiansen, J.S.; George, S.G. Contamination of food by crude oil affects food selection and growth performance, but not appetite, in an Arctic fish, the polar cod (Boreogadus saida). Polar Biol. 1995, 15, 277–281. [Google Scholar] [CrossRef]
  16. Meador, J.P.; Sommers, F.C.; Ylitalo, G.M.; Sloan, C.A. Altered growth and related physiological responses in juvenile Chinook salmon (Oncorhynchus tshawytscha) from dietary exposure to polycyclic aromatic hydrocarbons (PAHs). Can. J. Fish Aquat. Sci. 2006, 63, 2364–2376. [Google Scholar] [CrossRef]
  17. Gobas, F.A.P.C.; Wilcockson, J.B.; Russell, R.W.; Haffner, G.D. Mechanism of biomagnification in fish under laboratory and field conditions. Environ. Sci. Technol. 1999, 33, 133–141. [Google Scholar] [CrossRef]
  18. Bouloubassi, I.; Fillaux, J.; Saliot, A. Hydrocarbons in surface sediments from Changjian (Yangtze River) estuary, East China Sea. Mar. Pollut. Bull. 2001, 42, 1335–13462. [Google Scholar] [CrossRef]
  19. Adewale, A.; Adegbola, P.I.; Owoade, A.O.; Aborisade, A.B. Fish as a bioindicator of polycyclic aromatic hydrocarbon pollution in aquatic ecosystem of Ogun and Eleyele Rivers, Nigeria, and risk assessment for consumer’s health. J. Hazard. Mater. Adv. 2022, 7, 100096. [Google Scholar] [CrossRef]
  20. Bouloubassi, I.; Méjanelle, L.; Pete, R.; Fillaux, J.; Lorre, A.; Point, V. Transport by sinking particles in the open Mediterranean Sea: A 1 year sediment trap study. Mar. Pollut. Bull. 2006, 52, 560–571. [Google Scholar] [CrossRef]
  21. Nyarko, E.; Botwe, B.O.; Klubi, E. Polycyclic aromatic hydrocarbons (PAHs) levels in two commercially important fish species from the coastal waters of Ghana and their carcinogenic health risks. West Afr. J. Appl. Ecol. 2011, 19, 53–66. [Google Scholar]
  22. Ke, C.L.; Gu, Y.G.; Liu, Q.; Li, L.D.; Huang, H.H.; Cai, N.; Sun, Z.-W. Polycyclic aromatic hydrocarbons (PAHs) in wild marine organisms from South China Sea: Occurrence, sources, and human health implications. Mar. Pollut. Bull. 2017, 117, 507–511. [Google Scholar] [CrossRef] [PubMed]
  23. Olmedo, P.; Pla, A.; Hernandez, A.F.; Barbier, F.; Ayouni, L.; Gil, F. Determination of toxic elements (mercury, cadmium, lead, tin and arsenic) in fish and shellfish samples. Risk assessment for the consumers. Environ. Int. 2013, 59, 63–72. [Google Scholar] [CrossRef] [PubMed]
  24. Varol, M.; Sunbul, M.R. Multiple approaches to assess human health risks from carcinogenic and non-carcinogenic metals via consumption of five fish species from a large reservoir in Turkey. Sci. Total Environ. 2018, 633, 684–694. [Google Scholar] [CrossRef] [PubMed]
  25. Copat, C.; Grasso, A.; Fiore, M.; Cristaldi, A.; Zuccarello, P.; Signorelli, S.S.; Conti, G.O.; Ferrantea, M. Trace elements in seafood from the Mediterranean sea: An exposure risk assessment. Food Chem. Toxicol. 2018, 115, 13–19. [Google Scholar] [CrossRef]
  26. Ferrante, M.; Zanghi, G.; Cristaldi, A.; Copat, C.; Grasso, A.; Fiore, M.; Signorelli, S.S.; Zuccarello, P.; Conti, G.O. PAHs in seafood from the Mediterranean Sea: An exposure risk assessment. Food Chem. Toxicol. 2018, 115, 385–390. [Google Scholar] [CrossRef]
  27. Jacobs, S.; Sioen, I.; Marques, A.; Verbeke, W. Consumer response to health and environmental sustainability information regarding seafood consumption. Environ. Res. 2018, 161, 492–504. [Google Scholar] [CrossRef]
  28. Azeroual, A.; da Costa, L.; Lalèyè, P.; Moelants, T. Chrysichthys Nigrodigitatus, The IUCN Red List of Threatened Species, Version 2014.3.; IUCN: Gland, Switzerland, 2010; Available online: www.iucnredlist.org (accessed on 13 February 2016).
