Degradation of Agro-Industrial Wastewater Model Compound by UV-A-Fenton Process: Batch vs. Continuous Mode
Abstract
1. Introduction
2. Materials and Methods
2.1. Reagents
2.2. Analytical Determinations
2.3. Fenton-Based Experimental Procedure
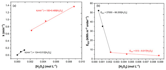
2.4. Electrical Energy Determination
3. Results
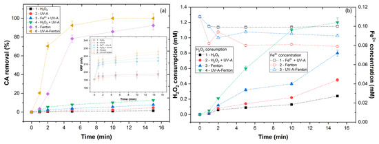
3.1. Chemical Degradability of Caffeic Acid
3.2. Effect of pH
3.3. Effect of H2O2 Concentration
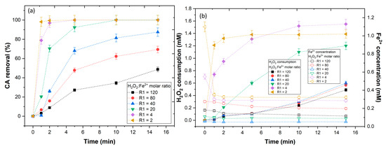
3.4. Effect of Fe2+ Concentration
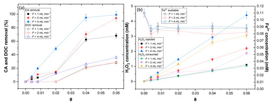
3.5. Experiments in Continuous Mode
4. Conclusions
Author Contributions
Funding
Institutional Review Board Statement
Informed Consent Statement
Data Availability Statement
Acknowledgments
Conflicts of Interest
References
- Alayu, E.; Yirgu, Z. Advanced technologies for the treatment of wastewaters from agro-processing industries and cogeneration of by-products: A case of slaughterhouse, dairy and beverage industries. Int. J. Environ. Sci. Technol. 2018, 15, 1581–1596. [Google Scholar] [CrossRef]
- Rajagopal, R.; Saady, N.M.C.; Torrijos, M.; Thanikal, J.V.; Hung, Y.T. Sustainable agro-food industrial wastewater treatment using high rate anaerobic process. Water 2013, 5, 292–311. [Google Scholar] [CrossRef]
- Amor, C.; Marchão, L.; Lucas, M.S.; Peres, J.A. Application of advanced oxidation processes for the treatment of recalcitrant agro-industrial wastewater: A review. Water 2019, 11, 205. [Google Scholar] [CrossRef]
- Krzemińska, D.; Neczaj, E.; Borowski, G. Advanced oxidation processes for food industrial wastewater decontamination. J. Ecol. Eng. 2015, 16, 61–71. [Google Scholar] [CrossRef]
- Spennati, E.; Casazza, A.A.; Converti, A. Winery wastewater treatment by microalgae to production purposes. Energies 2020, 13, 2490. [Google Scholar] [CrossRef]
- Ioannou, L.A.; Puma, G.L.; Fatta-Kassinos, D. Treatment of winery wastewater by physicochemical, biological and advanced processes: A review. J. Hazard. Mater. 2015, 286, 343–368. [Google Scholar] [CrossRef]
- Jorge, N.; Santos, C.; Teixeira, A.R.; Marchão, L.; Tavares, P.B.; Lucas, M.S.; Peres, J.A. Treatment of agro-industrial wastewaters by coagulation-flocculation-decantation and advanced oxidation processes—A literature review. Eng. Proc. 2022, 19, 33. [Google Scholar] [CrossRef]
- Ferreira, R.; Gomes, J.; Martins, R.C.; Costa, R.; Quinta-Ferreira, R.M. Winery wastewater treatment by integrating Fenton’s process with biofiltration by Corbicula fluminea. J. Chem. Technol. Biotechnol. 2018, 93, 333–339. [Google Scholar] [CrossRef]
- Gernjak, W.; Maldonado, M.I.; Malato, S.; Caceres, J.; Krutzler, T.; Glaser, A.; Bauer, R. Pilot-Plant treatment of olive mill wastewater (OMW) by solar TiO2 photocatalysis and solar photo-Fenton. Sol. Energy 2004, 77, 567–572. [Google Scholar] [CrossRef]
- Vijayaraghavalu, S.; Prasad, H.K.; Kumar, M. Treatment and recycling of wastewater from winery. In Advances in Biological Treatment of Industrial Waste Water and their Recycling for a Sustainable Future. Applied Environmental Science and Engineering for a Sustainable Future; Singh, R.L., Singh, R.P., Eds.; Springer: Singapore, 2019; pp. 167–197. [Google Scholar]
