Exploring the Transmission Path, Influencing Factors and Risk of Aerosol Transmission of SARS-CoV-2 at Xi’an Xianyang International Airport
Abstract
1. Introduction
2. Materials and Methods
3. Results
3.1. Physical Structure and Ventilation of International Airport
3.2. Risk Investigation on the International Arrival Area
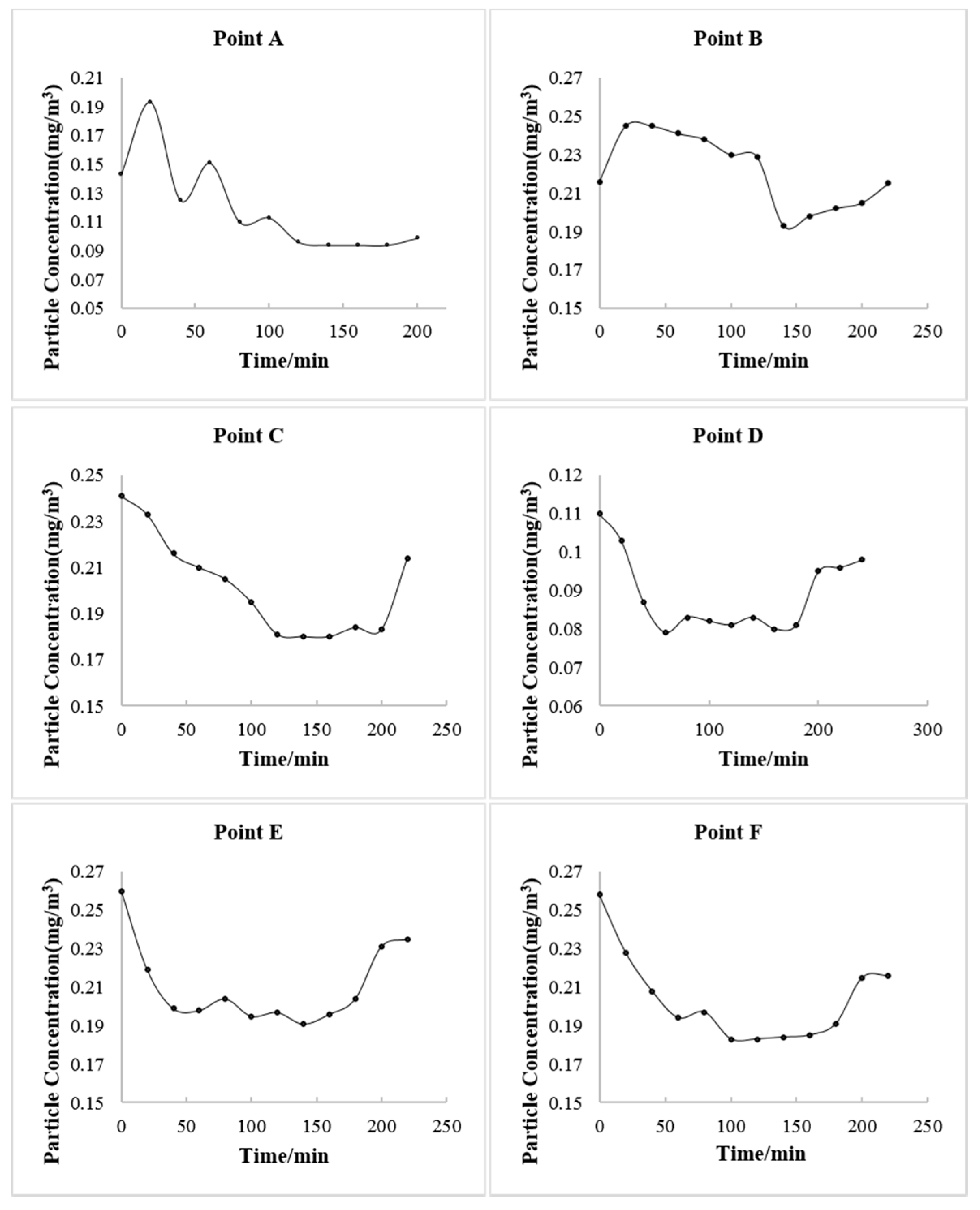
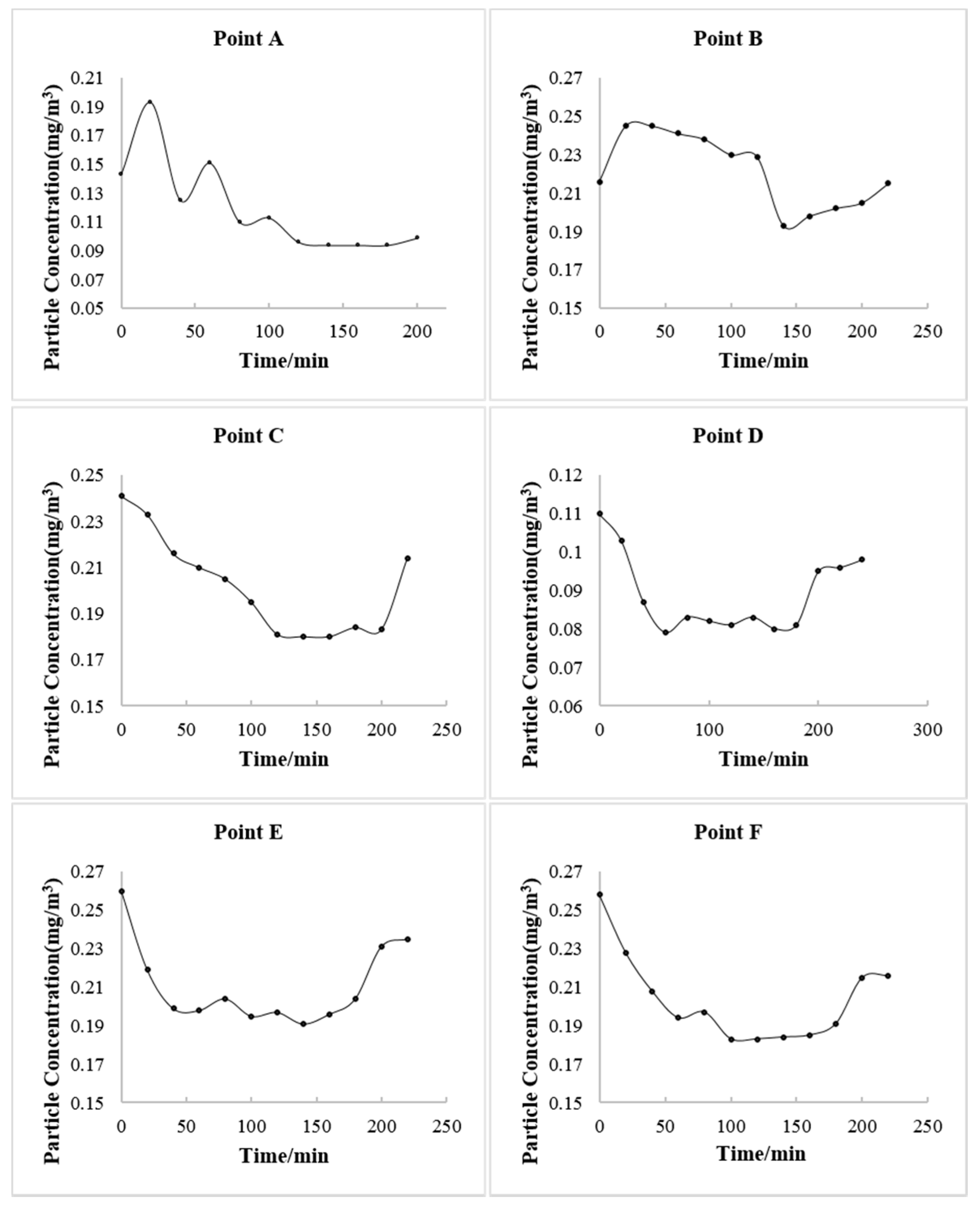
3.3. Respiration Simulation Experiments by Fluorescent Microspheres
4. Discussion
4.1. Airflow at the International Arrival Area
4.2. Viral Aerosol Diffusion Caused by Temperature Difference
4.3. Virus Transmission Caused by Interconnected Headspace at the Airport
4.4. Risk Analysis of Nucleic Acid Sampling Rooms
4.5. Analysis of Other Factors That May Affect Transmission
5. Airport Risk and Suggestions on Prevention and Control Measures
6. Conclusions
Supplementary Materials
Author Contributions
Funding
Institutional Review Board Statement
Informed Consent Statement
Data Availability Statement
Acknowledgments
Conflicts of Interest
References