  29. Ouro-Sama, K.; Afiademanyo, K.M.; Solitoke, H.D.; Tanouayi, G.; Badassan, T.E.-E.; Ahoudi, H.; Gnandi, K. Diet and Food Consumption of the African Catfish, Chrysichthys nigrodigitatus Lacépède (1803) (Silu-riformes: Claroteidae), from the Hydrosystem Lake Togo-Lagoon of Aného (South of Togo). J. Environ. Prot. 2020, 11, 954–976. [Google Scholar] [CrossRef]
  30. Affourmou, K.; Nobah, C.S.K.; Alla, Y.L. Aquacultural potential of silver catfish Chrysichthys nigrodigitatus (Lacepede, 1803) bred in fresh and brakish water in three rearing systems: Enclosures, Cement tanks and Earth ponds. Adv. Biores. 2014, 5, 165–171. [Google Scholar]
  31. Ekanem, S.B. Some reproductive aspects of Chrysichthys nigrodigitatus (Lacépède) from Cross River, Nigeria. Naga. ICLARM Q. 2000, 23, 24–28. [Google Scholar]
  32. Hem, S.; Nunez, J. The aquaculture of the mâchoiron (Chrysichthys nigrodigitatus, Lacépède, 1803) in Côte d′Ivoire: An example of research for development. In Proceedings of the Atelier Biodiversité et Aquaculture en Afrique, Abidjan, Côte d′Ivoire, 21–25 November 1994; pp. 21–23. (In French). [Google Scholar]
  33. Laë, R. Les Pêcheries Artisanales Lagunaires Ouest-Africaines: Echantillonnage et Dynamique de la Ressource et de l’exploitation; Edition ORSTOM: Lomé, Togo; Collection Etudes et Thèses: Paris, France, 1992; p. 189. [Google Scholar]
  34. Millet, B. Hydrology and Hydrochemistry of a Tropical Lagoon Environment: Lake Togo; Edition ORSTOM: Lomé, Togo, 1986; p. 134. (In French) [Google Scholar]
  35. USEPA. Guidance for Assessing Chemical Contaminant Data for Use in Fish Advisories, Volume 1: Fish Sampling and Analysis, 3rd ed.; United States Environmental Protection Agency (USEPA) 823-B-00-007, Office of Water (4305): Washington, DC, USA, 2000; p. 484.
  36. Fathi, H.B.; Othman, M.S.; Mazlan, A.G.; Arshad, A.; Amin, S.M.N.; Simon, K.D. Trace metals in muscle, liver and gill tissues of marine fishes from Mersing, Eastern Coast of Peninsular Malaysia: Concentration and assessment of human health risk. Asian J. Anim. Vet. Adv. 2013, 8, 227–2236. [Google Scholar] [CrossRef]
  37. Pascal, M.; Heyman, C.; De Baudouin, C.; Pirard, P. Comment intégrer l’objectif d’exposition des consommateurs dans les prélèvements et analyses des poissons d’eaux douces: Éléments méthodologique. Environ. Risques St. 2008, 8, 57–61. [Google Scholar]
  38. Surma, M.; Rociek, A.S.; Cieslik, E. The application of d-SPE in the QuEChERS method for the determination of PAHs in food of animal origin with GC–MS detection. Eur. Food Res. Technol. 2014, 238, 1029–1036. [Google Scholar] [CrossRef]
  39. AL-Khion, D.D. Distribution and Source of Polycyclic Aromatic Hydrocarbons (PAHs) in the Aquatic Species of Iraqi Marine Waters. Int. J. Sci. Res. 2018, 7, 1911–1917. [Google Scholar]
  40. Bastami, K.D.; Afkhami, M.; Ehsanpour, M.; Kazaali, A.; Mohammadizadeh, M.; Haghparast, S.; Soltani, F.; Zanjani, S.A.; Ghorghani, N.F.; Pourzare, R. Polycyclic aromatic hydrocarbons in the coastal water, surface sediment and mullet Liza klunzingeri from northern part of Hormuz strait (Persian Gulf). Mar. Pollut. Bull. 2013, 76, 411–416. [Google Scholar] [CrossRef]
  41. Guo, W.; He, M.; Yang, Z.; Lin, C.; Quan, X.; Wang, H. Distribution of polycyclic aromatic in water, suspended particulate matter and sediment from Daliao River watershed, China. Chemosphere 2007, 68, 93–104. [Google Scholar] [CrossRef]
  42. Qiu, Y.W.; Zhang, G.; Liu, G.Q.; Guo, L.L.; Li, X.D.; Wai, O. Polycyclic aromatic hydrocarbons (PAHs) in the water column and sediment core of Deep Bay, South China. Est. Coast. Shelf Sci. 2009, 83, 60–66. [Google Scholar] [CrossRef]
  43. Ahmed, M.; Abdallah, M. Bioaccumulation of heavy metals in mollusca species and assessment of potential risks to human health. Bull. Environ. Contam. Toxicol. 2013, 90, 552–557. [Google Scholar]