- Beltrán-Heredia, J.; Sánchez-Martín, J.; Muñoz-Serrano, A.; Peres, J.A. Towards overcoming TOC increase in wastewater treated with moringa oleifera seed extract. Chem. Eng. J. 2012, 188, 40–46. [Google Scholar] [CrossRef]
- Yáñez, E.; Santander, P.; Contreras, D.; Yáñez, J.; Cornejo, L.; Mansilla, H.D. Homogeneous and heterogeneous degradation of caffeic acid using photocatalysis driven by UVA and solar light. J. Environ. Sci. Health Part A 2016, 51, 78–85. [Google Scholar] [CrossRef]
- Filipe-Ribeiro, L.; Milheiro, J.; Matos, C.C.; Cosme, F.; Nunes, F.M. Data on changes in red wine phenolic compounds, headspace aroma compounds and sensory profile after treatment of red wines with activated carbons with different physicochemical characteristics. Data Br. 2017, 12, 188–202. [Google Scholar] [CrossRef] [PubMed]
- Milheiro, J.; Filipe-Ribeiro, L.; Cosme, F.; Nunes, F.M. A simple, cheap and reliable method for control of 4-ethylphenol and 4-ethylguaiacol in red wines. screening of fining agents for reducing volatile phenols levels in red wines. J. Chromatogr. B 2017, 1041–1042, 183–190. [Google Scholar] [CrossRef] [PubMed]
- Soto, M.L.; Moure, A.; Domínguez, H.; Parajó, J.C. Recovery, concentration and purification of phenolic compounds by adsorption: A review. J. Food Eng. 2011, 105, 1–27. [Google Scholar] [CrossRef]
- Venditti, F.; Cuomo, F.; Ceglie, A.; Avino, P.; Russo, M.V.; Lopez, F. Visible light caffeic acid degradation by carbon-doped titanium dioxide. Langmuir 2015, 31, 3627–3634. [Google Scholar] [CrossRef]
- Tolba, M.F.; Azab, S.S.; Khalifa, A.E.; Abdel-Rahman, S.Z.; Abdel-Naim, A.B. Caffeic acid phenethyl ester, a promising component of propolis with a plethora of biological activities: A review on its anti-inflammatory, neuroprotective, hepatoprotective, and cardioprotective effects. IUBMB Life 2013, 65, 699–709. [Google Scholar] [CrossRef]
- Bello, M.M.; Raman, A.A.A.; Asghar, A. A review on approaches for addressing the limitations of Fenton oxidation for recalcitrant wastewater treatment. Process Saf. Environ. Prot. 2019, 126, 119–140. [Google Scholar] [CrossRef]
- Neyens, E.; Baeyens, J. A Review of classic Fenton’s peroxidation as an advanced oxidation technique. J. Hazard. Mater. 2003, 98, 33–50. [Google Scholar] [CrossRef]
- Cuerda-Correa, E.M.; Alexandre-Franco, M.F.; Fernández-González, C. Advanced oxidation processes for the removal of antibiotics from water. An overview. Water 2020, 12, 102. [Google Scholar] [CrossRef]
- Wang, J.; Chen, H. Catalytic ozonation for water and wastewater treatment: Recent advances and perspective. Sci. Total Environ. 2020, 704, 135249. [Google Scholar] [CrossRef]
- Dowd, K.O.; Pillai, S.C. Photo-Fenton disinfection at near neutral pH: Process, parameter optimization and recent advances. J. Environ. Chem. Eng. 2020, 8, 104063. [Google Scholar] [CrossRef]