- Tang, S.; Mao, Y.; Jones, R.M.; Tan, Q.; Ji, J.S.; Li, N.; Shen, J.; Lv, Y.; Pan, L.; Ding, P.; et al. Aerosol transmission of SARS-CoV-2? Evidence, prevention and control. Environ. Int. 2020, 144, 106039. [Google Scholar] [CrossRef]
- Comber, L.; Murchu, E.O.; Drummond, L.; Carty, P.G.; Walsh, K.A.; De Gascun, C.F.; Connolly, M.A.; Smith, S.M.; O’Neill, M.; Ryan, M.; et al. Airborne transmission of SARS-CoV-2 via aerosols. Rev. Med. Virol. 2021, 31, e2184. [Google Scholar] [CrossRef]
- Wang, C.C.; Prather, K.A.; Sznitman, J.; Jimenez, J.L.; Lakdawala, S.S.; Tufekci, Z.; Marr, L.C. Airborne transmission of respiratory viruses. Science 2021, 373, eabd9149. [Google Scholar] [CrossRef] [PubMed]
- Rabaan, A.A.; Al-Malkey, S.H.; Al-Malkey, M.; Alsubki, R.; Ezzikouri, S.; Al-Hassan, F.H.; Sah, R.; Al Mutair, A.; Alhumaid, S.; Al-Tawfiq, J.A.; et al. Airborne transmission of SARS-CoV-2 is the dominant route of transmission: Droplets and aerosols. Infez. Med. 2021, 29, 10–19. [Google Scholar] [PubMed]
- Wang, Y.; He, Y.; Tong, J.; Qin, Y.; Xie, T.; Li, J.; Li, J.; Xiang, J.; Cui, Y.; Higgs, E.S.; et al. Characterization of an Asymptomatic Cohort of Severe Acute Respiratory Syndrome Coronavirus 2 (SARS-CoV-2) Infected Individuals Outside of Wuhan, China. Clin. Infect. Dis. 2020, 71, 2132–2138. [Google Scholar] [CrossRef] [PubMed]
- Shang, W.; Kang, L.; Cao, G.; Wang, Y.; Gao, P.; Liu, J.; Liu, M. Percentage of Asymptomatic Infections among SARS-CoV-2 Omicron Variant-Positive Individuals: A Systematic Review and Meta-Analysis. Vaccines 2022, 10, 1049. [Google Scholar] [CrossRef] [PubMed]
- Xu, D.; Zhang, Z.; Wang, Q.; Li, X. Targeted Prevention and Control of Key Links in Airports to Mitigate Public Health Risks. China CDC Wkly. 2021, 3, 859–861. [Google Scholar] [CrossRef] [PubMed]
- CAAC. Preventing Spread of Coronavirus Disease 2019 (COVID-19) Guidelines-Eighth Edition Issued. 2021. Available online: http://www.caac.gov.cn/en/XWZX/202110/t20211009_209548.html (accessed on 10 September 2021).
- National Health Commission of the People’s Republic of China. Hygienic Specifications for Operation and Management of Air-Conditioning Ventilation Systems in Office Buildings and Public Places during COVID-19 Epidemic; National Health Commission of the People’s Republic of China: Beijing, China, 2020.