  44. Song, D.; Zhuang, D.; Jiang, D.; Fu, J.; Wang, Q. Integrated health risk assessment of heavy metals in Suxian County, South China. Int. J. Environ. Res. Public Health 2015, 12, 7100–7117. [Google Scholar] [CrossRef]
  45. Ouro-Sama, K.; Afiademanyo, K.M.; Solitoke, H.D.; Tanouayi, G.; Agbere, S.; Badassan, T.E.-E.; Adje, K.; Gnandi, K. Consumption of the Silver Catfish Chrysichthys nigrodigitatus Lacépède, 1803 from the Lake Togo-Lagoon of Aného Hydrosystem (Southern Togo): Risks to Human Health With Reference. Haya: Saudi J. Life Sci. 2021, 6, 284–294. [Google Scholar]
  46. Aduayi-Akue, A.A. Assessment of Pollution by Heavy Metals in the Air, Soil and Maize (Zea mays L.) in the Phosphate Processing Area in Togo: Effects on Human Health; Université de Lomé: Lomé, Togo, 2015. (In French) [Google Scholar]
  47. Djadou, K.E.; Guédéhoussou, T.; Takassi, O.E.; Fiawoo, M.; Guédénon, K.; Atakouma, Y.D. Evaluation des courbes de corpulence de 9307 élèves du primaire de la ville de Tsévié: Résultat d’une analyse descriptive sur des paramètres anthropométriques. Rev. CAMES SANTE 2017, 5, 72–78. [Google Scholar]
  48. Chien, L.C.; Hung, T.C.; Choang, K.Y.; Choang, K.Y.; Yeh, C.Y.; Meng, P.J.; Shieh, M.J.; Han, B.C. Daily intake of TBT, Cu, Zn, Cd and As for fishermen in Taiwan. Sci. Total Environ. 2002, 285, 177–185. [Google Scholar] [CrossRef] [PubMed]
  49. Zhuang, P.; Li, Z.; McBride, M.B.; Zou, B.; Wang, G. Health risk assessment for consumption of fish originating from ponds near Dabaoshan mine, South China. Environ. Sci. Pollut. Res. 2013, 20, 5844–5854. [Google Scholar] [CrossRef] [PubMed]
  50. Monferran, M.V.; Garnero, P.L.; Wunderlin, D.A.; Bistoni, M.d.L.A. Potential human health risks from metals and As via Odontesthes bonariensis consumption and ecological risk assessments in a eutrophic lake. Ecotoxicol. Environ. Saf. 2016, 129, 302–310. [Google Scholar] [CrossRef] [PubMed]
  51. Yi, Y.; Yang, Z.; Zhang, S. Ecological risk assessment of heavy metals in sediment and human health risk assessment of heavy metals in fishes in the middle and lower reaches of the Yangtze River basin. Environ. Pollut. 2011, 159, 2575–2585. [Google Scholar] [CrossRef]
  52. Varol, M.; Kaya, G.K.; Alp, A. Heavy metal and arsenic concentrations in rainbow trout (Oncorhynchus mykiss) farmed in a dam reservoir on the Firat (Euphrates) River: Risk-based consumption advisories. Sci. Total Environ. 2017, 599–600, 1288–1296. [Google Scholar] [CrossRef]
  53. USEPA. Risk Assessment Guidance for Superfund. In Human Health Evaluation Manual Part A, Interim Final; Volume 1. EPA/540/1-89/002; United States Environmental Protection Agency (USEPA): Washington, DC, USA, 1989. [Google Scholar]
  54. USEPA. Risk-Based Concentration Table; US Environmental Protection Agency (USEPA): Washington, DC, USA, 2010. Available online: http://www.epa.gov/reg3hwmd/risk/human/index.htm (accessed on 20 October 2022).
  55. US EPA. Naphthalene, Chemical Assessment Summary; United States Environmental Protection Agency (US EPA), Integrated Risk Information System (IRIS): Washington, DC, USA, 1998. Available online: https://iris.epa.gov/ChemicalLanding/&substance_nmbr=436 (accessed on 25 October 2022).
  56. OEHHA. No Significant Risk Level (NSRL) for the Proposition 65 Carcinogen Naphthalene; Office of Environmental Health Hazard Assessment (OEHHA), California Environmental Protection Agency: Sacramento, CA, USA, 2005. Available online: https://oehha.ca.gov/media/Naphthalene_NSRL.pdf (accessed on 5 November 2022).
  57. RIVM. Re-Evaluation of Human-Toxicological Maximum Permissible Risk Levels; RIVM report 711701 025; The National Institute for Public Health and the Environment (RIVM), Netherlands Ministry of Health: The Hague, The Netherlands, 2001; Available online: https://www.rivm.nl/bibliotheek/rapporten/711701025.pdf (accessed on 10 November 2022).