- Chong, M.N.; Jin, B.; Chow, C.W.; Saint, C. Recent developments in photocatalytic water treatment technology: A review. Water Res. 2010, 44, 2997–3027. [Google Scholar] [CrossRef] [PubMed]
- Umar, M.; Aziz, H.A.; Yusoff, M.S. Trends in the use of Fenton, electro-Fenton and photo-Fenton for the treatment of landfill leachate. Waste Manag. 2010, 30, 2113–2121. [Google Scholar] [CrossRef] [PubMed]
- Wu, Y.; Passananti, M.; Brigante, M.; Dong, W.; Mailhot, G. Fe (III)–EDDS complex in Fenton and photo-Fenton processes: From the radical formation to the degradation of a target compound. Environ. Sci. Pollut. Res. 2014, 21, 12154–12162. [Google Scholar] [CrossRef]
- Chen, J.; Loeb, S.; Kim, J. LED revolution: Fundamentals and prospects for UV disinfection applications. Environ. Sci. Water Res. Technol. 2017, 3, 188–202. [Google Scholar] [CrossRef]
- Bronze, M.R.; Crespo, J.G.; Pereira, V.J.; Janssens, R.; Cristo, B.M.; Luis, P. Photocatalysis using UV-A and UV-C light sources for advanced oxidation of anti-cancer drugs spiked in laboratory-grade water and synthetic urine. Ind. Eng. Chem. Res. 2020, 59, 647–653. [Google Scholar] [CrossRef]
- Natarajan, K.; Natarajan, T.S.; Bajaj, H.C.; Tayade, R.J. Photocatalytic Reactor Based on UV-LED/TiO2 coated quartz tube for degradation of dyes. Chem. Eng. J. 2011, 178, 40–49. [Google Scholar] [CrossRef]
- Rojviroon, T.; Laobuthee, A.; Sirivithayapakorn, S. Photocatalytic activity of toluene under UV-LED light with TiO2 thin films. Int. J. Photoenergy 2012, 2012, 898464. [Google Scholar] [CrossRef]
- Rosales, E.; Pazos, M.; Longo, M.A.; Sanromán, M.A. Electro-Fenton Decoloration of Dyes in a Continuous Reactor: A promising technology in colored wastewater treatment. Chem. Eng. J. 2009, 155, 62–67. [Google Scholar] [CrossRef]
- Mudnic, I.; Modun, D.; Rastija, V.; Vukovic, J.; Brizic, I.; Katalinic, V.; Kozina, B.; Medic-Saric, M.; Boban, M. Antioxidative and vasodilatory effects of phenolic acids in wine. Food Chem. 2010, 119, 1205–1210. [Google Scholar] [CrossRef]
- Jorge, N.; Teixeira, A.R.; Matos, C.C.; Lucas, M.S.; Peres, J.A. Combination of coagulation–flocculation–decantation and ozonation processes for winery wastewater treatment. Int. J. Environ. Res. Public Health 2021, 18, 8882. [Google Scholar] [CrossRef] [PubMed]
- Ferreira, L.C.; Fernandes, J.R.; Rodriguez-Chueca, J.; Peres, J.A.; Lucas, M.S.; Tavares, P.B. Photocatalytic degradation of an agro-industrial wastewater model compound using a UV LEDs system: Kinetic study. J. Environ. Manag. 2020, 269, 110740. [Google Scholar] [CrossRef] [PubMed]
- Benitez, F.J.; Real, F.J.; Acero, J.L.; Leal, A.I.; Garcia, C. Gallic acid degradation in aqueous solutions by UV/H2O2 treatment, fenton’s reagent and the photo-fenton system. J. Hazard. Mater. 2005, 126, 31–39. [Google Scholar] [CrossRef] [PubMed]
- Kaplan, F.; Hesenov, A.; Gözmen, B.; Erbatur, O. Degradations of model compounds representing some phenolics in olive mill wastewater via electro-Fenton and photoelectro-Fenton treatments. Environ. Technol. 2011, 32, 685–692. [Google Scholar] [CrossRef] [PubMed]