- Yang, T.; Wang, Y.; Liu, N.; Abudurusuli, G.; Yang, S.; Yu, S.; Liu, W.; Yin, X.; Chen, T. Modeling Cross-Regional Transmission and Assessing the Effectiveness of Restricting Inter-Regional Population Movements in Controlling COVID-19—Xi’an City, Shaanxi Province, China, 2021. China CDC Wkly. 2022, 4, 685–692. [Google Scholar]
- Zhang, Z.; Li, X.; Wang, Q.; Xu, J.; Jiang, Q.; Jiang, S.; Lyu, J.; Liu, S.; Ye, L.; Yuan, J.; et al. Field Simulation of Aerosol Transmission of SARS-CoV-2 in a Special Building Layout-Guangdong Province, China, 2021. China CDC Wkly. 2021, 3, 711–715. [Google Scholar] [CrossRef]
- Zhang, Z.; Li, X.; Wang, Q.; Zhao, X.; Xu, J.; Jiang, Q.; Jiang, S.; Lyu, J.; Liu, S.; Ye, L.; et al. Simulation Studies Provide Evidence of Aerosol Transmission of SARS-CoV-2 in a Multi-Story Building via Air Supply, Exhaust and Sanitary Pipelines. Int. J. Environ. Res. Public Health 2022, 19, 1532. [Google Scholar] [CrossRef]
- Pirouz, B.; Palermo, S.; Naghib, S.; Mazzeo, D.; Turco, M.; Piro, P. The Role of HVAC Design and Windows on the Indoor Airflow Pattern and ACH. Sustainability 2021, 13, 7931. [Google Scholar] [CrossRef]
- Qian, H.; Zheng, X. Ventilation control for airborne transmission of human exhaled bio-aerosols in buildings. J. Thorac. Dis. 2018, 10, S2295–S2304. [Google Scholar] [CrossRef] [PubMed]
- Li, X.; Wang, Q.; Ding, P.; Cha, Y.; Mao, Y.; Ding, C.; Gu, W.; Wang, Y.; Ying, B.; Zhao, X.; et al. Risk factors and on-site simulation of environmental transmission of SARS-CoV-2 in the largest wholesale market of Beijing, China. Sci. Total Environ. 2021, 778, 146040. [Google Scholar] [CrossRef] [PubMed]
- Schmeling, D.; Bosbach, J. Influence of shape and heat release of thermal passenger manikins on the performance of displacement ventilation in a train compartment. Indoor Built Environ. 2019, 29, 835–850. [Google Scholar] [CrossRef]
- Sun, S.; Li, J.; Han, J. How human thermal plume influences near-human transport of respiratory droplets and airborne particles: A review. Environ. Chem. Lett. 2021, 19, 1971–1982. [Google Scholar] [CrossRef]
- Li, Y.; Duan, S.; Yu, I.T.S.; Wong, T.W. Multi-zone modeling of probable SARS virus transmission by airflow between flats in Block E, Amoy Gardens. Indoor Air 2004, 15, 96–111. [Google Scholar] [CrossRef]
- Yu, I.T.; Li, Y.; Wong, T.W.; Tam, W.; Chan, A.T.; Lee, J.H.; Leung, D.Y.; Ho, T. Evidence of airborne transmission of the severe acute respiratory syndrome virus. N. Engl. J. Med. 2004, 350, 1731–1739. [Google Scholar] [CrossRef]
- Zhang, T.; Liu, X.; Zhang, L.; Jiang, J.; Zhou, M.; Jiang, Y. Performance analysis of the air-conditioning system in Xi’an Xianyang International Airport. Energy Build. 2013, 59, 11–20. [Google Scholar] [CrossRef]
- Zhao, K.; Liu, X.-H.; Jiang, Y. On-site measured performance of a radiant floor cooling/heating system in Xi’an Xianyang International Airport. Sol. Energy 2014, 108, 274–286. [Google Scholar] [CrossRef]
- Jones, D.L.; Baluja, M.Q.; Graham, D.W.; Corbishley, A.; McDonald, J.E.; Malham, S.K.; Hillary, L.S.; Connor, T.R.; Gaze, W.H.; Moura, I.B.; et al. Shedding of SARS-CoV-2 in feces and urine and its potential role in person-to-person transmission and the environment-based spread of COVID-19. Sci. Total Environ. 2020, 749, 141364. [Google Scholar] [CrossRef]
- Elsamadony, M.; Fujii, M.; Miura, T.; Watanabe, T. Possible transmission of viruses from contaminated human feces and sewage: Implications for SARS-CoV-2. Sci. Total Environ. 2021, 755, 142575. [Google Scholar] [CrossRef] [PubMed]
- Li, Y.-Y.; Wang, J.-X.; Chen, X. Can a toilet promote virus transmission? From a fluid dynamics perspective. Phys. Fluids 2020, 32, 065107. [Google Scholar] [CrossRef] [PubMed]
represents walking routes of case a and b who were diagnosed as positive COVID-19 cases.