  58. INERIS. Choix de Valeur Toxicologique de Référence, Hydrocarbures Aromatiques Polycycliques (HAP); DRC-20-180728-00256A; Institut National de l’Environnement Industriel et des Risques (INERIS): Verneuil-en-Halatte, France, 2019; 34p. [Google Scholar]
  59. US EPA. Fluoranthene, Chemical Assessment Summary; United States Environmental Protection Agency (US EPA), Integrated Risk Information System (IRIS): Washington, DC, USA, 1990. Available online:https://iris.epa.gov/ChemicalLanding/&substance_nmbr=444 (accessed on 15 November 2022).
  60. Santé Canada. Évaluation des Risques Pour Les Sites Contaminés Fédéraux au Canada, Partie II: Valeurs Toxicologiques de Référence (VTR) de Santé Canada et Paramètres de Substances Chimiques Sélectionnées, Version 2.0. Available online: https://publications.gc.ca/site/archivee-archived.html?url=https://publications.gc.ca/collections/collection_2012/sc-hc/H128-1-11-638-fra.pdf (accessed on 16 November 2022).
  61. Geerinckx, T.; Risch, L.; Vreven, E.J.; Adriaens, D.; Teugels, G.G. Claroteidae. In Poissons d′eaux Douces et Saumâtres de Basse Guinée, Ouest de l’Afrique Centrale., Volume 1; Stiassny, M.L.J., Teugels, G.G., Hopkins, C.D., Eds.; Collection Faune et Flore tropicales; Edition IRD; Paris, France, 2007; Volume 42, pp. 586–629. [Google Scholar]
  62. Legendre, M.; Albaret, J.J. Maximum Observed Length (MOL) as an indicator of growth rate in tropical fishes. Aquac. Res. 1991, 94, 327–341. [Google Scholar] [CrossRef]
  63. Otémé, Z.J. Cycle sexuel et fécondité du mâchoiron Chrysichthys nigrodigitatus en lagune Ebrié (Côte d’Ivoire). J. Ivoir. D’océanologie Limnol. 1993, 2, 61–67. [Google Scholar]
  64. Abowei, J.F.N.; Ezekiel, E.N. The length-weight relationship and condition factor of Chrysichthys nigrodigitatus (Lacepède, 1803) from Amassoma River flood plains. Sci. Agric. 2013, 3, 30–37. [Google Scholar]
  65. Akinsanya, B.; Otubanjo, O.A.; Ibidapo, C.A. Helminth Bioload of Chrysichthys nigrodigitatus (Lacepede 1802) from Lekki Lagoon Lagos, Nigeria. Turk. J. Fish. Aquat. Sci. 2007, 7, 83–87. [Google Scholar]
  66. Lalèyè, A.P.; Baras, E.; Philippart, J.-C. Variations du régime alimentaire de Chrysichthys nigrodigitatus et C. auratus (Claroteidae) dans les lagunes du Sud-Bénin. Aquat. Living Resour. 1995, 8, 365–372. [Google Scholar] [CrossRef]
  67. Lawal, M.O.; Sangoleye, O.J.; Seriki, B.M. Morphometry and diet of Chrysichthys nigrodigitatus (Lacépède) in Epe Lagoon, Nigeria. Afr. J. Biotechnol. 2010, 9, 7955–7960. [Google Scholar]
  68. Atobatele, O.E.; Ugwumba, A.O. Condition factor and diet of Chrysichthys nigrodigitatus and Chrysichthys auratus (Siluriformes: Bagridae) from Aiba Reservoir, Iwo, Nigeria. J. Trop. Biol. 2011, 59, 1233–1244. [Google Scholar]
  69. Andem, A.B.; George, U.U.; Eyo, V.O. Length Frequency Distribution of (Chrysichthys nigrodigitatus) (Lecepede, 1803) (Chrysichthys, Bagridae) from Itu Head Brigde, in Akwa Ibom State, Nigeria. Int. J. Sci. Res. 2013, 2, 258–266. [Google Scholar]
  70. Irom, O.; Offem, B.O.; Keremah, R.I. Length-weight relationship, condition factor and gut content of Chrysichthys Furcatus Gunther, 1864 (Bagridae) from Cross River at Ahaha. Fish. Aquac. J. 2017, 8. [Google Scholar] [CrossRef]