- Jorge, N.; Teixeira, A.R.; Lucas, M.S.; Peres, J.A. Combined organic coagulants and photocatalytic processes for winery wastewater treatment. J. Environ. Manag. 2023, 326, 116819. [Google Scholar] [CrossRef] [PubMed]
- Cruz, A.; Couto, L.; Esplugas, S.; Sans, C. Study of the contribution of homogeneous catalysis on heterogeneous Fe (III)/Alginate mediated photo-fenton process. Chem. Eng. J. 2017, 318, 272–280. [Google Scholar] [CrossRef]
- Feng, X.; Wang, Z.; Chen, Y.; Tao, T.; Wu, F.; Zuo, Y. Effect of Fe (III)/Citrate concentrations and ratio on the photoproduction of hydroxyl radicals: Application on the degradation of diphenhydramine. Ind. Eng. Chem. Res. 2012, 51, 7007–7012. [Google Scholar] [CrossRef]
- Masomboon, N.; Ratanatamskul, C.; Lu, M. Mineralization of 2, 6-dimethylaniline by photoelectro-Fenton process. Appl. Catal. A Gen. 2010, 384, 128–135. [Google Scholar] [CrossRef]
- Gao, L.; Cao, Y.; Wang, L.; Li, S. A review on sustainable reuse applications of Fenton sludge during wastewater treatment. Front. Environ. Sci. Eng. 2022, 16, 77. [Google Scholar] [CrossRef]
- Zha, F.G.; Yao, D.X.; Hu, Y.B.; Gao, L.M.; Wang, X.M. Integration of US/Fe2+ and photo-Fenton in sequencing for degradation of landfill leachate. Water Sci. Technol. 2016, 73, 260–266. [Google Scholar] [CrossRef] [PubMed]
- Agrawal, S.; Nirwan, N.; Chohadia, A. Degradation of acriflavine using environmentally benign process involving singlet-oxygen-photo-fenton: A comparative study. J. Photochem. Photobiol. A Chem. 2020, 398, 112547. [Google Scholar] [CrossRef]
- Li, Y.; Cheng, H. Chemical kinetic modeling of organic pollutant degradation in Fenton and solar photo-Fenton processes. J. Taiwan Inst. Chem. Eng. 2021, 123, 175–184. [Google Scholar] [CrossRef]
- Jorge, N.; Teixeira, A.R.; Lucas, M.S.; Peres, J.A. Agro-industrial wastewater treatment with acacia dealbata coagulation/flocculation and photo-Fenton-based processes. Recycling 2022, 7, 54. [Google Scholar] [CrossRef]
- Faggiano, A.; De Carluccio, M.; Fiorentino, A.; Ricciardi, M.; Cucciniello, R.; Proto, A.; Rizzo, L. Photo-Fenton like process as polishing step of biologically co-treated olive mill wastewater for phenols removal. Sep. Purif. Technol. 2023, 305, 122525. [Google Scholar] [CrossRef]
- Gupta, A.; Garg, A. Degradation of ciprofloxacin using Fenton’s oxidation: Effect of operating parameters, identification of oxidized by-products and toxicity assessment. Chemosphere 2018, 193, 1181–1188. [Google Scholar] [CrossRef]
- Xavier, S.; Gandhimathi, R.; Nidheesh, P.V.; Ramesh, S.T. Comparative removal of magenta mb from aqueous solution by homogeneous and heterogeneous photo-Fenton processes. Desalin. Water Treat. 2016, 57, 12832–12841. [Google Scholar] [CrossRef]
- Tapia-tlatelpa, T.; Buscio, V.; Trull, J.; Sala, V. Performance analysis and methodology for replacing conventional lamps by optimized LED arrays for photocatalytic processes. Chem. Eng. Res. Des. 2020, 156, 456–468. [Google Scholar] [CrossRef]