represents walking routes of inbound international flight passengers after getting off the flight.
represents direction of airflow. ■ Simulated viral aerosols.
represents walking routes of case a and b who were diagnosed as positive COVID-19 cases.
represents walking routes of inbound international flight passengers after getting off the flight.
represents direction of airflow. ■ Simulated viral aerosols.



| Locations | Temperature/ °C | Wind Speed/m/s | Detection Results of Fluorescent Microspheres in Filter Membrane Samples | Detection Results of Fluorescent Microspheres in Liquid Samples | ||
|---|---|---|---|---|---|---|
| 0–1.5 h | 1.5–3 h | 0–1.5 h | 1.5–3 h | |||
| A | 15.9–20.4 | 0.16–0.27 | √ | √ | √ | √ |
| B | 14.5–17.6 | 0.35–0.72 | √ | √ | √ | √ |
| C | 13.2–14.3 | 0.30–0.46 | × | √ | × | √ |
| D | 9.4–14.1 | 0.42–0.86 | × | √ | × | √ |
| E | 9.6–14.3 | 0.42–0.86 | × | × | × | × |
| F | 12.3–15.5 | 0.79–1.91 | × | × | × | × |
Disclaimer/Publisher’s Note: The statements, opinions and data contained in all publications are solely those of the individual author(s) and contributor(s) and not of MDPI and/or the editor(s). MDPI and/or the editor(s) disclaim responsibility for any injury to people or property resulting from any ideas, methods, instructions or products referred to in the content. |
© 2023 by the authors. Licensee MDPI, Basel, Switzerland. This article is an open access article distributed under the terms and conditions of the Creative Commons Attribution (CC BY) license (https://creativecommons.org/licenses/by/4.0/).
Share and Cite
Zhang, Z.; Li, X.; Lyu, K.; Zhao, X.; Zhang, F.; Liu, D.; Zhao, Y.; Gao, F.; Hu, J.; Xu, D. Exploring the Transmission Path, Influencing Factors and Risk of Aerosol Transmission of SARS-CoV-2 at Xi’an Xianyang International Airport. Int. J. Environ. Res. Public Health 2023, 20, 865. https://doi.org/10.3390/ijerph20010865
Zhang Z, Li X, Lyu K, Zhao X, Zhang F, Liu D, Zhao Y, Gao F, Hu J, Xu D. Exploring the Transmission Path, Influencing Factors and Risk of Aerosol Transmission of SARS-CoV-2 at Xi’an Xianyang International Airport. International Journal of Environmental Research and Public Health. 2023; 20(1):865. https://doi.org/10.3390/ijerph20010865
Chicago/Turabian StyleZhang, Zhuona, Xia Li, Keyang Lyu, Xiaoning Zhao, Feng Zhang, Dong Liu, Yonggang Zhao, Fan Gao, Jian Hu, and Dongqun Xu. 2023. "Exploring the Transmission Path, Influencing Factors and Risk of Aerosol Transmission of SARS-CoV-2 at Xi’an Xianyang International Airport" International Journal of Environmental Research and Public Health 20, no. 1: 865. https://doi.org/10.3390/ijerph20010865
APA StyleZhang, Z., Li, X., Lyu, K., Zhao, X., Zhang, F., Liu, D., Zhao, Y., Gao, F., Hu, J., & Xu, D. (2023). Exploring the Transmission Path, Influencing Factors and Risk of Aerosol Transmission of SARS-CoV-2 at Xi’an Xianyang International Airport. International Journal of Environmental Research and Public Health, 20(1), 865. https://doi.org/10.3390/ijerph20010865