  71. Cheung, K.C.; Leung, H.M.; Kong, K.Y.; Wong, M.H. Residual levels of DDTs and PAHs in freshwater and marine fish from Hong Kong markets and their health risk assessment. Chemosphere 2007, 66, 460–468. [Google Scholar] [CrossRef] [PubMed]
  72. Nkpaa, K.W.; Wegwu, M.O.; Essien, E.B. Assessment of Polycyclic Aromatic Hydrocarbons (PAHs) Levels in Two Commercially Important Fish Species from crude oil polluted Waters of Ogoniland and Their Carcinogenic Health Risks. J. Environ. Earth Sci. 2013, 3, 128–137. [Google Scholar]
  73. Bandowe, B.A.M.; Bigalke, M.; Boamah, L.; Nyarko, E.; Saalia, F.K.; Wilcke, W. Polycyclic aromatic compounds (PAHs and oxygenated PAHs) and trace metals in fish species from Ghana (West Africa): Bioaccumulation and health risk assessment. Environ. Int. 2014, 65, 135–146. [Google Scholar] [CrossRef]
  74. Soclo, H.H.; Budzinski, H.; Garrigues, P.; Matsuzawa, S. Biota accumulation of polycyclic aromatic hydrocarbons in Benin coastal waters. Polycycl. Aromat. Compd. 2008, 28, 112–127. [Google Scholar] [CrossRef]
  75. Da Silva, T.F.; Azevedo, D.D.; De Aquino Neto, F.R. Polycyclic aromatic hydrocarbons in fishes and sediments from the Guanabara Bay, Brazil. Environ. Forensics 2007, 8, 257–264. [Google Scholar] [CrossRef]
  76. Xu, F.L.; Wu, W.J.; Wang, J.J.; Qin, N.; Wang, Y.; He, Q.S.; He, W.; Tao, S. Residual levels and health risk of polycyclic aromatic hydrocarbons in freshwater fishes from Lake Small Bai-Yang-Dian, Northern China. Ecol. Model 2011, 222, 275–286. [Google Scholar] [CrossRef]
  77. Sampaio, G.R.; Guizellini, G.M.; da Silva, S.A.; de Almeida, A.P.; Pinaffi-Langley, A.C.C.; Rogero, M.M.; de Camargo, A.C.; Torres, E.A.F.S. Polycyclic Aromatic Hydrocarbons in Foods: Biological Effects, Legislation, Occurrence, Analytical Methods, and Strategies to Reduce Their Formation. Int. J. Mol. Sci. 2021, 22, 6010. [Google Scholar] [CrossRef] [PubMed]
  78. Webster, L.; Russell, M.; Shepherd, N.; Packer, G.; Dalgarno, E.J.; Neat, F. Monitoring of Polycyclic Aromatic Hydrocarbons (PAHs) in Scottish Deepwater environments. Mar. Pollut. Bull. 2018, 128, 456–459. [Google Scholar] [CrossRef] [PubMed]
  79. Barhoumi, B.; El Megdiche, Y.; Cle’randeau, C.; Ameur, W.B.; Mekni, S.; Bouabdallah, S. Occurrence of polycyclic aromatic hydrocarbons (PAHs) in mussel (Mytilus galloprovincialis) and eel (Anguilla anguilla) from Bizerte lagoon, Tunisia and associated human health risk assessment. Cont. Shelf Res. 2016, 124, 104–116. [Google Scholar] [CrossRef]
  80. Yakan, S.D.; Focks, A.; Klasmeier, J.; Okay, O.S. Numerical evaluation of bioaccumulation and depuration kinetics of PAHs in Mytilus galloprovincialis. Environ. Pollut. 2017, 220, 1244–1250. [Google Scholar] [CrossRef]
  81. Sauer, T.C.; Brown, J.S.; Boehm, P.D.; Aurand, D.V.; Micheal, J.; Hayes, M.O. Hydrocarbon Characterization of Intertidal and Subtidal Sediment of Saudi Arabia from the Gulf War Oil Spill; MSRC Technical Report Series; Marine Spill Response Corporation: Washington, DC, USA, 1993; Volume II.