- Rahmah, A.U.; Harimurti, S.; Murugesan, T. Experimental investigation on the effect of wastewater matrix on oxytetracycline mineralization using UV/H2O2 system. Int. J. Environ. Sci. Technol. 2017, 14, 1225–1233. [Google Scholar] [CrossRef]
- Kim, T.; Don, S.; Young, H.; Joo, S.; Lee, M.; Yu, S. Degradation and toxicity assessment of sulfamethoxazole and chlortetracycline using electron beam, ozone and UV. J. Hazard. Mater. 2012, 227–228, 237–242. [Google Scholar] [CrossRef] [PubMed]
- Jorge, N.; Teixeira, A.R.; Marchão, L.; Lucas, M.S.; Peres, J.A. Application of combined coagulation–flocculation–decantation/photo-Fenton/adsorption process for winery wastewater treatment. Eng. Proc. 2022, 19, 22. [Google Scholar] [CrossRef]
- Kanafin, Y.N.; Makhatova, A.; Meiramkulova, K.; Poulopoulos, S.G. Treatment of a poultry slaughterhouse wastewater using advanced oxidation processes. J. Water Process Eng. 2022, 47, 102694. [Google Scholar] [CrossRef]
- Teixeira, A.R.; Jorge, N.; Fernandes, J.R.; Lucas, M.S.; Peres, J.A. Textile dye removal by acacia dealbata link. pollen adsorption combined with UV-A/NTA/Fenton process. Top. Catal. 2022, 65, 1045–1061. [Google Scholar] [CrossRef]
- Rózsa, G.; Kozmér, Z.; Alapi, T.; Schrantz, K.; Takács, E.; Wojnárovits, L. Transformation of Z-thiacloprid by three advanced oxidation processes: Kinetics, intermediates and the role of reactive species. Catal. Today 2017, 284, 187–194. [Google Scholar] [CrossRef]
- Esteves, B.M.; Rodrigues, C.S.D.; Madeira, L.M. Synthetic olive mill wastewater treatment by Fenton’s process in batch and continuous reactors operation. Environ. Sci. Pollut. Res. 2018, 25, 34826–34838. [Google Scholar] [CrossRef] [PubMed]
- Monteil, H.; Pechaud, Y.; Oturan, N.; Trellu, C.; Oturan, M.A. Pilot scale continuous reactor for water treatment by electrochemical advanced oxidation processes: Development of a new hydrodynamic/reactive combined model. Chem. Eng. J. 2021, 404, 127048. [Google Scholar] [CrossRef]









| Name | Molecular Formula | Molecular Structure | λmax (nm) | Molecular Weight (g/mol) | 
|---|---|---|---|---|
| Caffeic acid (CA) | (HO)2C6H3CH=CHCO2H |  | 324 | 180.16 | 
| Contaminants | AOP Processes | Conditions | EEO (kWh.m−3 order−1 | References | 
|---|---|---|---|---|
| Caffeic acid | UV-A LED/H2O2/Fe2+ | [CA] = 5.5 × 10−4 mol L−1, [H2O2] = 2.2 × 10−3 mol L−1, [Fe2+] = 1.1 × 10−4 mol L−1 | 7.23 | Present work | 
| Caffeic acid (CA) | UV-A-Fenton | [CA] = 10 mg L−1, [H2O2] = 82.4 µmol L−1, [Fe2+] = 558.6 µmol L−1 | 30 | Yáñez et al. [12] | 
| Winery wastewater | UV-A-Fenton | TOC = 1601 mg C L−1, [Fe2+] = 2.5 mM, [H2O2] = 225 mM, pH = 3.0, agitation = 350 rpm, t = 150 min | 641 | Jorge et al. [51] | 
| Winery wastewater | UV-C-Fenton | TOC = 1601 mg C L−1, [Fe2+] = 2.5 mM, [H2O2] = 225 mM, pH = 3.0, agitation = 350 rpm, t = 150 min | 170 | |
| Poultry slaughterhouse wastewater | UV-C-Fenton | TOC = 68.66 mg C L−1, [Fe2+] = 20 mg L−1, [H2O2] = 98 mM, pH = 3.3, agitation = 350 rpm, t = 150 min | 248 | Kanafin et al. [52] | 