  82. Logan, D.T. Perspective on ecotoxicology of PAHs to fish. Hum. Ecol. Risk Assess. 2007, 13, 302–316. [Google Scholar] [CrossRef]
  83. Wilcke, W. Global patterns of polycyclic aromatic hydrocarbons (PAHs) in soil. Geoderma 2007, 141, 157–166. [Google Scholar] [CrossRef]
  84. Babatunde, A.M.; Waidi, O.A.; Adeolu, A.A. Bioaccumulation of heavy metals in fish (Hydrocynus forskahlii, Hyperopisus bebe occidentalis and Clarias gariepinus) organs in downstream ogun coastal water, Nigeria. Transnatl. J. Sci. Technol. 2012, 2, 119–133. [Google Scholar]
  85. Shukla, V.; Dhankhar, M.; Prakash, J.; Sastry, K.V. Bioaccumulation of Zn, Cu, and Cd in Channa puntatus. J. Environ. Biol. 2007, 28, 395–397. [Google Scholar]
  86. Triebskorn, R.; Köhler, H.-R.; Honnen, W.; Schramm, M.; Adams, S.M.; Müller, E.F. Induction of heat shock proteins changes in liver ultrastructure and alterations of fish behavior: Are these biomarkers related and are they useful to reflect the state of pollution in the field? J. Aquat. Ecosyst. Stress Recovery 1997, 6, 57–73. [Google Scholar] [CrossRef]
  87. Hellou, J.; Warren, W.G. Polycyclic aromatic compounds and saturated hydrocarbons in tissues of flatfish: Insight on environmental exposure. Mar. Environ. Res. 1997, 43, 11–25. [Google Scholar] [CrossRef]
  88. Verhaert, V.; Newmark, N.; D’Hollander, W.; Covaci, A.; Vlok, W.; Wepener, V.; Addo-Bediako, A.; Jooste, A.; Teuchies, J.; Blust, R.; et al. Persistent organic pollutants in the Olifants River Basin, South Africa: Bioaccumulation and trophic transfer through a subtropical aquatic food web. Sci. Total Environ. 2017, 586, 792–806. [Google Scholar] [CrossRef] [PubMed]
  89. Douben, P.E. Lead and cadmium in stone loach (Noemacheilus barbatulus L.) from three rivers in Derbyshire. Ecotoxicol. Environ. Saf. 1989, 18, 35–58. [Google Scholar] [CrossRef] [PubMed]
  90. Ben Salem, Z.; Capelli, N.; Laffray, X.; Elise, G.; Ayadi, H.; Aleya, L. Seasonal variation of heavy metals in water, sediment and roach tissues in a landfill draining system pond (Etueffont, France). Ecol. Eng. 2014, 69, 25–37. [Google Scholar] [CrossRef]
  91. Hounkpatin, A.S.Y.; Edorh, A.P.; Salifou, S.; Gnandi, K.; Koumolou, L.; Agbandji, L.; Aissi, K.A.; Gouissi, M.; Boko, M. Assessment of exposure risk to lead and cadmium via fish consumption in the lacusrian village of Ganvié in Benin republic. J. Environ. Chem. Ecotoxicol. 2012, 4, 1–10. [Google Scholar] [CrossRef]
  92. RCAP. Gathering Strength. Royal Commission on Aboriginal Peoples (RCAP); Canada Communications Group Publishing: Ottawa, ON, Canada, 1996; Volume 3, p. 668. [Google Scholar]
Figure 1. Location map showing sampling sites.
Figure 1. Location map showing sampling sites.
Ijerph 20 01666 g001
Figure 2. Frequency histograms of fish total lengths (a) and total weights (b).
Figure 2. Frequency histograms of fish total lengths (a) and total weights (b).
Ijerph 20 01666 g002
Figure 3. Boxplot diagrams of LMW and HMW PAHs concentrations in fish organs. Note: ***: Significant test (p < 0.05), ns: non-significant test (p > 0.05).
Figure 3. Boxplot diagrams of LMW and HMW PAHs concentrations in fish organs. Note: ***: Significant test (p < 0.05), ns: non-significant test (p > 0.05).
Ijerph 20 01666 g003
Figure 4. Comparison of PAH concentrations between fish organs. Note: For each element, the organs bearing the same letters are statistically homogeneous unlike those bearing different letters (ANOVA followed by Newman-Keuls test).
Figure 4. Comparison of PAH concentrations between fish organs. Note: For each element, the organs bearing the same letters are statistically homogeneous unlike those bearing different letters (ANOVA followed by Newman-Keuls test).
Ijerph 20 01666 g004
Figure 5. Projection of variables (PAHs) (a) and observations (Organs) (b) in the factorial plane F1 × F2 (M: muscle, G: gills, L: liver).
Figure 5. Projection of variables (PAHs) (a) and observations (Organs) (b) in the factorial plane F1 × F2 (M: muscle, G: gills, L: liver).
Ijerph 20 01666 g005
Figure 6. Variation of PAH contents according to size classes of fish.
Figure 6. Variation of PAH contents according to size classes of fish.
Ijerph 20 01666 g006
Table 1. RfDo for non-carcinogenic effects and CSFo for carcinogenic effects.
Table 1. RfDo for non-carcinogenic effects and CSFo for carcinogenic effects.
PAHsRfDo: Oral Reference Dose (mg/kg/d)CSFo: Oral Cancer Slope Factor (mg/kg/d)−1
ValuesAgency and YearsValuesAgency and Years
Nap2 × 10−2US EPA/1998 [55]1.2 × 10−1OEHHA/2005 [56]
Ant4 × 10−2 RIVM/2001 [57]1 × 10−2INERIS/2018 [58]
Phe4 × 10−2RIVM/2001 [57]1 × 10−3INERIS/2018 [58]
Flu4 × 10−2US EPA/1990 [59]5 × 10−2 RIVM/2001 [57]
Pyr3 × 10−2 Canada/1993 [60]5 × 10−1RIVM/2001 [57]
BaA--10−1INERIS/2018 [58]
Chr--10−2INERIS/2018 [58]
Table 2. Statistical parameters of polycyclic aromatic hydrocarbons contents in fish organs.
Table 2. Statistical parameters of polycyclic aromatic hydrocarbons contents in fish organs.
Statistical ParametersPAH Concentrations [µg/kg of Wet Weight (µg/kg w.w.)]tPAHs
NapAcyAceAntPheFluPyrBaAChrBaPBbFBkF
Muscles (n = 30)
Min<1--1.11<1<1<1<1---5.24
Max16.4--9.230.722.44.53.5---48.40
Average6.69ndnd3.386.121.421.592.722.24ndndnd14.51
SD4.15--1.666.940.370.580.890.74---8.95
Gills (n = 30)
Min<1--1.71.8<1<1<12.1---5.90
Max5.4--6.8182.31.97.16.8---28.20
Average2.56ndnd3.315.411.601.434.194.16ndndnd14.90
SD1.26--1.043.910.500.391.451.36---5.19
Livers (n = 30)
Min13.5--2.3<1<1<16.34.6---43.20
Max94.7--5.29.33.74.623.222.9---149.00
Average41.71ndnd3.697.022.672.6316.1414.78ndndnd80.74
SD21.14--0.811.510.550.904.184.33---27.08
Average of organs16.99ndnd3.466.181.901.887.687.06ndndnd45.15
nd: not detected; ww: wet weight.
Table 3. Eigenvalues, total variances and correlation between variables and axes.
Table 3. Eigenvalues, total variances and correlation between variables and axes.
F1F2F3
BaA−0.900.12−0.08
Chr−0.880.24−0.17
Nap−0.810.30−0.01
Flu−0.550.07−0.25
Phe−0.34−0.840.11
Ant−0.51−0.740.00
Pyr−0.370.180.90
Eigenvalues3.051.450.91
Total variance explained43.5320.7813.05
Cumulative total variance43.5364.3177.36
Table 4. Results of the various PAH concentration ratios and the probable source.
Table 4. Results of the various PAH concentration ratios and the probable source.
Average Ratios of PAH Concentrations
Phe/AntFlu/PyrAnt/(Ant+Phe)Flu/(Flu+Pyr)BaA/(BaA+Chr)LMW PAHs/HMW PAHs
Muscles (n = 30)
Value1.710.810.660.910.594.66
SourcePyrog.Petrog.Pyrog.Pyrog.Pyrog.Petrog.
Gills (n = 30)
Value1.370.900.690.870.531.26
SourcePyrog.Petrog.Pyrog.Pyrog.Pyrog.Petrog.
Livers (n = 30)
Value1.970.820.760.840.521.52
SourcePyrog.Petrog.Pyrog.Pyrog.Pyrog.Petrog.
Note: Pyrog. = pyrogenic, Petrog. = petrogenic.
Table 5. Hazard quotient (HQ) for non-carcinogenic effect.
Table 5. Hazard quotient (HQ) for non-carcinogenic effect.
PAHsHazard Quotient (HQ)
MusclesCombined Three Organs
AdultsChildrenAdultsChildren
Nap8.25 × 10−41.25 × 10−32.09 × 10−33.19 × 10−3
Ant2.08 × 10−43.17 × 10−42.13 × 10−43.24 × 10−4
Phe3.77 × 10−45.74 × 10−43.81 × 10−45.80 × 10−4
Flu8.75 × 10−51.33 × 10−41.17 × 10−41.78 × 10−4
Pyr1.31 × 10−41.99 × 10−41.55 × 10−42.35 × 10−4
THQ1.63 × 10−32.48 × 10−32.96 × 10−34.50 × 10−3
Table 6. The cancer risk (CR) for carcinogenic effect.
Table 6. The cancer risk (CR) for carcinogenic effect.
PAHsCancer risk (CR)
MusclesCombined Three Organs
AdultsChildrenAdultsChildren
Nap8.48 × 10−71.29 × 10−62.15 × 10−63.28 × 10−6
Ant3.57 × 10−85.43 × 10−83.66 × 10−85.56 × 10−8
Phe6.47 × 10−99.84 × 10−96.53 × 10−99.94 × 10−9
Flu7.50 × 10−81.14 × 10−71.00 × 10−71.52 × 10−7
Pyr8.40 × 10−71.28 × 10−69.95 × 10−71.51 × 10−6
BaA2.87 × 10−74.37 × 10−78.12 × 10−71.23 × 10−6
Chr2.37 × 10−83.60 × 10−87.46 × 10−81.13 × 10−7
Table 7. Comparison of the concentrations of the present study with those of the literature.