| Oxytetracycline (OTC) | UV-C/H2O2 | [OTC] = 250 mg L−1, [H2O2] = 375 mg L−1 | 47.18 | Rahmah et al. [49] | 
| Sufamethoxazole (SMX) | UV-C | [SMX] = 30 mg L−1, [H2O2] = 10 mM | 1.50 | Kim et al. [50] | 
| Sufamethoxazole (SMX) | Ozone | [SMX] = 30 mg L−1 | 27.53 | |
| Sufamethoxazole (SMX) | Electron beam | [SMX] = 30 mg L−1 | 0.46 | |
| Acid Red 88 (AR88) | UV-A-Fenton | pH 3.0, [AR88] = 50 mg L−1, [H2O2] = 4 mM, [Fe2+] = 0.15 mM, [NTA] = 0.10 mM, | 26 | Teixeira et al. [53] | 
| Orange PX-2R | UV-A LED/TiO2 | [OPX-2R] = 0.1 g/L, [TiO2] = 1.0 g/L | 119.04 | Tapia-Tlatelpa et al. [48] | 
| p-hydroxybenzoic acid (pHBA) | UV-A LED/TiO2 | [pHBA] = 50 mg L−1, [TiO2] = 1000 mg L−1 | 115 | Ferreira et al. [33] | 
| Z-thiacloprid | UV/TiO2 | [Z-thiacloprid] = 1.0 × 10−4 mol L−1, [TiO2] = 1 g L−1 | 80.0 | Rózsa et al. [54] | 
| F | τ | CSS/C0 | DOCSS/DOC0 | kCA | kDOC | 
|---|---|---|---|---|---|
| mL min−1 | min | min−1 | min−1 | ||
| 1 | 250 | 0.318 | 0.718 | 0.009 ± 4.5 × 10−4 a | 0.00157 ± 7.8 × 10−5 a | 
| 2 | 125 | 0.059 | 0.707 | 0.063 ± 3.2 × 10−3 b | 0.00332 ± 1.7 × 10−4 b | 
| 4 | 62.5 | 0.008 | 0.641 | 0.468 ± 2.3 × 10−2 c | 0.00896 ± 4.5 × 10−4 c | 
| Disclaimer/Publisher’s Note: The statements, opinions and data contained in all publications are solely those of the individual author(s) and contributor(s) and not of MDPI and/or the editor(s). MDPI and/or the editor(s) disclaim responsibility for any injury to people or property resulting from any ideas, methods, instructions or products referred to in the content. | 
© 2023 by the authors. Licensee MDPI, Basel, Switzerland. This article is an open access article distributed under the terms and conditions of the Creative Commons Attribution (CC BY) license (https://creativecommons.org/licenses/by/4.0/).
Share and Cite
Jorge, N.; Teixeira, A.R.; Fernandes, J.R.; Oliveira, I.; Lucas, M.S.; Peres, J.A. Degradation of Agro-Industrial Wastewater Model Compound by UV-A-Fenton Process: Batch vs. Continuous Mode. Int. J. Environ. Res. Public Health 2023, 20, 1276. https://doi.org/10.3390/ijerph20021276
Jorge N, Teixeira AR, Fernandes JR, Oliveira I, Lucas MS, Peres JA. Degradation of Agro-Industrial Wastewater Model Compound by UV-A-Fenton Process: Batch vs. Continuous Mode. International Journal of Environmental Research and Public Health. 2023; 20(2):1276. https://doi.org/10.3390/ijerph20021276
Chicago/Turabian StyleJorge, Nuno, Ana R. Teixeira, José R. Fernandes, Ivo Oliveira, Marco S. Lucas, and José A. Peres. 2023. "Degradation of Agro-Industrial Wastewater Model Compound by UV-A-Fenton Process: Batch vs. Continuous Mode" International Journal of Environmental Research and Public Health 20, no. 2: 1276. https://doi.org/10.3390/ijerph20021276
APA StyleJorge, N., Teixeira, A. R., Fernandes, J. R., Oliveira, I., Lucas, M. S., & Peres, J. A. (2023). Degradation of Agro-Industrial Wastewater Model Compound by UV-A-Fenton Process: Batch vs. Continuous Mode. International Journal of Environmental Research and Public Health, 20(2), 1276. https://doi.org/10.3390/ijerph20021276
 
        




 
       