Table 7. Comparison of the concentrations of the present study with those of the literature.
Fish OrgansPAHs (µg/kg) Reference
NapAcyAceAntPheFluPyrBaAChrBaPBbFBkFHAP t
Muscle3.851.56--0.35.19------10.9[1]
Muscle0.180.3817.2010.9341.718.7910.56-7.200.1518.169.43118.34[40]
Muscle4.600.600.981.562.991.911.450.350.73n.d.n.d.n.d.15.15[71]
Muscle17.682.282.902.092.002.903.6911.872.901.85-nd50.12[39]
Muscle0.117.213.290.290.160.270.953.820.191.1858.830.0771.52[72]
Musclend0.231.070.610.520.160.200.480.032.9953.070.0358.30
Muscle------------165.22[73]
Gill------------238.75
Muscle2.352.152.402.551.803.501.451.201.600.701.404.0025.10[75]
Muscle1.351.091.071.260.711.081.993.0853.9112.34--27.90[19]
Gill1.092.661.651.390.901.881.893.9910.866.97--33.31
Liver1.701.891.371.030.741.621.763.573.893.79--21.38
Muscle1.550.230.144.5413.360.533.170.020.050.000.030.0123.63[76]
Gill2.050.370.156.926.350.851.180.180.640.090.110.0418.91
Liver2.380.620.221.736.015.052.100.280.200.180.300.1219.18
Muscle---2.666.851.472.131.152.631.750.780.3519.76[74]
Muscle6.69ndnd3.386.121.421.592.722.24ndndnd14.51Present study
Gill2.56ndnd3.315.411.61.434.194.16ndndnd14.90
Liver41.71ndnd3.697.022.672.6316.1414.78ndndnd80.74
Note: nd = not detected.
Disclaimer/Publisher’s Note: The statements, opinions and data contained in all publications are solely those of the individual author(s) and contributor(s) and not of MDPI and/or the editor(s). MDPI and/or the editor(s) disclaim responsibility for any injury to people or property resulting from any ideas, methods, instructions or products referred to in the content.

Share and Cite

MDPI and ACS Style

Ouro-Sama, K.; Tanouayi, G.; Solitoke, H.D.; Barsan, N.; Mosnegutu, E.; Badassan, T.E.-E.; Agbere, S.; Adje, K.; Nedeff, V.; Gnandi, K. Polycyclic Aromatic Hydrocarbons (PAHs) Contamination in Chrysichthys nigrodigitatus Lacépède, 1803 from Lake Togo-Lagoon of Aného, Togo: Possible Human Health Risk Suitable to Their Consumption. Int. J. Environ. Res. Public Health 2023, 20, 1666. https://doi.org/10.3390/ijerph20031666

AMA Style

Ouro-Sama K, Tanouayi G, Solitoke HD, Barsan N, Mosnegutu E, Badassan TE-E, Agbere S, Adje K, Nedeff V, Gnandi K. Polycyclic Aromatic Hydrocarbons (PAHs) Contamination in Chrysichthys nigrodigitatus Lacépède, 1803 from Lake Togo-Lagoon of Aného, Togo: Possible Human Health Risk Suitable to Their Consumption. International Journal of Environmental Research and Public Health. 2023; 20(3):1666. https://doi.org/10.3390/ijerph20031666

Chicago/Turabian Style

Ouro-Sama, Kamilou, Gnon Tanouayi, Hodabalo Dheoulaba Solitoke, Narcis Barsan, Emilian Mosnegutu, Tchaa Esso-Essinam Badassan, Sadikou Agbere, Koudjo Adje, Valentin Nedeff, and Kissao Gnandi. 2023. "Polycyclic Aromatic Hydrocarbons (PAHs) Contamination in Chrysichthys nigrodigitatus Lacépède, 1803 from Lake Togo-Lagoon of Aného, Togo: Possible Human Health Risk Suitable to Their Consumption" International Journal of Environmental Research and Public Health 20, no. 3: 1666. https://doi.org/10.3390/ijerph20031666

APA Style

Ouro-Sama, K., Tanouayi, G., Solitoke, H. D., Barsan, N., Mosnegutu, E., Badassan, T. E.-E., Agbere, S., Adje, K., Nedeff, V., & Gnandi, K. (2023). Polycyclic Aromatic Hydrocarbons (PAHs) Contamination in Chrysichthys nigrodigitatus Lacépède, 1803 from Lake Togo-Lagoon of Aného, Togo: Possible Human Health Risk Suitable to Their Consumption. International Journal of Environmental Research and Public Health, 20(3), 1666. https://doi.org/10.3390/ijerph20031666

Note that from the first issue of 2016, this journal uses article numbers instead of page numbers. See further details here.

Article Metrics

Back to TopTop